Diesel Consumption of Agriculture in China
Abstract
:1. Introduction
2. Model Specification and Data
2.1. Overall Structure

2.2. Operation Module
- Mechanized tillage (o1) and mechanized sowing (o2) are performed by tractors and associated towing farm machinery. Both the large and medium-sized tractors and the small ones are included.
- Mechanized harvesting (o3) is performed by combine harvesters, swathers and other harvesters.
- Mechanized irrigation (o4) is performed by irrigation machinery.
- Other operations (o5) are performed by rest agricultural machinery, the workload statistics of which are not available.
| Operations | Machinery | Relationships |
|---|---|---|
| o1: Mechanized tillage | m1: Large and medium-sized tractors
m2: Small tractors (and associated towing machinery) | |
| o2: Mechanized sowing | m1: Large and medium-sized tractors
m2: Small tractors (and associated towing machinery) | |
| o3: Mechanized harvesting | m3: Combine harvesters
m4: Swathers m5: Other harvesters | |
| o4: Mechanized irrigation | m6: Irrigation machinery | |
| o5: Other operation | m7~m15: Rest machinery |
2.3. Main Module
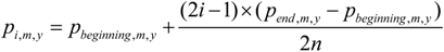
2.4. Distribution Module

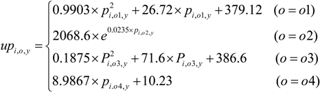
2.5. Unit Consumption Module and Productivity Module


2.6. Correction Module
- In the Unit Consumption Module, the weighted average of unit consumption changes without being affected by the technological progress.
- In the Productivity Module, the weighted average of unit productivity changes without being affected by the technological progress.
- In the Main Module, the load factor is proportional to the machinery power in unit area.
- In the Main Module, the average annual working hours of the other operation is constant the value of which remains unchanged over the year.
3. Data Sources
4. Results and Discussion
4.1. Changes of Correction Coefficient

4.2. Changes of Unit Consumption
- For tractors, the unit diesel consumption declined from 407.96 g/kWh in 1996 to 356.93 g/kWh in 2010, an average annual decline of 0.95%.
- For harvesters, it declined from 423.67 g/kWh to 352.70 g/kWh, an annual decline of 1.30%.
- For irrigation machinery, it declined from 450.99 g/kWh to 401.25 g/kWh, an annual decline of 0.83%.
- For primary processing machinery, it declined from 411.91 g/kWh to 364.70 g/kWh, an annual decline of 0.87%.
- For animal husbandry machinery, it declined from 426.16 g/kWh to 375.13 g/kWh, an annual decline of 0.91%.
- For fishery machinery, it declined from 383.17 g/kWh to 328.06 g/kWh, an annual decline of 1.10%.
- For forestry machinery, it declined from 414.97 g/kWh to 370.71 g/kWh, an annual decline of 0.80%.
- For transportation machinery, it declined from 408.68 g/kWh to 352.89 g/kWh, an annual decline of 1.04%.
- For farmland construction machinery, it declined from 338.56 g/kWh to 297.35 g/kWh, an annual decline of 0.92%.
| Year | Tractors | Harvesters | Machinery | ||||||
|---|---|---|---|---|---|---|---|---|---|
| Irrigation | Primary Processing | Animal Husbandry | Fishery | Forestry | Transportation | Farmland Construction | |||
| 1996 | 407.96 | 423.67 | 450.99 | 411.91 | 426.16 | 383.17 | 414.97 | 408.68 | 338.56 |
| 1997 | 405.21 | 419.81 | 446.92 | 408.40 | 422.47 | 374.80 | 412.29 | 404.72 | 344.16 |
| 1998 | 406.88 | 420.81 | 449.53 | 410.07 | 424.14 | 373.89 | 414.53 | 405.75 | 348.48 |
| 1999 | 397.07 | 409.81 | 439.71 | 400.63 | 414.33 | 362.89 | 405.37 | 395.98 | 339.26 |
| 2000 | 389.93 | 402.37 | 432.35 | 393.59 | 406.36 | 358.04 | 397.80 | 388.52 | 330.26 |
| 2001 | 388.29 | 399.76 | 430.27 | 392.30 | 405.35 | 357.19 | 398.05 | 386.61 | 325.88 |
| 2002 | 383.16 | 394.04 | 425.47 | 386.99 | 400.21 | 353.13 | 391.89 | 381.17 | 318.80 |
| 2003 | 382.76 | 391.78 | 425.62 | 386.70 | 399.85 | 350.62 | 394.08 | 380.37 | 315.59 |
| 2004 | 379.09 | 386.31 | 421.85 | 383.29 | 396.51 | 349.70 | 386.81 | 376.77 | 311.79 |
| 2005 | 375.32 | 380.44 | 418.10 | 379.67 | 392.81 | 342.10 | 385.62 | 372.60 | 307.53 |
| 2006 | 371.08 | 373.16 | 414.74 | 376.20 | 389.43 | 340.16 | 382.12 | 369.09 | 318.42 |
| 2007 | 367.09 | 367.66 | 411.02 | 372.58 | 385.57 | 336.61 | 378.09 | 365.04 | 312.34 |
| 2008 | 362.76 | 360.42 | 406.74 | 368.98 | 380.35 | 332.78 | 373.67 | 359.09 | 306.54 |
| 2009 | 359.45 | 355.74 | 403.54 | 366.50 | 377.30 | 330.13 | 372.37 | 355.66 | 301.60 |
| 2010 | 356.93 | 352.70 | 401.25 | 364.70 | 375.13 | 328.06 | 370.71 | 352.89 | 297.35 |

4.3. Changes of Unit Productivity
- The unit productivity of the mechanized tillage increased from 0.08 ha/h in 1996 to 0.10 ha/h in 2010, an average annual increase of 1.86%.
- The unit productivity of the mechanized sowing increased from 0.25 ha/h to 0.30 ha/h, an average annual increase of 1.27%.
- The unit productivity of the mechanized harvesting increased from 0.06 ha/h to 0.19 ha/h, an average annual increase of 8.13%, which is the largest growth rate in these four operations.
- The unit productivity of the mechanized irrigation increased from 74.41 m3/h to 79.87 m3/h, an average annual increase of 0.51%.
| Year | Mechanized Tillage (ha/h) | Mechanized Sowing (ha/h) | Mechanized Harvesting (ha/h) | Mechanized Irrigation (m3/h) |
|---|---|---|---|---|
| 1996 | 0.08 | 0.25 | 0.06 | 74.41 |
| 1997 | 0.08 | 0.25 | 0.06 | 75.35 |
| 1998 | 0.08 | 0.25 | 0.07 | 74.01 |
| 1999 | 0.08 | 0.26 | 0.07 | 75.03 |
| 2000 | 0.08 | 0.26 | 0.07 | 75.95 |
| 2001 | 0.08 | 0.26 | 0.08 | 76.74 |
| 2002 | 0.08 | 0.27 | 0.08 | 76.77 |
| 2003 | 0.08 | 0.27 | 0.09 | 76.05 |
| 2004 | 0.09 | 0.27 | 0.10 | 76.75 |
| 2005 | 0.09 | 0.28 | 0.12 | 77.33 |
| 2006 | 0.09 | 0.28 | 0.13 | 77.17 |
| 2007 | 0.09 | 0.29 | 0.15 | 77.40 |
| 2008 | 0.09 | 0.29 | 0.17 | 78.30 |
| 2009 | 0.10 | 0.30 | 0.18 | 79.28 |
| 2010 | 0.10 | 0.30 | 0.19 | 79.87 |

4.4. Changes of Working Hours
- The average annual working hours of the tractors declined from 56.33 h in 1996 to 41.00 h in 2010, an average annual decline of 2.24%.
- The average annual working hours of the harvesters increased from 87.19 h to 105.65 h, an average annual increase of 1.38%.
- The average annual working hours of the irrigation machinery declined from 217.24 h to 109.06 h, an average annual decline of 4.80%.
- The average annual working hours of the other machinery declined from 165.70 h to 114.43 h, an average annual decline of 2.74%.
| Year | Tractors | Harvesters | Irrigation Machinery | Other Machinery |
|---|---|---|---|---|
| 1996 | 56.33 | 87.19 | 217.24 | 165.70 |
| 1997 | 54.31 | 85.94 | 227.71 | 161.50 |
| 1998 | 55.07 | 91.48 | 195.59 | 163.48 |
| 1999 | 51.88 | 92.38 | 176.55 | 152.45 |
| 2000 | 49.58 | 89.13 | 158.42 | 144.64 |
| 2001 | 49.07 | 92.53 | 153.42 | 142.90 |
| 2002 | 47.49 | 91.69 | 143.85 | 137.53 |
| 2003 | 47.42 | 98.06 | 134.68 | 137.14 |
| 2004 | 46.29 | 101.17 | 134.90 | 133.55 |
| 2005 | 45.40 | 103.76 | 129.25 | 129.93 |
| 2006 | 44.45 | 107.22 | 127.96 | 126.28 |
| 2007 | 43.33 | 106.57 | 120.87 | 122.59 |
| 2008 | 42.38 | 107.16 | 115.53 | 118.86 |
| 2009 | 41.60 | 106.56 | 113.22 | 116.30 |
| 2010 | 41.00 | 105.65 | 109.06 | 114.43 |

4.5. Diesel Flows in Agriculture
- Diesel consumption in four farming operations increased from 652.31 × 104 ton in 1996 to 884.01×104 ton in 2010, with an annual increase of 2.19%. In these four operations, the mechanized harvesting has the largest annual growth rate (i.e., 19.39%) of the diesel consumption. The annual growth rates of mechanized tillage and mechanized sowing are 3.68% and 4.28%, respectively, which are slightly higher than the average level among all farming operations. Slight negative growth in the diesel consumption of mechanized irrigation was witnessed in the past thirteen years.
- Diesel consumption by primary processing increased from 107.88 × 104 ton in 1996 to 111.78 × 104 ton in 2010, with an annual increase of 0.25%.
- Diesel consumption by animal husbandry increased from 8.07 × 104 ton in 1996 to 17.87 × 104 ton in 2010, with an annual increase of 5.84%.
- Diesel consumption by fishery increased from 54.86 × 104 ton in 1996 to 68.35 × 104 ton in 2010, with an annual increase of 1.58%.
- Diesel consumption by forestry increased from 0.31 × 104 ton in 1996 to 3.95 × 104 ton in 2010, with an annual increase of 20.07%.
- Diesel consumption by transportation increased from 238.74 × 104 ton in 1996 to 860.53 × 104 ton in 2010, with an annual increase of 9.59%.
- Diesel consumption by farmland construction increased from 13.94 × 104 ton in 1996 to 76.61 × 104 ton in 2010, with an annual increase of 12.94%.
| Year | Farming | Primary Processing | Animal Husbandry | Fishery | Forestry | Transportation | Farmland Construction | ||||
|---|---|---|---|---|---|---|---|---|---|---|---|
| Total | Mechanized Tillage | Mechanized Sowing | Mechanized Harvesting | Mechanized Irrigation | |||||||
| 1996 | 652.31 | 214.53 | 33.76 | 13.61 | 390.40 | 107.88 | 8.07 | 54.86 | 0.31 | 238.74 | 13.94 |
| 1997 | 713.39 | 225.42 | 34.92 | 16.22 | 436.83 | 110.28 | 8.14 | 65.40 | 0.23 | 317.59 | 14.37 |
| 1998 | 699.85 | 245.02 | 37.87 | 21.38 | 395.58 | 117.83 | 9.49 | 71.79 | 0.21 | 399.54 | 16.00 |
| 1999 | 692.02 | 245.79 | 38.22 | 24.94 | 383.07 | 118.24 | 10.40 | 69.33 | 0.21 | 447.28 | 16.82 |
| 2000 | 672.33 | 248.06 | 38.63 | 27.25 | 358.39 | 120.66 | 11.23 | 69.32 | 0.71 | 508.50 | 22.26 |
| 2001 | 688.59 | 249.97 | 38.95 | 31.32 | 368.36 | 124.17 | 11.26 | 70.42 | 0.74 | 561.88 | 28.25 |
| 2002 | 668.75 | 248.18 | 38.76 | 34.91 | 346.90 | 123.14 | 12.09 | 67.08 | 0.98 | 602.70 | 32.76 |
| 2003 | 663.40 | 255.74 | 39.95 | 47.13 | 320.59 | 126.51 | 12.74 | 68.56 | 1.24 | 663.72 | 38.43 |
| 2004 | 693.71 | 266.36 | 41.98 | 55.06 | 330.32 | 120.78 | 12.89 | 64.65 | 1.59 | 705.20 | 42.67 |
| 2005 | 716.95 | 278.87 | 44.12 | 67.89 | 326.07 | 123.50 | 13.90 | 61.17 | 1.71 | 750.62 | 49.00 |
| 2006 | 747.16 | 290.89 | 46.86 | 83.09 | 326.32 | 121.20 | 13.70 | 64.36 | 1.91 | 743.74 | 57.19 |
| 2007 | 752.66 | 298.75 | 48.51 | 93.26 | 312.14 | 119.74 | 13.98 | 66.24 | 2.28 | 758.98 | 62.37 |
| 2008 | 803.33 | 327.90 | 53.90 | 113.20 | 308.33 | 116.04 | 17.27 | 66.43 | 2.66 | 810.93 | 71.23 |
| 2009 | 847.41 | 341.90 | 57.33 | 137.69 | 310.49 | 113.58 | 17.53 | 67.14 | 3.22 | 835.99 | 75.03 |
| 2010 | 884.01 | 355.64 | 60.69 | 162.68 | 304.99 | 111.78 | 17.87 | 68.35 | 3.95 | 860.53 | 76.61 |

4.6. Diesel Consumption Intensity
| Year | Mechanized Tillage | Mechanized Sowing | Mechanized Harvesting | Mechanized Irrigation |
|---|---|---|---|---|
| 1996 | 33.47 | 10.46 | 7.49 | 598.99 |
| 1997 | 34.16 | 10.19 | 7.90 | 607.62 |
| 1998 | 34.12 | 9.90 | 9.16 | 586.66 |
| 1999 | 32.66 | 9.51 | 9.75 | 567.48 |
| 2000 | 32.53 | 9.61 | 10.22 | 533.29 |
| 2001 | 32.84 | 9.49 | 11.66 | 552.11 |
| 2002 | 32.89 | 9.34 | 12.77 | 517.31 |
| 2003 | 33.89 | 9.79 | 17.19 | 476.54 |
| 2004 | 33.35 | 9.47 | 18.05 | 496.21 |
| 2005 | 33.00 | 9.36 | 19.73 | 483.05 |
| 2006 | 33.74 | 9.38 | 21.70 | 476.45 |
| 2007 | 33.11 | 9.20 | 22.11 | 443.55 |
| 2008 | 33.06 | 9.16 | 23.89 | 420.89 |
| 2009 | 32.72 | 8.82 | 25.83 | 416.73 |
| 2010 | 31.90 | 8.80 | 27.27 | 400.19 |
5. Conclusions
- For agriculture in China, farming and transportation are the two largest diesel consumers, accounting for 86.23% of the total diesel consumption in agriculture in 2010, while the other sectors account for a negligible share. Differing from the farming in this respect, more attention should be paid to the fast growth of the diesel consumption in the transportation in the forecasting model.
- Technological progress positively affected unit diesel consumption and the unit productivity of all machinery from 1996 to 2010. However, there is great potential in reducing unit diesel consumption and increasing unit productivity. The Chinese government should continue to promote technological progress and to improve in the field of mechanized agriculture.
- With the development of the agricultural economy, most of the agricultural machinery becomes larger and larger in size, more diesel fuel efficient and productive. However, irrigation machinery has proved to be an exception. Diesel consumption in mechanized agriculture can be reduced by preventing the miniaturization trend of irrigation machinery and raising the proportion of the medium-sized and large-scale agricultural machinery.
- The annual average working hours of the agricultural machinery (except harvesters) continue to decline from 1996 to 2010. Subsidies policy for purchasing agricultural machines upon 2004 leads to the massive growth of the agricultural machinery at the expense of the waste of the partial production capacity. This means that machinery sits idle in the yard for most of the time. Although this may not directly affect diesel fuel consumption, it directs resources to the manufacturing of agricultural machinery and increases the cost of the agricultural production.
- The annual average working hours of the agricultural machinery powered by diesel are about 40–120 h which is much fewer than that of agricultural machinery powered by electricity (i.e., 500–600 h). With an adequate power supply and feasible techniques, it is effective to save energy and improve utilization by replacing diesel machinery with electricity machinery.
Acknowledgments
References
- Dincer, I.; Hussain, M.; Al-Zaharnah, I. Energy and exergy utilization in agricultural sector of Saudi Arabia. Energy Policy 2005, 33, 1461–1467. [Google Scholar] [CrossRef]
- Utlu, Z.; Hepbasli, A. Assessment of the energy and exergy utilization efficiencies in the Turkish agricultural sector. Int. J. Energy Res. 2006, 30, 659–670. [Google Scholar] [CrossRef]
- Al-Ghandoor, A.; Jaber, J.O. Analysis of energy and exergy utilisation of Jordan's agricultural sector. Int. J. Exergy 2009, 6, 491–508. [Google Scholar] [CrossRef]
- Avara, A.; Karami, M. Energy and exergy efficiencies in agricultural and utility sectors of Iran compared with other countries. In Proceedings of the 2010 2nd International Conference on Mechanical and Electrical Technology (ICMET), Singapore, 10–12 September 2010; pp. 6–10.
- Ahamed, J.U.; Saidur, R.; Masjuki, H.H.; Mekhilef, S.; Ali, M.B.; Furqon, M.H. An application of energy and exergy analysis in agricultural sector of Malaysia. Energy Policy 2011, 39, 7922–7929. [Google Scholar] [CrossRef]
- Rijal, K.; Bansal, N.; Grover, P. Energy in subsistence agriculture: a case study of Nepal. Int. J. Energy Res. 1991, 15, 109–122. [Google Scholar] [CrossRef]
- Ozkan, B.; Akcaoz, H.; Fert, C. Energy input-output analysis in Turkish agriculture. Renew. Energy 2004, 29, 39–51. [Google Scholar] [CrossRef]
- Hatirli, S.A.; Ozkan, B.; Fert, C. An econometric analysis of energy input–output in Turkish agriculture. Renew. Sustain. Energy Rev. 2005, 9, 608–623. [Google Scholar] [CrossRef]
- Alam, M.; Alam, M.; Islam, K. Energy flow in agriculture: Bangladesh. Am. J. Environ. Sci. 2005, 1, 213–220. [Google Scholar] [CrossRef]
- Uri, N.D. Energy and the use of conservation tillage in US agriculture. Energy Sources 1999, 21, 757–771. [Google Scholar] [CrossRef]
- Karkacier, O.; Gokalp Goktolga, Z.; Cicek, A. A regression analysis of the effect of energy use in agriculture. Energy Policy 2006, 34, 3796–3800. [Google Scholar] [CrossRef]
- Türkekul, B.; Unakıtan, G. A co-integration analysis of the price and income elasticities of energy demand in Turkish agriculture. Energy Policy 2011, 39, 2416–2423. [Google Scholar] [CrossRef]
- Daniėls, B.; Van Dril, A. Save production: A bottom-up energy model for Dutch industry and agriculture. Energy Economics 2007, 29, 847–867. [Google Scholar] [CrossRef]
- Baruah, D.C.; Bora, G.C. Energy demand forecast for mechanized agriculture in rural India. Energy Policy 2008, 36, 2628–2636. [Google Scholar] [CrossRef]
- Feng, L.J.; Shang, X.; Xing, Z. Survey analysis of wheel tractor fuel consumption [in Chinese]. Tractor Farm Transp. 2007, 34, 1–3. [Google Scholar]
- GB/T15370. General Requirement of Agricultural Wheeled Tractors and Crawler Tractors; General Administration of Quality Supervision, Inspection and Quarantine of China, Standardization Administration of China: Beijing, China, 2004. [Google Scholar]
- CSY. China Statistical Yearbook; National Bureau of Statistics of China, National Development and Reform Commission: Beijing, China, 1997–2011.
- CESY. China Energy Statistical Yearbook; National Bureau of Statistics of China, National Development and Reform Commission: Beijing, China, 1997–2011.
- CRSY. China Rural Statistical Yearbook; National Bureau of Statistics of China: Beijing, China, 1997–2011.
- CASR. China Agriculture Statistical Report; Ministry of Agriculture of China: Beijing, China, 1996–2010.
- CLRB. China Land and Resources Bulletin; Ministry of Land and Resources of China: Beijing, China, 1996–2010.
- CWRB. China Water Resources Bulletin; Ministry of Water Resources of China: Beijing, China, 1996–2010.
- Renpu, B. Statistical error analysis of operating level of Chinese agricultural mechanization. Modern Agric. Equip. 2005, Z2, 72–76. [Google Scholar]
- Cheremnykh, E.; Gori, F. Exergy and Extended Exergy Cost Assessment of a Commercial Truck. In Proceedings of the ASME 2010 International Mechanical Engineering Congress and Exposition (IMECE2010), Vancouver, Canada, 12–18 November 2010; Volume 5, pp. 461–468.
- Seckin, C.; Sciubba, E.; Bayulken, A.R. An application of the extended exergy accounting method to the Turkish society, year 2006. Energy 2012, 40, 151–163. [Google Scholar] [CrossRef]
Appendix A
| Year | Tillage | Sowing | Harvesting | Irrigation | ||||
|---|---|---|---|---|---|---|---|---|
| Total area | Mechanized area | Total area | Mechanized area | Total area | Mechanized area | Total water consumption | Mechanized Irrigation | |
| (104 ha) | (104 ha) | (104 ha) | (104 ha) | (104 ha) | (104 ha) | (108 m3) | (108 m3) | |
| 1996 | 13003.92 | 5518.45 | 15242.33 | 3258.81 | 15249.54 | 1834.52 | 3900.00 | 2342.41 |
| 1997 | 12993.33 | 5791.05 | 15398.33 | 3564.71 | 15391.90 | 2134.86 | 3919.72 | 2418.95 |
| 1998 | 12966.70 | 6005.29 | 15548.61 | 3835.84 | 15544.40 | 2342.54 | 3766.46 | 2319.94 |
| 1999 | 12920.00 | 6192.42 | 15605.44 | 3993.43 | 15605.11 | 2542.07 | 3869.00 | 2389.00 |
| 2000 | 12826.70 | 6208.78 | 15629.57 | 3990.23 | 14483.03 | 2644.60 | 3783.54 | 2315.24 |
| 2001 | 12761.58 | 6165.28 | 15572.85 | 4058.29 | 14750.77 | 2653.66 | 3825.73 | 2326.23 |
| 2002 | 12653.30 | 6129.30 | 15467.98 | 4120.67 | 14813.48 | 2715.31 | 3736.18 | 2248.65 |
| 2003 | 12340.00 | 6094.36 | 15243.13 | 4071.44 | 14385.33 | 2736.09 | 3432.81 | 2091.34 |
| 2004 | 12243.92 | 6359.31 | 15352.72 | 4426.19 | 14583.48 | 3045.03 | 3585.70 | 2159.53 |
| 2005 | 12208.27 | 6630.05 | 15548.80 | 4710.17 | 14652.49 | 3437.47 | 3580.00 | 2173.60 |
| 2006 | 12177.59 | 6900.79 | 15214.90 | 4994.15 | 14707.82 | 3829.92 | 3664.45 | 2207.93 |
| 2007 | 12173.52 | 7171.54 | 15330.03 | 5278.13 | 14753.18 | 4222.36 | 3599.51 | 2188.50 |
| 2008 | 12171.60 | 7658.37 | 15793.86 | 5897.43 | 15224.12 | 4748.40 | 3663.46 | 2239.40 |
| 2009 | 12198.50 | 8049.79 | 15864.75 | 6509.31 | 15373.82 | 5340.87 | 3723.11 | 2287.77 |
| 2010 | 12214.58 | 8502.57 | 16068.99 | 6916.09 | 15581.02 | 5984.67 | 3689.10 | 2266.91 |
| Year | Small tractors | Large and medium-sized tractors | Combine harvesters | Swathers | Other harvesters | |||||
|---|---|---|---|---|---|---|---|---|---|---|
| Number | Total power | Number | Total power | Number | Total power | Number | Total power | Number | Total power | |
| (104) | (104 kW) | (104) | (104 kW) | (104) | (104 kW) | (104) | (104 kW) | (104) | (104 kW) | |
| 1996 | 918.92 | 8385.20 | 67.08 | 2415.10 | 9.64 | 301.50 | 78.09 | 30.46 | 10.19 | 12.25 |
| 1997 | 1048.48 | 9337.20 | 68.91 | 2486.50 | 14.13 | 370.60 | 93.00 | 37.20 | 11.21 | 13.88 |
| 1998 | 1122.06 | 10031.50 | 72.52 | 2587.90 | 18.26 | 467.50 | 103.08 | 42.26 | 12.33 | 15.88 |
| 1999 | 1200.25 | 11008.90 | 78.42 | 2772.80 | 22.60 | 570.50 | 100.03 | 42.01 | 13.56 | 18.34 |
| 2000 | 1264.37 | 11663.90 | 97.45 | 3161.10 | 26.26 | 660.90 | 110.69 | 47.81 | 14.92 | 21.38 |
| 2001 | 1305.08 | 12257.90 | 82.99 | 2901.70 | 28.29 | 744.50 | 105.61 | 57.54 | 18.21 | 28.18 |
| 2002 | 1339.39 | 12695.00 | 91.17 | 3073.40 | 31.01 | 855.70 | 112.35 | 57.97 | 18.79 | 32.00 |
| 2003 | 1377.71 | 13060.20 | 98.06 | 3229.80 | 36.50 | 1085.80 | 95.08 | 45.46 | 42.04 | 74.45 |
| 2004 | 1454.93 | 13855.40 | 111.86 | 3713.10 | 41.05 | 1265.60 | 87.91 | 44.30 | 41.90 | 81.61 |
| 2005 | 1526.89 | 14660.90 | 139.60 | 4293.50 | 48.04 | 1549.90 | 82.51 | 47.52 | 47.82 | 112.18 |
| 2006 | 1567.90 | 15229.10 | 171.82 | 5245.30 | 56.56 | 1896.20 | 68.25 | 45.97 | 50.45 | 132.66 |
| 2007 | 1619.11 | 15729.20 | 206.27 | 6101.10 | 63.38 | 2194.50 | 60.89 | 40.25 | 58.79 | 143.17 |
| 2008 | 1722.41 | 16647.70 | 299.52 | 8186.50 | 74.35 | 2707.40 | 49.21 | 46.31 | 69.37 | 189.21 |
| 2009 | 1750.90 | 16922.70 | 351.58 | 9772.60 | 85.84 | 3364.30 | 48.93 | 47.46 | 83.44 | 233.63 |
| 2010 | 1785.79 | 17278.39 | 392.17 | 11166.99 | 99.21 | 4042.30 | 49.85 | 48.85 | 101.29 | 288.68 |
| Year | Irrigation machinery | Primary processing machinery | Animal husbandry machinery | Fishing motorboats | Forestry machinery | Pedicabs | Low-speed trucks | Farmland construction machinery | ||||||||
|---|---|---|---|---|---|---|---|---|---|---|---|---|---|---|---|---|
| Number | Total power | Number | Total power | Number | Total power | Number | Total power | Number | Total power | Number | Total power | Number | Total power | Number | Total power | |
| (104) | (104 kW) | (104) | (104 kW) | (104) | (104 kW) | (104) | (104 kW) | (104) | (104 kW) | (104) | (104 kW) | (104) | (104 kW) | (104) | (104 kW) | |
| 1996 | 509.29 | 3984.90 | 176.81 | 1580.62 | 52.19 | 114.28 | 35.89 | 864.00 | 0.59 | 4.44 | 288.77 | 2482.73 | 43.76 | 1040.48 | 4.52 | 248.45 |
| 1997 | 546.12 | 4292.40 | 187.04 | 1672.03 | 53.88 | 119.35 | 39.88 | 1080.50 | 0.49 | 3.43 | 388.04 | 3412.58 | 60.05 | 1446.40 | 5.37 | 258.61 |
| 1998 | 581.61 | 4499.00 | 196.60 | 1757.55 | 61.10 | 136.92 | 41.13 | 1174.40 | 0.44 | 3.00 | 462.77 | 4160.86 | 76.34 | 1862.41 | 6.12 | 280.84 |
| 1999 | 644.95 | 4934.60 | 216.56 | 1935.98 | 72.62 | 164.59 | 41.74 | 1253.10 | 0.52 | 3.44 | 557.34 | 5120.84 | 92.62 | 2288.50 | 6.95 | 325.29 |
| 2000 | 688.12 | 5232.60 | 236.15 | 2119.58 | 72.58 | 191.00 | 45.99 | 1338.60 | 1.78 | 12.18 | 660.68 | 6219.97 | 112.07 | 2828.87 | 9.44 | 465.94 |
| 2001 | 728.57 | 5580.00 | 250.99 | 2215.04 | 83.36 | 194.35 | 48.01 | 1379.60 | 2.19 | 12.97 | 730.21 | 6996.78 | 124.36 | 3173.99 | 11.68 | 606.59 |
| 2002 | 750.61 | 5667.90 | 257.10 | 2313.68 | 94.27 | 219.58 | 48.57 | 1381.20 | 2.79 | 18.09 | 800.20 | 7830.44 | 142.25 | 3667.05 | 13.72 | 747.23 |
| 2003 | 749.57 | 5592.80 | 266.16 | 2385.51 | 100.12 | 232.38 | 47.81 | 1425.90 | 4.41 | 22.92 | 866.79 | 8622.85 | 155.66 | 4100.84 | 15.57 | 887.88 |
| 2004 | 777.54 | 5804.20 | 263.24 | 2359.40 | 109.07 | 243.47 | 48.69 | 1384.20 | 4.27 | 30.42 | 944.45 | 9608.98 | 169.77 | 4405.82 | 17.69 | 1024.84 |
| 2005 | 809.91 | 6034.00 | 277.15 | 2503.47 | 119.61 | 272.32 | 43.96 | 1376.10 | 5.73 | 33.99 | 1002.39 | 10418.32 | 189.84 | 5086.09 | 20.71 | 1226.35 |
| 2006 | 836.35 | 6148.80 | 284.45 | 2551.20 | 132.29 | 278.58 | 49.21 | 1498.30 | 6.72 | 39.32 | 1026.87 | 10777.86 | 202.85 | 5179.50 | 30.26 | 1422.34 |
| 2007 | 861.50 | 6282.80 | 293.83 | 2621.56 | 139.24 | 295.70 | 52.48 | 1605.30 | 8.16 | 48.92 | 1049.29 | 11205.87 | 235.96 | 5754.34 | 32.87 | 1628.80 |
| 2008 | 898.39 | 6561.70 | 300.41 | 2645.75 | 137.47 | 382.05 | 54.45 | 1679.49 | 9.47 | 59.51 | 1065.97 | 11807.90 | 233.86 | 7190.90 | 37.68 | 1954.85 |
| 2009 | 924.92 | 6795.50 | 306.28 | 2664.62 | 136.30 | 399.52 | 56.40 | 1748.73 | 13.36 | 73.97 | 1078.71 | 12034.09 | 255.51 | 8176.45 | 39.35 | 2139.06 |
| 2010 | 946.25 | 6969.20 | 311.46 | 2678.58 | 138.76 | 416.29 | 58.36 | 1820.82 | 17.36 | 92.88 | 1087.09 | 12341.52 | 271.80 | 8969.50 | 39.64 | 2251.53 |
© 2012 by the authors; licensee MDPI, Basel, Switzerland. This article is an open access article distributed under the terms and conditions of the Creative Commons Attribution license (http://creativecommons.org/licenses/by/3.0/).
Share and Cite
Li, N.; Mu, H.; Li, H.; Gui, S. Diesel Consumption of Agriculture in China. Energies 2012, 5, 5126-5149. https://doi.org/10.3390/en5125126
Li N, Mu H, Li H, Gui S. Diesel Consumption of Agriculture in China. Energies. 2012; 5(12):5126-5149. https://doi.org/10.3390/en5125126
Chicago/Turabian StyleLi, Nan, Hailin Mu, Huanan Li, and Shusen Gui. 2012. "Diesel Consumption of Agriculture in China" Energies 5, no. 12: 5126-5149. https://doi.org/10.3390/en5125126
APA StyleLi, N., Mu, H., Li, H., & Gui, S. (2012). Diesel Consumption of Agriculture in China. Energies, 5(12), 5126-5149. https://doi.org/10.3390/en5125126
