Wireless Power Transfer Optimization with a Minimalist Single-Capacitor Design for Battery Charging
Abstract
1. Introduction
- How to model a realistic load for WPT with an objective to charge mobile device batteries?
- Using the previous load, how to mathematically model the WPT power output?
- Based on the previous model, how to choose the optimization parameters for the WPT power output?
- How to apply the GA in finding the optimum model’s parameters?
2. State Space and Transfer Function
2.1. State Space System Model Representation
2.2. Transfer Function System Model Representation
3. The Single-Capacitor WPT Modeling
4. WPT Load Modeling
5. System Modeling and Optimization
- For and , they represent the parameter values in the load. Thus, since we want to optimize the WPT system regardless of the load, they are not the potential candidates to be chosen as the optimization parameters.
- For , , , and , they are parameter values that depend on the physical conditions of both primary and secondary coils. Moreover, in the design and fabrication process of the coils, their resistance and inductance are strongly correlated. In other words, there is a proportional change between and and also between and [28,82]. It is impossible to change a specific parameter value without changing the others. Thus, they are also not the potential candidates to be chosen as the optimization parameters.
- For , it represents the internal resistance of the voltage source, which is usually an already fixed value. Thus, it is not a potential candidate to be chosen as the optimization parameter.
- For M, it represents a mutual inductance between coils that depends on , , and K as seen in Equation (8). As discussed before, and are not the potential candidates. Meanwhile, K is affected by the distance between coils [24,47,83]. Since the WPT study here is anticipated to contribute to powering mobile devices, the optimization process should be able to be done regardless of the distance between coils for some reasonable distance values. Thus, M, which is in turn influenced by K, is also not a potential candidate to be chosen as the optimization parameter.
- For , it is seen that it acts just like a scale on the power delivery. Specifically, P is proportional to the squared (). Thus, rather than using it as one of the optimization parameters, it is better to just normalize it. For that, hereon after, we set .
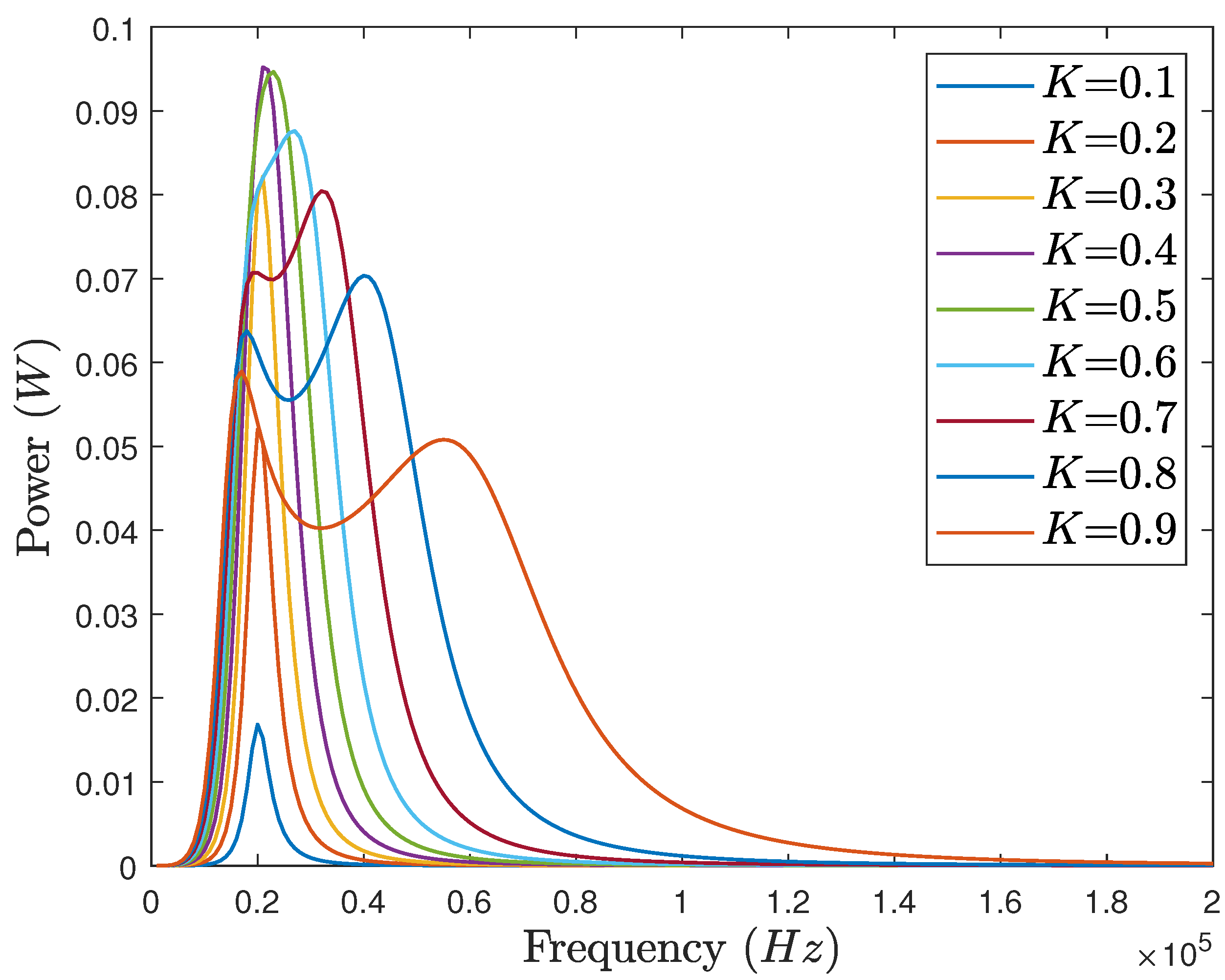
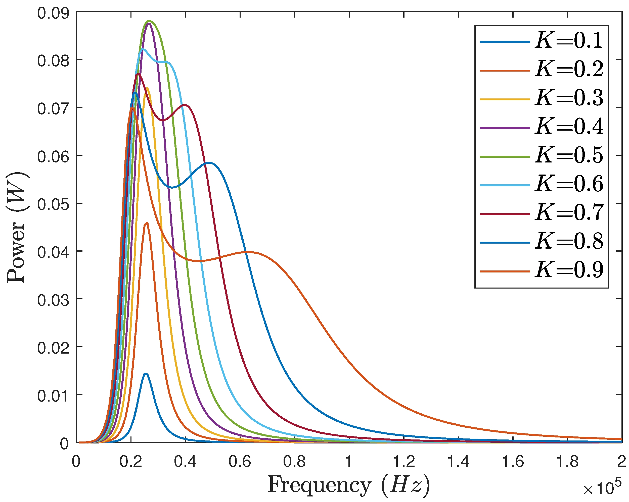
Comparison Between WPT Secondary Circuit with RC Series and RC Parallel
6. Case Study
6.1. Simulation Parameters Setup
6.2. GA Implementation Setup
- Population size: 60;
- Max generations: 600;
- Function tolerance: ;
- Lower bounds for primary capacitance C: F;
- Upper bounds for primary capacitance C: F;
- Lower bounds for frequency source f: Hz;
- Upper bounds for frequency source f: Hz;
- Initial population range: lower bounds and upper bounds for C and f;
- Crossover fraction: ;
- Crossover function: @crossoverintermediate, 15;
- Mutation function: @mutationadaptfeasible, , 20.
6.3. Simulation Results
6.4. Discussion
7. Conclusions
Author Contributions
Funding
Data Availability Statement
Conflicts of Interest
References
- Hong, Y.W.P.; Hsu, T.C.; Chennakesavula, P. Wireless power transfer for distributed estimation in wireless passive sensor networks. IEEE Trans. Signal Process. 2016, 64, 5382–5395. [Google Scholar] [CrossRef]
- Shan, D.; Wang, H.; Cao, K.; Zhang, J. Wireless power transfer system with enhanced efficiency by using frequency reconfigurable metamaterial. Sci. Rep. 2022, 12, 331. [Google Scholar]
- Gore, V.B.; Gawali, D.H. Wireless power transfer technology for medical applications. In Proceedings of the 2016 Conference on Advances in Signal Processing (CASP), Pune, India, 9–11 June 2016; pp. 455–460. [Google Scholar]
- Joseph, P.K.; Elangovan, D. A review on renewable energy powered wireless power transmission techniques for light electric vehicle charging applications. J. Energy Storage 2018, 16, 145–155. [Google Scholar]
- Chan, C.C.; Chau, K. An overview of power electronics in electric vehicles. IEEE Trans. Ind. Electron. 1997, 44, 3–13. [Google Scholar]
- Barsukov, Y.; Qian, J. Battery Power Management for Portable Devices; Artech House: Norwood, MA, USA, 2013. [Google Scholar]
- Abdul-Jabbar, T.A.; Obed, A.A.; Abid, A.J. Design of an uninterrupted power supply with Li-ion battery pack: A proposal for a cost-efficient design with high protection features. J. Tech. 2021, 3, 1–10. [Google Scholar]
- Hui, S. Wireless power transfer: A brief review & update. In Proceedings of the 2013 5th International Conference on Power Electronics Systems and Applications (PESA), Hong Kong, China, 11–13 December 2013; pp. 1–4. [Google Scholar]
- Rim, C.T.; Mi, C. Wireless Power Transfer for Electric Vehicles and Mobile Devices; John Wiley & Sons: Hoboken, NJ, USA, 2017. [Google Scholar]
- Zhang, Z.; Pang, H.; Georgiadis, A.; Cecati, C. Wireless power transfer—An overview. IEEE Trans. Ind. Electron. 2018, 66, 1044–1058. [Google Scholar]
- Brecher, A.; Arthur, D. Review and evaluation of wireless power transfer (WPT) for electric transit applications. Repos. Open Sci. Access Portal 2014. Available online: https://rosap.ntl.bts.gov/view/dot/27847/dot_27847_DS1.pdf (accessed on 10 January 2025).
- Tang, X.; Zeng, J.; Pun, K.P.; Mai, S.; Zhang, C.; Wang, Z. Low-cost maximum efficiency tracking method for wireless power transfer systems. IEEE Trans. Power Electron. 2017, 33, 5317–5329. [Google Scholar]
- Jawad, A.M.; Nordin, R.; Gharghan, S.K.; Jawad, H.M.; Ismail, M. Opportunities and challenges for near-field wireless power transfer: A review. Energies 2017, 10, 1022. [Google Scholar] [CrossRef]
- Joseph, B.; Bhoir, D. Design and simulation of wireless power transfer for electric vehicle. In Proceedings of the 2019 International Conference on Advances in Computing, Communication and Control (ICAC3), Mumbai, India, 20–21 December 2019; pp. 1–5. [Google Scholar]
- Gonda, T.; Mototani, S.; Doki, K.; Torii, A. Effect of air space in waterproof sealed case containing transmitter and receiver of wireless power transfer in sea water. Electr. Eng. Jpn. 2019, 206, 24–31. [Google Scholar]
- Li, F.; Sun, X.; Zhou, S.; Chen, Y.; Hao, Z.; Yang, Z. Infrastructure material magnetization impact assessment of wireless power transfer pavement based on resonant inductive coupling. IEEE Trans. Intell. Transp. Syst. 2021, 23, 22400–22408. [Google Scholar] [CrossRef]
- Allam, A.; Patel, H.; Sugino, C.; John, C.S.; Steinfeldt, J.; Reinke, C.; Erturk, A.; El-Kady, I. Portable through-metal ultrasonic power transfer using a dry-coupled detachable transmitter. Ultrasonics 2024, 141, 107339. [Google Scholar] [PubMed]
- Liu, W.; Chau, K.; Lee, C.H.; Jiang, C.; Han, W.; Lam, W. Multi-frequency multi-power one-to-many wireless power transfer system. IEEE Trans. Magn. 2019, 55, 8001609. [Google Scholar]
- Qiu, C.; Chau, K.; Liu, C.; Chan, C.C. Overview of wireless power transfer for electric vehicle charging. In Proceedings of the 2013 World Electric Vehicle Symposium and Exhibition (EVS27), Barcelona, Spain, 17–20 November 2013; pp. 1–9. [Google Scholar]
- Li, S.; Mi, C.C. Wireless power transfer for electric vehicle applications. IEEE J. Emerg. Sel. Top. Power Electron. 2014, 3, 4–17. [Google Scholar]
- Moore, J.; Castellanos, S.; Xu, S.; Wood, B.; Ren, H.; Tse, Z.T.H. Applications of wireless power transfer in medicine: State-of-the-art reviews. Ann. Biomed. Eng. 2019, 47, 22–38. [Google Scholar]
- Yoo, S.; Lee, J.; Joo, H.; Sunwoo, S.H.; Kim, S.; Kim, D.H. Wireless power transfer and telemetry for implantable bioelectronics. Adv. Healthc. Mater. 2021, 10, 2100614. [Google Scholar]
- Askari, A.; Stark, R.; Curran, J.; Rule, D.; Lin, K. Underwater wireless power transfer. In Proceedings of the 2015 IEEE Wireless Power Transfer Conference (WPTC), Boulder, CO, USA, 13–15 May 2015; pp. 1–4. [Google Scholar]
- Mohsan, S.A.H.; Islam, A.; Khan, M.A.; Mahmood, A.; Rokia, L.S.; Mazinani, A.; Amjad, H. A review on research challenges limitations and practical solutions for underwater wireless power transfer. Int. J. Adv. Comput. Sci. Appl. 2020, 11, 554–562. [Google Scholar]
- Zhang, B.; Xu, W.; Lu, C.; Lu, Y.; Wang, X. Review of low-loss wireless power transfer methods for autonomous underwater vehicles. IET Power Electron. 2022, 15, 775–788. [Google Scholar]
- Okoyeigbo, O.; Olajube, A.; Shobayo, O.; Aligbe, A.; Ibhaze, A. Wireless power transfer: A review. In Proceedings of the IOP Conference Series: Earth and Environmental Science; IOP Publishing: Bristol, UK, 2021; Volume 655, p. 012032. [Google Scholar]
- Malik, H.; Ahmad, M.W.; Kothari, D.P. Intelligent Data Analytics for Power and Energy Systems; Springer: Berlin/Heidelberg, Germany, 2022; Volume 802. [Google Scholar]
- Kurs, A.; Karalis, A.; Moffatt, R.; Joannopoulos, J.D.; Fisher, P.; Soljacic, M. Wireless power transfer via strongly coupled magnetic resonances. Science 2007, 317, 83–86. [Google Scholar]
- Summerer, L.; Purcell, O. Concepts for Wireless Energy Transmission via Laser; Europeans Space Agency (ESA)-Advanced Concepts Team: 2009. Available online: https://www.academia.edu/download/69382807/Paper_69-A_Review_on_Research_Challenges.pdf (accessed on 10 January 2025).
- Yeoh, W. Wireless Power Transmission (WPT) Application at 2.4 GHz in Common Network. Ph.D. Thesis, RMIT University, Melbourne, Australia, 2010. [Google Scholar]
- Li, J.L.W. Wireless power transmission: State-of-the-arts in technologies and potential applications. In Proceedings of the Asia-Pacific Microwave Conference 2011, Melbourne, Australia, 5–8 December 2011; pp. 86–89. [Google Scholar]
- Tomar, A.; Gupta, S. Wireless power transmission: Applications and components. Int. J. Eng. 2012, 1, 1–8. [Google Scholar]
- Kumar, S.; Singh, S.K.; Mehta, S.K.; Singh, R.K.; Kumar, S.; Dangi, R.S.P. Wireless power transmission-a prospective idea for future. IRNet Undergrad. Acad. Res. J. 2012. [Google Scholar]
- Popovic, Z. Near-and far-field wireless power transfer. In Proceedings of the 2017 13th International Conference on Advanced Technologies, Systems and Services in Telecommunications (TELSIKS), Niš, Serbia, 18–20 October 2017; pp. 3–6. [Google Scholar]
- Zhang, H.; Shlezinger, N.; Guidi, F.; Dardari, D.; Imani, M.F.; Eldar, Y.C. Near-field wireless power transfer for 6G internet of everything mobile networks: Opportunities and challenges. IEEE Commun. Mag. 2022, 60, 12–18. [Google Scholar]
- Covic, G.A.; Boys, J.T. Inductive power transfer. Proc. IEEE 2013, 101, 1276–1289. [Google Scholar]
- Mayordomo, I.; Dräger, T.; Spies, P.; Bernhard, J.; Pflaum, A. An overview of technical challenges and advances of inductive wireless power transmission. Proc. IEEE 2013, 101, 1302–1311. [Google Scholar]
- Mahmood, A.; Ismail, A.; Zaman, Z.; Fakhar, H.; Najam, Z.; Hasan, M.; Ahmed, S. A comparative study of wireless power transmission techniques. J. Basic Appl. Sci. Res. 2014, 4, 321–326. [Google Scholar]
- Liu, C.; Hu, A.P. Steady state analysis of a capacitively coupled contactless power transfer system. In Proceedings of the 2009 IEEE Energy Conversion Congress and Exposition, San Jose, CA, USA, 20–24 September 2009; pp. 3233–3238. [Google Scholar]
- Liu, C.; Hu, A.P.; Nair, N.K. Modelling and analysis of a capacitively coupled contactless power transfer system. IET Power Electron. 2011, 4, 808–815. [Google Scholar]
- El Rayes, M.M.; Nagib, G.; Abdelaal, W.A. A review on wireless power transfer. Int. J. Eng. Trends Technol. (IJETT) 2016, 40, 272–280. [Google Scholar]
- Detka, K.; Górecki, K. Wireless power transfer—A review. Energies 2022, 15, 7236. [Google Scholar] [CrossRef]
- Kim, D.; Abu-Siada, A.; Sutinjo, A. State-of-the-art literature review of WPT: Current limitations and solutions on IPT. Electr. Power Syst. Res. 2018, 154, 493–502. [Google Scholar]
- Sidiku, M.; Eronu, E.; Ashigwuike, E. A review on wireless power transfer: Concepts, implementations, challenges, and mitigation scheme. Niger. J. Technol. 2020, 39, 1206–1215. [Google Scholar]
- Soni, S.; Gupta, S. WPT Techniques based Power Transmission: A State-of-Art Review. In Proceedings of the 2022 13th International Conference on Computing Communication and Networking Technologies (ICCCNT), Virtual, 3–5 October 2022; pp. 1–6. [Google Scholar]
- Sohn, Y.H.; Choi, B.H.; Lee, E.S.; Lim, G.C.; Cho, G.H.; Rim, C.T. General unified analyses of two-capacitor inductive power transfer systems: Equivalence of current-source SS and SP compensations. IEEE Trans. Power Electron. 2015, 30, 6030–6045. [Google Scholar] [CrossRef]
- Lau, K. Comparative Study of Different Coil Geometries for Wireless Power Transfer. In Proceedings of the Final Dissertation (Final)—Lau Kevin 16392. IRC, 2016. Available online: http://utpedia.utp.edu.my/id/eprint/17133/ (accessed on 10 January 2025).
- Pahlavan, S.; Shooshtari, M.; Jafarabadi Ashtiani, S. Star-Shaped Coils in the Transmitter Array for Receiver Rotation Tolerance in Free-Moving Wireless Power Transfer Applications. Energies 2022, 15, 8643. [Google Scholar] [CrossRef]
- Niu, S.; Lyu, R.; Lyu, J.; Chau, K.; Liu, W.; Jian, L. Optimal resonant condition for maximum output power in tightly-coupled WPT systems considering harmonics. IEEE Trans. Power Electron. 2024, 40, 152–156. [Google Scholar] [CrossRef]
- Niu, S.; Yu, H.; Niu, S.; Jian, L. Power loss analysis and thermal assessment on wireless electric vehicle charging technology: The over-temperature risk of ground assembly needs attention. Appl. Energy 2020, 275, 115344. [Google Scholar] [CrossRef]
- Niu, S.; Zhao, Q.; Chen, H.; Niu, S.; Jian, L. Noncooperative metal object detection using pole-to-pole EM distribution characteristics for wireless EV charger employing DD coils. IEEE Trans. Ind. Electron. 2023, 71, 6335–6344. [Google Scholar] [CrossRef]
- Akbar, S.R.; Setiawan, E.; Hirata, T.; Hodaka, I. Optimal Wireless Power Transfer Circuit without a Capacitor on the Secondary Side. Energies 2023, 16, 2922. [Google Scholar] [CrossRef]
- Song, K.; Lan, Y.; Zhang, X.; Jiang, J.; Sun, C.; Yang, G.; Yang, F.; Lan, H. A review on interoperability of wireless charging systems for electric vehicles. Energies 2023, 16, 1653. [Google Scholar] [CrossRef]
- Thongpron, J.; Kamnarn, U.; Namin, A.; Sriprom, T.; Chaidee, E.; Janjornmanit, S.; Yachiangkam, S.; Karnjanapiboon, C.; Thounthong, P.; Takorabet, N. Varied-Frequency CC–CV Inductive Wireless Power Transfer with Efficiency-Regulated EV Charging for an Electric Golf Cart. Energies 2023, 16, 7388. [Google Scholar] [CrossRef]
- Pagano, R.; Abedinpour, S.; Raciti, A.; Musumeci, S. Efficiency optimization of an integrated wireless power transfer system by a genetic algorithm. In Proceedings of the 2016 IEEE Applied Power Electronics Conference and Exposition (APEC), Long Beach, CA, USA, 20–24 March 2016; pp. 3669–3676. [Google Scholar]
- Gao, X.; Cao, W.; Yang, Q.; Wang, H.; Wang, X.; Jin, G.; Zhang, J. Parameter optimization of control system design for uncertain wireless power transfer systems using modified genetic algorithm. CAAI Trans. Intell. Technol. 2022, 7, 582–593. [Google Scholar] [CrossRef]
- Bertolini, V.; Corti, F.; Intravaia, M.; Reatti, A.; Cardelli, E. Optimizing power transfer in selective wireless charging systems: A genetic algorithm-based approach. J. Magn. Magn. Mater. 2023, 587, 171340. [Google Scholar] [CrossRef]
- Patil, D.; McDonough, M.K.; Miller, J.M.; Fahimi, B.; Balsara, P.T. Wireless power transfer for vehicular applications: Overview and challenges. IEEE Trans. Transp. Electrif. 2017, 4, 3–37. [Google Scholar]
- Liu, W.; Chau, K.; Tian, X.; Wang, H.; Hua, Z. Smart wireless power transfer—opportunities and challenges. Renew. Sustain. Energy Rev. 2023, 180, 113298. [Google Scholar]
- Yamaguchi, K.; Hirata, T.; Yamamoto, Y.; Hodaka, I. Resonance and efficiency in wireless power transfer system. WSEAS Trans. Circuits Syst. 2014, 13, 218–223. [Google Scholar]
- Love, G.N.; Wood, A.R. Harmonic state space model of power electronics. In Proceedings of the 2008 13th International Conference on Harmonics and Quality of Power, Wollongong, NSW, Australia, 28 September–1 October 2008; pp. 1–6. [Google Scholar]
- Blanchette, H.F.; Ould-Bachir, T.; David, J.P. A state-space modeling approach for the FPGA-based real-time simulation of high switching frequency power converters. IEEE Trans. Ind. Electron. 2011, 59, 4555–4567. [Google Scholar] [CrossRef]
- Emadi, A. Modeling and analysis of multiconverter DC power electronic systems using the generalized state-space averaging method. IEEE Trans. Ind. Electron. 2004, 51, 661–668. [Google Scholar]
- Erickson, R.W.; Maksimovic, D. Fundamentals of Power Electronics; Springer Science & Business Media: Berlin/Heidelberg, Germany, 2007. [Google Scholar]
- Hart, D.W.; Hart, D.W. Power Electronics; McGraw-Hill: New York, NY, USA, 2011; Volume 166. [Google Scholar]
- Kolar, J.W.; Krismer, F.; Lobsiger, Y.; Muhlethaler, J.; Nussbaumer, T.; Minibock, J. Extreme efficiency power electronics. In Proceedings of the 2012 7th International Conference on Integrated Power Electronics Systems (CIPS), Nuremberg, Germany, 6–8 March 2012; pp. 1–22. [Google Scholar]
- Cameron, I.T.; Hangos, K. Process Modelling and Model Analysis; Elsevier: Amsterdam, The Netherlands, 2001. [Google Scholar]
- Hangos, K.M.; Bokor, J.; Szederkényi, G. Analysis and Control of Nonlinear Process Systems; Springer Science & Business Media: Berlin/Heidelberg, Germany, 2006. [Google Scholar]
- Szederkényi, G.; Lakner, R.; Gerzson, M. Intelligent Control Systems: An Introduction with Examples; Springer Science & Business Media: Berlin/Heidelberg, Germany, 2006; Volume 60. [Google Scholar]
- Brunton, S.L.; Kutz, J.N. Data-Driven Science and Engineering: Machine Learning, Dynamical Systems, and Control; Cambridge University Press: Cambridge, UK, 2022. [Google Scholar]
- Callier, F.M.; Desoer, C.A. Linear System Theory; Springer Science & Business Media: Berlin/Heidelberg, Germany, 2012. [Google Scholar]
- Hespanha, J.P. Linear Systems Theory; Princeton University Press: Princeton, NJ, USA, 2018. [Google Scholar]
- Ogata, K. Modern Control Engineering; Prentice Hall India: Hoboken, NJ, USA, 2009. [Google Scholar]
- Doyle, J.C.; Francis, B.A.; Tannenbaum, A.R. Feedback Control Theory; Courier Corporation: Maharashtra, India, 2013. [Google Scholar]
- Van Wageningen, D.; Staring, T. The Qi wireless power standard. In Proceedings of the 14th International Power Electronics and Motion Control Conference EPE-PEMC 2010, Ohrid, Macedonia, 6–8 September 2010; pp. S15–S25. [Google Scholar]
- Liu, X. Qi standard wireless power transfer technology development toward spatial freedom. IEEE Circuits Syst. Mag. 2015, 15, 32–39. [Google Scholar]
- Kiruthiga, G.; Jayant, M.Y.; Sharmila, A. Wireless charging for low power applications using Qi standard. In Proceedings of the 2016 International Conference on Communication and Signal Processing (ICCSP), Melmaruvathur, Tamilnadu, India, 6–8 April 2016; pp. 1180–1184. [Google Scholar]
- Roman, J.; Sindia, S.; Yao, Z.; Briggs, M.; Barber, C. Wireless Power Transfer (WPT) by Magnetic Induction. In Magnetic Communications: From Theory to Practice; CRC Press: Boca Raton, FL, USA, 2018; pp. 3–16. [Google Scholar]
- Itoh, K. RF bridge rectifier and its good possibility for wireless power transmission systems. In Proceedings of the 2015 IEEE International Symposium on Radio-Frequency Integration Technology (RFIT), Sendai, Japan, 26–28 August 2015; pp. 226–228. [Google Scholar]
- Fu, M.; Tang, Z.; Liu, M.; Ma, C.; Zhu, X. Full-bridge rectifier input reactance compensation in megahertz wireless power transfer systems. In Proceedings of the 2015 IEEE PELS Workshop on Emerging Technologies: Wireless Power (2015 WoW), IEEE, Daejeon, Republic of Korea, 5–6 June 2015; pp. 1–5. [Google Scholar]
- Fu, M.; Tang, Z.; Ma, C. Analysis and optimized design of compensation capacitors for a megahertz WPT system using full-bridge rectifier. IEEE Trans. Ind. Inform. 2018, 15, 95–104. [Google Scholar]
- Sampath, J.; Alphones, A.; Shimasaki, H. Coil design guidelines for high efficiency of wireless power transfer (WPT). In Proceedings of the 2016 IEEE Region 10 Conference (TENCON), Singapore, 22–26 November 2016; pp. 726–729. [Google Scholar]
- Li, Y.; Jiang, S.; Liu, X.L.; Li, Q.; Dong, W.H.; Liu, J.M.; Ni, X. Influences of coil radius on effective transfer distance in WPT system. IEEE Access 2019, 7, 125960–125968. [Google Scholar] [CrossRef]
- Rakhymbay, A.; Bagheri, M.; Lu, M. A simulation study on four different compensation topologies in EV wireless charging. In Proceedings of the 2017 International Conference on Sustainable Energy Engineering and Application (ICSEEA), Jakarta, Indonesia, 23–24 October 2017; pp. 66–73. [Google Scholar]
- Beh, T.C.; Kato, M.; Imura, T.; Oh, S.; Hori, Y. Automated impedance matching system for robust wireless power transfer via magnetic resonance coupling. IEEE Trans. Ind. Electron. 2012, 60, 3689–3698. [Google Scholar]
- Frivaldsky, M.; Jaros, V.; Spanik, P.; Pavelek, M. Control system proposal for detection of optimal operational point of series–series compensated wireless power transfer system. Electr. Eng. 2020, 102, 1423–1432. [Google Scholar]



























| H) | H) | |||
|---|---|---|---|---|
| 1 | 1 | 63.4 | 1 | 63.4 |
| H) | H) | |||
|---|---|---|---|---|
| 1 | 1 | 40 | 1 | 40 |
| i | 1 | 2 | 3 | 4 | 5 | 6 | 7 | 8 | 9 |
|---|---|---|---|---|---|---|---|---|---|
| 1 | 10 | 100 | 1 | 10 | 100 | 1 | 10 | 100 | |
Disclaimer/Publisher’s Note: The statements, opinions and data contained in all publications are solely those of the individual author(s) and contributor(s) and not of MDPI and/or the editor(s). MDPI and/or the editor(s) disclaim responsibility for any injury to people or property resulting from any ideas, methods, instructions or products referred to in the content. |
© 2025 by the authors. Licensee MDPI, Basel, Switzerland. This article is an open access article distributed under the terms and conditions of the Creative Commons Attribution (CC BY) license (https://creativecommons.org/licenses/by/4.0/).
Share and Cite
Akbar, S.R.; Kurniawan, W.; Basuki, A.; Budi, A.S.; Prasetio, B.H. Wireless Power Transfer Optimization with a Minimalist Single-Capacitor Design for Battery Charging. Energies 2025, 18, 1574. https://doi.org/10.3390/en18071574
Akbar SR, Kurniawan W, Basuki A, Budi AS, Prasetio BH. Wireless Power Transfer Optimization with a Minimalist Single-Capacitor Design for Battery Charging. Energies. 2025; 18(7):1574. https://doi.org/10.3390/en18071574
Chicago/Turabian StyleAkbar, Sabriansyah Rizqika, Wijaya Kurniawan, Achmad Basuki, Agung Setia Budi, and Barlian Henryranu Prasetio. 2025. "Wireless Power Transfer Optimization with a Minimalist Single-Capacitor Design for Battery Charging" Energies 18, no. 7: 1574. https://doi.org/10.3390/en18071574
APA StyleAkbar, S. R., Kurniawan, W., Basuki, A., Budi, A. S., & Prasetio, B. H. (2025). Wireless Power Transfer Optimization with a Minimalist Single-Capacitor Design for Battery Charging. Energies, 18(7), 1574. https://doi.org/10.3390/en18071574

