Thermodynamic Modeling and Parameter Study of a Supercritical CO2 Pneumatic Launch System for Sustainable High-Payload Applications
Abstract
1. Introduction
2. Mathematical Model
- (1)
- The supercritical CO2 is uniformly distributed in the high-pressure and low-pressure chamber, and it is in a state of thermal equilibrium at any time.
- (2)
- Due to the short duration of the launch process, the heat exchange between the pneumatic launch system and the ambient environment is neglected. (Adiabatic assumption for the entire system).
- (3)
- The expansion of supercritical CO2 within the high-pressure and low-pressure chambers is treated as an isentropic process. However, the flow through the control valve is considered an irreversible throttling process, where the irreversibility is accounted for by the flow coefficient.
- (4)
- The supercritical CO2 flow along the launch tube is a one-dimensional quasi-steady flow, and the influence of the ejection on projectile motion is not considered. While these simplifications neglect the complex transient shock wave reflections and the air entrainment effects ahead of the projectile, they remain valid for evaluating the primary thermodynamic energy conversion within the subsonic and low-transonic regimes. The quasi-steady assumption is particularly applicable when the projectile velocity is significantly lower than the local speed of sound of the supercritical CO2, and when the launch tube length-to-diameter ratio is within a range where localized wave dynamics do not dominate the base pressure distribution [15,17].
- (1)
- The model adopts a lumped-parameter approach (Assumption 1), assuming uniform thermophysical properties within the chambers. However, in practical high-pressure launch scenarios, the rapid expansion of supercritical CO2 can trigger complex unsteady wave phenomena, such as expansion waves and potential shock reflections. These spatial gradients, which could influence the instantaneous pressure distribution on the projectile base, are not captured by the current one-dimensional quasi-steady flow assumption.
- (2)
- Although the adiabatic assumption (Assumption 2) is justified by the millisecond-scale duration of the launch, the extreme thermodynamic state of supercritical CO2 near its critical point may lead to localized high heat-transfer coefficients. Neglecting the convective heat exchange between the fluid and the cylinder walls might result in a slight overestimation of the expansion work and the final muzzle velocity.
- (3)
- The mechanical friction is treated using a constant coefficient (Cf), which does not account for the dynamic changes in lubrication conditions or the thermal expansion of seals during high-speed motion. Furthermore, the model assumes a perfect seal, while gas leakage through the clearance between the projectile and the launch tube could lead to pressure loss in engineering practice.
3. Results and Discussions
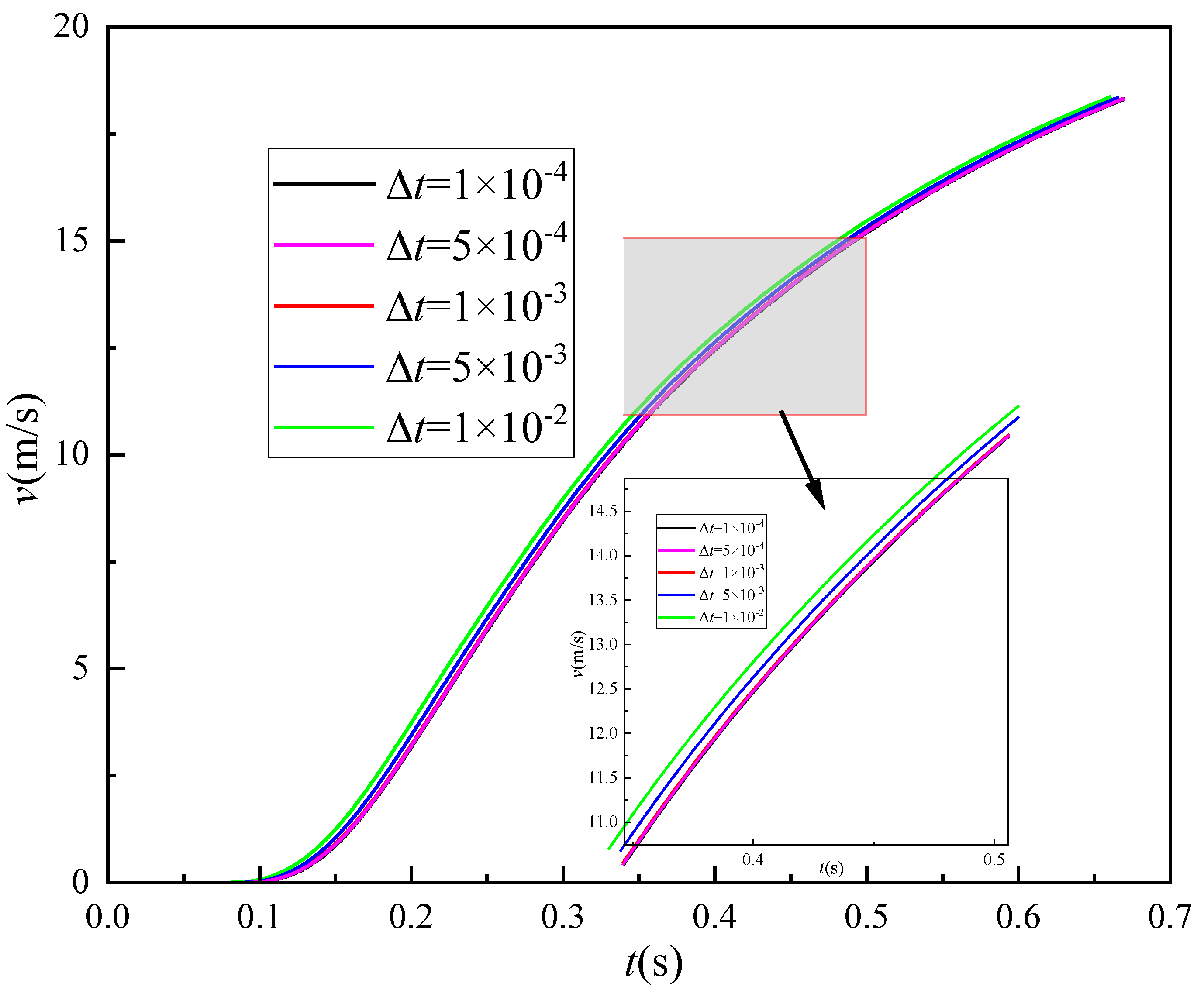
3.1. Model Validation
3.2. Effect of Different Working Mediums
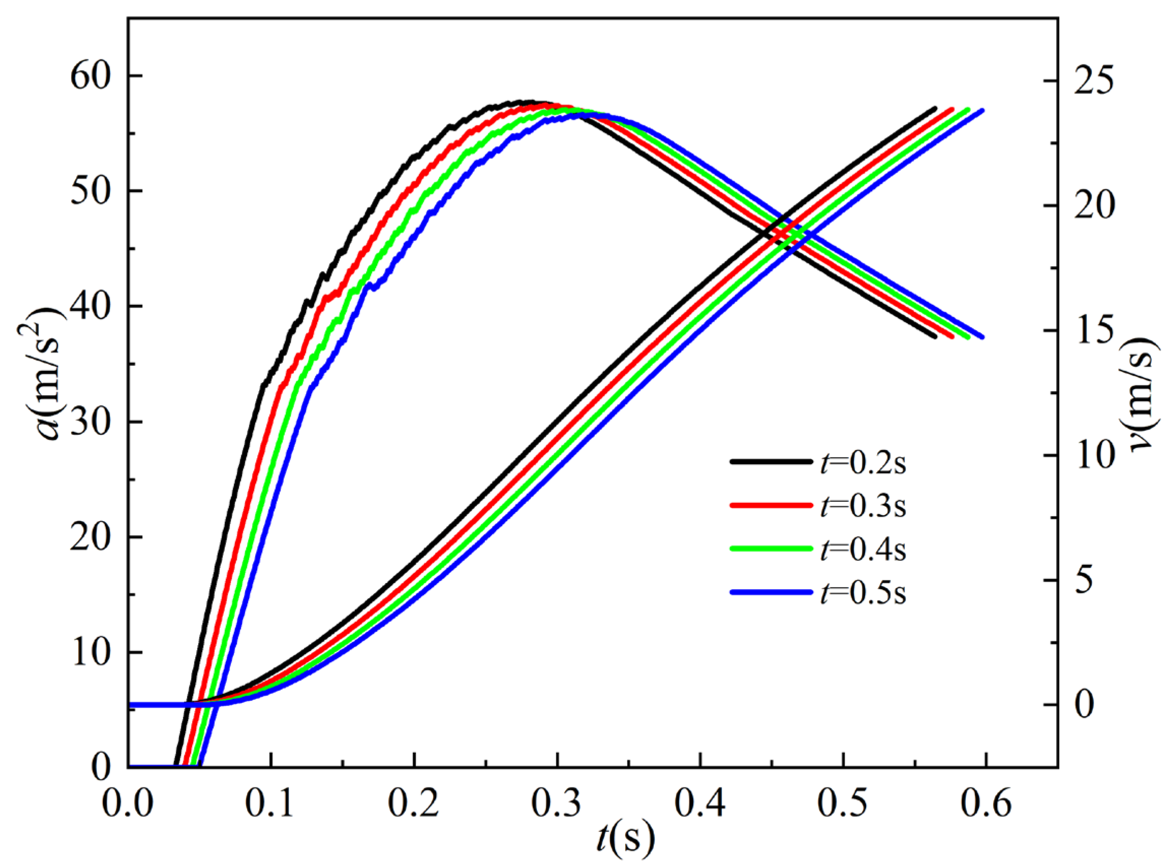
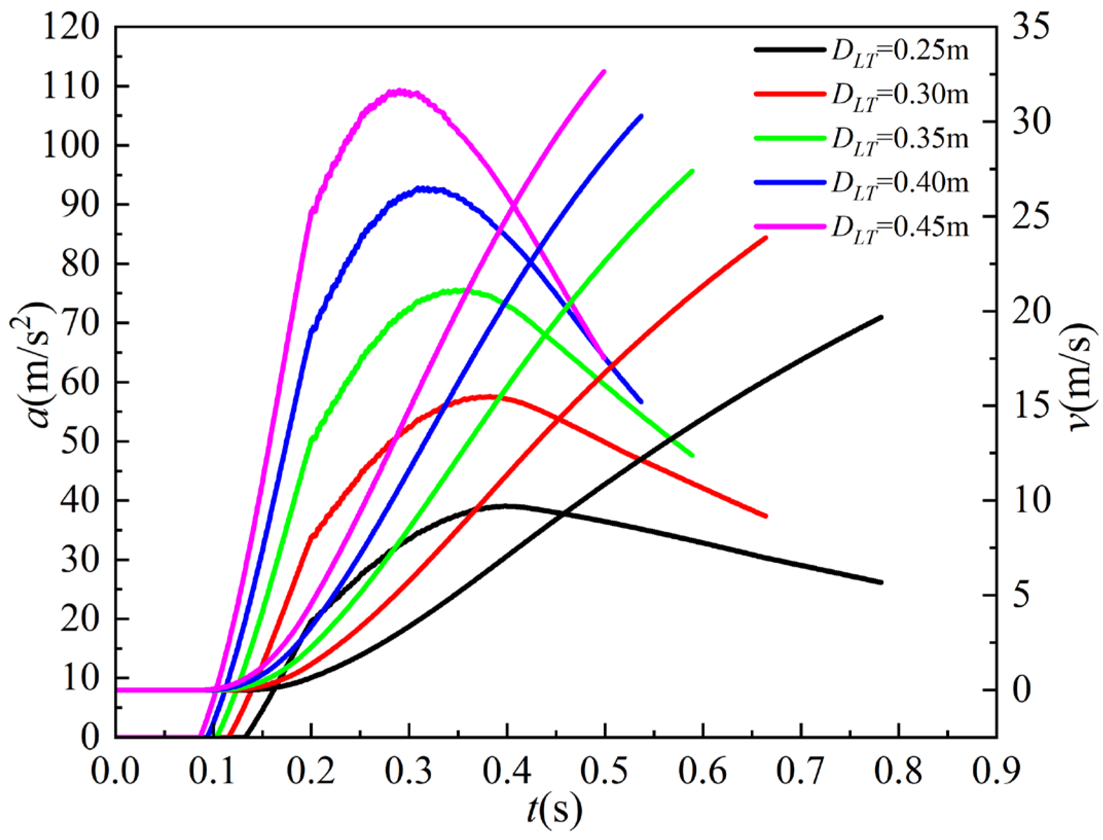
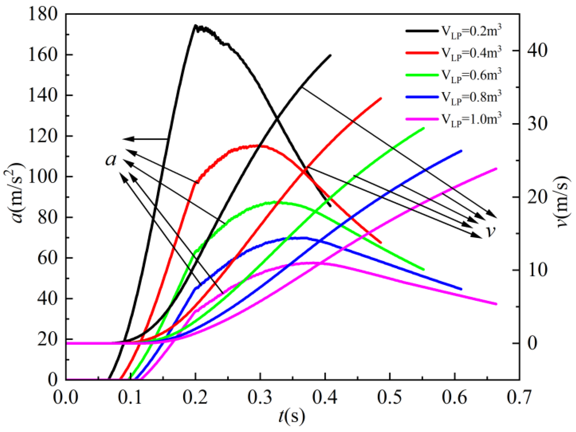
3.3. Effect of Structural Parameters
4. Conclusions
Author Contributions
Funding
Data Availability Statement
Conflicts of Interest
References
- Yao, H.X.; Wei, X.Z.; Ye, H. Supercritical carbon dioxide as a new working medium for pneumatic launch: A theoretical study. Def. Technol. 2021, 17, 1296–1306. [Google Scholar] [CrossRef]
- Ren, J.; Yang, F.; Ma, D.; Le, G.; Zhong, J. Pneumatic performance study of a high pressure ejection device based on real specific energy and specific enthalpy. Entropy 2014, 16, 4801–4817. [Google Scholar] [CrossRef]
- Wang, J.; Li, T.; Zhang, Z.; Yao, S.; Lu, Z. Effect of valve on ballistic performance in supercritical CO2 pneumatic launch. J. CO2 Util. 2023, 75, 102580. [Google Scholar] [CrossRef]
- Li, C.; Wen, J.; Wang, S.; Li, Y. Thermodynamic analysis on rapid pressurization of supercritical CO2 for pneumatic launch performance. J. CO2 Util. 2021, 53, 101710. [Google Scholar] [CrossRef]
- Zhao, Z.X.; Jiang, Y.; Jia, Q.M.; Niu, Y. Research on interior ballistics of catapult using high-pressure working medium. Acta Armamentarii 2022, 43, 1553–1564. [Google Scholar]
- Yao, L.; Ma, D.W.; Ma, W.N.; Ren, J.; Zhong, J.L.; Wang, Z.L. Interior ballistics modeling and optimization of one-side ejection device with two-step cylinder. Acta Armamentarii 2017, 38, 466–475. [Google Scholar]
- Zhang, F.; Liu, H.; Wu, Y.; Li, J.; Yu, H.; Wang, X.; Guo, B.; Yuan, Y. General design and thermodynamic analysis of a supercritical carbon dioxide cannon. J. Therm. Sci. 2021, 30, 123–132. [Google Scholar]
- Glebocki, R.; Jacewicz, M. Simulation study of a missile cold launch system. J. Theor. Appl. Mech. 2018, 56, 901–913. [Google Scholar] [CrossRef]
- Zhang, X.J.; Xu, Y.J.; Xu, J.; Sheng, Y.; Zuo, Z.; Liu, J.; Chen, H.; Wang, Y.; Huang, Y. Study on the performance and optimization of a scroll expander driven by compressed air. Appl. Energy 2017, 186, 347–358. [Google Scholar] [CrossRef]
- Dai, H.; Yang, C.; Zhang, F.; Liao, G.; Zhang, B. Transient heat dissipation performance investigation on the battery thermal management system based on S-CO2 immersion cooling. Energy 2025, 318, 134656. [Google Scholar] [CrossRef]
- You, M.; Feng, M.; Zhang, F.; Liao, G. Numerical investigation on the unsteady flow and coupled heat transfer characteristics between supercritical carbon dioxide and pulsating flow of water within a PCHE under offshore conditions. Int. Commun. Heat Mass Transf. 2026, 172, 110249. [Google Scholar]
- Gao, Y.; Wang, C.; Sun, Y.B. Design, fabrication, and experimental study of a full-scale compressed air ejection system based on missile acceleration limitation. Aerosp. Sci. Technol. 2023, 141, 108519. [Google Scholar] [CrossRef]
- Peng, Z.; Xu, Q.; Yang, C.H.; Ma, W.; Zhang, Z. Simulation and experimental investigation of high-pressure pneumatic pilot-driven on/off valve with high transient performances for compressed air ejection. Flow Meas. Instrum. 2023, 94, 102466. [Google Scholar]
- Jin, Y.; Gu, Y.F.; Zhu, H.J.; Jiang, C.; Huang, J.; Zhu, J.; Zhu, Y. Launch dynamic simulation of a compressed-air launcher for fire suppression. Appl. Sci. 2023, 13, 9615. [Google Scholar] [CrossRef]
- Sung, W.; Kim, J.; Jang, K.S.; Le, T.T.G.; Kim, J.; Kim, D.H.; Lee, H.; Ryu, J. Parametric study of a projectile launched by a compressed air cannon. J. Mech. Sci. Technol. 2023, 37, 5913–5933. [Google Scholar] [CrossRef]
- Fahlstrom, P.; Gleason, T. Introduction to UAV Systems; John Wiley & Sons: Hoboken, NJ, USA, 2012. [Google Scholar]
- National Institute of Standards and Technology. Thermophysical Properties of Fluid Systems. 2021. Available online: https://webbook.nist.gov/chemistry/fluid/ (accessed on 1 October 2025).
- Wen, J.; Li, C.L.; Wang, Y.Y.; Zhao, X.; Wang, S.M.; Li, Y.Z. Feasibility analysis of CO2 used in pneumatic catapult. J. Astronaut. 2021, 42, 1335–1342. [Google Scholar]
- Lin, J.; Zhang, X.; Zhu, Y.; Liu, W. The technique of three-stage compressed-gas gun for hypervelocity impact. Explos. Shock. Waves 2012, 32, 483–489. [Google Scholar]
- Hammer, M.; Ervik, A.; Munkejord, S.T. Method using a density-energy state function with a reference equation of state for fluid-dynamics simulation of vapor-liquid-solid carbon dioxide. Ind. Eng. Chem. Res. 2013, 52, 9965–9978. [Google Scholar]
- Payri, R.; Gimeno, J.; Marti, A.P.; Martinez, M. Transient nozzle flow analysis and near field characterization of gasoline direct fuel injector using large eddy simulation. Int. J. Multiph. Flow 2022, 148, 103920. [Google Scholar] [CrossRef]














Disclaimer/Publisher’s Note: The statements, opinions and data contained in all publications are solely those of the individual author(s) and contributor(s) and not of MDPI and/or the editor(s). MDPI and/or the editor(s) disclaim responsibility for any injury to people or property resulting from any ideas, methods, instructions or products referred to in the content. |
© 2026 by the authors. Licensee MDPI, Basel, Switzerland. This article is an open access article distributed under the terms and conditions of the Creative Commons Attribution (CC BY) license.
Share and Cite
Liao, G.; Liu, Z.; Zhang, F.; E, J. Thermodynamic Modeling and Parameter Study of a Supercritical CO2 Pneumatic Launch System for Sustainable High-Payload Applications. Energies 2026, 19, 565. https://doi.org/10.3390/en19020565
Liao G, Liu Z, Zhang F, E J. Thermodynamic Modeling and Parameter Study of a Supercritical CO2 Pneumatic Launch System for Sustainable High-Payload Applications. Energies. 2026; 19(2):565. https://doi.org/10.3390/en19020565
Chicago/Turabian StyleLiao, Gaoliang, Zhong Liu, Feng Zhang, and Jiaqiang E. 2026. "Thermodynamic Modeling and Parameter Study of a Supercritical CO2 Pneumatic Launch System for Sustainable High-Payload Applications" Energies 19, no. 2: 565. https://doi.org/10.3390/en19020565
APA StyleLiao, G., Liu, Z., Zhang, F., & E, J. (2026). Thermodynamic Modeling and Parameter Study of a Supercritical CO2 Pneumatic Launch System for Sustainable High-Payload Applications. Energies, 19(2), 565. https://doi.org/10.3390/en19020565

