An Analysis of the Increase in Energy Efficiency of Photovoltaic Installations by Using Bifacial Modules
Abstract
1. Introduction
2. Materials and Methods
- Power generated by the P module:
- The photovoltaic module fill factor—FF determines the maximum value ratio achieved by a power module vs. the theoretical maximum power of a module:
- The module efficiency η, i.e., the module’s generated power ratio vs. the energy that reaches the module:
- BGE index indicates the additional power generated by the rear side of the module related to that produced at the front side of the module:
- BGEIsc index determines the current efficiency ratio of the rear side of the module to the current efficiency of the front side:
- The total value of irradiance that reached the module EE:
- Short-circuit current of the bifacial module Isc,bi:
- The open-circuit voltage of the bifacial module Uoc,bi:
- Pseudo fill factor pFF, which does not take into account the losses generated by series resistance:
- The fill factor of the bifacial module FFbi:
3. Measurement Results
3.1. Influence of the Module Inclination Angle and Mounting Height Above the Green Ground on Power Generation
3.1.1. Study of the Influence of the Angle of Inclination of the Module on the Generation of Electricity When Placed Above the Green Ground at a Height of 0.5 m
3.1.2. Study of the Influence of the Angle of Inclination of the Module on the Generation of Electricity When Placed Above the Green Ground at a Height of 0.75 m
3.1.3. Study of the Influence of the Angle of Inclination of the Module on the Generation of Electricity When Placed Above the Green Ground at a Height of 1.0 m
3.2. Influence of the Module Inclination Angle and Mounting Height Above the White Substrate on Power Generation
3.2.1. Study of the Influence of the Angle of Inclination of the Module on the Generation of Electricity When Placed Above the White Substrate at a Height of 0.5 m
3.2.2. Study of the Influence of the Angle of Inclination of the Module on the Generation of Electricity When Placed Above the White Substrate at a Height of 0.75 m
3.2.3. Study of the Influence of the Angle of Inclination of the Module on the Generation of Electricity When Placed Above the White Substrate at a Height of 1.0 m
3.3. Influence of the Module Inclination Angle and Mounting Height Above the Gray Substrate on Power Generation
3.3.1. Study of the Influence of the Angle of Inclination of the Module on the Generation of Electricity When Placed Above the Gray Substrate at a Height of 0.5 m
3.3.2. Study of the Influence of the Angle of Inclination of the Module on the Generation of Electricity When Placed Above the Gray Substrate at a Height of 0.75 m
3.3.3. Study of the Influence of the Angle of Inclination of the Module on the Generation of Electricity When Placed Above the Gray Substrate at a Height of 1.0 m
4. Discussion
4.1. Efficiency Analysis
4.2. Energy Production and Emission Reduction
5. Conclusions
- Double-sided panels generate slightly more power in similar lighting conditions, while in worse conditions, their advantage is significant.
- Bifacial panels are more efficient, which is up to 6 percentage points higher for bPV, especially at lower irradiance values.
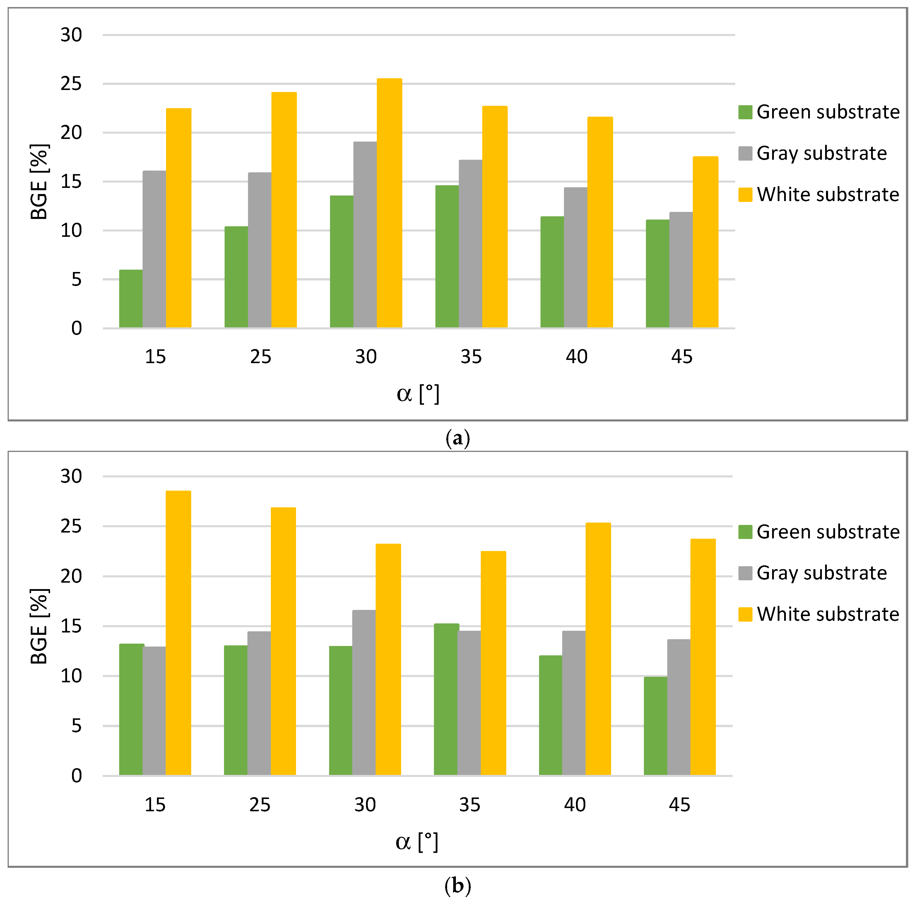
- The value of the power generated by the PV panels, in particular, the yield of the bottom part, is mainly affected by the installation height and the ground; the highest yields are obtained with a substrate with a high albedo coefficient and a higher installation height. This is provided by the values of the BGE indicator, which informs that even 1/3 of energy can be produced by the back side of the panel.
- Two-sided panels require a smaller angle of inclination to the ground than one-sided panels; the difference is up to 10°.
- The use of bifacial panels in installations is characterized by an increase in annual electricity production ranging from a few to over a dozen percent.
Author Contributions
Funding
Data Availability Statement
Conflicts of Interest
Nomenclature
| mPV | Monofacial photovoltaic panel. |
| bPV | Bifacial photovoltaic panel. |
| P | Power generated by the PV module (W). |
| I | Current of the PV module (A). |
| U | Voltage of the PV module (V). |
| PMPP | Power at the maximum power point (A). |
| IMPP | Current intensity at the maximum power point (A). |
| UMPP | Voltage at maximum power point (V). |
| UOC | Open-circuit voltage (V). |
| ISC | Short-circuit current intensity (A). |
| η | Efficiency of the PV module (-). |
| FF | Fill factor of photovoltaic module (-). |
| pFF | Pseudo fill factor, which does not consider the losses generated by series resistance (-). |
| E | Solar irradiance intensity, irradiance (W/m2). |
| EE | The total value of irradiance that reached the bifacial module (W/m2). |
| S | Module’s surface area (m2). |
| BGE | Additional energy (power) ratio generated by the rear part of the module in relation to the energy (power) generated by the panel front part (%). |
| BGEIsc | Current efficiency ratio of the rear side of the module to the current efficiency of the front side (-). |
| n | Number of PV cells in the module (pcs.). |
| k | Boltzmann constant (1.38 × 10−23 J/K). |
| q | Electric charge (q = 1.6 × 10−19 C). |
| T | Module temperature (°C). |
| Subscript bi | Refers to the bifacial module. |
| Subscript rear | Refers to the rear side of the bifacial module. |
| Subscript front | Refers to the front side of the bifacial module. |
References
- Joint Research Centre (European Commission); Crippa, M.; Guizzardi, D.; Banja, M.; Solazzo, E.; Muntean, M.; Schaaf, E.; Pagani, F.; Monforti-Ferrario, F.; Olivier, J.G.J.; et al. CO2 Emissions of All World Countries: JRC/IEA/PBL 2022 Report; Publications Office of the European Union: Luxembourg, 2022. [Google Scholar]
- DNV. Energy Transition Outlook 2022. In A Global and Regional Forecast to 2050; DNV: Bærum, Norway, 2023. [Google Scholar]
- Chodakowska, E.; Nazarko, J.; Nazarko, Ł.; Rabayah, H.S. Solar Radiation Forecasting: A Systematic Meta-Review of Current Methods and Emerging Trends. Energies 2024, 17, 3156. [Google Scholar] [CrossRef]
- BP. Statistical Review of World Energy 2022; BP: London, UK, 2022. [Google Scholar]
- EU Solar Energy Strategy. Available online: https://energy.ec.europa.eu/topics/renewable-energy/solar-energy_en (accessed on 20 January 2025).
- Parida, B.; Iniyan, S.; Goic, R. A Review of Solar Photovoltaic Technologies. Renew. Sustain. Energy Rev. 2011, 15, 1625–1636. [Google Scholar] [CrossRef]
- Philipps, D.S.; Ise, F.; Warmuth, W.; GmbH, P.P. Photovoltaics Report 2022; Fraunhofer ISE: Freiburg, Germany, 2023. [Google Scholar]
- Ašmontas, S.; Mujahid, M. Recent Progress in Perovskite Tandem Solar Cells. Nanomaterials 2023, 13, 1886. [Google Scholar] [CrossRef] [PubMed]
- Gong, J.; Sumathy, K.; Qiao, Q.; Zhou, Z. Review on Dye-Sensitized Solar Cells (DSSCs): Advanced Techniques and Research Trends. Renew. Sustain. Energy Rev. 2017, 68, 234–246. [Google Scholar] [CrossRef]
- Hwang, S.; Lee, H.; Kang, Y. Energy Yield Comparison between Monofacial Photovoltaic Modules with Monofacial and Bifacial Cells in a Carport. Energy Rep. 2023, 9, 3148–3153. [Google Scholar] [CrossRef]
- Yu, G.; Yang, H.; Yan, Z.; Kyeredey Ansah, M. A Review of Designs and Performance of Façade-Based Building Integrated Photovoltaic-Thermal (BIPVT) Systems. Appl. Therm. Eng. 2021, 182, 116081. [Google Scholar] [CrossRef]
- Kaji Esfahani, S.; Tenorio, R.; Karrech, A.; Defendi, K.; Jerez, F. Analysing the Role of Roof Mounted BIPV System Optimization on Decreasing the Effect of Duck Curve in Perth, Western Australia: An Experimental Case Study. Sustain. Energy Technol. Assess. 2021, 47, 101328. [Google Scholar] [CrossRef]
- Pawlak-Jakubowska, A. Retractable Roof Module with Photovoltaic Panel as Small Solar Power Plant. Energy Build. 2023, 288, 112994. [Google Scholar] [CrossRef]
- Appelbaum, J.; Aronescu, A.; Maor, T. Shading by Overhang PV Collectors. Appl. Sci. 2019, 9, 4280. [Google Scholar] [CrossRef]
- Akbari Paydar, M. Optimum Design of Building Integrated PV Module as a Movable Shading Device. Sustain. Cities Soc. 2020, 62, 102368. [Google Scholar] [CrossRef]
- Metz, A.; Fischer, M.; Trube, J. International Technology Roadmap for Photovoltaic (ITRPV) Results 2017. In Proceedings of the PV Manufacturing in Europe Conference, Brussels, Belgium, 19 May 2017; Available online: https://etip-pv.eu/publications/etip-pv-publications/download/international-technology-roadmap-for-photovoltaics (accessed on 26 February 2025).
- Fischer, M.; Woodhouse, M.; Baliozian, P. International Technology Roadmap for Photovoltaic (ITRPV) Results 2023, VDMA e. V. Photovoltaics Equipment, May 2024. Available online: https://www.qualenergia.it/wp-content/uploads/2024/06/ITRPV-15th-Edition-2024-2.pdf (accessed on 26 February 2025).
- Krainer, D.M.; Rennhofer, M.; Mittal, A.; Ujvari, G.; Zamini, S.; Weihs, P.; Dorninger, M. Bifacial photovoltaic module performance in correlation to cloud conditions, sun spectrum and irradiance enhancement. Solar Energy 2025, 285, 113110. [Google Scholar] [CrossRef]
- Dobrzycki, A.; Kurz, D.; Maćkowiak, E. Influence of Selected Working Conditions on Electricity Generation in Bifacial Photovoltaic Modules in Polish Climatic Conditions. Energies 2021, 14, 4964. [Google Scholar] [CrossRef]
- Raina, G.; Sinha, S. A Simulation Study to Evaluate and Compare Monofacial Vs Bifacial PERC PV Cells and the Effect of Albedo on Bifacial Performance. Mater. Today Proc. 2021, 46, 5242–5247. [Google Scholar] [CrossRef]
- Dullweber, T.; Schmidt, J. Industrial Silicon Solar Cells Applying the Passivated Emitter and Rear Cell (PERC) Concept—A Review. IEEE J. Photovolt. 2016, 6, 1366–1381. [Google Scholar] [CrossRef]
- Appelbaum, J. Bifacial Photovoltaic Panels Field. Renew. Energy 2016, 85, 338–343. [Google Scholar] [CrossRef]
- Guo, S.; Walsh, T.M.; Peters, M. Vertically Mounted Bifacial Photovoltaic Modules: A Global Analysis. Energy 2013, 61, 447–454. [Google Scholar] [CrossRef]
- Olczak, P.; Olek, M.; Matuszewska, D.; Dyczko, A.; Mania, T. Monofacial and Bifacial Micro PV Installation as Element of Energy Transition—The Case of Poland. Energies 2021, 14, 499. [Google Scholar] [CrossRef]
- Gulkowski, S. Specific Yield Analysis of the Rooftop PV Systems Located in South-Eastern Poland. Energies 2022, 15, 3666. [Google Scholar] [CrossRef]
- Khan, S.; Sudhakar, K.; Yusof, M.H. bin Comparison of Mono and Bifacial Modules for Building Integration and Electric Vehicle Charging: A Case Study in Sweden. Energy Convers. Manag. X 2023, 20, 100420. [Google Scholar] [CrossRef]
- Muehleisen, W.; Loeschnig, J.; Feichtner, M.; Burgers, A.R.; Bende, E.E.; Zamini, S.; Yerasimou, Y.; Kosel, J.; Hirschl, C.; Georghiou, G.E. Energy Yield Measurement of an Elevated PV System on a White Flat Roof and a Performance Comparison of Monofacial and Bifacial Modules. Renew. Energy 2021, 170, 613–619. [Google Scholar] [CrossRef]
- Sahu, P.K.; Roy, J.N.; Chakraborty, C.; Sundaram, S. A New Model for Estimation of Energy Extraction from Bifacial Photovoltaic Modules. Energies 2021, 14, 5089. [Google Scholar] [CrossRef]
- Cha, H.L.; Bhang, B.G.; Park, S.Y.; Choi, J.H.; Ahn, H.K. Power Prediction of Bifacial Si PV Module with Different Reflection Conditions on Rooftop. Appl. Sci. 2018, 8, 1752. [Google Scholar] [CrossRef]
- Fajuke, I.D.; Raji, A.K. Firefly Algorithm-Based Optimization of the Additional Energy Yield of Bifacial PV Modules. Energies 2022, 15, 2651. [Google Scholar] [CrossRef]
- Bouchakour, S.; Valencia-Caballero, D.; Luna, A.; Roman, E.; Boudjelthia, E.A.K.; Rodríguez, P. Modelling and Simulation of Bifacial PV Production Using Monofacial Electrical Models. Energies 2021, 14, 4224. [Google Scholar] [CrossRef]
- Rodriguez-Pastor, D.A.; Ildefonso-Sanchez, A.F.; Soltero, V.M.; Peralta, M.E.; Chacartegui, R. A New Predictive Model for the Design and Evaluation of Bifacial Photovoltaic Plants under the Influence of Vegetation Soils. J. Clean. Prod. 2023, 385, 135701. [Google Scholar] [CrossRef]
- Abdallah, A.A.; Kivambe, M.; Aïssa, B.; Figgis, B.W. Performance of Monofacial and Bifacial Silicon Heterojunction Modules under Desert Conditions and the Impact of PV Soiling. Sustainability 2023, 15, 8436. [Google Scholar] [CrossRef]
- Jang, J.; Lee, K. Practical Performance Analysis of a Bifacial PV Module and System. Energies 2020, 13, 4389. [Google Scholar] [CrossRef]
- Alam, M.; Gul, M.S.; Muneer, T. Performance Analysis and Comparison between Bifacial and Monofacial Solar Photovoltaic at Various Ground Albedo Conditions. Renew. Energy Focus 2023, 44, 295–316. [Google Scholar] [CrossRef]
- Ganesan, K.; Winston, D.P.; Sugumar, S.; Jegan, S. Performance Analysis of N-Type PERT Bifacial Solar PV Module under Diverse Albedo Conditions. Sol. Energy 2023, 252, 81–90. [Google Scholar] [CrossRef]
- Solar Power Europe (2024): Global Market Outlook for Solar Power 2024–2028. Available online: https://www.solarpowereurope.org/insights/outlooks/global-market-outlook-for-solar-power-2024-2028/detail (accessed on 20 January 2025).
- Datasheet of Bifacial Module LG 390N2T-A5. Available online: https://www.lg.com/global/business/download/resources/solar/NeON%202%20BiFacial%2072cells.pdf (accessed on 27 May 2021).
- Marion, B. Ground Albedo Measurements and Modeling, Lakewood. 2018. Available online: https://www.nrel.gov/docs/fy20osti/72589.pdf (accessed on 26 June 2020).
- Data on Irradiance and Temperature in Poland, PVGIS. Available online: https://ec.europa.eu/jrc/en/pvgis (accessed on 14 December 2020).
- The National Centre for Emissions Management (KOBiZE). Available online: https://www.kobize.pl/ (accessed on 22 February 2025).















| Parameter | Value |
|---|---|
| Isc [A] | 10.15 |
| Uoc [V] | 49.2 |
| PMPP [W] | 390 |
| UMPP [V] | 41.4 |
| IMPP [A] | 9.43 |
| η [%] | 18.5 |
| n [pcs.] | 72 |
| PV cells type | monocrystaline/n-type |
| Dimensions L × W × H [mm] | 2064 × 1024 × 40 |
| Type | α [°] | Efront [W/m2] | T [°C] | UMPP [V] | IMPP [A] | UOC [V] | ISC [A] | PMPP [W] | FF [-] |
|---|---|---|---|---|---|---|---|---|---|
| Monofacial | 45 | 887 | 55.0 | 38.653 | 6.90 | 45.092 | 7.84 | 266.706 | 0.754 |
| 40 | 880 | 36.730 | 7.40 | 44.895 | 7.99 | 271.802 | 0.758 | ||
| 35 | 869 | 37.551 | 7.14 | 44.708 | 7.85 | 268.114 | 0.764 | ||
| 30 | 877 | 36.727 | 7.36 | 44.595 | 7.82 | 270.311 | 0.775 | ||
| 25 | 868 | 36.849 | 7.22 | 44.617 | 7.79 | 266.050 | 0.765 | ||
| 15 | 870 | 36.269 | 7.08 | 44.444 | 7.34 | 256.785 | 0.787 | ||
| Bifacial | 45 | 887 | 44.9 | 37.003 | 8.00 | 45.938 | 8.37 | 296.024 | 0.919 |
| 40 | 880 | 38.117 | 7.94 | 45.910 | 8.56 | 302.649 | 0.913 | ||
| 35 | 869 | 38.380 | 8.00 | 45.719 | 8.57 | 307.040 | 0.896 | ||
| 30 | 877 | 37.225 | 8.24 | 45.750 | 8.56 | 306.734 | 0.890 | ||
| 25 | 868 | 36.326 | 8.08 | 45.770 | 8.37 | 293.514 | 0.907 | ||
| 15 | 870 | 38.567 | 7.05 | 45.547 | 7.85 | 271.897 | 0.912 |
| Type | α [°] | Efront [W/m2] | T [°C] | UMPP [V] | IMPP [A] | UOC [V] | ISC [A] | PMPP [W] | FF [-] |
|---|---|---|---|---|---|---|---|---|---|
| Monofacial | 45 | 905 | 54.9 | 36.601 | 7.57 | 44.498 | 8.15 | 277.07 | 0.764 |
| 40 | 855 | 37.052 | 7.26 | 44.996 | 7.85 | 268.998 | 0.762 | ||
| 35 | 862 | 35.394 | 7.58 | 43.995 | 7.95 | 268.287 | 0.767 | ||
| 30 | 894 | 34.986 | 7.85 | 43.744 | 8.07 | 274.64 | 0.778 | ||
| 25 | 857 | 36.737 | 7.28 | 45.095 | 7.75 | 267.445 | 0.765 | ||
| 15 | 845 | 35.699 | 6.94 | 44.616 | 7.21 | 247.751 | 0.770 | ||
| Bifacial | 45 | 905 | 45.0 | 38.128 | 7.98 | 45.521 | 8.58 | 304.261 | 0.929 |
| 40 | 855 | 38.222 | 7.88 | 45.942 | 8.55 | 301.189 | 0.899 | ||
| 35 | 862 | 37.588 | 8.22 | 45.819 | 8.64 | 308.973 | 0.884 | ||
| 30 | 894 | 36.482 | 8.5 | 45.617 | 8.96 | 310.097 | 0.864 | ||
| 25 | 857 | 38.199 | 7.91 | 46.109 | 8.56 | 302.154 | 0.885 | ||
| 15 | 845 | 37.825 | 7.41 | 46.297 | 8.3 | 280.283 | 0.837 |
| Type | α [°] | Efront [W/m2] | T [°C] | UMPP [V] | IMPP [A] | UOC [V] | ISC [A] | PMPP [W] | FF [-] |
|---|---|---|---|---|---|---|---|---|---|
| Monofacial | 45 | 966 | 55.2 | 35.775 | 8.19 | 44.128 | 8.77 | 292.997 | 0.757 |
| 40 | 954 | 35.276 | 8.12 | 44.021 | 8.77 | 286.441 | 0.742 | ||
| 35 | 955 | 35.076 | 8.27 | 44.095 | 8.83 | 290.078 | 0.745 | ||
| 30 | 943 | 37.309 | 7.82 | 44.015 | 8.75 | 291.756 | 0.758 | ||
| 25 | 915 | 35.128 | 7.92 | 43.815 | 8.47 | 278.214 | 0.750 | ||
| 15 | 850 | 36.871 | 7.15 | 43.008 | 7.97 | 263.628 | 0.769 | ||
| Bifacial | 45 | 966 | 46.1 | 34.578 | 9.28 | 44.817 | 9.55 | 320.884 | 0.904 |
| 40 | 954 | 36.744 | 8.61 | 45.089 | 9.47 | 316.366 | 0.904 | ||
| 35 | 955 | 37.466 | 8.71 | 45.239 | 9.51 | 326.329 | 0.905 | ||
| 30 | 943 | 37.193 | 8.65 | 45.159 | 9.41 | 321.720 | 0.906 | ||
| 25 | 915 | 37.024 | 8.33 | 45.011 | 9.17 | 308.401 | 0.899 | ||
| 15 | 850 | 37.674 | 7.90 | 44.781 | 8.65 | 297.625 | 0.885 |
| Type | α [°] | Efront [W/m2] | T [°C] | UMPP [V] | IMPP [A] | UOC [V] | ISC [A] | PMPP [W] | FF [-] |
|---|---|---|---|---|---|---|---|---|---|
| Monofacial | 45 | 1007 | 54.9 | 35.048 | 8.05 | 44.277 | 8.56 | 282.136 | 0.760 |
| 40 | 1036 | 37.860 | 7.37 | 44.223 | 9.05 | 279.028 | 0.783 | ||
| 35 | 1015 | 37.303 | 7.55 | 44.227 | 9.09 | 281.638 | 0.743 | ||
| 30 | 1006 | 38.714 | 7.05 | 44.129 | 8.89 | 272.934 | 0.753 | ||
| 25 | 1007 | 37.623 | 7.22 | 44.368 | 8.77 | 271.638 | 0.734 | ||
| 15 | 982 | 37.428 | 7.19 | 44.227 | 8.31 | 269.107 | 0.747 | ||
| Bifacial | 45 | 1007 | 49.0 | 36.224 | 9.15 | 45.138 | 9.72 | 331.45 | 0.864 |
| 40 | 1036 | 36.779 | 9.22 | 45.128 | 10.01 | 339.102 | 0.886 | ||
| 35 | 1015 | 39.203 | 8.81 | 45.218 | 10.25 | 345.378 | 0.867 | ||
| 30 | 1006 | 37.016 | 9.25 | 44.975 | 10.09 | 342.400 | 0.864 | ||
| 25 | 1007 | 36.431 | 9.25 | 45.038 | 10.04 | 336.987 | 0.861 | ||
| 15 | 982 | 35.612 | 9.25 | 44.952 | 9.69 | 329.411 | 0.844 |
| Type | α [°] | Efront [W/m2] | T [°C] | UMPP [V] | IMPP [A] | UOC [V] | ISC [A] | PMPP [W] | FF [-] |
|---|---|---|---|---|---|---|---|---|---|
| Monofacial | 45 | 979 | 55.2 | 32.517 | 8.37 | 44.378 | 8.61 | 272.167 | 0.722 |
| 40 | 976 | 32.57 | 8.31 | 44.318 | 8.56 | 270.657 | 0.735 | ||
| 35 | 971 | 34.911 | 8.05 | 44.224 | 8.38 | 281.034 | 0.747 | ||
| 30 | 970 | 35.445 | 7.90 | 44.221 | 8.18 | 280.016 | 0.747 | ||
| 25 | 951 | 33.750 | 7.67 | 45.451 | 7.89 | 258.863 | 0.739 | ||
| 15 | 935 | 31.616 | 7.90 | 45.036 | 8.05 | 249.766 | 0.745 | ||
| Bifacial | 45 | 979 | 51.2 | 37.192 | 9.05 | 45.077 | 10.15 | 336.588 | 0.835 |
| 40 | 976 | 36.259 | 9.35 | 45.107 | 10.15 | 339.022 | 0.829 | ||
| 35 | 971 | 36.029 | 9.55 | 44.899 | 10.08 | 344.080 | 0.819 | ||
| 30 | 970 | 36.731 | 9.39 | 44.859 | 9.92 | 344.904 | 0.813 | ||
| 25 | 951 | 36.151 | 9.08 | 46.020 | 9.65 | 328.251 | 0.808 | ||
| 15 | 935 | 39.616 | 8.10 | 46.125 | 9.11 | 320.889 | 0.863 |
| Type | α [°] | Efront [W/m2] | T [°C] | UMPP [V] | IMPP [A] | UOC [V] | ISC [A] | PMPP [W] | FF [-] |
|---|---|---|---|---|---|---|---|---|---|
| Monofacial | 45 | 963 | 54.9 | 31.098 | 8.40 | 43.944 | 8.4 | 261.223 | 0.743 |
| 40 | 966 | 33.716 | 8.08 | 43.944 | 8.41 | 272.425 | 0.753 | ||
| 35 | 956 | 32.701 | 8.09 | 44.306 | 8.30 | 264.551 | 0.734 | ||
| 30 | 970 | 30.092 | 8.28 | 44.241 | 8.39 | 249.162 | 0.747 | ||
| 25 | 959 | 33.815 | 8.11 | 44.187 | 8.34 | 274.240 | 0.760 | ||
| 15 | 943 | 28.466 | 7.87 | 44.014 | 8.10 | 224.027 | 0.768 | ||
| Bifacial | 45 | 963 | 52.0 | 35.468 | 9.70 | 45.017 | 10.41 | 344.040 | 0.788 |
| 40 | 966 | 36.346 | 9.60 | 45.017 | 10.74 | 348.922 | 0.764 | ||
| 35 | 956 | 36.304 | 10.11 | 45.796 | 11.05 | 367.033 | 0.727 | ||
| 30 | 970 | 35.711 | 10.49 | 45.730 | 11.01 | 374.608 | 0.737 | ||
| 25 | 959 | 36.115 | 9.80 | 45.024 | 10.93 | 353.930 | 0.749 | ||
| 15 | 943 | 36.247 | 9.69 | 44.783 | 10.44 | 351.233 | 0.763 |
| Type | α [°] | Efront [W/m2] | T [°C] | UMPP [V] | IMPP [A] | UOC [V] | ISC [A] | PMPP [W] | FF [-] |
|---|---|---|---|---|---|---|---|---|---|
| Monofacial | 45 | 998 | 55.1 | 35.342 | 8.51 | 44.086 | 9.13 | 300.761 | 0.783 |
| 40 | 987 | 35.136 | 8.35 | 44.215 | 8.88 | 293.386 | 0.760 | ||
| 35 | 960 | 35.537 | 7.97 | 44.414 | 8.63 | 283.230 | 0.745 | ||
| 30 | 928 | 36.334 | 7.53 | 44.612 | 8.23 | 273.600 | 0.739 | ||
| 25 | 891 | 35.897 | 7.46 | 44.751 | 7.87 | 267.792 | 0.747 | ||
| 15 | 854 | 37.026 | 6.51 | 44.723 | 6.88 | 241.039 | 0.747 | ||
| Bifacial | 45 | 998 | 46.9 | 34.311 | 9.8 | 45.195 | 10.16 | 336.248 | 0.732 |
| 40 | 987 | 35.638 | 9.41 | 45.218 | 9.95 | 335.354 | 0.745 | ||
| 35 | 960 | 36.529 | 9.08 | 45.252 | 9.71 | 331.683 | 0.755 | ||
| 30 | 928 | 36.784 | 8.85 | 45.462 | 9.36 | 325.538 | 0.765 | ||
| 25 | 891 | 37.280 | 8.32 | 45.623 | 9.00 | 310.170 | 0.755 | ||
| 15 | 854 | 37.086 | 7.54 | 42.039 | 8.16 | 279.628 | 0.742 |
| Type | α [°] | Efront [W/m2] | T [°C] | UMPP [V] | IMPP [A] | UOC [V] | ISC [A] | PMPP [W] | FF [-] |
|---|---|---|---|---|---|---|---|---|---|
| Monofacial | 45 | 982 | 56.1 | 34.254 | 8.440 | 44.415 | 9.01 | 289.104 | 0.735 |
| 40 | 979 | 35.891 | 8.100 | 43.831 | 9.02 | 290.717 | 0.722 | ||
| 35 | 980 | 36.098 | 8.144 | 44.059 | 9.077 | 293.983 | 0.735 | ||
| 30 | 975 | 36.163 | 8.168 | 44.161 | 9.087 | 295.262 | 0.736 | ||
| 25 | 972 | 36.135 | 8.038 | 44.109 | 8.931 | 290.455 | 0.737 | ||
| 15 | 965 | 36.148 | 7.828 | 44.118 | 8.754 | 282.980 | 0.733 | ||
| Bifacial | 45 | 982 | 46.8 | 35.01 | 9.380 | 45.178 | 9.86 | 328.394 | 0.737 |
| 40 | 979 | 38.959 | 8.540 | 44.661 | 9.86 | 332.71 | 0.756 | ||
| 35 | 980 | 39.169 | 8.589 | 44.986 | 9.820 | 336.404 | 0.762 | ||
| 30 | 975 | 39.707 | 8.668 | 45.519 | 9.953 | 344.192 | 0.760 | ||
| 25 | 972 | 39.221 | 8.471 | 44.928 | 9.675 | 332.244 | 0.764 | ||
| 15 | 965 | 39.007 | 8.186 | 45.009 | 9.254 | 319.325 | 0.767 |
| Type | α [°] | Efront [W/m2] | T [°C] | UMPP [V] | IMPP [A] | UOC [V] | ISC [A] | PMPP [W] | FF [-] |
|---|---|---|---|---|---|---|---|---|---|
| Monofacial | 45 | 970 | 55.4 | 35.96 | 8.13 | 43.654 | 9.01 | 292.355 | 0.768 |
| 40 | 972 | 36.477 | 8.20 | 43.984 | 9.03 | 299.111 | 0.760 | ||
| 35 | 973 | 34.255 | 8.50 | 43.853 | 9.05 | 291.168 | 0.747 | ||
| 30 | 982 | 35.697 | 8.32 | 44.153 | 9.01 | 297.000 | 0.734 | ||
| 25 | 972 | 35.613 | 8.25 | 44.053 | 8.77 | 293.807 | 0.753 | ||
| 15 | 919 | 36.689 | 7.42 | 44.053 | 8.05 | 272.232 | 0.743 | ||
| Bifacial | 45 | 970 | 52.0 | 37.026 | 9.14 | 45.050 | 9.81 | 338.418 | 0.766 |
| 40 | 972 | 36.298 | 9.38 | 45.010 | 9.97 | 340.475 | 0.759 | ||
| 35 | 973 | 36.288 | 9.5 | 45.109 | 10.04 | 344.74 | 0.761 | ||
| 30 | 982 | 37.605 | 9.13 | 45.109 | 10.08 | 343.334 | 0.755 | ||
| 25 | 972 | 38.486 | 8.60 | 44.899 | 9.98 | 330.980 | 0.739 | ||
| 15 | 919 | 39.511 | 8.20 | 44.899 | 9.45 | 323.990 | 0.764 |
| H [m] | α [°] | Green Substrate | White Substrate | Gray Substrate | |||||||||||||||
|---|---|---|---|---|---|---|---|---|---|---|---|---|---|---|---|---|---|---|---|
| Efront [W/m2] | Monofacial (mPV) | Bifacial (bPV) | Efront [W/m2] | Monofacial (mPV) | Bifacial (bPV) | Efront [W/m2] | Monofacial (mPV) | Bifacial (bPV) | |||||||||||
| PMPP [W] | η [%] | PMPP [W] | η [%] | BGE [%] | PMPP [W] | η [%] | PMPP [W] | η [%] | BGE [%] | PMPP [W] | η [%] | PMPP [W] | η [%] | BGE [%] | |||||
| 0.5 | 45 | 887 | 266.71 | 13.2 | 296.02 | 15.8 | 10.99 | 1007 | 282.14 | 13.3 | 331.45 | 15.6 | 17.48 | 998 | 300.76 | 13.3 | 336.25 | 14.9 | 11.80 |
| 40 | 880 | 271.80 | 13.5 | 302.65 | 16.3 | 11.35 | 1036 | 279.03 | 12.7 | 339.10 | 15.5 | 21.53 | 987 | 293.39 | 13.1 | 335.35 | 15.0 | 14.31 | |
| 35 | 869 | 268.11 | 13.5 | 307.04 | 16.7 | 14.52 | 1015 | 281.64 | 13.1 | 345.38 | 16.1 | 22.63 | 960 | 283.23 | 13.0 | 331.68 | 15.2 | 17.11 | |
| 30 | 877 | 270.31 | 13.5 | 306.73 | 16.6 | 13.47 | 1006 | 272.93 | 12.8 | 342.40 | 16.1 | 25.45 | 928 | 273.60 | 13.0 | 325.54 | 15.4 | 18.98 | |
| 25 | 868 | 266.05 | 13.4 | 293.51 | 16.0 | 10.32 | 1007 | 271.64 | 12.8 | 336.99 | 15.8 | 24.06 | 891 | 267.79 | 13.2 | 310.17 | 15.3 | 15.83 | |
| 15 | 870 | 256.79 | 12.9 | 271.90 | 14.8 | 5.89 | 982 | 269.11 | 13.0 | 329.41 | 15.9 | 22.41 | 854 | 241.04 | 12.3 | 279.63 | 14.3 | 16.01 | |
| 0.75 | 45 | 905 | 277.07 | 13.4 | 304.26 | 15.9 | 9.81 | 979 | 272.17 | 13.2 | 336.59 | 16.3 | 23.67 | 982 | 289.10 | 13.0 | 328.39 | 14.8 | 13.59 |
| 40 | 855 | 268.99 | 13.8 | 301.19 | 16.7 | 11.97 | 976 | 270.66 | 13.1 | 339.02 | 16.4 | 25.26 | 979 | 290.72 | 13.1 | 332.71 | 15.0 | 14.45 | |
| 35 | 862 | 268.29 | 13.6 | 308.97 | 17.0 | 15.17 | 971 | 281.03 | 13.7 | 344.08 | 16.8 | 22.43 | 980 | 293.98 | 14.2 | 336.40 | 15.4 | 14.43 | |
| 30 | 894 | 274.64 | 13.5 | 310.10 | 16.4 | 12.91 | 970 | 280.02 | 13.7 | 344.90 | 16.8 | 23.17 | 975 | 295.26 | 14.2 | 344.19 | 15.6 | 16.52 | |
| 25 | 857 | 267.45 | 13.7 | 302.15 | 16.7 | 12.98 | 951 | 258.86 | 12.9 | 328.25 | 16.3 | 26.81 | 972 | 290.46 | 14.0 | 332.24 | 15.2 | 14.39 | |
| 15 | 845 | 247.75 | 12.8 | 280.28 | 15.7 | 13.13 | 935 | 249.77 | 12.6 | 320.90 | 16.2 | 28.48 | 965 | 282.98 | 13.6 | 319.33 | 14.8 | 12.84 | |
| 1 | 45 | 966 | 292.99 | 13.4 | 320.88 | 15.7 | 9.52 | 963 | 261.22 | 12.8 | 344.04 | 16.9 | 31.70 | 970 | 292.36 | 13.3 | 338.42 | 15.4 | 15.76 |
| 40 | 954 | 286.44 | 13.2 | 316.37 | 15.7 | 10.45 | 966 | 272.43 | 13.3 | 348.92 | 17.1 | 28.08 | 972 | 299.11 | 13.6 | 340.48 | 15.5 | 13.83 | |
| 35 | 955 | 290.08 | 13.4 | 326.33 | 16.2 | 12.50 | 956 | 264.55 | 13.1 | 367.03 | 18.2 | 38.74 | 973 | 291.17 | 13.2 | 344.74 | 15.6 | 18.40 | |
| 30 | 943 | 291.76 | 13.6 | 321.72 | 16.1 | 10.27 | 970 | 249.16 | 12.2 | 374.61 | 18.3 | 50.35 | 982 | 297.00 | 13.4 | 343.33 | 15.4 | 15.60 | |
| 25 | 915 | 278.21 | 13.4 | 308.40 | 16.0 | 10.85 | 959 | 274.24 | 13.5 | 353.93 | 17.5 | 29.06 | 972 | 293.81 | 13.3 | 330.98 | 15.0 | 12.65 | |
| 15 | 850 | 263.63 | 13.6 | 297.63 | 16.6 | 12.90 | 943 | 224.03 | 11.2 | 351.23 | 17.6 | 56.78 | 919 | 272.23 | 13.0 | 323.99 | 15.5 | 19.01 | |
| H [m] | α [°] | Green Substrate (Albedo 0.2) | Gray Substrate (Albedo 0.4) | White Substrate (Albedo 0.8) | |||
|---|---|---|---|---|---|---|---|
| Ep.a. [kWh p.a.] | CO2 [kg p.a.] | Ep.a. [kWh p.a.] | CO2 [kg p.a.] | Ep.a. [kWh p.a.] | CO2 [kg p.a.] | ||
| 0.5 | 45 | 1258.60 | 751.38 | 1296.07 | 773.75 | 1370.27 | 818.05 |
| 40 | 1257.29 | 750.60 | 1289.02 | 769.54 | 1352.03 | 807.16 | |
| 35 | 1250.78 | 746.72 | 1277.27 | 762.53 | 1329.98 | 794.00 | |
| 30 | 1237.83 | 738.98 | 1259.64 | 752.01 | 1303.10 | 777.95 | |
| 25 | 1217.53 | 726.87 | 1235.19 | 737.41 | 1270.38 | 758.42 | |
| 15 | 1157.32 | 690.92 | 1167.61 | 697.06 | 1188.17 | 709.34 | |
| 0.75 | 45 | 1256.04 | 749.86 | 1290.97 | 770.71 | 1360.22 | 812.05 |
| 40 | 1255.55 | 749.56 | 1284.80 | 767.03 | 1342.95 | 801.74 | |
| 35 | 1248.94 | 745.62 | 1272.95 | 759.95 | 1320.75 | 788.49 | |
| 30 | 1235.01 | 737.30 | 1254.38 | 748.86 | 1292.98 | 771.91 | |
| 25 | 1215.07 | 725.40 | 1230.26 | 734.47 | 1260.54 | 752.54 | |
| 15 | 1157.53 | 691.05 | 1165.69 | 695.92 | 1181.97 | 705.64 | |
| 1 | 45 | 1254.01 | 748.64 | 1287.39 | 768.57 | 1353.60 | 808.10 |
| 40 | 1254.35 | 748.85 | 1282.02 | 765.37 | 1337.06 | 798.22 | |
| 35 | 1245.71 | 743.69 | 1268.07 | 757.04 | 1312.62 | 783.63 | |
| 30 | 1231.85 | 735.41 | 1249.56 | 745.99 | 1284.87 | 767.07 | |
| 25 | 1213.90 | 724.70 | 1227.44 | 732.78 | 1254.45 | 748.91 | |
| 15 | 1155.37 | 689.76 | 1162.12 | 693.79 | 1175.61 | 701.84 | |
| α [°] | Monofacial | |
|---|---|---|
| Ep.a. [kWh p.a.] | CO2 [kg p.a.] | |
| 45 | 1194.02 | 712.83 |
| 40 | 1200.46 | 716.67 |
| 35 | 1200.20 | 716.52 |
| 30 | 1193.47 | 712.50 |
| 25 | 1180.17 | 704.56 |
| 15 | 1136.71 | 678.62 |
Disclaimer/Publisher’s Note: The statements, opinions and data contained in all publications are solely those of the individual author(s) and contributor(s) and not of MDPI and/or the editor(s). MDPI and/or the editor(s) disclaim responsibility for any injury to people or property resulting from any ideas, methods, instructions or products referred to in the content. |
© 2025 by the authors. Licensee MDPI, Basel, Switzerland. This article is an open access article distributed under the terms and conditions of the Creative Commons Attribution (CC BY) license (https://creativecommons.org/licenses/by/4.0/).
Share and Cite
Kurz, D.; Dobrzycki, A.; Krawczak, E.; Jajczyk, J.; Mielczarek, J.; Woźniak, W.; Sąsiadek, M.; Orynycz, O.; Tucki, K.; Badzińska, E. An Analysis of the Increase in Energy Efficiency of Photovoltaic Installations by Using Bifacial Modules. Energies 2025, 18, 1296. https://doi.org/10.3390/en18051296
Kurz D, Dobrzycki A, Krawczak E, Jajczyk J, Mielczarek J, Woźniak W, Sąsiadek M, Orynycz O, Tucki K, Badzińska E. An Analysis of the Increase in Energy Efficiency of Photovoltaic Installations by Using Bifacial Modules. Energies. 2025; 18(5):1296. https://doi.org/10.3390/en18051296
Chicago/Turabian StyleKurz, Dariusz, Arkadiusz Dobrzycki, Ewelina Krawczak, Jarosław Jajczyk, Jakub Mielczarek, Waldemar Woźniak, Michał Sąsiadek, Olga Orynycz, Karol Tucki, and Ewa Badzińska. 2025. "An Analysis of the Increase in Energy Efficiency of Photovoltaic Installations by Using Bifacial Modules" Energies 18, no. 5: 1296. https://doi.org/10.3390/en18051296
APA StyleKurz, D., Dobrzycki, A., Krawczak, E., Jajczyk, J., Mielczarek, J., Woźniak, W., Sąsiadek, M., Orynycz, O., Tucki, K., & Badzińska, E. (2025). An Analysis of the Increase in Energy Efficiency of Photovoltaic Installations by Using Bifacial Modules. Energies, 18(5), 1296. https://doi.org/10.3390/en18051296

