Modelling Pressure Dynamic of Oil–Gas Two-Phase Flow in Three-Zone Composite Double-Porosity Media Formation with Permeability Stress Sensitivity
Abstract
1. Introduction
2. Physical Model Description
3. Mathematical Model and Solution
3.1. Dimensional Model
3.2. Dimensionless Model
3.3. Linearization of Nonlinear Models
3.4. Model Solution
4. Analysis of Pressure Dynamic Curve and Sensitivity Factors
4.1. Identification of the Flow Stage and Effect of the Permeability Modulus
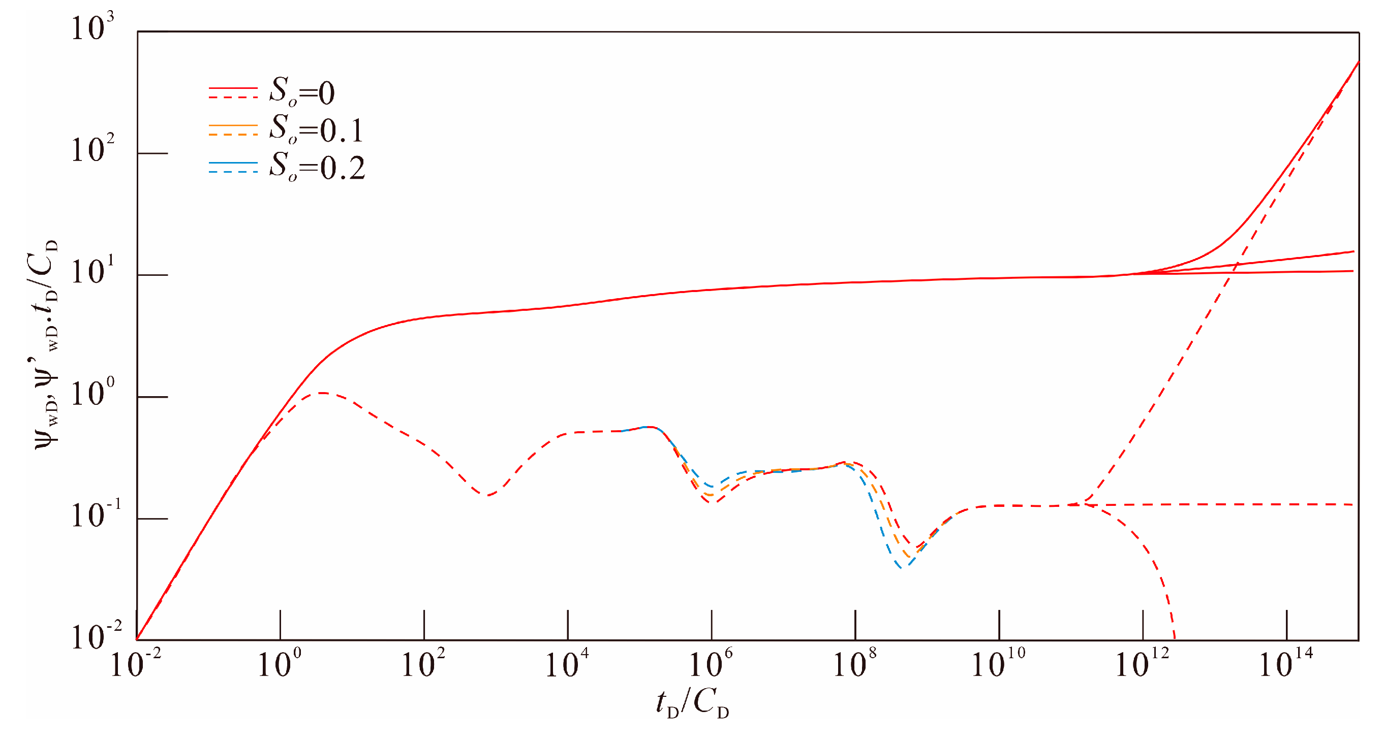
4.2. Effect of the Immobile Condensate Saturation in Zone 2
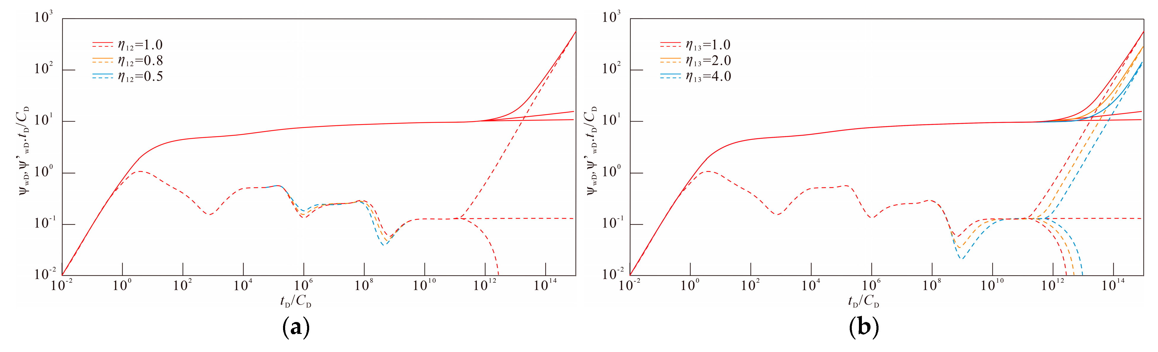
4.3. Effect of the Hydraulic Diffusivity Coefficient Ratio
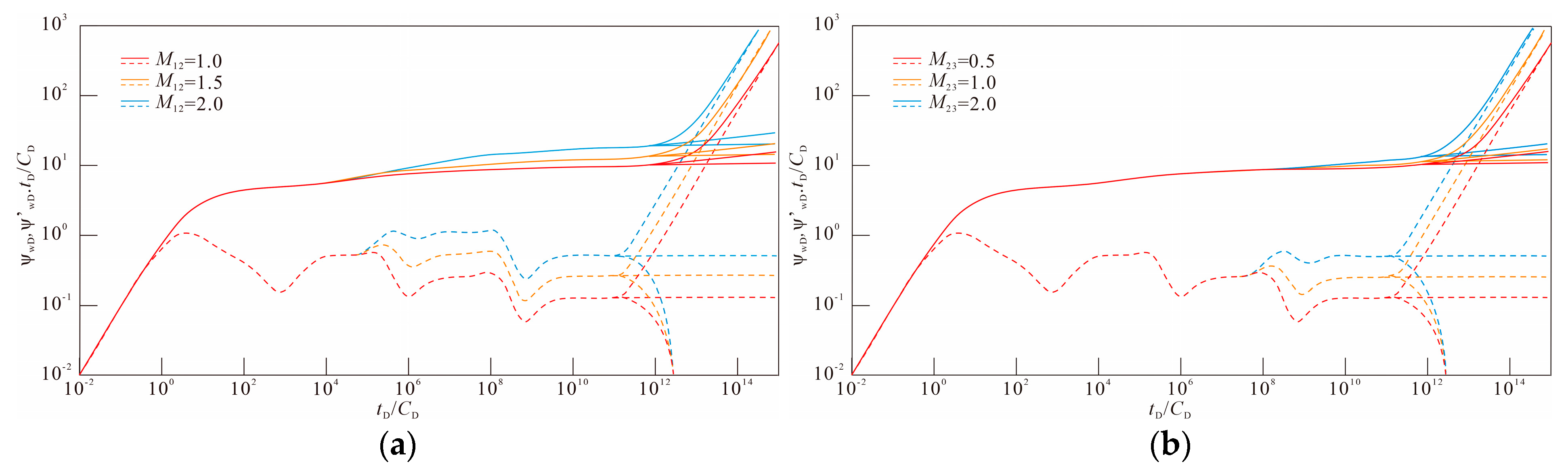
4.4. Effect of the Mobility Ratio
4.5. Effect of the Elastic Storage Ratio of Natural Fracture
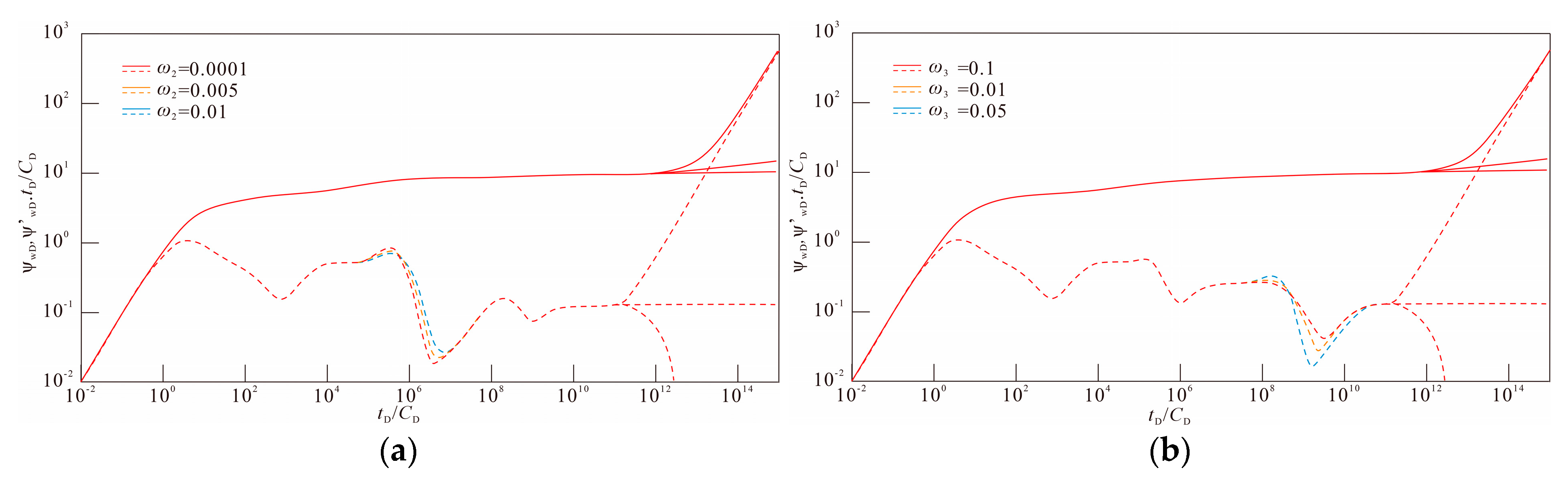
4.6. Effect of the Inter-Porosity Fluid Flow Factor
5. Well-Test Interpretation
6. Conclusions
- (1)
- The pressure dynamic curve is subdivided into twelve flow stages. Except for Stage I, stress sensitivity has a significant influence on the stress response and its effect gradually increases over time. The shape of the pressure curve in Stage XII is significantly affected by boundary conditions: under the conditions of infinite boundary and constant pressure boundary, the strong stress sensitivity accelerates the loss of formation pressure; under the condition of closed boundary, due to the lack of external energy supply, the strong stress sensitivity leads to the closure of fractures, the reduction of effective fluid channels, the early appearance of boundary responses and the early rise of the pressure derivative curve. This indicates that the interaction between boundary conditions and stress sensitivity has a decisive influence on the dynamic changes of reservoir pressure and needs to be fully considered in model analysis and engineering applications.
- (2)
- The increased condensate saturation enhances flow resistance within zone 2, leading to greater pressure loss, and also causes the transitional gas flow from zone 3 to zone 2 to commence earlier. This effect is clearly reflected by both the elevation and leftward shift of the pressure derivative curve during the corresponding flow stages. Overall, increased condensate saturation significantly alters flow characteristics and pressure response in zone 2.
- (3)
- The greater the degree of reservoir development in the zone, the smaller the resistance to fluid flow in the zone. The smaller the pressure loss caused by the flow, the longer the flow lasts. At the corresponding stage, both the decline and the right shift of the pressure derivative curve clearly reflect this influence. Overall, the transformation of the reservoir can extend the production life of the gas reservoir.
- (4)
- The stronger the flow capacity of the fluid within the area, the smaller the resistance the fluid flow encounters and the smaller the pressure loss generated by the flow within the same production time. At the corresponding stage, the decline of the pressure derivative curve clearly reflects this influence. That is to say, during the production process, measures to improve the fluidity of the fluid can be taken to significantly reduce the pressure loss generated during the flow process, thereby increasing production capacity.
Author Contributions
Funding
Data Availability Statement
Conflicts of Interest
References
- Katz, D.L.; Kurata, F. Retrograde condensation. Ind. Eng. Chem. 1940, 32, 817–827. [Google Scholar] [CrossRef]
- Muskat, M. Some theoretical aspect s of cycling–Part 2: Retrograde condensation about well bores. Oil Gas J. 1950, 48, 53–55. [Google Scholar]
- Jones, J.; Vo, D.; Raghavan, R. Interpretation of pressure-buildup responses in gas-condensate wells. SPE Form. Eval. 1989, 4, 93–104. [Google Scholar] [CrossRef]
- Fevang, Ø.; Whitson, C.H. Modeling gas-condensate well deliverability. SPE Reserv. Eng. 1996, 11, 221–230. [Google Scholar] [CrossRef]
- Gringarten, A.; Al-Lamki, A.; Daungkaew, S.; Mott, R.; Whittle, T. Well Test Analysis in Gas-Condensate Reservoirs. In Proceedings of the SPE Annual Technical Conference and Exhibition, Dallas, TX, USA, 1 October 2000; p. SPE-62920-MS. [Google Scholar]
- Mithani, A.H.; Motaei, E. Tracking Condensate Banking in Tight Gas Reservoirs Through Well Test Analysis: Right Well Test Design Leads to Factual Reservoir Characterization. In Proceedings of the Abu Dhabi International Petroleum Exhibition and Conference, Abu Dhabi, UAE, 9 November 2020; p. D021S028R001. [Google Scholar]
- Wang, W.; Zhu, W.; Li, M. Gas–Liquid flow behavior in condensate gas wells under different development stages. Energies 2023, 16, 950. [Google Scholar] [CrossRef]
- Jing, W.; Li, A.; Zhou, S.; Zhang, L.; Zhong, J.; Cui, S.; Sun, H.; Yao, J. Experimental study on the influence of fractured-vuggy porous media on condensate gas depletion production. Pet. Sci. Technol. 2024, 42, 3284–3300. [Google Scholar] [CrossRef]
- Zhao, L.; Zhang, L.; Su, Y.; Tan, X.; Li, C.; Wang, S. In-situ CT study on the effect of cyclic gas injection and depletion exploitation on the phase behavior of fractured condensate gas reservoirs. Front. Earth Sci. 2024, 12, 1418821. [Google Scholar] [CrossRef]
- Pang, M.; Ba, J.; Carcione, J.M.; Balcewicz, M.; Siegert, M.; Tang, G.; Saenger, E.H. Structural and elastic properties of carbonate rocks with different pore types based on digital and theoretical rock physics. J. Geophys. Res. Solid Earth 2025, 130, e2024JB030538. [Google Scholar] [CrossRef]
- McLatchie, A.; Hemstock, R.; Young, J. The effective compressibility of reservoir rock and its effects on permeability. J. Pet. Technol. 1958, 10, 49–51. [Google Scholar] [CrossRef]
- Vairogs, J.; Hearn, C.; Dareing, D.W.; Rhoades, V. Effect of rock stress on gas production from low-permeability reservoirs. J. Pet. Technol. 1971, 23, 1161–1167. [Google Scholar] [CrossRef]
- Thomas, R.D.; Ward, D.C. Effect of overburden pressure and water saturation on gas permeability of tight sandstone cores. J. Pet. Technol. 1972, 24, 120–124. [Google Scholar] [CrossRef]
- Petunin, V.; Tutuncu, A.; Prasad, M.; Kazemi, H.; Yin, X. An Experimental Study for Investigating the Stress Dependence of Permeability in Sandstones and Carbonates. In Proceedings of the ARMA US Rock Mechanics/Geomechanics Symposium, San Francisco, CA, USA, 26 June 2011; p. ARMA-11-279. [Google Scholar]
- Al-Ameri, N.J.; Hamd-Allah, S.M.; Abass, H.H. Stress-Dependent Petrophysical Properties of High Heterogeneous Carbonate Tight oil Reservoirs. In Proceedings of the Abu Dhabi International Petroleum Exhibition and Conference, Abu Dhabi, United Arab Emirates, 9 November 2020; p. D012S116R105. [Google Scholar]
- Cheng, Y.; Chunqiu, G.; Pengyu, C.; Haidong, S.; Chengqian, T.; Cheng, M.; Yuzhong, X.; Xiang, L. Stress sensitivity of carbonate gas reservoirs and its microscopic mechanism. Pet. Explor. Dev. 2023, 50, 166–174. [Google Scholar] [CrossRef]
- Abass, H.; Ortiz, I.; Khan, M.; Beresky, J.; Sierra, L. Understanding stress dependant permeability of matrix, natural fractures, and hydraulic fractures in carbonate formations. In Proceedings of the SPE Kingdom of Saudi Arabia Annual Technical Symposium and Exhibition, Dhahran, Saudi Arabia, 7 May 2007; p. SPE-110973-MS. [Google Scholar]
- Chen, Y.; Li, K.; Ni, J.; Hou, Q. Four-Dimensional Geological Modeling of Stress-Sensitive Reservoirs of Abnormally High-Pressure Carbonates. In Proceedings of the International Petroleum Technology Conference, Virtual, 16 March 2021; p. D012S045R151. [Google Scholar]
- Liu, Y.; Pan, Y.; Xiong, Y.; Sun, Y.; Liang, B.; Sun, L. Study on the Mechanism of Stress Sensitivity and Retrograde Condensation Coupling Effect on Reservoir Depletion Development in Fractured-Vuggy Carbonate Rocks. SPE J. 2025, 30, 198–209. [Google Scholar] [CrossRef]
- Barenblatt, G.; Zheltov, Y.P.; Kochina, I. Basic concepts in the theory of seepage of homogeneous liquids in fissured rocks. J. Appl. Math. Mech. 1960, 24, 852–864. [Google Scholar] [CrossRef]
- Warren, J.E.; Root, P.J. The behavior of naturally fractured reservoirs. Soc. Pet. Eng. J. 1963, 3, 245–255. [Google Scholar] [CrossRef]
- Nie, R.-S.; Meng, Y.-F.; Jia, Y.-L.; Zhang, F.-X.; Yang, X.-T.; Niu, X.-N. Dual porosity and dual permeability modeling of horizontal well in naturally fractured reservoir. Transp. Porous Media 2012, 92, 213–235. [Google Scholar] [CrossRef]
- Ji, A.; Chen, Z. Study on Seepage Model of the Dual-Permeability Quadruple-Media Homogeneous Reservoirs. In Proceedings of the 2020 International Conference on Computer Information and Big Data Applications (CIBDA), Guiyang, China, 17–19 April 2020; pp. 281–285. [Google Scholar]
- Du, X.; Zhang, Y.; Zhou, C.; Su, Y.; Li, Q.; Li, P.; Lu, Z.; Xian, Y.; Lu, D. A novel method for determining the binomial deliverability equation of fractured caved carbonate reservoirs. J. Pet. Sci. Eng. 2022, 208, 109496. [Google Scholar] [CrossRef]
- Li, B.; Yin, H.; Xing, C. Well Test Model for Double-Porosity Media Three-Zone Composite Reservoir Considering Interface Resistance. In Proceedings of the International Conference on Computational & Experimental Engineering and Sciences, Shenzhen, China, 26–29 May 2023; pp. 715–730. [Google Scholar]
- Zhang, C.; Chen, S.; Zhu, S.; Yan, X.; Wang, H.; Wang, Y.; Li, J.-S.; Nie, R.-S. Modelling pressure dynamics of oil–gas two-phase flow in double-porosity media formation with permeability-stress sensitivity. Sci. Rep. 2024, 14, 24418. [Google Scholar] [CrossRef]
- Al-Hussainy, R.; Ramey, H., Jr.; Crawford, P. The flow of real gases through porous media. J. Pet. Technol. 1966, 18, 624–636. [Google Scholar] [CrossRef]
- Fetkovich, M. The isochronal testing of oil wells. In Proceedings of the SPE Annual Technical Conference and Exhibition, Las Vegas, NV, USA, 30 September 1973; p. SPE-4529-MS. [Google Scholar]
- Pedrosa, O.A., Jr. Pressure transient response in stress-sensitive formations. In Proceedings of the SPE Western Regional Meeting, Oakland, CA, USA, 2 April 1986; p. SPE-15115-MS. [Google Scholar]
- Wei, C.; Li, H.; Luo, H.; Li, Y.; Cheng, S. Generalized analytical solutions of vertically fractured wells in commingled reservoirs: Field case study. SPE J. 2024, 29, 1419–1433. [Google Scholar] [CrossRef]
- Gao, Y.; Zhu, W.; Chu, H.; Yue, M. A Novel Method for Calculating Average Formation Pressure of Gas-Reservoir-Type Underground Natural Gas Storage. Acid Gas Inject. Field Data Simul. 2025, 411–426. [Google Scholar] [CrossRef]
- Pirard, Y.; Bocock, A. Pressure derivative enhances use of type curves for the analysis of well tests. In Proceedings of the SPE International Oil and Gas Conference and Exhibition in China, Beijing, China, 17 March 1986; p. SPE-14101-MS. [Google Scholar]
- Renard, P.; Glenz, D.; Mejias, M. Understanding diagnostic plots for well-test interpretation. Hydrogeol. J. 2009, 17, 589–600. [Google Scholar] [CrossRef]
- An, C.; Killough, J.; Mi, L. Stress-dependent permeability of organic-rich shale reservoirs: Impacts of stress changes and matrix shrinkage. J. Pet. Sci. Eng. 2019, 172, 1034–1047. [Google Scholar] [CrossRef]
- Huzhen, W.; Tiancheng, L.; Zhuangzhuang, S.; Chunyao, W.; Zhenyu, L.; Zhijun, Z.; Changjun, D.; Zhiming, Z. Formation pressure distribution and productivity prediction of fractured horizontal wells in stress sensitive reservoirs. Front. Energy Res. 2022, 10, 978134. [Google Scholar] [CrossRef]
- Sabea, H.J.; Al-Fatlawi, O. Studying the impact of condensate blockage on gas production: A review. Mater. Today Proc. 2022, 61, 942–947. [Google Scholar] [CrossRef]










| Symbol | Formula | Symbol | Formula |
|---|---|---|---|
| ψjlD | M12 | ||
| rD | M23 | ||
| tD | γψD | ||
| ε1 | ωl | ||
| εl | η1l |
| Flow Stage | Characteristics of Pressure Log-Log Curves | Description of Fluid Flow |
|---|---|---|
| Stage I | Both the pressure curve and the pressure derivative curve are straight lines with slope one. | Fluid flows into the wellbore and is stored in it. |
| Stage II | Pressure derivative curve reaches its maximum value, presenting a hump-shaped feature. | Fluid flows from the fracture system in zone 1 to the wellbore. |
| Stage III | The increase of the pressure curve slows down and the decrease of the derivative curve slows down. | The pseudo-radial flow of the fluid in the fracture system of zone 1. |
| Stage IV | The pressure derivative curve shows the first concave shape feature. | Fluid undergoes inter-porosity flow from the matrix system to the fracture system in zone 1. |
| Stage V | The pressure derivative curve is a horizontal straight line and its value is 0.5. | Fluid exhibits radial flow within the entire reservoir media system of zone 1. |
| Stage VI | The pressure derivative curve undergoes the first sudden change. | Fluid undergoes transitional flow from zone 2 to zone 1. |
| Stage VII | The pressure derivative curve shows the second concave shape feature. | Fluid undergoes inter-porosity flow from the matrix system to the fracture system in zone 2. |
| Stage VIII | The pressure derivative curve is a horizontal straight line. | Fluid exhibits radial flow within the entire reservoir media system of zone 2. |
| Stage IX | The pressure derivative curve undergoes the second sudden change. | Fluid undergoes transitional flow from zone 3 to zone 2. |
| Stage X | The pressure derivative curve shows the third concave shape feature. | Fluid undergoes inter-porosity flow from the matrix system to the fracture system in zone 3. |
| Stage XI | The pressure derivative curve is a horizontal straight line. | Fluid exhibits radial flow within the entire reservoir media system of zone 3. |
| Stage XII | Under the conditions of infinite boundaries, closed boundaries and constant pressure boundaries, the pressure derivative curves respectively exhibit the characteristics of linearity, continuous increase and rapid decrease. | Fluid exhibits a response at the boundary. |
Disclaimer/Publisher’s Note: The statements, opinions and data contained in all publications are solely those of the individual author(s) and contributor(s) and not of MDPI and/or the editor(s). MDPI and/or the editor(s) disclaim responsibility for any injury to people or property resulting from any ideas, methods, instructions or products referred to in the content. |
© 2025 by the authors. Licensee MDPI, Basel, Switzerland. This article is an open access article distributed under the terms and conditions of the Creative Commons Attribution (CC BY) license (https://creativecommons.org/licenses/by/4.0/).
Share and Cite
Shen, G.-T.; Nie, R.-S. Modelling Pressure Dynamic of Oil–Gas Two-Phase Flow in Three-Zone Composite Double-Porosity Media Formation with Permeability Stress Sensitivity. Energies 2025, 18, 2209. https://doi.org/10.3390/en18092209
Shen G-T, Nie R-S. Modelling Pressure Dynamic of Oil–Gas Two-Phase Flow in Three-Zone Composite Double-Porosity Media Formation with Permeability Stress Sensitivity. Energies. 2025; 18(9):2209. https://doi.org/10.3390/en18092209
Chicago/Turabian StyleShen, Guo-Tao, and Ren-Shi Nie. 2025. "Modelling Pressure Dynamic of Oil–Gas Two-Phase Flow in Three-Zone Composite Double-Porosity Media Formation with Permeability Stress Sensitivity" Energies 18, no. 9: 2209. https://doi.org/10.3390/en18092209
APA StyleShen, G.-T., & Nie, R.-S. (2025). Modelling Pressure Dynamic of Oil–Gas Two-Phase Flow in Three-Zone Composite Double-Porosity Media Formation with Permeability Stress Sensitivity. Energies, 18(9), 2209. https://doi.org/10.3390/en18092209

