A Spinning Reserve Allocation Method for Power Generation Dispatch Accommodating Large-Scale Wind Power Integration
Abstract
:1. Introduction
2. Problem Modeling
2.1. Proposed Model
2.2. Fuzzy Optimization-Based Multi-Area Reserve Allocation Model


3. Relationship between LOLE and Spinning Reserve
4. Calculation of for Multi-Sub-Area System

5. Solution
6. Numerical Tests
| Time period (15 min) | Predicted power (MW) | Time period (15 min) | Predicted power (MW) |
|---|---|---|---|
| 1 | 1484.06 | 9 | 1734.43 |
| 2 | 1493.61 | 10 | 1784.04 |
| 3 | 1504.83 | 11 | 1824.07 |
| 4 | 1536.02 | 12 | 1904.01 |
| 5 | 1559.23 | 13 | 1972.80 |
| 6 | 1582.43 | 14 | 1991.22 |
| 7 | 1596.01 | 15 | 2006.43 |
| 8 | 1669.64 | 16 | 2008.02 |
| Time period (15 min) | Predicted power (MW) | Time period (15 min) | Predicted power (MW) |
|---|---|---|---|
| 1 | 697.96 | 9 | 555.42 |
| 2 | 670.96 | 10 | 613.92 |
| 3 | 522.16 | 11 | 628.79 |
| 4 | 431.97 | 12 | 651.96 |
| 5 | 418.96 | 13 | 665.66 |
| 6 | 421.49 | 14 | 700.00 |
| 7 | 432.80 | 15 | 681.85 |
| 8 | 450.14 | 16 | 636.93 |
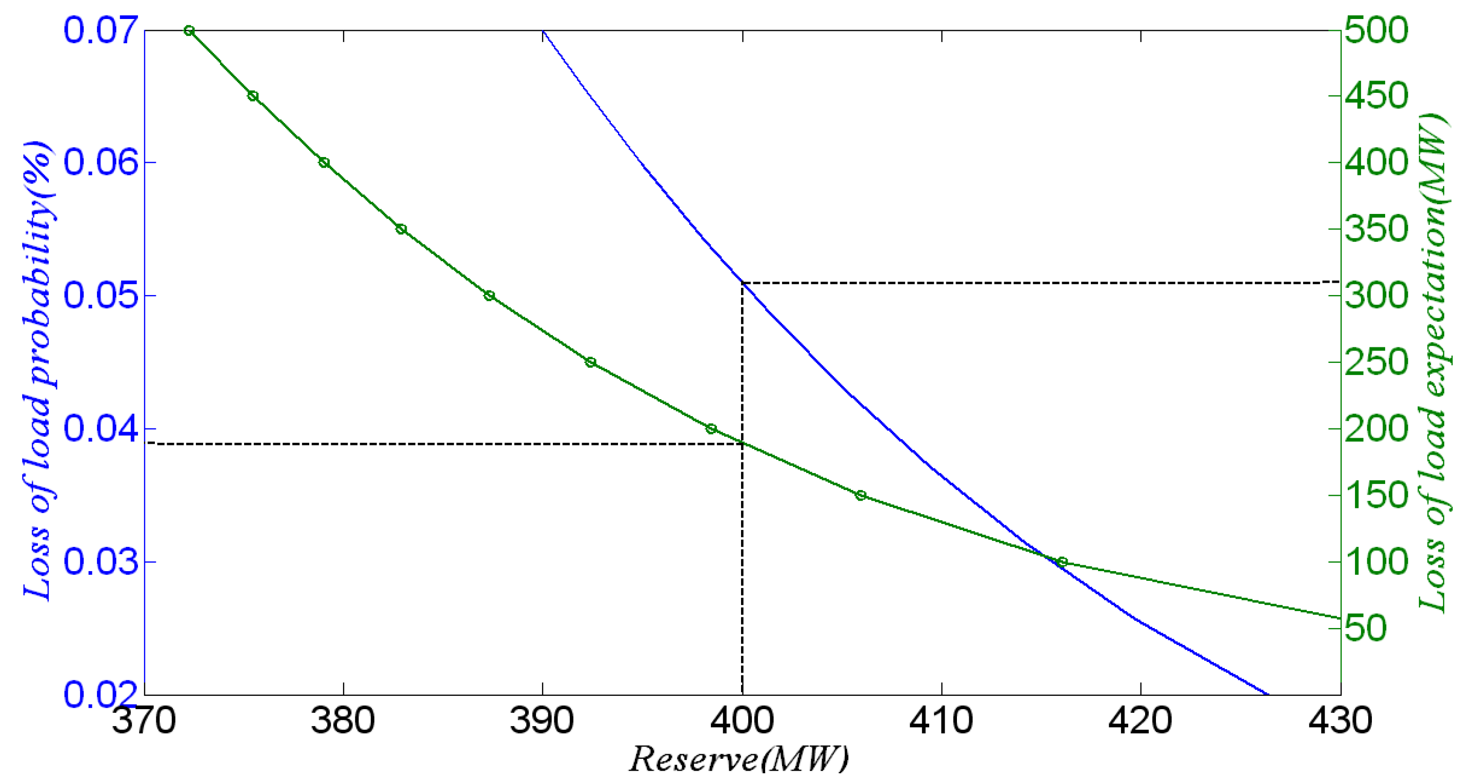
6.1. Relationship between Reserve Capacity and LOLE


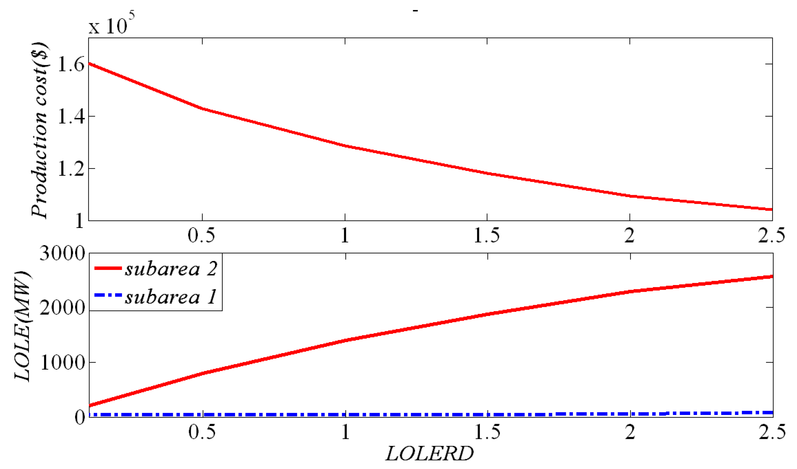
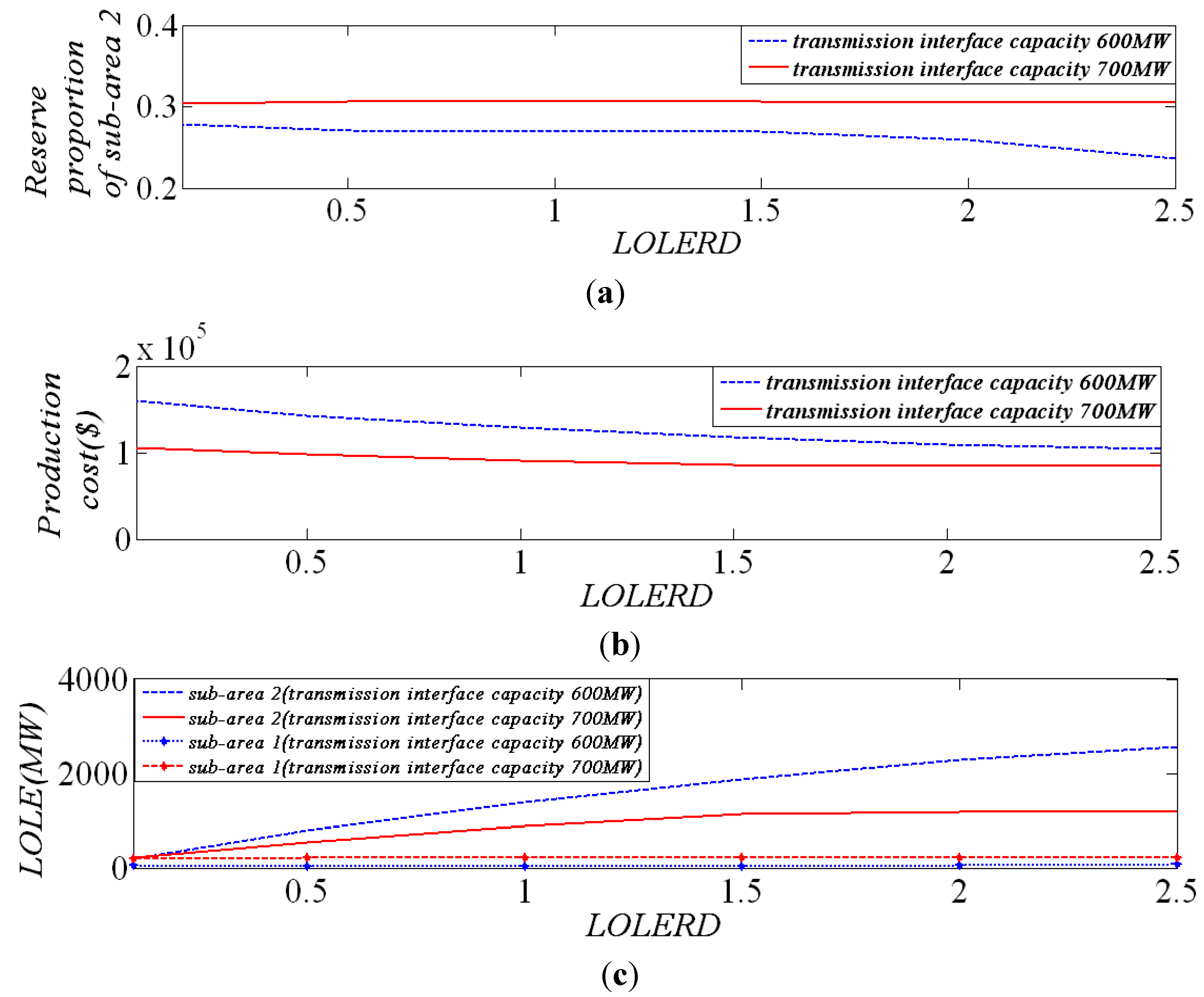
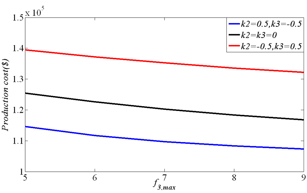
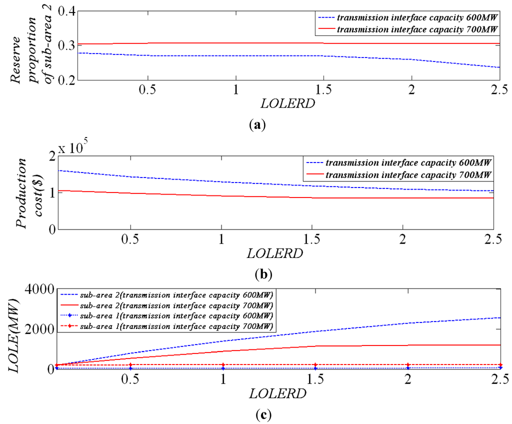
6.2. Fuzzy-Optimization-Based Multi-Sub-Area Reserve Allocation








7. Conclusions
Acknowledgments
Conflicts of Interest
Nomenclature
| Sets | |
| Set of wind farms. | |
| Set of conventional units. | |
| Parameters | |
| Predicted load demand of area j during time period t. | |
| Predicted load demand of the whole system during time period t. | |
| n | Number of control sub-areas. |
| Predicted wind power output of wind farm j during time period t. | |
| Predicted maximum available output of wind farm j during time period t. | |
| Penalty coefficient for wind power curtailment. | |
| Production cost coefficients of thermal unit i. | |
| Number of thermal units. | |
| Initial and last time period of the optimization. | |
| Threshold of LOLE. | |
| Maximum/minimum generation output of unit i. | |
| Downward/upward ramp rate of unit i. | |
| 15-min time duration. | |
| Time duration, usually 10 min, for the calculation of unit spinning reserve contribution [1,2]. | |
| L | Number of the transmission interfaces. |
| Generation distribution shift factor of unit i to transmission interface l. | |
| Positive/negative power flow limit of transmission interface l with bus loads excluded. | |
| The failure rate and the repair rate of a unit. | |
| H | The swarm size. |
| Penalty coefficient for equality/inequality constraints of the PSO optimization. | |
| ωmax/ωmin | Maximum/minimum inertia weight. |
| Iteration number. | |
| The maximum iteration number. | |
| c1/c2 | Acceleration constants. |
| Total predicted wind power output results. | |
| Variables | |
| LOLE of the whole system during time period t. | |
| LOLE with no/one/two generator outage(s) accounted during time period t. | |
| LOLE of sub-area M/N during time period t. | |
| Loss of load expectation ratio deviation (LOLERD). | |
| Power flow of transmission interface l during time period t, which can be calculated from the output of generators and loads multiplied with their corresponding sensitivity. | |
| LOLE of area j during time period t. | |
| LOLE ratio (LOLER) of area j during time period t. | |
| The average of LOLER of all the control sub-areas. | |
| Wind power generation schedule of wind farm j during time period t. | |
| Generation schedule of conventional thermal unit i during time period t. | |
| Penalty term for wind power curtailment. | |
| Production cost of conventional thermal units. | |
| Operating risk index of the system. | |
| Up/down spinning reserve of the system during time period t. | |
| Upward/downward spinning reserve contribution of unit i during time period t. | |
| Coefficients of the membership functions. | |
| Upper/lower limits of the production cost or operational risk index for conventional units. | |
| The preference factor ( k2 is the cost preference factor and k3 is the risk preference factor). | |
| x | Predicted error of wind power and load demand. |
| The forced outage rate of unit i during time period t. | |
| Probability density function of the forecast error. | |
| Standard deviation of the forecast error. | |
| Inter-zonal supply of the reserve. | |
| Spinning reserve of sub-area M /sub-area N during time period t. | |
| Position of unit j of particle i during time period t. | |
| Velocity of unit j of particle i during time period t. | |
| Upper/lower limits of unit i with ramp rate constraints accounted. | |
| xi(k) | Position of particle i during iteration k. |
| The inertia weight. | |
| Membership function of wind curtailment/economics/security | |
Appendix
| Unit No. | pi | ai | bi | ci | |
|---|---|---|---|---|---|
| 1 | 40 | 0 | 0.0176 | 130 | 800 |
| 2 | 152 | 30 | 0.0071 | 43.66 | 424.62 |
| 3 | 40 | 0 | 0.0176 | 130 | 800 |
| 4 | 152 | 30 | 0.0071 | 43.66 | 424.62 |
| 5 | 300 | 75 | 0 | 16.08 | 2344.56 |
| 6 | 591 | 207 | 0.0024 | 48.58 | 2498.27 |
| 7 | 60 | 12 | 0.0657 | 56.56 | 431.93 |
| 8 | 155 | 54 | 0.0083 | 12.39 | 382.24 |
| 9 | 155 | 54 | 0.0083 | 12.39 | 382.24 |
| 10 | 400 | 100 | 0.00021 | 4.42 | 395.37 |
| 11 | 400 | 100 | 0.00021 | 4.42 | 395.37 |
| 12 | 300 | 60 | 0 | 16.08 | 2344.56 |
| 13 | 310 | 108 | 0.0042 | 12.39 | 764.48 |
| 14 | 700 | 0 | 0 | 0 | 0 |

References
- Xia, L.M.; Gooi, H.B.; Bai, J. Probabilistic Spinning Reserves with Interruptible Loads. In Proceedings of IEEE Power & Engineering Society General Meeting, Piscataway, NJ, USA, 6–10 June 2004.
- Venkatesh, B.; Peng, Yu; Gooi, H.B.; Choling, D. Fuzzy MILP unit commitment incorporating wind generators. IEEE Trans. Power Syst. 2008, 23, 1738–1746. [Google Scholar]
- Ummels, B.C.; Gibescu, M.; Pelgrum, E.; Kling, W.L.; Brand, A.J. Impacts of wind power on thermal generation unit commitment and dispatch. IEEE Trans. Energy Convers. 2007, 22, 44–51. [Google Scholar]
- Soder, L. Reserve margin planning in a wind-hydro-thermal power systems. IEEE Trans. Power Syst. 1993, 8, 564–571. [Google Scholar] [CrossRef]
- Ela, E.; Kirby, B.; Lannoye, E.; Milligan, M.; Flynn, D.; Zavadil, B.; O’Malley, M. Evolution of Operating Reserve Determination in Wind Power Integration Studies. In Proceedings of the IEEE Power & Energy Society General Meeting, Minneapolis, MN, USA, 25–29 July 2010.
- Wu, W.C.; Zhang, B.M.; Chen, J.H.; Zhen, T.Y. Multiple Time-Scale Coordinated Power Control System to Accommodate Significant Wind Power Penetration and Its Real Application. In Proceedings of the 2012 IEEE Power & Energy Society General Meeting, San Diego, CA, USA, 22–26 July 2012.
- Zhang, G.Q.; Wu, W.C.; Zhang, B.M. Optimization of operation reserve coordination considering wind power integration. Autom. Electr. Power Syst. 2011, 35, 15–19. [Google Scholar]
- Lee, T.-Y. Optimal spinning reserve for a wind-thermal power system using EIPSO. IEEE Trans. Power Syst. 2007, 22, 1612–1621. [Google Scholar] [CrossRef]
- Ortega-Vazquez, M.A.; Kirchen, D.S. Should the Spinning Reserve Procurement in Systems with Wind Power Generation Be Deterministic or Probabilistic. In Proceedings of the 1st International Conference on Sustainable Power Generation and Supply (SUPERGEN), Nanjing, China, 6–7 April 2009; pp. 1–9.
- Doherty, R.; O’Malley, M. A new approach to quantify reserve demand in systems with significant installed wind capacity. IEEE Trans. Power Syst. 2005, 20, 587–595. [Google Scholar] [CrossRef]
- Zhou, W.; Peng, Y.; Sun, H. Optimal wind-thermal coordination dispatch based on risk reserve constraints. Eur. Trans. Electr. Power 2011, 21, 740–756. [Google Scholar] [CrossRef]
- Hetzer, J.; Yu, D.C.; Bhattarai, K. An economic dispatch model incorporating wind power. IEEE Trans. Energy Convers. 2008, 23, 603–611. [Google Scholar] [CrossRef]
- Morales, J.M.; Conejo, A.J.; Perez-Ruiz, J. Economic valuation of reserves in power systems with high penetration of wind power. IEEE Trans. Power Syst. 2009, 24, 900–910. [Google Scholar] [CrossRef]
- Streiffert, D. Multi-area economic dispatch with tie line constraints. IEEE Trans. Power Syst. 1995, 10, 1946–1951. [Google Scholar] [CrossRef]
- Ma, X.W.; Sun, D.; Cheung, K. Energy and reserve dispatch in a multi-zone electricity market. IEEE Trans. Power Syst. 1999, 14, 913–919. [Google Scholar] [CrossRef]
- Liang, M.; Lee, S.T.; Zhang, P.; Rose, V.; Cole, J. Short-Term Probabilistic Transmission Congestion Forecasting. In Proceedings of the Third International Conference on Electric Utility Deregulation and Restructuring and Power Technologies (DRPT), Nanjing, China, 6–9 April 2008; pp. 764–770.
- Chen, C.-L.; Lee, T.-Y. Impact Analysis of Transmission Capacity Constraints on Wind Power Penetration and Production Cost in Generation Dispatch. In Proceedings of the International Conference on Intelligent Systems Applications to Power Systems(ISAP), Toki Messe, Niigata, Japan, 5–8 November 2007; pp. 1–6.
- Bjorgan, R.; Liu, C.-C.; Lawarree, J. Financial risk management in a competitive electricity market. IEEE Trans. Power Syst. 1999, 14, 1285–1291. [Google Scholar] [CrossRef]
- Liu, Y.; Guan, X. Purchase allocation and demand bidding in electric power markets. IEEE Trans. Power Syst. 2003, 18, 106–112. [Google Scholar] [CrossRef]
- Conejo, A.J.; Nogales, F.J.; Arroyo, J.M.; Garcia-Bertrand, R. Risk-constrained self-scheduling of a thermal power producer. IEEE Trans. Power Syst. 2004, 19, 1569–1574. [Google Scholar] [CrossRef]
- Doherty, R.; O’Malley, M. Quantifying Reserve Demands due to Increasing Wind Power Penetration. In Proceedings of IEEE Bologna Power Technology Conference, Bologna, Italy, 23–26 June 2003.
- Lei, Y.; Han, X.; Yu, D. Multi-Time Scale Decision-Making Method of Synergistic Dispatch. In Proceedings of the 2012 IEEE Innovative Smart Grid Technologies—Asia, Tianjin, China, 21–24 May 2012.
- Cheung, K.; Wang, X.; Chiu, B.-C.; Xiao, Y.; Rios-Zalapa, R. Generation Dispatch in a Smart Grid Environment. In Proceedings of the 2010 Innovative Smart Grid Technologies, Gaithersburg, MD, USA, 19–21 January 2010.
- Liang, R.H.; Liao, J.H. A fuzzy-optimization approach for generation scheduling with wind and solar energy systems. IEEE Trans. Power Syst. 2007, 22, 1665–1674. [Google Scholar]
- Venkatesh, B.; Sadasivam, G.; Khan, M.A. A new optimal reactive power scheduling method for loss minimization and voltage stability margin maximization using successive multi-objective fuzzy LP technique. IEEE Trans. Power Syst. 2000, 15, 844–851. [Google Scholar] [CrossRef]
- Amjady, N.; Aghaei, J.; Shayanfar, H.A. Stochastic multiobjective market clearing of joint energy and reserves auctions ensuring power system security. IEEE Trans. Power Syst. 2009, 24, 1841–1854. [Google Scholar] [CrossRef]
- Fabbri, A.; Román, T.G.S.; Abbad, J.R.; Quezada, V.H.M. Assessment of the cost associated with wind generation prediction errors in a liberalized electricity market. IEEE Trans. Power Syst. 2005, 20, 1440–1446. [Google Scholar] [CrossRef]
- Billinton, R.; Ghajar, R. Evaluation of the marginal outage costs of generating systems for the purposes of spot pricing. IEEE Trans. Power Syst. 1994, 9, 68–75. [Google Scholar] [CrossRef]
- Liu, H.; Sun, Y.; Cheng, L.; Wang, P.; Xiao, F. Online short-term reliability evaluation using a fast sorting technique. IET Gener. Transm. Distrib. 2008, 2, 139–148. [Google Scholar] [CrossRef]
- Kennedy, J.; Eberhart, R. Particle Swarm Optimization. In Proceedings of the International Conference on Neural Networks, Perth, Australia, 27 November–1 December 1995; pp. 1942–1948.
- Kennedy, J.; Eberhart, R. Swarm Intelligence; Morgan Kaufmann Publishers: San Francisco, CA, USA, 2001. [Google Scholar]
- Angeline, P.J. Evolutionary Optimization versus Particle Swarm Optimization: Philosophy and Performance Differences. In Proceedings of the 7th International Conference on Evolutionary Programming, San Diego, CA, USA, 25–27 March 1998.
- Hassan, R.; Cohanim, B.; Weck, O. A Comparison of Particle Swarm Optimization and the Genetic Algorithm. In Proceedings of the 46th AIAA/ASME/ASCE/AHS/ASC Structures, Structural Dynamics & Materials Conference, Austin, TX, USA, 18–21 April 2005.
- Elbeltagi, E.; Hegazy, T.; Grierson, D. Comparison among five evolutionary-based optimization algorithms. Adv. Eng. Inform. 2005, 19, 43–53. [Google Scholar] [CrossRef]
- Gaing, Z.L. Constrained Optimal Power Flow by Mixed-Integer Particle Swarm Optimization. In Proceedings of the IEEE Power Engineering Society General Meeting, San Francisco, CA, USA, 12–16 June 2005; pp. 243–250.
- Selvakumar, A.I.; Thanushkodi, K. A new particle swarm optimization solution to nonconvex economic dispatch problems. IEEE Trans. Power Syst. 2007, 22, 42–51. [Google Scholar]
- Gaing, Z.L. Constrained Dynamic Economic Dispatch Solution Using Particle Swarm Optimization. In Proceedings of IEEE Power & Engineering Society General Meeting, Piscataway, NJ, USA, 6–10 June 2004.
- Gaing, Z.L. Particle swarm optimization to solving the economic dispatch considering the generator constraints. IEEE Trans. Power Syst. 2003, 18, 1187–1195. [Google Scholar] [CrossRef]
- Coath, G.; Al-Dabbagh, M.; Halgamuge, S. Particle swarm optimization for reactive power and voltage control with grid-integrated wind farms. In Proceedings of IEEE Power & Engineering Society General Meeting, Piscataway, NJ, USA, 6–10 June, 2004.
© 2013 by the authors; licensee MDPI, Basel, Switzerland. This article is an open access article distributed under the terms and conditions of the Creative Commons Attribution license (http://creativecommons.org/licenses/by/3.0/).
Share and Cite
Chen, J.; Wu, W.; Zhang, B.; Wang, B.; Guo, Q. A Spinning Reserve Allocation Method for Power Generation Dispatch Accommodating Large-Scale Wind Power Integration. Energies 2013, 6, 5357-5381. https://doi.org/10.3390/en6105357
Chen J, Wu W, Zhang B, Wang B, Guo Q. A Spinning Reserve Allocation Method for Power Generation Dispatch Accommodating Large-Scale Wind Power Integration. Energies. 2013; 6(10):5357-5381. https://doi.org/10.3390/en6105357
Chicago/Turabian StyleChen, Jianhua, Wenchuan Wu, Boming Zhang, Bin Wang, and Qinglai Guo. 2013. "A Spinning Reserve Allocation Method for Power Generation Dispatch Accommodating Large-Scale Wind Power Integration" Energies 6, no. 10: 5357-5381. https://doi.org/10.3390/en6105357
APA StyleChen, J., Wu, W., Zhang, B., Wang, B., & Guo, Q. (2013). A Spinning Reserve Allocation Method for Power Generation Dispatch Accommodating Large-Scale Wind Power Integration. Energies, 6(10), 5357-5381. https://doi.org/10.3390/en6105357
