Research on Simulation Analysis and Joint Diagnosis Algorithm of Transformer Core-Loosening Faults Based on Vibration Characteristics
Abstract
1. Introduction
2. Coupling Mechanism of Elastic Dynamics and Thermodynamics of Transformer Core
3. Fault Diagnosis of Transformer Core Loosening Based on Empirical Mode Decomposition and Pearson’s Coefficient
3.1. The Empirical Mode Decomposition (EMD) Method
3.2. The Theoretical Model of Pearson’s Correlation Coefficient
4. Multi-Physics Simulation of a Transformer Core Based on Electromagnetic Field and Solid Mechanics
4.1. Establishment of a Three-Dimensional Physical Model of a Transformer
4.2. Multi-Physics Simulation Calculation Based on the Electric Field, Magnetic Field, and Solid Mechanics
5. Vibration Test Analysis of Transformer Core Under No-Load Conditions
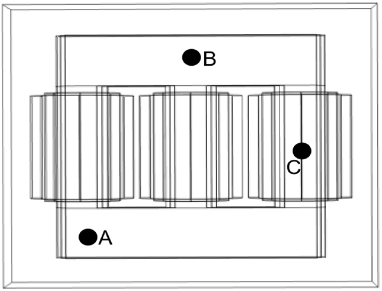
5.1. Preparation and Platform Construction of Transformer No-Load Test
5.2. Analysis of Magnetostrictive Vibration of Transformer Core
6. Core-Loosening Simulation and Fault Diagnosis Based on EMD and Pearson’s Correlation Coefficient
6.1. Simulation and Analysis of Different Looseness Faults in Iron Cores
6.2. Fault Diagnosis Based on EMD and Pearson’s Correlation Coefficient Combination Method
7. Conclusions
- Using strain-coupled elastic stress and thermodynamic elastic free energy, a multi-band magnetostrictive vibration model covering both low and high frequencies was established. By changing Young’s modulus in the simulation and combining it with the mathematical model, the multi-band vibration signal was obtained, and the reliability of the mathematical model was verified.
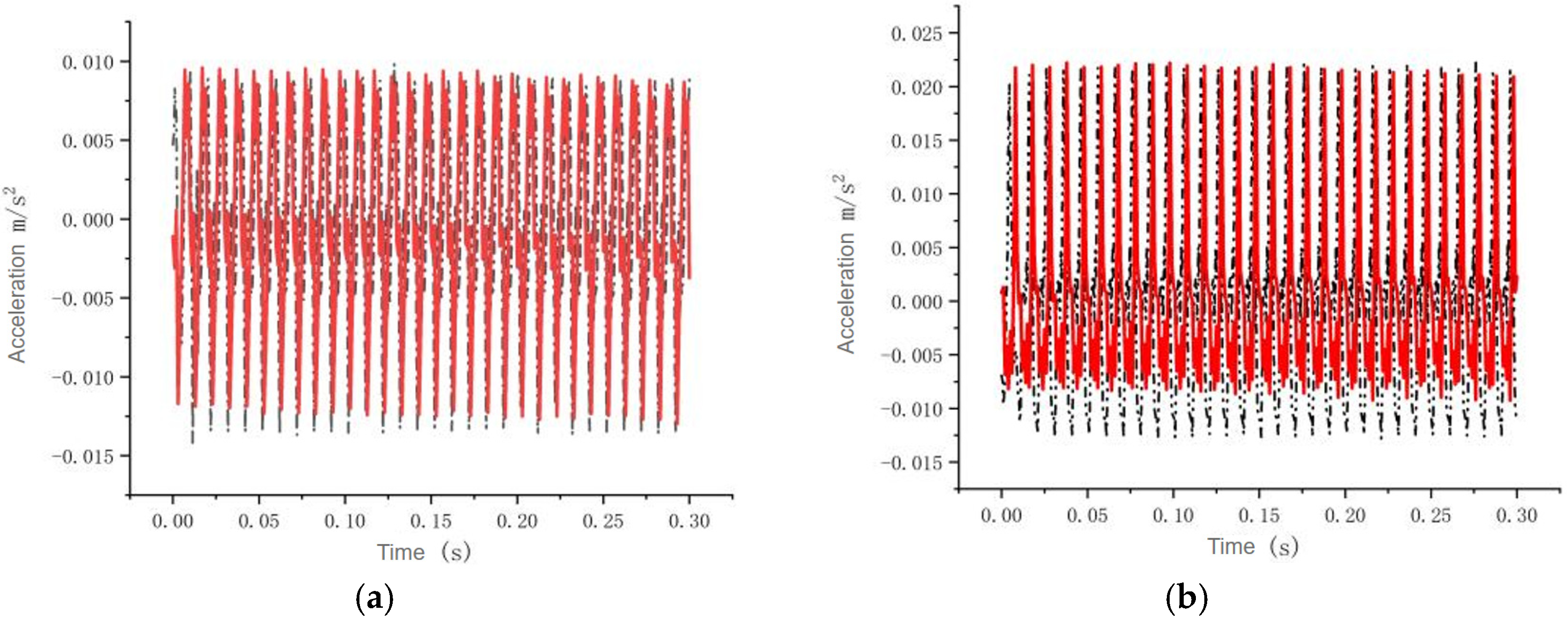
- A complete magnetostrictive vibration signal acquisition platform was built, a practical prototype was developed, and a no-load vibration monitoring test of the transformer was carried out. The time-domain test results were 0.01 m/s2 and 0.023 m/s2, respectively. The simulation results were 0.01 m/s2 and 0.023 m/s2. The A and B two-phase simulations were consistent with the test, which verifies the reliability of the simulation.
- Based on the correct simulation model, the influence of Young’s modulus on vibration was used to establish the fault vibration of the core under normal, partially loosened, and completely loosened states by changing the size. The following fault vibration results were obtained: the highest frequencies of normalcy, partial loosening, and complete loosening were 600 Hz, 800 Hz, and 1000 Hz, and the vibration amplitudes were 0.00349 m/s2, 0.02755 m/s2, 0.2757 m/s2, indicating that with the deepening of the loosening degree, the high-frequency component gradually increased and the vibration amplitude also gradually increased.
- A joint algorithm based on EMD and the Pearson correlation coefficient was established. The calculations yielded the sum of the absolute values of the Pearson correlation coefficients for the normal core, partially loose core, and completely loose core as 0.0007, 0.0044, and 0.0116, respectively. This demonstrates that the method is effective in diagnosing core-loosening faults.
Author Contributions
Funding
Data Availability Statement
Acknowledgments
Conflicts of Interest
References
- Bhattacharya, B.; Sinha, A. Intelligent fault analysis in electrical power grids. In Proceedings of the IEEE International Conference on Tools with Artificial Intelligence (ICTAI), Boston, MA, USA, 6–8 November 2017; pp. 1–6. [Google Scholar]
- Sahrani, S.; Ahmad, N.D.; Mohamed, R.; Talib, M.A.; Kit, C.J. Real-Time Monitoring of Oil Temperature in Distribution Power Transformer by Using Internet of Things. Pertanika J. Sci. Technol. 2023, 31, 1–16. [Google Scholar] [CrossRef]
- Lala, H.; Karmakar, S.; Ganguly, S. Fault Diagnosis in Distribution Power Systems Using Stationary Wavelet Transform and Artificial Neural Network. In Proceedings of the 2017 7th International Conference on Power Systems (ICPS), Pune, India, 21 December 2017. [Google Scholar]
- Liu, W.J.; Wang, X.; Zheng, Y.H.; Li, L.X.; Xu, Q.S. The assessment of the overload capacity of transformer based on the temperature reverse extrapolation method. Adv. Mater. Res. 2014, 860–863, 2153–2156. [Google Scholar] [CrossRef]
- Liu, X.; Wu, J.; Jiang, F.; Wang, Y.; Zhang, C.; Hui, Y. Electromagneto-mechanical numerical analysis and experiment of transformer influenced by DC bias considering core magnetostriction. J. Mater. Sci. Mater. Electron. 2020, 31, 16420–16428. [Google Scholar] [CrossRef]
- Shen, Z.; Wang, F.; Wang, Z.; Li, J. A critical review of plant-based insulating fluids for transformer: 30-year development. Renew. Sust. Energ. Rev. 2021, 141, 110783. [Google Scholar] [CrossRef]
- Zhan, C.; Ji, S.; Liu, Y.; Zhu, L.; Shi, Y.; Ren, F. Winding Mechanical Fault Diagnosis Technique of Power Transformer Based on Time-Frequency Vibration Analysis. In Proceedings of the 2018 Condition Monitoring and Diagnosis (CMD), Perth, Australia, 23 September 2018. [Google Scholar]
- Wu, S.; Ji, S.; Zhang, Y.; Wang, S.; Liu, H. A Novel Vibration Frequency Response Analysis Method for Mechanical Condition Detection of Converter Transformer Windings. IEEE Trans. Ind. Electron. 2024, 71, 8176–8180. [Google Scholar] [CrossRef]
- Paul, D.; Goswami, A.K.; Chetri, R.L.; Roy, R.; Sen, P. Bayesian optimization-based gradient boosting method of fault detection in oil-immersed transformer and reactors. IEEE T. Ind. Appl. 2021, 58, 1910–1919. [Google Scholar] [CrossRef]
- Yan, X.; Dong, X.; Han, G.; Yu, X.; Ma, F. Research on the Magnetostrictive Characteristics of Transformers under DC Bias. Energies 2023, 16, 4457. [Google Scholar] [CrossRef]
- Wu, X.; Li, L.; Zhou, N.; Lu, L.; Hu, S.; Cao, H.; He, Z. Diagnosis of DC bias in power transformers using vibration feature extraction and a pattern recognition method. Energies 2018, 11, 1775. [Google Scholar] [CrossRef]
- Jiang, P.; Zhang, Z.; Dong, Z.; Yang, Y. Vibration measurement and numerical modeling analysis of transformer windings and iron cores based on voltage and current harmonics. Machines 2022, 10, 786. [Google Scholar] [CrossRef]
- Zhang, S.; Zhou, H. Transformer Fault Diagnosis Based on Multi-Strategy Enhanced Dung Beetle Algorithm and Optimized SVM. Energies 2024, 17, 6296. [Google Scholar] [CrossRef]
- Wu, S.; Zhang, F.; Dang, Y.; Zhan, C.; Wang, S.; Ji, S. A Mechanical-Electromagnetic Coupling Model of Transformer Windings and Its application in the Vibration-based Condition Monitoring. IEEE Trans. Power. Deliver. 2023, 38, 2387–2397. [Google Scholar] [CrossRef]
- Lian, Y.; Wang, J.; Li, Z.; Huang, L.; Jiang, X. Residual attention guided vision transformer with acoustic-vibration signal feature fusion for cross-domain fault diagnosis. Adv. Eng. Inform. 2025, 64, 103003. [Google Scholar] [CrossRef]
- Domingo, D.; Kareem, A.B.; Okwuosa, C.N.; Custodio, P.M.; Hur, J.-W. Transformer Core Fault Diagnosis via Current Signal Analysis with Pearson Correlation Feature Selection. Electronics 2024, 13, 926. [Google Scholar] [CrossRef]
- Du, B.X.; Liu, D.S. Dynamic behavior of magnetostriction-induced vibration and noise of amorphous alloy cores. IEEE Trans. Magn. 2015, 51, 1–8. [Google Scholar] [CrossRef]
- Xu, Y.; Wang, J.; Hou, H.; Shao, J. Simulation analysis of coupled magnetic-temperature fields in magnetic fluid hyperthermia. AIP Adv. 2019, 9, 105317. [Google Scholar] [CrossRef]
- Jing, Z.; Chai, L.; Hu, S.; Wu, Y.; Pan, S.; Wang, X. Transformer state prediction based on CSSA-BP neural network algorithm. In Proceedings of the 2022 2nd International Conference on Smart Grid and EnergyInternet (SGEl 2022), Sanya, China, 21 October 2022. [Google Scholar]
- Gao, C.; Huang, L.; Feng, Y.; Gao, E.; Yang, Z.; Wang, K. Thermal field modeling and characteristic analysis based on oil immersed transformer. Front. Energy Res. 2023, 11, 1147113. [Google Scholar] [CrossRef]
- Yue, X. Application Research of Empirical Mode Decomposition Algorithm. Master’s Thesis, Xidian University, Xi’an, China, 2013. [Google Scholar]
- Baak, M.; Koopman, R.; Snoek, H.; Klous, S. A new correlation coefficient between categorical, ordinal and interval variables with Pearson characteristics. Comput. Stat. Data Anal. 2020, 152, 107043. [Google Scholar] [CrossRef]



















| Material Name | Electrical Conductivity (s/m) | Relative Dielectric Constant | Density (kg/m3) | Poisson’s Ratio |
|---|---|---|---|---|
| Transformer core | 0.1 | 1 | 7870 | 0.25 |
| Winding | 5.998 × 107 | 1 | 3100 | 0.34 |
| Parameter | Numerical Value |
|---|---|
| Rated capacity/kVA | 200 |
| Rated voltage/kV | 10/0.4 |
| Rated current/A | 11.55/288.7 |
| Connecting group label | Dyn11 |
| Short-circuit impedance/% | 3.97 |
| Frequency | Normal (m/s2) | Partially Loosened (m/s2) | Completely Loosened (m/s2) |
|---|---|---|---|
| 100 Hz | 0.00349 | 0.02755 | 0.2757 |
| 200 Hz | 0.003581 | 0.03028 | 0.2608 |
| 300 Hz | 0.00101 | 0.006689 | 0.07799 |
| 400 Hz | 0.0009287 | 0.010233 | 0.0805 |
| 500 Hz | 0.001109 | 0.011602 | 0.1024 |
| 600 Hz | 0.0007173 | 0.008185 | 0.07027 |
| 700 Hz | - | 0.01132 | 0.0844 |
| 800 Hz | - | 0.00873 | 0.05483 |
| 900 Hz | - | - | 0.0406 |
| 1000 Hz | - | - | 0.0264 |
| Core-Loosening Degrees | IMF8 | IMF9 | IMF10 |
|---|---|---|---|
| Normal | 0.0003 | −0.0002 | 0.0002 |
| Partially loosened | 0.0021 | 0.0015 | 0.0008 |
| Completely loosened | 0.0051 | 0.0041 | 0.0024 |
| Feature | Existing Methods | Proposed Method | Advantages |
|---|---|---|---|
| Frequency Analysis Range | Focuses on fundamental frequency, neglecting high-frequency components. | Full-band analysis, including high-order harmonics, covering both low and high frequencies. | Captures more comprehensive vibration characteristics, especially for early fault detection. |
| Fault Diagnosis Method | Relies on fundamental frequency analysis and lacks in-depth study of high-frequency vibrations. | Based on EMD and Pearson’s correlation coefficient, combining high-frequency vibration signals. | More accurate in identifying core-loosening faults, especially with high-frequency signals. |
| Modeling Approach | Typically considers only electromagnetic or mechanical vibrations and lacks multi-physics coupling. | Establishes a multi-physics coupling model based on magnetostriction and thermodynamics. | More accurately simulates the actual vibration behavior of the transformer core. |
| Experimental Validation | Limited experimental validation, often relying solely on simulations. | Constructs a complete vibration signal acquisition platform and validates through no-load experiments. | Simulation and experimental results are consistent, proving the model’s reliability. |
| Fault Simulation | Usually simulates only a single fault state and lacks detailed simulation of different loosening degrees. | Simulates three states—normal, partially loose, and completely loose—by changing Young’s modulus. | Provides a more comprehensive analysis of vibration characteristics under different loosening conditions. |
Disclaimer/Publisher’s Note: The statements, opinions and data contained in all publications are solely those of the individual author(s) and contributor(s) and not of MDPI and/or the editor(s). MDPI and/or the editor(s) disclaim responsibility for any injury to people or property resulting from any ideas, methods, instructions or products referred to in the content. |
© 2025 by the authors. Licensee MDPI, Basel, Switzerland. This article is an open access article distributed under the terms and conditions of the Creative Commons Attribution (CC BY) license (https://creativecommons.org/licenses/by/4.0/).
Share and Cite
Cao, C.; Li, Z.; Wang, J.; Zhang, J.; Li, Y.; Wang, Q. Research on Simulation Analysis and Joint Diagnosis Algorithm of Transformer Core-Loosening Faults Based on Vibration Characteristics. Energies 2025, 18, 914. https://doi.org/10.3390/en18040914
Cao C, Li Z, Wang J, Zhang J, Li Y, Wang Q. Research on Simulation Analysis and Joint Diagnosis Algorithm of Transformer Core-Loosening Faults Based on Vibration Characteristics. Energies. 2025; 18(4):914. https://doi.org/10.3390/en18040914
Chicago/Turabian StyleCao, Chen, Zheng Li, Jialin Wang, Jiayu Zhang, Ying Li, and Qingli Wang. 2025. "Research on Simulation Analysis and Joint Diagnosis Algorithm of Transformer Core-Loosening Faults Based on Vibration Characteristics" Energies 18, no. 4: 914. https://doi.org/10.3390/en18040914
APA StyleCao, C., Li, Z., Wang, J., Zhang, J., Li, Y., & Wang, Q. (2025). Research on Simulation Analysis and Joint Diagnosis Algorithm of Transformer Core-Loosening Faults Based on Vibration Characteristics. Energies, 18(4), 914. https://doi.org/10.3390/en18040914
