Next Article in Journal
A Long-Range, High-Efficiency Resonant Wireless Power Transfer via Imaginary Turn Ratio Air Voltage Transformer
Previous Article in Journal
Optimal of Placement for Battery Energy Storage System Installation Using Fuzzy Expert System in Thailand: A Case Study of Critical Closed-Circuit Television Positions
 
 
Font Type:
Arial Georgia Verdana
Font Size:
Aa Aa Aa
Line Spacing:
Column Width:
Background:
Article

Flight Capability Analysis Among Different Latitudes for Solar Unmanned Aerial Vehicles

Department of Technical Systems Operation and Maintenance, Faculty of Mechanical Engineering, Wroclaw University of Science and Technology, Smoluchowskiego 48, 50-372 Wroclaw, Poland
*
Author to whom correspondence should be addressed.
Energies 2025, 18(6), 1331; https://doi.org/10.3390/en18061331
Submission received: 20 January 2025 / Revised: 2 March 2025 / Accepted: 6 March 2025 / Published: 8 March 2025
(This article belongs to the Section D: Energy Storage and Application)

Abstract

This paper presents an analysis of the flight endurance of solar-powered unmanned aerial vehicles (UAVs). Flight endurance is usually only analyzed under the operating conditions for the location where the UAV was constructed. The fact that these conditions change in a different environment of its operation has been missed. This can be disastrous for those looking to operate such a system under different geographical conditions. This work provides critical insights into the design and operation of solar-powered UAVs for various latitudes, highlighting strategies to maximize their performance and energy efficiency. This work analyzes the endurance of small UAVs designed for practical applications such as shoreline monitoring, agricultural pest detection, and search and rescue operations. The study uses TRNSYS 18 software to employ solar radiation in the power system performance at different latitudes. The results show that flight endurance is highly dependent on solar irradiance. This study confirms that the differences between low latitudes in summer and high latitudes in winter are significant, and this parameter cannot be ignored in terms of planning the use of such vehicles. The findings emphasize the importance of optimizing the balance between UAV mass, solar energy harvesting, and endurance. While the addition of battery mass can enhance endurance, the structural reinforcements required for increased weight may impose practical limitations. The scientific contribution of this work may be useful for both future designers and stakeholders in the operation of such unmanned systems.

1. Introduction

Unmanned aerial vehicles are gaining widespread use every day [1]. The main limitation of flight operations is their endurance in flight. The main problem with the design of unmanned aerial vehicles, and any means of transportation, is the limited amount of energy in the energy storage systems installed. Depending on the application of the UAV, the source of energy and its capacity stored in the UAV’s structure should be planned accordingly. The primary method of energy management is to match installed capacity to the required flight length, which has a direct impact on flight endurance [2]. However, increasing it adversely results in adding weight to the unmanned vehicle. So, often, such steps are not enough to design the ideal solution. Therefore, designers of unmanned vessels are looking for new, lightweight, and durable materials that can be used to build the structural components of a flying object [3].
There are also various techniques for increasing flight endurance that are used for drones powered solely by built-in batteries. The first relies on swapping, where the mission requires a landing to immediately replace the batteries and continue the mission [4]. However, this solution limits the range of the mission because it requires landing at a location where the operator will replace the battery. Another solution could be laser-beam inflight recharging [5]. However, this solution requires additional system components and missions within the station. The next possibility is to perform tethered flights [6]. A power line is permanently connected to the drone. This solution also has a distance limitation.
Nowadays, it is becoming very common to use renewable energy sources, which have the ability to maintain energy on the flight. This allows a significant improvement in flight endurance [7]. In this article, this issue will be addressed. This article focuses on a solar solution that uses sunlight to provide a supply of energy to the batteries installed in the unmanned vehicle. For solar-powered UAVs, energy is obtained from solar radiation through the use of solar panels. However, the power of solar panels is strongly dependent on temperature and irradiance density. Flight capability, therefore, depends on the environment in which the flight operation is performed.
The scientific literature contains numerous examples of developed UAV designs that use solar technology. They are utilized in a broad range of applications, including environmental monitoring, infrastructure surveillance, and search and rescue operations. Most of these systems are equipped with large-format cameras and LiDAR sensors, which are particularly useful for mapping and tomography, such as in agricultural areas. Their extended flight endurance makes them especially suited for tasks like coastline monitoring, border protection, and large-scale land surveys. Additionally, these capabilities contribute to their effectiveness in disaster response, wildlife tracking, and urban planning, where continuous and high-resolution data collection is crucial for informed decision-making [8]. However, the scientific work conducted so far does not present an analysis of the flight endurance that can be achieved depending on the location of the flight operation. In [9], the authors present a method for flight endurance estimation; however, it assumes a clear sky without any clouds. This assumption is a simplification and does not account for the radiation absorbed or reflected by the clouds. This lack of knowledge is detrimental to stakeholders interested in using this technology. The designers of UAVs do not provide information on the variability of the flight endurance of their structures depending on their operating location. Such information is also not indicated in scientific papers that summarize achievements in this field [10,11,12,13]. This article will address this gap. The aim of this article was to conduct a study that highlights the importance of flight endurance and its variability depending on where UAVs are operated. The analysis has been carried out for small fixed-wing UAVs. The average values of the technical parameters of the solutions identified in the scientific literature were adopted for this study. The calculation of local irradiance density was conducted using TRNSYS software.
Section 2 discusses the state of current knowledge of solar drones. There, the research gap is discussed. Section 3 then presents the method developed to conduct the research. In Section 4, the results are discussed. Section 5 presents the conclusions of the analysis.

2. State of the Art

The use of solar technology in aviation is not relatively new. The first identified solution published in the literature dates back to 1974 [10]. An intensive overview of the constructions that have been built up to 2007 is presented by [11]. A partial review of the solutions developed up to 2014 is also presented in [12]. The review is then extended by a scientific paper [13], where a systematic review of the construction up to 2021 is conducted. The papers identified as many as 93 structures with different parameters. It should be noted that after 2021, few publications were produced that addressed the description of newly developed solar drone designs or were linked to solar drone solutions. Hyun et al. focused on a hybrid solution [14]. Hybrid propulsion systems using PEMFCs and batteries have been developed. Omar et al. [15] developed a solar-powered hexacopter drone for industrial security and anomaly detection, and Saravanan et al. [16] developed a solar quadcopter.
The range of identified designs and their concepts varies greatly from a wingspan of 0.07m all the way up to 75m. The average is 3m [13]. This is a great result, but, as all the authors agree, a lot of these solutions are just prototypes that have not yet found widespread use.
Currently, several types of solar systems are available on the market, each with distinct characteristics. From a performance perspective, this is a critical area of study. Three primary types of solar systems can be identified:
  • Crystalline Silicon Solar Cells: These are the most prevalent, accounting for approximately 90% of the market. Their efficiency can reach around 20%, as reported by NREL [17].
  • Thin-Film Solar Cells: These have a lower efficiency, typically around 10%, but are particularly advantageous for UAV applications due to their flexibility and lightweight properties.
  • Multijunction Solar Cells: Comprising multiple p-n junctions, these cells achieve higher efficiency than the other types by optimizing each layer to absorb and convert specific portions of the solar spectrum, thereby minimizing losses.
In addition to these systems, numerous other solar cell types exist. Bagher [18] identified 21 distinct types with specific applications in his research. However, for UAV applications, crystalline silicon solar cells are the most commonly used. For instance, in the Helios project [19], these cells achieved a total efficiency of approximately 19%. This cell type will be used for further analysis. It should be noted that all systems are electronic, which is highly reliable [20,21]. However, to achieve a high-endurance flight, the selection of appropriate batteries is critical. An energy buffer is essential to prevent UAV failure during periods of reduced solar radiation, such as cloudy conditions or nighttime. However, increasing battery weight directly raises the power demand on both the propulsion and solar systems. As this is a capacity-to-weight-dependent consideration, it is necessary to analyze available market solutions based on their energy density (Wh/kg). In the UAV sector, Lithium Polymer (LiPo) batteries are the most widely utilized due to their high-energy density, reaching up to 200 Wh/kg, and they are capable of delivering high discharge rates. These characteristics make them suitable for applications requiring high-power propulsion systems. Slightly less common are Lithium-Ion (Li-ion) batteries, which offer comparable energy density but lower discharge rates, making them advantageous for models that prioritize endurance over high-power demands. Nickel-based batteries, on the other hand, are no longer in use due to their suboptimal performance. An overview of the existing solutions is presented in [20]. As observed, the energy density of batteries remains relatively low. For instance, gasoline exhibits an energy density of 12,700 Wh/kg, which is approximately 63 times greater than that of a Li-ion battery [22]. While several studies have demonstrated the feasibility of high-density batteries, such as lithium–air batteries with an energy density of 11,140 Wh/kg [23], these technologies face significant challenges related to cyclability and efficiency, rendering them unsuitable for UAV applications. For this study, Li-Po batteries were selected due to their widespread use and well-established performance characteristics in UAV applications.
To summarize the state of the art, it should be noted that the word endurance appears in almost every publication mentioned. However, it is mainly mentioned generally, treating it more as a drone’s ability to fly, e.g., referring to the design as long endurance. Scientific works focus on finding new solutions to ensure high flight endurance, but the issue of variability has not been addressed. So far, no one has conducted an accurate comparative study examining the dependence of flight endurance on operation location. In this article, such an analysis has been carried out. Averaged technical parameters of currently used unmanned systems were assumed. Stakeholders will be able to perform an analogous analysis for specific drones.

3. Methodology

This article presents an analysis of the effectiveness of solar-powered UAVs across different regions globally. The analysis focuses on small UAVs designed for applications such as coastline monitoring, pest detection in agricultural fields, and search and rescue operations for missing persons. It is assumed that the UAVs considered will operate below cloud level.
Key parameters for small-scale UAVs, including empty mass, aspect ratio, and wing area, will be averaged to estimate the maximum possible solar cell area and the power demand of the propulsion system. Subsequently, the efficiency of the entire powertrain will be evaluated. Using these data, along with assumptions such as a 20% monocrystalline solar cell efficiency and a Li-Po battery energy density of 200 Wh/kg, the analysis will determine the maximum flight duration as a function of latitude, season, and battery capacity. Section 3.1, Section 3.2 and Section 3.3 outline the assumptions made and methodology followed in these investigations.

3.1. Averaged Aircraft Parameters

A systematic review of existing solar small UAVs conducted by [13] indicates that the average aspect ratio falls within the range of 10–13, with a maximum takeoff weight (MTOW) of 2 kg. From the same source, the average wingspan was extracted from the graph as 3 m, and the wing area was determined to be 1.1 m2. According to [24], an aircraft with these parameters is expected to have a lift-to-drag ratio of approximately 12. Based on similar designs, the cruise speed was estimated to be 11 m/s [25,26].
Using these parameters, the lift coefficient can be determined as follows [27]:
m g = C L ρ V 2 S 2
where C L is the lift coefficient, ρ is the air density at sea level in kg/m3, m is the mass of UAVs in kg, g is the gravitational constant in m/s2, S is the wing area in m2 and V is the cruise speed in m/s. Using Equation (1), the lift coefficient is given by the following:
C L = 2 m g ρ V 2 S ~ 0.24
This value will later be utilized for speed adjustment when an additional battery is incorporated to extend the flight endurance.

3.2. Additional Battery Approach

To evaluate the energy storage capacity of the solar aircraft, it is necessary to define battery mass as a fraction of the specified maximum takeoff weight (MTOW) of 2 kg. For comparison, analogous solar-powered aircraft such as AtlantikSolar [26] and SkySailor [28] allocate 42% and 25% of their total mass to batteries, respectively. In this study, the battery mass was defined as 30% of the 2 kg MTOW, resulting in a value of 600 g and 120 Wh.
We did not assume there to be a constant battery capacity in the analysis. To examine the impact of varying configurations of the power supply on flight endurance, simulations were conducted under different scenarios. In solar UAVs, the battery primarily functions as an energy buffer; however, its role can vary depending on the latitude. Increasing the battery capacity adds to the overall mass of the aircraft, necessitating compensatory adjustments such as higher speeds and increased motor power, which, in turn, elevate energy consumption. While this adjustment may prove advantageous at certain latitudes, it could be detrimental to others.
The addition of battery mass is constrained by a critical parameter: the wing loading. For small-scale UAVs, wing loading typically ranges between 10 and 20 N/m2, as detailed in [29].
The calculated wing loading, based on the estimated MTOW and wing area, is presented below.
W i n g L O A D = m g S = 2 · 9.81 1.1 = 17.83   [ N m 2 ]
where m is the mass of UAV in kg, g is the gravitational constant in m/s2 and S is the wing area in m2
It was observed that for a maximum wing loading of 20, there is sufficient capacity to accommodate additional payload in the form of batteries.

3.3. System Efficiency

For a standard UAV equipped with a BLDC motor, ESC, battery, and propeller, the efficiency of such a system integrated with solar cells is reported to be 0.11 [30]. The majority of such systems are equipped with Maximum Power Point Tracking (MPPT) technology, which dynamically adjusts to variables such as solar irradiance fluctuations, vehicle orientation, and solar panel temperature. This optimization ensures the maximization of the harvested energy.

3.4. Selection of Software and Input Data Assumed

This study primarily focuses on the performance of solar cells across different latitudes. The TRNSYS (Transient System Simulation Tool) is a highly flexible software used for simulating the dynamic behavior of energy systems. Developed to model transient energy flows, it is widely applied in fields such as renewable energy, building energy systems, and HVAC (heating, ventilation, and air conditioning) design [31]. This software was selected to conduct further analysis.

3.4.1. List of Considered Places

The TRNSYS software facilitates the calculation of electrical power not through algorithmic estimation but by utilizing authentic meteorological data from numerous cities worldwide. These data are supplied by Meteonorm, which aggregates information from 8320 weather stations globally. However, due to software limitations, the analysis in this study will be conducted using data from 41 selected stations.
This limitation is not anticipated to pose significant challenges, as solar radiation is latitude-dependent [32], allowing for the development of correlations based on the available data. The list of locations considered in the analysis is provided in Table 1.
To visualize the locations of the aforementioned sites, an illustrative map was created (Figure 1).

3.4.2. Radiation Output from TRNSYS Software

The calculation of radiation began with creating a project in the TRNSYS software. The scheme comprised four elements: a weather data source, a P-V collector model, plots, and data output (Figure 2).
The weather data element served as the source of solar radiation input values, which were obtained from Meteonorm, as previously stated. The plots and data output elements provided the simulation results in the form of graphs and data. To ensure accurate electrical power output data, the P-V element had to be configured correctly. This was achieved using SunPower C60 panels manufactured by SunPower Corporation, San Jose, USA, as recommended in [13]. The panel specifications are provided in Table 2. In the calculation, the MPPT module was employed.
The final parameter to define is the number of solar cells. Based on the dimensions of each cell (125 × 125 mm), the number can theoretically be calculated by dividing the wing surface area by the area of a single solar cell. However, this approach is not entirely accurate due to the curvature of the wing, which makes it challenging to place panels in certain areas. Drawing from a similar construction detailed in [34], it was assumed that 70% of the wing surface could be covered with solar panels. Consequently, the number of panels used in the simulation is as follows:
N p a n e l s = 0.7 · S s 1 = 0.7 · 1.1 ( 0.125 · 0.125 ) ~ 49
where
  • S —aircraft wing surface (1.1 m2);
  • s 1 —single C60 panel surface [m2].
Based on this methodology, simulations were performed for the 41 locations listed in Table 1. As an example, the generated electrical power for Prague is shown in Figure 3.
As observed, the approximate maximum power generation is 150 W, occurring during the summer months, which is consistent with the climatic conditions of Prague. The software generates results for each hour, indicating that the 150 W peak power generation may only occur during a limited number of hours throughout the year. In the same manner, results for Cape Town, as an example, are shown in Figure 4.
In contrast to the results from Prague, the highest power generation occurs at the very beginning and end of the calculation. These are the months when summer occurs in the Southern Hemisphere.

3.5. Calculation Procedure

After obtaining the data, they were adapted to suit the task requirements. The initial step involved averaging the data. The simulation results were provided for each hour of the year. To simplify the calculations, the 8760 hourly data points were grouped by month. Subsequently, the hours and their corresponding specific radiation values were organized into a 24 h format. This approach allowed for the aggregation of radiation values for a specific hour, such as 2:00 a.m. in January. These aggregated values were then averaged. In essence, a representative statistical day of the month was generated for each location. An example of the results presented for Prague is shown in Figure 5.
The presented figure shows that during summertime, the sun begins providing solar energy early in the day, with peak power generation occurring around 12 p.m. In contrast, during winter, power generation does not exceed 40 Wh per hour and lasts for approximately four hours.

3.5.1. Assumptions and Calculation Procedure

While averaging the data for each month, certain assumptions were made. The first assumption was that the energy consumed for takeoff would be neglected. The drones targeted in this article are used for coastline monitoring or rescue missions, fields where takeoff is typically performed using a catapult or a pressure tube. The second assumption was that the UAV would begin its mission at 7:00 a.m. with a fully charged battery (120 Wh). Subsequently, as time progresses, the battery capacity decreases due to power consumption, while solar energy simultaneously recharges it. The hourly power consumption can be calculated using the Work Theorem calculation as follows [35]:
P o w e r c o n s u m p t i o n = F D · V
where
  • F D —drag force [N];
  • V —velocity of the flight [m/s].
The drag force can be calculated as follows [13]:
F D = C L ρ V 2 S 2 L
where
  • ρ —air density at sea level [kg/m3];
  • V —velocity of the flight [m/s];
  • S —aircraft wing surface (1.1 m2);
  • C L —lift coefficient (0.24);
  • L—lift-to-drag ratio (11).
Our proposed procedure for the calculation is as follows:
  • Initiate Flight: The UAV starts its mission at 7:00 a.m. with a fully charged battery.
  • Energy Management: For each hour of the flight, the energy generated by the solar panels is added, adjusted by the propeller efficiency factor (0.77 [31]), and the motor’s power consumption is subtracted. If the generated power exceeds the consumption, the energy storage is maintained at its maximum capacity of 120 Wh.
  • Continuation: This process is then repeated for subsequent hours until the battery is fully depleted.

3.5.2. Calculation with Bigger Battery

When considering calculations with a larger battery capacity, several adjustments are necessary. To achieve a wing load value of approximately 20, the battery mass must be increased.
M a s s b a t t e r y = W i n g l o a d · S g ( P r i m a r y m a s s P r i m a r y b a t t e r y )
where
  • W i n g l o a d = 20 N m 2 ;
  • S —aircraft wing surface (1.1 m2);
  • P r i m a r y m a s s —primary mass of the aircraft before adjustment (2 kg);
  • P r i m a r y b a t t e r y —primary mass of the battery before adjustment (0.6 kg);
  • g —gravitational constant.
Then, the Massbattery is calculated as follows:
M a s s b a t t e r y = 20 · 1.1 9.81 2 0.6 = 0.843   [ k g ]
In this case, the energy stored in the battery is equal to the following:
E s t o r e d = M a s s b a t t e r y · b a t t e r y d e n s i t y = 0.843   k g · 200 W h k g = 168.6   W h
The final parameter that must be adjusted is the aircraft’s cruise speed. Due to the increased mass, the lift force must compensate for the higher weight. This increase in velocity directly impacts power consumption, as described in Equation (5). The velocity can be determined using the following formula:
V I I = 2 m n e w g S ρ C L
where
  • m n e w —new mass of the aircraft [kg];
  • S —aircraft wing surface (1.1 m2);
  • g —gravitational constant;
  • C L —lift coefficient (0.25);
  • ρ —air density at sea level.
Then, the velocity is calculated as follows:
V I I = 2 · ( 1.4 + 0.843 ) · 9.81 1.1 · 1.225 · 0.24 ~ 11.66   m s
The calculation for an additional battery can now be performed following the procedure outlined in Section 3.5.1. Given the aircraft’s velocity and power consumption, flight endurance (excluding any solar radiation gain) can be calculated by dividing the energy stored in the battery (168.6 Wh) by power consumption. Specific values can be obtained from Formulas (5), (6) and (11). The results are shown below:
F l i g h t e n d u r a n c e = E s t o r e d · P r o p e f f i c i e n c y F D · V · P r o p e f f i c i e n c y = 168.6   W h · 0.77 1.83   N · 11.66 m s · ~   6   h r s
This value will serve as a reference for solar endurance flight times.

4. Results and Discussion

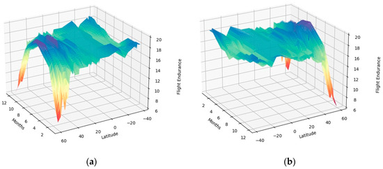
The simulation results are presented in the form of 3D surface graphs (Figure 6 and Figure 7), with the X-axis representing the latitude of the location from which the solar data were obtained, the Y-axis showing the month numbers in the sequence, and the Z-axis representing the obtained flight endurance time in hours. The results are presented for configuration with a default and enlarged battery.
The analysis performed encompassed nearly the full range of latitudes globally. A larger proportion of data originated from the Northern Hemisphere, reflecting the fact that the majority of the human population resides there. The seasonal impact is clearly observable in the presented graphs. During the late months (October–February), winter conditions are evident in high-latitude Northern Hemisphere locations. In contrast, flight endurance near the equator remains nearly stable, which is consistent with the relatively uniform climatic conditions characteristic of this region.
As observed, the flight endurance time is strongly dependent on solar radiation. In high-latitude locations during December, the endurance time does not exceed 6 h due to the limited duration of daylight, and this is similar to UAVs without a solar system as calculated in Section 3.5.2. Conversely, the longest endurance time is not observed near the equator but rather around the tropics during summer. This is primarily attributed to the extended daylight hours. Near the equator, daylight duration is relatively constant, approximately 12 h. In contrast, during summer in Europe, daylight can vary from 14 to as much as 19 h. Notably, the aircraft was unable to sustain flight through the nighttime in any location. The maximum recorded endurance time was 21 h. During periods of high solar radiation, the energy generated by the solar panels exceeded consumption by a factor of up to five. This surplus resulted in a loss of solar power as the batteries reached full charge. This study assumed the use of a constant flight altitude; however, during periods of excess solar power, the aircraft could potentially climb to store energy as gravitational potential. Such a strategy could enhance the ability to sustain flight through nighttime hours.
An interesting finding is that adding an extra battery increases flight endurance without negatively affecting the maximum endurance due to the additional mass. However, in this study, the battery mass was incremented only once. It is expected that there exists an upper limit to this benefit. To emphasize this phenomenon, additional calculations were performed for Prague using the same methodology described in Section 3.5.2. The results are presented in Figure 8.
As observed, for the default mass of the UAV (2 kg), the endurance flight time in June is approximately 20 h. This value increases with an additional battery mass of up to 3 kg, beyond which the endurance time begins to decline. This suggests that the added battery mass increases the UAV’s velocity and power consumption to a degree that negates the benefits of carrying the extra energy storage. It should be noted that this analysis neglected the structural implications of an increased UAV mass. Specifically, as the UAV’s mass increases, its structure must be reinforced, which, in turn, may lead to additional weight. Consequently, the theoretical limit of 3 kg for optimal endurance could be even lower in practical scenarios.

5. Conclusions

The conducted research demonstrates the feasibility of utilizing solar-powered UAVs for specific applications across various global locations. The findings indicate that the achievable flight endurance depends significantly on geographic latitude. A key outcome of the study is confirmation that solar energy systems have reached a level of maturity suitable for application in the UAV industry. However, energy storage remains a critical limiting factor. During periods of peak solar irradiance, the batteries recharge rapidly, and the excess solar energy is effectively wasted. While increasing battery mass can extend flight duration, this improvement is only effective up to a certain threshold. Beyond this point, additional battery mass becomes counterproductive. To unlock the full potential of solar-powered UAVs, advancements in higher-density energy storage systems are essential. Our proposed method can be adopted by developers of unmanned aerial vehicles. Such calculations should be presented to the users of these systems. This knowledge is essential for planning future flight operations with solar UAVs. However, this research study had several limitations. It did not take into account the possibility of altitude gains during periods of excessive radiation peaks. After such a phase, utilizing sailplaning techniques to return to the default elevation could prove beneficial for energy efficiency. Additionally, this study overlooked the impact of climatic conditions on the efficiency and performance of electronic systems, which could significantly influence UAV operations. The authors focused on the general impact of latitude on flight endurance. This paper serves as an initial source of information regarding the potential of solar UAVs. Once initial estimates are made, more complex calculations should be conducted, as developing a formula that provides an exact flight endurance time based solely on location is not feasible. Even at the same latitude, climate conditions can vary significantly, depending on whether the area is coastal or inland. These variations directly affect the efficiency of the solar panels and batteries, as well as air density. In future research, greater emphasis should be placed on accumulating potential energy during flights. To achieve this, a more advanced energy management system should be developed, incorporating dynamic strategies for optimizing energy storage and usage. This could involve adaptive power allocation, enhanced regenerative energy recovery, and improved battery thermal regulation to maximize overall flight endurance and operational efficiency.

Author Contributions

Conceptualization, M.M. and M.K.; methodology, K.K.; software, B.D.; validation, M.M. and K.K.; formal analysis, M.M.; investigation, K.K.; resources, B.D.; data curation, B.D.; writing—original draft preparation, M.K.; writing—review and editing, T.K.; visualization, M.K.; supervision, T.K. and A.K. All authors have read and agreed to the published version of the manuscript.

Funding

This research received no external funding.

Data Availability Statement

The data are available upon reasonable request from the authors.

Conflicts of Interest

The authors declare no conflicts of interest.

References

  1. Kyrkou, C.; Timotheou, S.; Kolios, P.; Theocharides, T.; Panayiotou, C. Drones: Augmenting our quality of life. IEEE Potentials 2019, 38, 30–36. [Google Scholar] [CrossRef]
  2. Gong, A.; Verstraete, D. Fuel cell propulsion in small fixed-wing unmanned aerial vehicles: Current status and research needs. Int. J. Hydrogen Energy 2017, 42, 21311–21333. [Google Scholar] [CrossRef]
  3. Karpenko, M.; Stosiak, M.; Deptuła, A.; Urbanowicz, K.; Nugaras, J.; Królczyk, G.; Żak, K. Performance evaluation of extruded polystyrene foam for aerospace engineering applications using frequency analyses. Int. J. Adv. Manuf. Technol. 2023, 126, 5515–5526. [Google Scholar] [CrossRef]
  4. Chen, J.; Li, W.; Sha, Y.; Wang, Y.; Zhang, Z.; Li, S.; Wang, C.; Ma, S. Autonomous battery-changing system for UAV’s lifelong flight. Biomim. Intell. Robot. 2023, 3, 100104. [Google Scholar] [CrossRef]
  5. Achtelik, M.C.; Stumpf, J.; Gurdan, D.; Doth, K.-M. Design of a flexible high performance quadcopter platform breaking the mav endurance record with laser power beaming. In Proceedings of the 2011 IEEE/RSJ International Conference on Intelligent Robots and Systems, San Francisco, CA, USA, 25–30 September 2011; pp. 5166–5172. [Google Scholar]
  6. Muttin, F. Umbilical deployment modeling for tethered UAV detecting oil pollution from ship. Appl. Ocean Res. 2011, 33, 332–343. [Google Scholar] [CrossRef]
  7. Boukoberine, M.N.; Zhou, Z.; Benbouzid, M. Power Supply Architectures for Drones–A Review. In Proceedings of the 45th Annual Conference of the IEEE Industrial Electronics Society, Lisbon, Portugal, 14–17 October 2019; pp. 5826–5831. [Google Scholar]
  8. Otto, A.; Agatz, N.; Campbell, J.; Golden, B.; Pesch, E. Optimization approaches for civil applications of unmanned aerial vehicles (UAVs) or aerial drones: A survey. Networks 2018, 72, 411–458. [Google Scholar] [CrossRef]
  9. Huang, Y.; Wang, H.; Li, N.; Yu, Y. Endurance Estimate for Solar-Powered Unmanned Aerial Vehicles. In Proceedings of the 2017 9th International Conference on Intelligent Human-Machine Systems and Cybernetics (IHMSC), Hangzhou, China, 26–27 August 2017; pp. 66–70. [Google Scholar] [CrossRef]
  10. Bruß, H. Solar-Modellflug: Grundlagen, Entwicklung, Praxis; Verlag für Technik und Handwerk: Baden-Baden, Germany, 1988. [Google Scholar]
  11. Noth, A. History of Solar Flight; Autonomous Systems Lab ETH: Zurich, Switzerland, 2008. [Google Scholar]
  12. Zhu, X.; Guo, Z.; Hou, Z. Solar-powered airplanes: A historical perspective and future challenges. Prog. Aerosp. Sci. 2014, 71, 36–53. [Google Scholar] [CrossRef]
  13. Al Dhafari, L.S.; Afzal, A.; Al Abri, O.K.; Khan, A. Solar-Powered UAVs: A systematic Literature Review. In Proceedings of the 2024 2nd International Conference on Unmanned Vehicle Systems-Oman (UVS), Muscat, Oman, 12–14 February 2024. [Google Scholar] [CrossRef]
  14. Hyun, D.; Han, J.; Hong, S. Development of hybrid-powered, sustainable multi-purpose drone system: An analysis model. Int. J. Hydrogen Energy 2024, 61, 762–773. [Google Scholar] [CrossRef]
  15. Omar, T.M.; Alshehhi, H.M.; Alnauimi, M.M.; Alblooshi, S.A.; El Moutaouakil, A. Solar-Powered Automated Drone for Industrial Safety and Anomaly Detection. In Proceedings of the 2024 IEEE 18th International Conference on Application of Information and Communication Technologies (AICT), Turin, Italy, 25–27 September 2024. [Google Scholar] [CrossRef]
  16. Saravanan, P.; Ashwin, G.; Arvinth, V.; Prasanna, V. Solar Powered Quadcopter Drone. In Proceedings of the 2024 10th International Conference on Communication and Signal Processing (ICCSP), Melmaruvathur, India, 12–14 April 2024. [Google Scholar] [CrossRef]
  17. Best Research-Cell Efficiency Chart. Available online: https://www.nrel.gov/pv/cell-efficiency.html (accessed on 5 January 2025).
  18. Bagher, A.M.; Vahid, M.M.A.; Mohsen, M. Types of Solar Cells and Application. Am. J. Opt. Photonics 2015, 3, 94. [Google Scholar] [CrossRef]
  19. Noll, T.E.; Brown, J.M.; Perez-Davis, M.E.; Ishmael, S.D.; Tiffany, G.C.; Gaier, M. Investigation of the Helios Prototype Aircraft Mishap; Createspace Independent Publishing Platform: Scotts Valley, CA, USA, 2012. [Google Scholar]
  20. Valis, D.; Vintr, Z.; Koucky, M. Contribution to highly reliable items’ reliability assessment. In Proceedings of the European Safety and Reliability Conference, ESREL 2009—Reliability, Risk and Safety: Theory and Applications, Prague, Czech Republic, 7–10 September 2009; Taylor & Francis Group: London, UK, 2009; Volume 2, pp. 1321–1326, ISBN 978-0-415-55509-8. [Google Scholar]
  21. Koucky, M.; Valis, D. Reliability of sequential system with restricted number of renewals. In Proceedings of the European Safety and Reliability Conference, ESREL 2007—Reliability, Risk and Safety: Theory and Applications, Stavanger, Norway, 25–27 June 2007; Taylor & Francis Group: London, UK, 2007; Volume 3, pp. 1845–1849, ISBN 0415447860. [Google Scholar]
  22. Batteries and Accumulators Demystified’, Open Impulse. Available online: https://www.openimpulse.com/blog/2013/08/batteries-and-accumulators-demystified/ (accessed on 5 January 2025).
  23. Naqvi, A.A.; Zahoor, A.; Shaikh, A.A.; Butt, F.A.; Raza, F.; Ahad, I.U. Aprotic lithium air batteries with oxygen-selective membranes. Mater. Renew. Sustain. Energy 2022, 11, 33–46. [Google Scholar] [CrossRef]
  24. Zhang, F. The Relationship Between Aspect Ratio and Lift/Drag Ratio. Highlights Sci. Eng. Technol. 2024, 81, 411–417. [Google Scholar] [CrossRef]
  25. Hong, T.-K.; Lin, C.-Y.; Lin, H.-J.; Ruseno, N. Taiwan solar-powered UAV flight endurance record. Drone Syst. Appl. 2024, 12, 1–14. [Google Scholar] [CrossRef]
  26. Bakar, A.; Ke, L.; Liu, H.; Xu, Z.; Wen, D. Design of Low Altitude Long Endurance Solar-Powered UAV Using Genetic Algorithm. Aerospace 2021, 8, 228. [Google Scholar] [CrossRef]
  27. Maxemow, S. That’s a Drag: The Effects of Drag Forces. Undergrad. J. Math. Model. One Two 2009, 2, 4. [Google Scholar] [CrossRef]
  28. Noth, A.; Bouabdallah, S.; Michaud, S.; Siegwart, R.; Engel, W. SKY-SAILOR Design of an autonomous solar powered martian airplane. In Proceedings of the 8th ESA Workshop on Advanced Space Technologies for Robotics and Automation (ASTRA 2004) ESTEC, Noordwijk, The Netherlands, 2–4 November 2004; ETH: Zurich, Switzerland, 2004. [Google Scholar] [CrossRef]
  29. Noth, A. Design of Solar Powered Airplanes for Continous Flight; ETH: Zurich, Switzerland, 2008. [Google Scholar] [CrossRef]
  30. Ross, H. Fly Around the World with a Solar Powered Airplane. In Proceedings of the 26th Congress of ICAS and 8th AIAA ATIO, in Aviation Technology, Integration, and Operations (ATIO) Conferences, Anchorage, AL, USA, 14–19 September 2008; American Institute of Aeronautics and Astronautics: Reston, VA, USA, 2008. [Google Scholar] [CrossRef]
  31. Beckman, W.A.; Broman, L.; Fiksel, A.; Klein, S.A.; Lindberg, E.; Schuler, M.; Thornton, J. TRNSYS The most complete solar energy system modeling and simulation software. Renew. Energy 1994, 5, 486–488. [Google Scholar] [CrossRef]
  32. Brun, P.; Zimmermann, N.E.; Hari, C.; Pellissier, L.; Karger, D.N. Global climate-related predictors at kilometre resolution for the past and future. Earth Syst. Sci. Data 2022, 14, 5573–5603. [Google Scholar] [CrossRef]
  33. C60 Solar Cell. Available online: http://eshop.terms.eu/_data/s_3386/files/1379942540-sunpower_c60_bin_ghi.pdf (accessed on 5 January 2025).
  34. Oettershagen, P.; Melzer, A.; Mantel, T.; Rudin, K.; Stastny, T.; Wawrzacz, B.; Hinzmann, T.; Leutenegger, S.; Alexis, K.; Siegwart, R. Design of small hand-launched solar-powered UAVs: From concept study to a multi-day world endurance record flight. J. Field Robot. 2017, 34, 1352–1377. [Google Scholar] [CrossRef]
  35. Moebs, W.; Ling, S.J.; Sanny, J. University Physics; Loyola Marymount University: Los Angeles, CA, USA; Truman State University: Kirksville, MO, USA, 2016; Volume 1. [Google Scholar]
Figure 1. World Map with marked considered for analysis locations.
Figure 1. World Map with marked considered for analysis locations.
Energies 18 01331 g001
Figure 2. Project scheme from Trnsys.
Figure 2. Project scheme from Trnsys.
Energies 18 01331 g002
Figure 3. Prague’s electrical power generation in the considered case.
Figure 3. Prague’s electrical power generation in the considered case.
Energies 18 01331 g003
Figure 4. Cape Town’s electrical power generation.
Figure 4. Cape Town’s electrical power generation.
Energies 18 01331 g004
Figure 5. Averaged data of generated power in Prague.
Figure 5. Averaged data of generated power in Prague.
Energies 18 01331 g005
Figure 6. Flight endurance vs. geographical latitude in a combined graph with a default battery. (a) view 1, (b) view 2.
Figure 6. Flight endurance vs. geographical latitude in a combined graph with a default battery. (a) view 1, (b) view 2.
Energies 18 01331 g006
Figure 7. Flight endurance vs. geographical latitude in a combined graph with an enlarged battery. (a) view 1, (b) view 2.
Figure 7. Flight endurance vs. geographical latitude in a combined graph with an enlarged battery. (a) view 1, (b) view 2.
Energies 18 01331 g007
Figure 8. Flight endurance calculation with different aircraft masses in Prague.
Figure 8. Flight endurance calculation with different aircraft masses in Prague.
Energies 18 01331 g008
Table 1. The list of cities from which solar radiation data were sourced.
Table 1. The list of cities from which solar radiation data were sourced.
EuropeAfricaAsiaAustralia and OceanaCentral and South AmericaNorth America
BE-UccleBF-OuagadougouAF-KabulAU-Darwin-AirportAR-Buenos-AiresCA-AB-Edmonton-Stony-
CH-ZuerichCD-KisanganiCN-YechangAU-MelbourneBR-BrasiliaCA-BC-Vancouver
CZ-PrahaMG-AntananarivoIN-New-DelhiAU-PerthBR-Rio-De-JaneiroCA-ON-Ottawa
DE-StuttgartZA-Cape-TownJP-Osaka-Intl-ItamiAU-SydneyCU-Havana-Jose-Marti-MX-Cancun-Intl-Airp
ES-Madrid-BarajasDZ-BecharRU-VladivostokNZ-Auckland-AirpEC-Quito-MariscalMX-Chihuahua
FR-Nice SA-Solar-VillagePH-Manila-NaiaNI-Managua-Augusto-CesMX-Ciudad-Univ
GB-London RU-Moskva VE-Caracas-Maiquetia
IT-Rome
SE-Stockholm
TR-Ankara
Table 2. C60 PV panel data [33].
Table 2. C60 PV panel data [33].
Short Circuit Current [A]Current at Max Power Point [A]Open Circuit Voltage [V]Voltage at Max Power Point [V]
6.245.830.6820.574
Disclaimer/Publisher’s Note: The statements, opinions and data contained in all publications are solely those of the individual author(s) and contributor(s) and not of MDPI and/or the editor(s). MDPI and/or the editor(s) disclaim responsibility for any injury to people or property resulting from any ideas, methods, instructions or products referred to in the content.

Share and Cite

MDPI and ACS Style

Kucharski, M.; Milewski, M.; Dziewoński, B.; Kaliszuk, K.; Kisiel, T.; Kierzkowski, A. Flight Capability Analysis Among Different Latitudes for Solar Unmanned Aerial Vehicles. Energies 2025, 18, 1331. https://doi.org/10.3390/en18061331

AMA Style

Kucharski M, Milewski M, Dziewoński B, Kaliszuk K, Kisiel T, Kierzkowski A. Flight Capability Analysis Among Different Latitudes for Solar Unmanned Aerial Vehicles. Energies. 2025; 18(6):1331. https://doi.org/10.3390/en18061331

Chicago/Turabian Style

Kucharski, Mateusz, Maciej Milewski, Bartłomiej Dziewoński, Krzysztof Kaliszuk, Tomasz Kisiel, and Artur Kierzkowski. 2025. "Flight Capability Analysis Among Different Latitudes for Solar Unmanned Aerial Vehicles" Energies 18, no. 6: 1331. https://doi.org/10.3390/en18061331

APA Style

Kucharski, M., Milewski, M., Dziewoński, B., Kaliszuk, K., Kisiel, T., & Kierzkowski, A. (2025). Flight Capability Analysis Among Different Latitudes for Solar Unmanned Aerial Vehicles. Energies, 18(6), 1331. https://doi.org/10.3390/en18061331

Note that from the first issue of 2016, this journal uses article numbers instead of page numbers. See further details here.

Article Metrics

Back to TopTop