Performance of CaMn0.625Ti0.125Fe0.125Mg0.125O3 Oxygen Carrier in the Chemical Looping Combustion of Biomass
Abstract
1. Introduction
2. Materials and Methods
2.1. Perovskite OC Synthesis
2.2. Biomass Feedstock Preparation
2.3. Experimental Equipment and Procedures
2.4. Data Evaluation
2.5. Characterization Methods
3. Results and Discussion
3.1. Carbon Balance Analysis
3.2. Effect of Mixed and Separated Modes of CLC
3.3. Performance of Biomass Pyrolysis and Gasification in the Separated Mode
3.3.1. Conversion of the In Situ Pyrolysis Gas from Biomass by OC
3.3.2. Effect of OC on In Situ Biomass Char Gasification Gas
3.4. Effect of the Temperature and B/O Ratio
3.4.1. Conversion of Pyrolysis Products in the Separated Mode
3.4.2. Conversion of Gasification Products in the Separated Mode
3.5. Characterization of OCs
3.5.1. FESEM
3.5.2. EDS
3.5.3. BET
3.5.4. XRD
4. Conclusions
- (1)
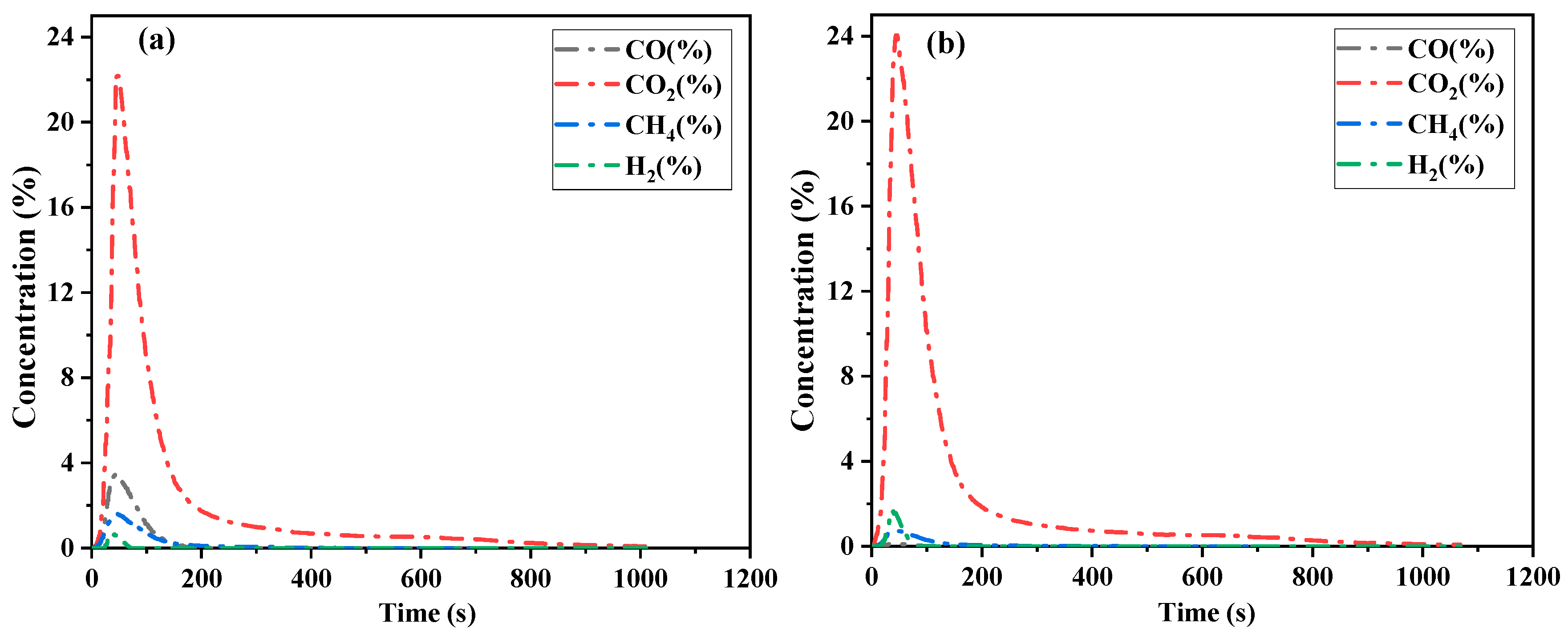
- The separated combustion mode demonstrates superior performance to the mixed mode, yielding significantly higher peak CO2 concentrations (24.04% vs. 12.81%) and combustion efficiencies (89% vs. 79%), along with substantial reductions in CO and CH4 emissions, than the mixed combustion mode.
- (2)
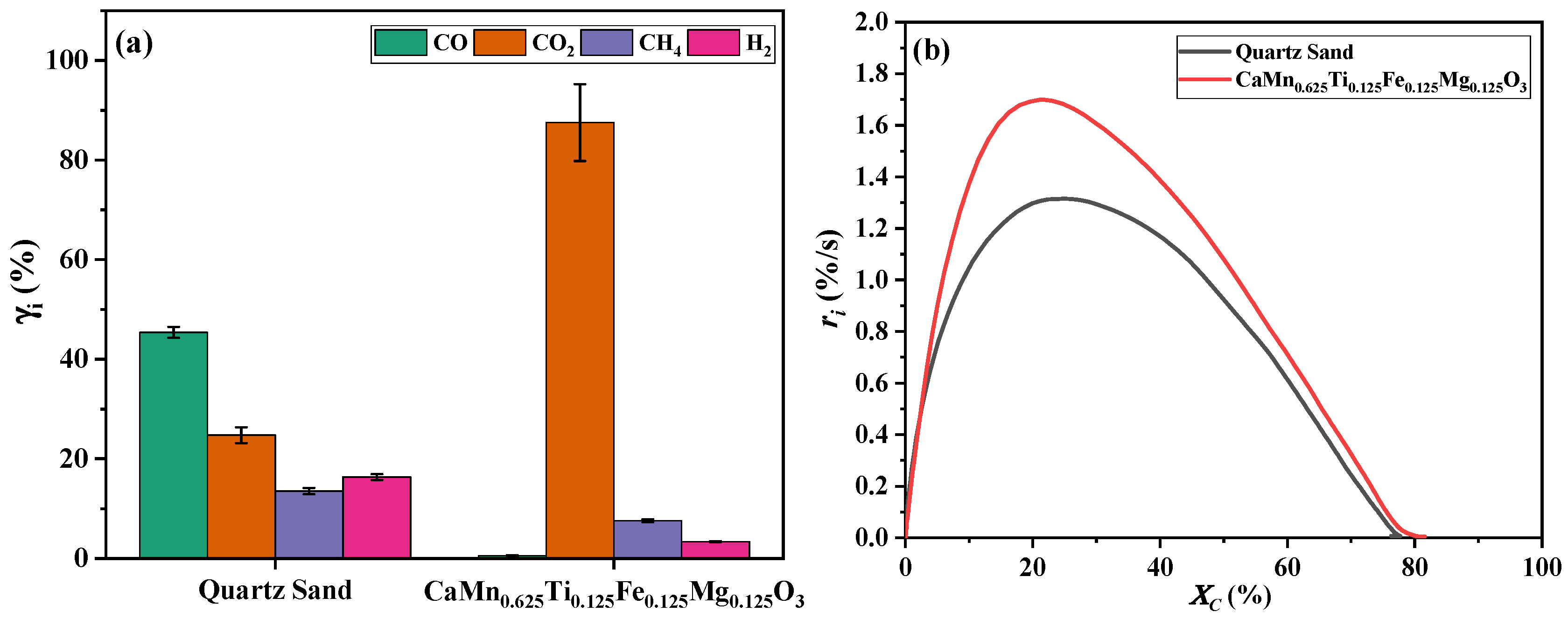
- CaMn0.625Ti0.125Fe0.125Mg0.125O3 markedly enhances the oxidation of gaseous products during biomass pyrolysis and char gasification. The CO2 yields increase from 24.75% and 30.31% (without the OC) to 84.52% and 87.54% (with the OC), respectively, while CO and H2 yields decrease significantly.
- (3)
- The temperature and B/O ratio significantly influence the CO2 yield and combustion performance. High temperatures enhance oxygen release kinetics and catalytic activity, improving carbon conversion. While low B/O ratios significantly boost the combustion efficiency and suppress CO/CH4 emissions, excessive fuel concentrations saturate active sites, inhibiting catalytic functions.
- (4)
- Characterization results confirm that the OC maintains overall structural robustness during BCLC, while surface evolution is mainly governed by ash/impurity deposition and redox cycling: SEM/EDS shows evident surface morphological changes and the appearance of sulfur on reacted particles; BET indicates an increased specific surface area after cycling; and XRD suggests that the main crystalline phases remain identifiable with limited phase evolution under the tested cycles.
Author Contributions
Funding
Data Availability Statement
Conflicts of Interest
References
- Cabello, A.; Abad, A.; Gayán, P.; de Diego, L.F.; Garcia-Labiano, F.; Adanez, J. Effect of operating conditions and H2S presence on the performance of CaMg0.1Mn0.9O3−δ perovskite material in chemical looping combustion (CLC). Energy Fuels 2014, 28, 1262–1274. [Google Scholar] [CrossRef]
- Hu, D.; Cao, G.; Du, M.; Huang, J.; Zhao, J.; Li, C.; Fang, Y. Insight into the biomass pyrolysis volatiles reaction with an iron-based oxygen carrier in a two-stage fixed-bed reactor. Chem. Eng. J. 2023, 465, 142860. [Google Scholar] [CrossRef]
- Bhui, B.; Prabu, V. Experimental and kinetic studies on in-situ CO2 gasification based chemical looping combustion of low ash coal using Fe2O3 as the oxygen carrier. J. CO2 Util. 2019, 291, 103–116. [Google Scholar] [CrossRef]
- Zhao, X.; Zhou, H.; Sikarwar, V.-S.; Zhao, M.; Park, A.H.A.; Fennell, P.S.; Shen, L.; Fan, L. Biomass-based chemical looping technologies: The good, the bad and the future. Energy Environ. Sci. 2017, 10, 1885–1910. [Google Scholar] [CrossRef]
- Liu, L.; Li, K.; Liu, H.; Sun, Z. A DFT-based kinetic model for Cu-Al oxygen carrier material in chemical looping with oxygen uncoupling. Fuel 2025, 381, 133572. [Google Scholar] [CrossRef]
- Zhou, Z.; Lu, H.; Nordness, O.; Bollas, G.M. Continuous regime of chemical-looping combustion (CLC) and chemical-looping with oxygen uncoupling (CLOU) reactivity of CuO oxygen carriers. Appl. Catal. B Environ. 2015, 166, 132–144. [Google Scholar] [CrossRef]
- Cormos, C.C. Assessment of copper-based chemical looping air separation system for energy efficiency improvements of oxy-combustion and gasification power plants. Appl. Therm. Eng. 2018, 130, 120–126. [Google Scholar] [CrossRef]
- Idziak, K.; Czakiert, T.; Krzywanski, J.; Zylka, A.; Kozlowska, M.; Nowak, W. Safety and environmental reasons for the use of Ni-, Co-, Cu-, Mn- and Fe-based oxygen carriers in CLC/CLOU applications: An overview. Fuel 2020, 268, 117245. [Google Scholar] [CrossRef]
- Li, X.; Faust, R.; Purnomo, V.; Mei, D.; Linderholm, C.; Lyngfelt, A.; Mattisson, T. Performance of a perovskite-structured calcium manganite oxygen carrier produced from natural ores in a batch reactor and in operation of a chemical-looping combustion reactor system. Chem. Eng. J. 2024, 497, 154516. [Google Scholar] [CrossRef]
- Li, C.; Soh, K.C.K.; Wu, P. Formability of ABO3 perovskites. J. Alloys Compd. 2004, 372, 40–48. [Google Scholar] [CrossRef]
- Kumar, S.; Zhuo, C.; Sudeshna, G.; Qin, L.; Colijn, H.; Mohammad, Z.; Fan, L. Nanoscale structural transformations in LaFeO3 oxygen carriers for enhanced reactivity in chemical looping combustion. Powder Technol. 2024, 444, 119988. [Google Scholar] [CrossRef]
- Liang, W.; Wang, F.; Wang, C.; Yang, H.; Cui, W.; Yue, G. Investigation on the oxygen-carrying performance and reaction kinetics of CaMnxFe1-xO3−δ perovskites prepared from red mud. Fuel 2023, 331, 125929. [Google Scholar] [CrossRef]
- Shen, X.; Sun, Y.; Wu, Y.; Wang, J.; Jiang, E.; Xu, X.; Su, J.; Jia, Z. The coupling of CH4 partial oxidation and CO2 splitting for syngas production via double perovskite-type oxides LaFexCo1-xO3. Fuel 2020, 268, 117381. [Google Scholar] [CrossRef]
- Zhang, Z.; Wang, Y.; Zhu, L.; Li, J.; Wang, F.; Yu, G. Performance of Fe2O3/Al2O3 oxygen carrier modified by CaCO3 and CaSO4 in chemical looping combustion. Appl. Therm. Eng. 2019, 160, 113813. [Google Scholar] [CrossRef]
- Patzschke, C.-F.; Boot-Handford, M.-E.; Song, Q.; Fennell, P.S. Co-precipitated Cu-Mn mixed metal oxides as oxygen carriers for chemical looping processes. Chem. Eng. J. 2021, 407, 127093. [Google Scholar] [CrossRef]
- Li, Z.; Larring, Y. Thermochemically stable novel oxygen carriers based on CaMn1-x-yTixFeyO3−δ for chemical looping. Energy Fuels 2024, 38, 15642–15651. [Google Scholar] [CrossRef]
- Galinsky, N.; Mishra, A.; Zhang, J.; Li, F. Ca1-xAxMnO3 (A = Sr and Ba) perovskite based oxygen carriers for chemical looping with oxygen uncoupling (CLOU). Appl. Energy 2015, 157, 358–367. [Google Scholar] [CrossRef]
- Mattisson-Henrik, T.-M.; Leion, D.; Jing, Z. Examination of perovskite structure CaMnO3−δ with MgO addition as oxygen carrier for chemical looping with oxygen uncoupling using methane and syngas. Int. J. Chem. Eng. 2013, 2013, 679560. [Google Scholar] [CrossRef]
- Rydén, M.; Lyngfelt, A.; Mattisson, T. CaMn0.875Ti0.125O3 as oxygen carrier for chemical-looping combustion with oxygen uncoupling (CLOU)—Experiments in a continuously operating fluidized-bed reactor system. Int. J. Greenh. Gas Control 2011, 5, 356–366. [Google Scholar] [CrossRef]
- Belviso, C. State-of-the-art applications of fly ash from coal and biomass: A focus on zeolite synthesis processes and issues. Prog. Energy Combust. Sci. 2018, 65, 109–135. [Google Scholar] [CrossRef]
- Zhou, T.; Zhang, W.; Shen, Y.; Luo, S.; Ren, D. Progress in the change of ash melting behavior and slagging characteristics of co-gasification of biomass and coal: A review. J. Energy Inst. 2023, 111, 101414. [Google Scholar] [CrossRef]
- Mlonka-Medrala, A.; Magdziarz, A.; Gajek, M.; Nowińska, K.; Nowak, W. Alkali metals association in biomass and their impact on ash melting behaviour. Fuel 2020, 261, 116421. [Google Scholar] [CrossRef]
- Hanning, M.; Corcoran, A.; Lind, F.; Rydén, M. Biomass ash interactions with a manganese ore used as oxygen-carrying bed material in a 12 MWth CFB boiler. Biomass Bioenergy 2018, 119, 179–190. [Google Scholar] [CrossRef]
- Bao, J.; Li, Z.; Cai, N. Interaction between iron-based oxygen carrier and four coal ashes during chemical looping combustion. Appl. Energy 2014, 115, 549–558. [Google Scholar] [CrossRef]
- Corcoran, A.; Marinkovic, J.; Lind, F.; Rydén, M. Ash properties of ilmenite used as bed material for combustion of biomass in a circulating fluidized bed boiler. Energy Fuels 2014, 28, 7672–7679. [Google Scholar] [CrossRef]
- Staničić, I.; Andersson, V.; Hanning, M.; Mattisson, T.; Backman, R.; Leion, H. Combined manganese oxides as oxygen carriers for biomass combustion—Ash interactions. Chem. Eng. Res. Des. 2019, 149, 104–120. [Google Scholar] [CrossRef]
- Gu, H.; Shen, L.; Zhong, Z.; Zhou, Y.; Liu, W.; Niu, X.; Ge, H.; Jiang, S.; Wang, L. Interaction between biomass ash and iron ore oxygen carrier during chemical looping combustion. Chem. Eng. J. 2015, 277, 70–78. [Google Scholar] [CrossRef]
- Gyllén, A.; Knutsson, P.; Lind, F.; Thunman, H. Magnetic separation of ilmenite used as oxygen carrier during combustion of biomass and the effect of ash layer buildup on its activity and mechanical strength. Fuel 2020, 269, 117470. [Google Scholar] [CrossRef]
- Dai, J.; Whitty, K. Effects of coal ash on CuO as an oxygen carrier for chemical looping with oxygen uncoupling. Energy Fuels 2018, 32, 11656–11665. [Google Scholar] [CrossRef]
- Zhang, S.; Gu, H.; Zhao, J.; Shen, L.; Wang, L. Development of iron ore oxygen carrier modified with biomass ash for chemical looping combustion. Energy 2019, 186, 115893. [Google Scholar] [CrossRef]
- Hildor, F.; Zevenhoven, M.; Brink, A.; Hupa, L.; Leion, H. Understanding the interaction of potassium salts with an ilmenite oxygen carrier under dry and wet conditions. ACS Omega 2020, 5, 22966–22977. [Google Scholar] [CrossRef] [PubMed]
- Eriksson, J.-E.; Zevenhoven, M.; Yrjas, P.; Brink, A.; Hupa, L. Corrosion of heat transfer materials by potassium-contaminated ilmenite bed particles in chemical-looping combustion of biomass. Energies 2022, 15, 2740. [Google Scholar] [CrossRef]
- Andersson, V.; Soleimanisalim, A.-H.; Kong, X.; Leion, H.; Mattisson, T.; Pettersson, J.B. Alkali interactions with a calcium manganite oxygen carrier used in chemical looping combustion. Fuel Process. Technol. 2022, 227, 10. [Google Scholar] [CrossRef]
- ASTM D7582-15; Standard Test Methods for Proximate Analysis of Coal and Coke by Macro Thermogravimetric Analysis. ASTM International: West Conshohocken, PA, USA, 2015.
- ASTM D5373-21; Standard Test Methods for Determination of Carbon, Hydrogen and Nitrogen in Analysis Samples of Coal and Carbon in Analysis Samples of Coal and Coke. ASTM International: West Conshohocken, PA, USA, 2021.
- Ma, J.; Mei, D.; Wang, C.; Tian, X.; Liu, Z.; Zhao, H. Sulfur fate during in-situ gasification chemical looping combustion (iG-CLC) of coal. Chem. Eng. J. 2021, 406, 126773. [Google Scholar] [CrossRef]
- Zhao, Y.; Yan, Y.; Jiang, Y.; Cao, Y.; Wang, Z.; Li, J.; Yan, C.; Wang, D.; Yuan, L.; Zhao, G. Release pattern of light aromatic hydrocarbons during the biomass roasting process. Molecules 2024, 29, 1188. [Google Scholar] [CrossRef]
- Jahangiri, H.; Bennett, J.; Mahjoubi, P.; Wilson, K.; Gu, S. A review of advanced catalyst development for Fischer-Tropsch synthesis of hydrocarbons from biomass derived syn-gas. Catal. Sci. Technol. 2014, 4, 2210–2229. [Google Scholar] [CrossRef]
- Zhang, Y.; Liang, Y.; Li, S.; Yuan, Y.; Zhang, D.; Wu, Y.; Xie, H.; Brindhadevi, K.; Pugazhendhi, A.; Xia, C. A review of biomass pyrolysis gas: Forming mechanisms, influencing parameters, and product application upgrades. Fuel 2023, 347, 10. [Google Scholar] [CrossRef]
- Uddin, M.-K.; Abd Malek, N.N.; Jawad, A.H.; Sabar, S. Pyrolysis of rubber seed pericarp biomass treated with sulfuric acid for the adsorption of crystal violet and methylene green dyes: An optimized process. Int. J. Phytoremediation 2023, 25, 393–402. [Google Scholar] [CrossRef]
- Xiong, J.; Dong, M.; Huang, Z.; Liu, H.; Hou, H.; Liang, Y.; Lu, J. Facet-dependent reaction mechanism of Fe-based oxygen carrier for CH4 chemical looping combustion. Int. J. Hydrogen Energy 2025, 105, 1153–1163. [Google Scholar] [CrossRef]
- Ma, J.; Tian, X.; Wang, C.; Zhao, H.; Liu, Z.; Zheng, C. Fate of fuel nitrogen during in situ gasification chemical looping combustion of coal. Fuel Process. Technol. 2021, 215, 106710. [Google Scholar] [CrossRef]
- Gueci, L.; Arena, F.; Todaro, S.; Bonura, G.; Cajumi, A.; Bertini, M.; Ferrante, F.; Nania, C.; Duca, D. CO-PROX on MnO2 catalysts: DFT-based microkinetic and experimental macrokinetic approaches. Catal. Today 2024, 434, 8. [Google Scholar] [CrossRef]
- Jiao, Y.; Tian, W.; Chen, H.; Shi, H.; Yang, B.; Li, C.; Shao, Z.; Zhu, Z.; Li, S. In situ catalyzed Boudouard reaction of coal char for solid oxide-based carbon fuel cells with improved performance. Appl. Energy 2015, 141, 200–208. [Google Scholar] [CrossRef]
- Shen, Y. Biomass-derived porous carbons for sorption of volatile organic compounds (VOCs). Fuel 2023, 336, 19. [Google Scholar] [CrossRef]
- Liu, L.; Li, Z.; Li, Z.; Larring, Y.; Cai, N. Perovskite oxygen carrier with chemical memory under reversible chemical looping conditions with and without SO2 during reduction. Chem. Eng. J. 2021, 424, 130417. [Google Scholar] [CrossRef]
- Liu, L.; Li, Z.; Li, Z.; Larring, Y.; Cai, N. Heterogeneous reaction kinetics of a perovskite oxygen carrier for chemical looping combustion coupled with oxygen uncoupling. Chem. Eng. J. 2021, 417, 128054. [Google Scholar] [CrossRef]














| Sample | Elemental Analysis (wt.%, ad) | Industrial Analysis (wt.%, ad) | |||||||
|---|---|---|---|---|---|---|---|---|---|
| C | H | N | S | O * | FC | V | M | A | |
| PS | 47.07 | 5.82 | 0.17 | 0.24 | 46.70 | 18.60 | 77.16 | 0.88 | 3.36 |
| PSC | 79.98 | 1.83 | 0.9 | 0.43 | 11.36 | 78.31 | 9.77 | 6.42 | 5.50 |
| Test Number | Conditions | T (°C) | Bed Material | Fuel | No. of Cycles | Atmosphere |
|---|---|---|---|---|---|---|
| 1 (Normal CLC) | Mixed | 950 | 30 g OC | 0.3 g PS | 3 | 0.7 L/min N2 + 0.3 L/min H2O |
| 2 (Conversion of the gasification products of biomass) | Separated | 950 | 30 g OC | 0.3 g PS | 3 | 0.7 L/min N2 + 0.3 L/min H2O |
| 3 (Biomass pyrolysis) | Separated | 850 | 30 g SiO2 | 0.3 g PS | 3 | 1 L/min N2 |
| 4 (Conversion of pyrolysis products) | Separated | 850 | 30 g OC | 0.3 g PS | 3 | 1 L/min N2 |
| 5 (Conversion of pyrolysis products) | Separated | 900 | 30 g OC | 0.3 g PS | 3 | 1 L/min N2 |
| 6 (Combustion of pyrolysis products) | Separated | 950 | 30 g OC | 0.3 g PS | 3 | 1 L/min N2 |
| 7 (Combustion of pyrolysis products) | Separated | 950 | 30 g OC | 0.4 g PS | 3 | 1 L/min N2 |
| 8 (Combustion of pyrolysis products) | Separated | 950 | 30 g OC | 0.6 g PS | 3 | 1 L/min N2 |
| 9 (In situ char gasification) | Separated | 850 | 30 g SiO2 | 0.3 g PSC | 3 | 0.7 L/min N2 + 0.3 L/min H2O |
| 10 (Conversion of in situ char gasification products) | Separated | 850 | 30 g OC | 0.3 g PSC | 3 | 0.7 L/min N2 + 0.3 L/min H2O |
| 11 (Conversion of in situ char gasification products) | Separated | 900 | 30 g OC | 0.3 g PSC | 3 | 0.7 L/min N2 + 0.3 L/min H2O |
| 12 (Conversion of in situ char gasification products) | Separated | 950 | 30 g OC | 0.3 g PSC | 3 | 0.7 L/min N2 + 0.3 L/min H2O |
| 13 (Conversion of in situ char gasification products) | Separated | 950 | 20 g OC | 0.3 g PSC | 3 | 0.7 L/min N2 + 0.3 L/min H2O |
| 14 (Conversion of in situ char gasification products) | Separated | 950 | 10 g OC | 0.3 g PSC | 3 | 0.7 L/min N2 + 0.3 L/min H2O |
| Test Number | Carbon Balance (%) | Conditions |
|---|---|---|
| 1 | 103.1 ± 1.2 | Mixed |
| 2 | 106.7 ± 1.4 | Separated |
| 3 | 107.7 ± 1.4 | Separated |
| 4 | 105.7 ± 0.8 | Separated |
| 9 | 104.5 ± 2.4 | Separated |
| 10 | 106.1 ± 1.5 | Separated |
| OC | Specific Surface (m2/g) | Pore Volume (cm3/g) | Pore Diameter (nm) |
|---|---|---|---|
| Fresh | 0.19 | 0.0003 | 33.41 |
| Mixed combustion | 0.34 | 0.0005 | 35.69 |
| Separated gasification | 0.87 | 0.0004 | 29.99 |
| Separated pyrolysis | 0.75 | 0.0002 | 36.72 |
Disclaimer/Publisher’s Note: The statements, opinions and data contained in all publications are solely those of the individual author(s) and contributor(s) and not of MDPI and/or the editor(s). MDPI and/or the editor(s) disclaim responsibility for any injury to people or property resulting from any ideas, methods, instructions or products referred to in the content. |
© 2026 by the authors. Licensee MDPI, Basel, Switzerland. This article is an open access article distributed under the terms and conditions of the Creative Commons Attribution (CC BY) license.
Share and Cite
Mi, Y.; Luo, W.; Ma, J.; Du, Z.; Zhao, H. Performance of CaMn0.625Ti0.125Fe0.125Mg0.125O3 Oxygen Carrier in the Chemical Looping Combustion of Biomass. Energies 2026, 19, 714. https://doi.org/10.3390/en19030714
Mi Y, Luo W, Ma J, Du Z, Zhao H. Performance of CaMn0.625Ti0.125Fe0.125Mg0.125O3 Oxygen Carrier in the Chemical Looping Combustion of Biomass. Energies. 2026; 19(3):714. https://doi.org/10.3390/en19030714
Chicago/Turabian StyleMi, Yingjie, Wen Luo, Jinchen Ma, Zhenyi Du, and Haibo Zhao. 2026. "Performance of CaMn0.625Ti0.125Fe0.125Mg0.125O3 Oxygen Carrier in the Chemical Looping Combustion of Biomass" Energies 19, no. 3: 714. https://doi.org/10.3390/en19030714
APA StyleMi, Y., Luo, W., Ma, J., Du, Z., & Zhao, H. (2026). Performance of CaMn0.625Ti0.125Fe0.125Mg0.125O3 Oxygen Carrier in the Chemical Looping Combustion of Biomass. Energies, 19(3), 714. https://doi.org/10.3390/en19030714
