Improved Bagging Algorithm for Pattern Recognition in UHF Signals of Partial Discharges
Abstract
:1. Introduction
2. Description of the Improved Bagging Algorithm
2.1. Bagging Algorithm

2.2. Entropy-Based Improved Bagging Algorithm
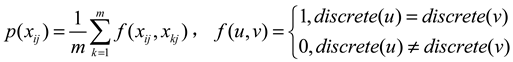
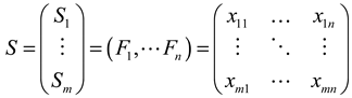
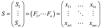
2.2.1. Sample Information Entropy
. In this paper, the equal-width interval division method [17] is employed to the discretization process for the continuous features.
2.2.2. Sampling Algorithm Based on Sample Entropy

2.2.3. Improved Bagging Algorithm Process

3. Experiment
3.1. Artificial Insulation Fault Models

3.2. Experimental Setup

| Discharge Model | Inception Voltage (kV) | Testing Voltage (kV) | Acquired Sample Size |
|---|---|---|---|
| G (Gas-cavity) | 5.8 | 7 | 50 |
| 8 | 50 | ||
| 9 | 50 | ||
| S (Surface) | 5 | 6 | 50 |
| 7 | 50 | ||
| 8 | 50 | ||
| C (Corona) | 7.5 | 9 | 50 |
| 10 | 50 | ||
| 11 | 50 | ||
| F (Floating) | 4.2 | 5 | 50 |
| 6 | 50 | ||
| 7 | 50 |
3.3. Analysis of Partial Discharge UHF Signals


3.4. Features Extraction of PD UHF Signals






4. Results and Discussion
4.1. Comparison Experiments of Algorithm Accuracy
| Discharge Type | BPNN | SVM | ||||
|---|---|---|---|---|---|---|
| IBA | BA | NBA | IBA | BA | NBA | |
| G (Gas-cavity) | 96.66 | 95.04 | 94.81 | 96.9 | 95.7 | 95.67 |
| S (Surface) | 93.85 | 91.11 | 90.33 | 94.89 | 92.78 | 91.87 |
| C (Corona) | 94.57 | 93.99 | 93.11 | 98.27 | 96.00 | 95.33 |
| F (Floating) | 93.14 | 91.19 | 90.67 | 93.92 | 93.64 | 92.83 |
| Average accuracy | 94.56 | 92.83 | 92.23 | 96.00 | 94.53 | 93.93 |
4.2. Comparison Experiments of Algorithm Stability


| IBA | BA | NBA | |
|---|---|---|---|
| BPNN | 0.1652 | 0.5957 | 1.2215 |
| SVM | 0.2718 | 0.3950 | 1.0681 |
5. Conclusions
Acknowledgments
References
- Gulski, E.; Krivda, A. Neural networks as a tool for recognition of partial discharges. IEEE Trans. Electr. Insul. 1993, 28, 984–1001. [Google Scholar] [CrossRef]
- Satish, L.; Zaengl, W.S. Artificial neural networks for recognition cognition of 3-D partial discharge patterns. IEEE Trans. Dielectr. Electr. Insul. 1994, 1, 265–275. [Google Scholar] [CrossRef]
- Ahmad, A.S.; Ghosh, P.S.; Ahmed, S.S.; Aljunid, S.A.K. Assessment of ESDD on high-voltage insulators using artificial neural network. Electr. Power Syst. Res. 2004, 72, 131–136. [Google Scholar] [CrossRef]
- Niu, W.; Xu, L.F.; Wu, J.L. The application of particle swarm optimization-based RBF neural network in fault diagnosis of power transformer. In Proceedings of IEEE International Conference on Computer Science and Information Technology, Beijing, China, August 2009; pp. 534–536.
- Hao, L.; Lewin, P.L. Partial discharge source discrimination using a support vector machine. IEEE Trans. Dielectr. Electr. Insul. 2010, 17, 189–197. [Google Scholar] [CrossRef]
- Sharkawy, R.M.; Mangoubi, R.S.; Abdel-Galil, T.K.; Salama, M.M.A.; Bartnikas, R. SVM classification of contaminating particles in liquid dielectrics using higher order statistics of electrical and acoustic PD measurements. IEEE Trans. Dielectr. Electr. Insul. 2007, 14, 669–678. [Google Scholar] [CrossRef]
- Jiang, T.Y.; Li, J.; Wang, Y.Y.; Grzybowski, S. Recognition on ultra-high-frequency signals of partial discharge by support vector machine. In Proceedings of International Conference on High Voltage Engineering and Application, New Orleans, LA, USA, October 2010; pp. 634–637.
- Li, J.; Sun, C.X.; Grzybowski, S.; Taylor, C.D. Partial discharge image recognition using a new group of features. IEEE Trans. Dielectr. Electr. Insul. 2006, 13, 1245–1253. [Google Scholar] [CrossRef]
- Sharkawy, R.M.; Abdel-Galil, T.K.; Mangoubi, R.S.; Salama, M.M.; Bartnikas, R. Particle Identification in Terms of Acoustic Partial Discharge Measurements in Transformer Oils. IEEE Trans. Dielectr. Electr. Insul. 2008, 15, 1649–1656. [Google Scholar] [CrossRef]
- Chen, H.C.; Gu, F.C.; Lee, C.Y. A new method based on extension theory for partial discharge pattern recognition. WSEAS Trans. Syst. 2008, 12, 1402–1411. [Google Scholar]
- Behzad, M.; Asghari, K.; Eazi, M.; Palhang, M. Generalization performance of support vector machines and neural networks in runoff modeling. Expert Syst. Appl. 2009, 36, 7624–7629. [Google Scholar] [CrossRef]
- Zhao, Z.Q.; Huang, D.S. A mended hybrid learning algorithm for radial basis function neural networks to improve generalization capability. Appl. Math. Modell. 2007, 31, 1271–1281. [Google Scholar] [CrossRef]
- Schapire, R.E. The strength of weak learn ability. Mach. Learn. 1990, 5, 197–227. [Google Scholar]
- Breiman, L. Bagging predictors. Mach. Learn. 1996, 24, 123–140. [Google Scholar]
- Valiant, L.G. A theory of the learnable, communications of the ACM. Res. Contrib. 1984, 27, 1134–1142. [Google Scholar]
- Masoumi, B.; Meybodi, M.R. Speeding up learning automata based multi agent systems using the concepts of stigmergy and entropy. Expert Syst. Appl. 2010, 12, 8105–8118. [Google Scholar]
- Serqio, T.; Konstantinos, K. Pattern Recognition, 3rd ed.; Academic Press: Durham, NC, USA, 2006. [Google Scholar]
- Li, J.; Wang, X.W.; Jin, Z.R.; Sun, C.X.; Cheng, C.K. Multi-scale grid dimension extraction and recognition of ultra-high frequency signals of transformer partial discharge. Power Syst. Technol. 2010, 34, 159–163. [Google Scholar] [CrossRef]
- Melgani, F.; Bazi, Y. Classification of electrocardiogram signals with support vector machines and particle swarm optimization. IEEE Trans. Inf. Technol. Biomed. 2008, 12, 667–677. [Google Scholar] [CrossRef]
© 2011 by the authors; licensee MDPI, Basel, Switzerland. This article is an open access article distributed under the terms and conditions of the Creative Commons Attribution license ( http://creativecommons.org/licenses/by/3.0/).
Share and Cite
Jiang, T.; Li, J.; Zheng, Y.; Sun, C. Improved Bagging Algorithm for Pattern Recognition in UHF Signals of Partial Discharges. Energies 2011, 4, 1087-1101. https://doi.org/10.3390/en4071087
Jiang T, Li J, Zheng Y, Sun C. Improved Bagging Algorithm for Pattern Recognition in UHF Signals of Partial Discharges. Energies. 2011; 4(7):1087-1101. https://doi.org/10.3390/en4071087
Chicago/Turabian StyleJiang, Tianyan, Jian Li, Yuanbing Zheng, and Caixin Sun. 2011. "Improved Bagging Algorithm for Pattern Recognition in UHF Signals of Partial Discharges" Energies 4, no. 7: 1087-1101. https://doi.org/10.3390/en4071087
APA StyleJiang, T., Li, J., Zheng, Y., & Sun, C. (2011). Improved Bagging Algorithm for Pattern Recognition in UHF Signals of Partial Discharges. Energies, 4(7), 1087-1101. https://doi.org/10.3390/en4071087
