Performance Improvement of a Portable Electric Generator Using an Optimized Bio-Fuel Ratio in a Single Cylinder Two-Stroke Engine
Abstract
:1. Introduction
2. Experimental Setup
2.1. Portable Harvesting System

2.2. Engine Characteristics
| Item | Value |
|---|---|
| Displacement (cm3) | 25.4 cm3 |
| Bore (mm) | 34 mm |
| Stroke (mm) | 28 mm |
| Engine power (hp) | 950 W (1.3 hp) at 8500 rpm |
| Idle Speed (rpm) | 2800 rpm |
| Rated cut off speed (rpm) | 10500 rpm |
| Ignition system | Spark plug |
| Compression ratio | 7:1 |

2.3. Generator Structural Features

| Parameter | Value |
|---|---|
| Rated power (W) | 450 W |
| Rated voltage (V) | 100 V |
| Rated current (A) | 4.5 A |
| Maximum Speed (rpm) | 10,500 rpm |
| Armature Resistance (Ω) | 0.8 Ω |
| Armature Inductance (mH) | 4 mH |
2.4. Voltage and Torque Equations
3. Fuel Characteristics and Measurement Setup
3.1. Fuel Characteristics
| Fuel Property | Ethanol | n-Butanol | Methanol | Gasoline |
|---|---|---|---|---|
| Chemical formula | C2H5OH | C4H9OH | CH3OH | CH1 |
| Specific gravity 15/15 vC | 0.7894 | 0.8097 | 0.7913 | 0.7430 |
| Lower heating value (MJ/kg) | 26.83 | 32.01 | 20.08 | 42.9 |
| Stoichiometric air–fuel ratio | 8.94 | 11.12 | 6.43 | 14.51 |
| Energy density of a Air–fuel mixture (MJ/kg) | 2.699 | 2.641 | 2.750 | 2.769 |
| Latent heat of vaporization (kJ/kg) | 838 | 584 | 1098 | 349 |
| Octane number (RON) | 129 | 92 | 133 | 95 |
3.2. Experimental Measurement Setup

| Electrical Load (Resistive Load) | Throttle Valve Ratio (TVR) | Blending Ratio |
|---|---|---|
| G (90% ~ 60%) E (10% ~ 40%) | ||
| Rext = 10 Ω ~ 100 Ω | 20% ~ 100% | G (90% ~ 60%) B (10% ~ 40%) |
| G (90% ~ 60%) M (10% ~ 40%) |
4. Results and Discussion
4.1. Voltage and Current Waveforms

4.2. Engine Speed and Power Generation

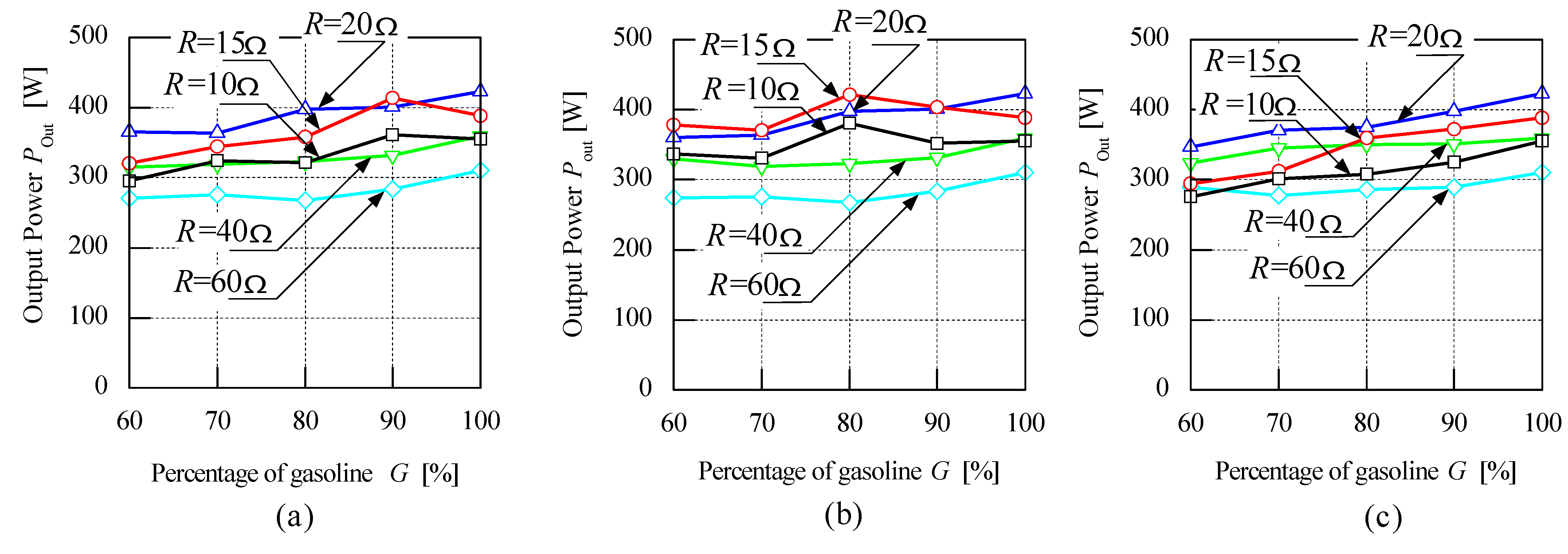
4.3. Effect of Bio-Fuel-Gasoline Blending Ratio on Output Power of Electric Generator


5. Conclusions
Acknowledgements
References
- Yusoff, S. Renewable Energy from Palm oil Innovation on Effective Utilization of Waste. J. Clean. Prod. 2006, 14, 87–93. [Google Scholar] [CrossRef]
- Eyidogan, M.; Ozsezen, A.N.; Canakci, M.; Turkcan, A. Impact of alcohol–gasoline fuel blends on the performance and combustion characteristics of an SI engine. Fuel 2010, 89, 2713–2720. [Google Scholar] [CrossRef]
- Kelly, K.J.; Bailey, B.K.; Coburn, T.; Clark, W.; Lissuk, P. Federal test procedure emissions test results from ethanol variable-fuel vehicle Chevrolet luminas. In Proceedings of the Society for Automotive Engineers International Spring Fuels and Lubricants Meeting, Dearborn, MI, USA, 6–8 May 1996.
- Yüksel, F.; Yüksel, B. The use of ethanol–gasoline blends as a fuel in an SI engine. Renew. Energy 2004, 29, 1181–1191. [Google Scholar] [CrossRef]
- Koc, M.; Sekmen, Y.; Topgu, T.; Yucesu, H.S. The effects of ethanol–unleaded gasoline blends on engine performance and exhaust emissions in a spark-ignition engine. Renew. Energy 2009, 34, 2101–2106. [Google Scholar] [CrossRef]
- Bahattin Celik, M.; Ozdalyan, B.; Alkan, F. The use of pure methanol as fuel at high compression ratio in a single cylinder gasoline engine. Fuel 2011, 90, 1591–1598. [Google Scholar] [CrossRef]
- Economics and Industrial Division. Malaysian Palm Oil Board World Oil & Fats 2008. Available online: http://econ.mpob.gov.my/economy/annual/stat2008/ei_world08.htm (accessed on 13 May 2011).
- Sumathi, S.; Chai, S.P.; Mohamed, A.R. Utilization of oil palm as a source of renewable energy in Malaysia. Renew. Sustain. Energy Rev. 2008, 12, 2404–2421. [Google Scholar] [CrossRef]
- Mumtaz, T.; Yahaya, N.A.; Abd-Aziz, S.; Rahman, N.A.; Yee, P.L.; Shirai, Y.; Hassan, M.A. Turning waste to wealth-biodegradable plastics polyhydroxyalkanoates from palm oil mill effluent a Malaysian perspective. J. Clean. Prod. 2010, 18, 1393–1402. [Google Scholar] [CrossRef]
- Fatih Demirbas, M.; Balat, M.; Balat, H. Biowastes-to-bio-fuels. Energy Convers. Manag. 2011, 52, 1815–1828. [Google Scholar] [CrossRef]
- Piarpuzán, D.; Quintero, J.A.; Cardona, C.A. Empty fruit bunches from oil palm as a potential raw material for fuel ethanol production. Biomass Bioenergy 2011, 35, 1130–1137. [Google Scholar] [CrossRef]
- Demirbas, A. Bio-fuels securing the planet’s future energy needs. Energy Convers. Manag. 2009, 50, 2239–2249. [Google Scholar] [CrossRef]
- Alasfour, F.N. Butanol—A single-cylinder engine study: Availability analysis. Appl. Therm. Eng. 1997, 17, 537–549. [Google Scholar] [CrossRef]
- International Organization for Standards. Tractor Machinery for Agriculture and Forestry. TC23/SC17. Available online: http://www.iso.org/iso/iso_catalogue/catalogue_tc (accessed on 13 June 2011).
- Norhisam, M.; Norafiza, M.; Syafiq, M.; Aris, I.; Nirei, M.; Wakiwaka, H.; Abdul Razak, J. Comparison on performance of two types permanent magnet generator. J. Jpn. Soc. Electromagn. Mech. 2009, 17, S73–S76. [Google Scholar]
- Norhisam, M.; Norafiza, M.; Syafiq, M.; Aris, I.; Nirei, M.; Wakiwaka, H.; Abdul Razak, J. Design and analysis of slot type embedded permanent magnet generator. J. Ind. Technol. 2009, 18, 1–14. [Google Scholar]
- Norhisam, M.; Norafiza, M.; Syafiq, M.; Aris, I.; Abdul Razak, J. Design and Analysis of a Single Phase Slot-Less Permanent Magnet Generator. In Proceedings of the 2nd IEEE International Conference Proceedings on Power and Energy, Johor Bahru, Malaysia, 1–3 December 2009; pp. 1082–1085.
© 2011 by the authors; licensee MDPI, Basel, Switzerland. This article is an open access article distributed under the terms and conditions of the Creative Commons Attribution license (http://creativecommons.org/licenses/by/3.0/).
Share and Cite
Misron, N.; Rizuan, S.; Vaithilingam, A.; Mailah, N.F.; Tsuyoshi, H.; Hiroaki, Y.; Yoshihito, S. Performance Improvement of a Portable Electric Generator Using an Optimized Bio-Fuel Ratio in a Single Cylinder Two-Stroke Engine. Energies 2011, 4, 1937-1949. https://doi.org/10.3390/en4111937
Misron N, Rizuan S, Vaithilingam A, Mailah NF, Tsuyoshi H, Hiroaki Y, Yoshihito S. Performance Improvement of a Portable Electric Generator Using an Optimized Bio-Fuel Ratio in a Single Cylinder Two-Stroke Engine. Energies. 2011; 4(11):1937-1949. https://doi.org/10.3390/en4111937
Chicago/Turabian StyleMisron, Norhisam, Suhairi Rizuan, Aravind Vaithilingam, Nashiren Farzilah Mailah, Hanamoto Tsuyoshi, Yamada Hiroaki, and Shirai Yoshihito. 2011. "Performance Improvement of a Portable Electric Generator Using an Optimized Bio-Fuel Ratio in a Single Cylinder Two-Stroke Engine" Energies 4, no. 11: 1937-1949. https://doi.org/10.3390/en4111937
APA StyleMisron, N., Rizuan, S., Vaithilingam, A., Mailah, N. F., Tsuyoshi, H., Hiroaki, Y., & Yoshihito, S. (2011). Performance Improvement of a Portable Electric Generator Using an Optimized Bio-Fuel Ratio in a Single Cylinder Two-Stroke Engine. Energies, 4(11), 1937-1949. https://doi.org/10.3390/en4111937

