Experimental Study on R290 Performance of an Integrated Thermal Management System for Electric Vehicle
Abstract
1. Introduction
- (1)
- To conduct an experimental investigation of R290’s performance using the heat transfer rate and coefficient of performance (COP). Additionally, we compared the performance of R290 and R134a under identical operating conditions.
- (2)
- Establish a test bench and clarify the optimal refrigerant charges of R290 and R134a.
- (3)
- Model the performance analysis method of the ITMS.
2. Experimental Design of the ITMS
2.1. ITMS Bench Working Principles
2.2. Experimental Setup and Test Conditions
2.3. Performance Analysis Model
- (1)
- All the processes are operated in a steady state with uniform flow in the pipeline.
- (2)
- The refrigerant and coolant water’s kinetic and gravitational potential energies are neglected.
- (3)
- The pressure drops in the three-way valve, four-way valve, and heat exchanger are neglected.
- (4)
- The reference state for specific enthalpy is set at T0 = 273.15 K and p0 = 101.325 kPa.
- (5)
- The coolant pipelines, refrigerant pipelines, plate exchanger, and compressors are adiabatic from environment.
- (6)
- Dry air and water vapor in moist air are ideal gases, and their specific heat capacities are treated as constant over the experimental temperature range. It is assumed that condensation does not occur at all times.
- (7)
- The coolant is assumed to be pressure independent in terms of density and specific heat capacity, which are only single-valued functions of the water temperature.
- (8)
- For parallel flow heat exchangers, we use the average heat transfer rate of the coolant water and moist air to indicate the actual heat transfer rate because of the complete heat transfer.
2.4. Performance Criteria and Uncertainty Estimation
3. Results and Discussion
3.1. Charge Test of R290 and R134a
3.2. R290 Performance Analysis with EXV Opening and Compressor Speed
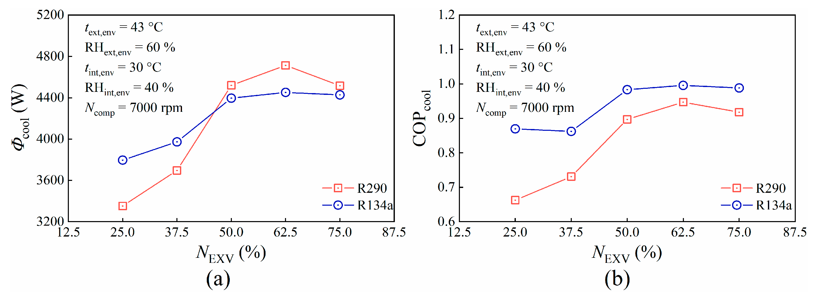
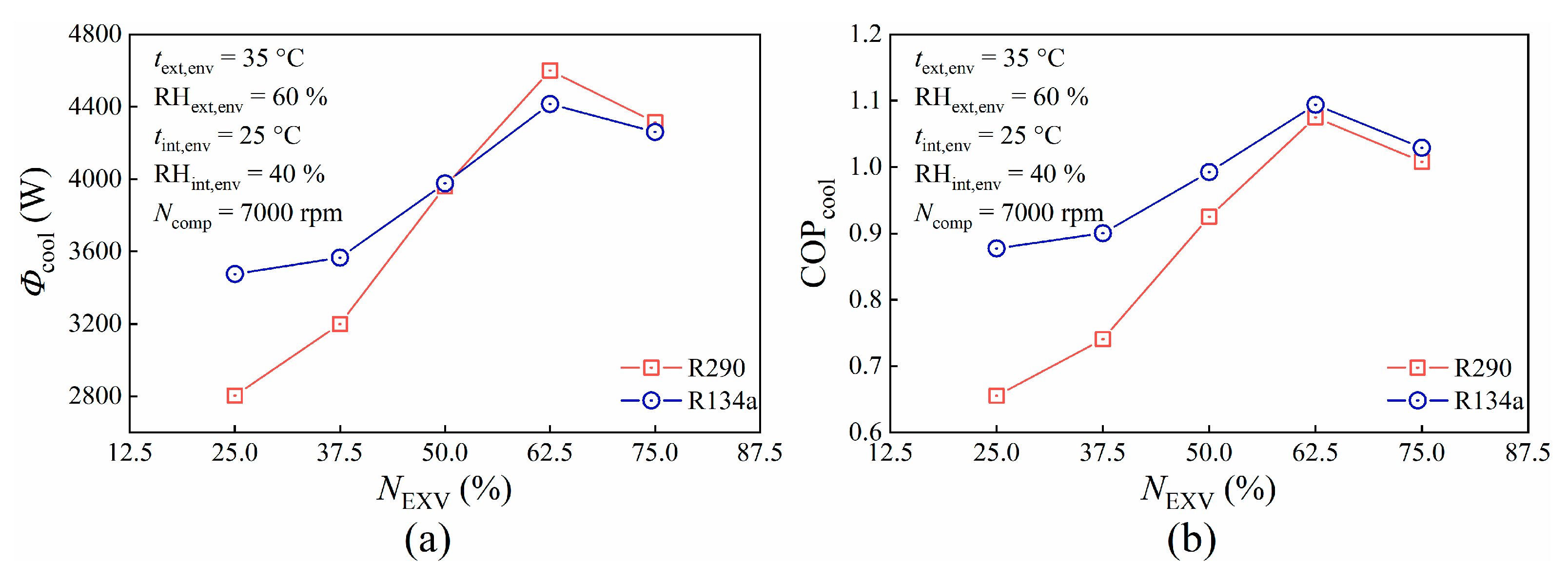
3.2.1. The Effect of EXV Opening
3.2.2. The Effect of Compressor Speed
3.3. Performance Comparison Between R290 and R134a
4. Conclusions
- (1)
- The optimal charge of R290 and R134a are 450 g and 900 g at HP mode under an external temperature of 0 °C, respectively. The results showed that R290 has a lower refrigerant charge than R134a. And the heat transfer rate keeps increasing as the refrigerant charge increases, but the growth decreases. And the compressor electric power keeps increasing with increases in refrigerant. With the increase in the charge, the COP first increased and then decreased.
- (2)
- EXV opening and compressor speed have significant influence on performance. The compressor electrical power slightly changes with variations in EXV opening, while it strongly increases when the compressor speed increases. And as the EXV opening increases, both the heat transfer rate and COP initially increase and then decrease. And as the compressor speed increases, the heat transfer rate would increase and COP would decrease. Under the external environment temperature of 35 °C, the optimum opening for the ITMS is 62.5%, and when the external environment temperature is −7 °C, the optimum value for the ITMS is 50%. Furthermore, the closer the EXV opening is to its optimal value, the more pronounced the decrease in COP will be due to the increase in compressor speed.
- (3)
- Whether in heating or cooling mode, R290 performs better than R134a. This is reflected in the higher COP and heat transfer rate in heating mode and a slightly lower COP but slightly higher heat transfer rate in cooling mode. Meanwhile, in our ITMS, under HP mode, the system equipped with R134a can no longer absorb heat from the environment under temperatures of −20 °C and −30 °C. However, the system equipped with R290 can reach a COP of 1.22 under an environment temperature of −20 °C and can absorb heat from the air at −30 °C, but the COP will be as low as 0.74.
Author Contributions
Funding
Data Availability Statement
Conflicts of Interest
Abbreviations
- Nomenclature
| A | area (m2) |
| cp | specific heat capacity (kJ·kg−1·K−1) |
| f | function of input parameter |
| h | specific enthalpy (kJ·kg−1) |
| kP | inclusion factor under confidence |
| mass flow rate (kg·s−1) | |
| M | molar mass (g·mol−1) |
| Ncomp | compressor rotation speed (r·min−1) |
| NEXV | EXV opening (%) |
| p | pressure (kPa) |
| P | electric power (W) |
| Q | volumetric flow rate (m3·s−1) |
| R | gas constant (J·kg−1·K−1) |
| Rc | refrigerant charge (g) |
| t (T) | temperature (°C or K) |
| U | voltage (V) |
| u | standard uncertainty |
| v | velocity (m·s−1) |
| W | work transfer rate (W) |
| x | input parameter |
| y | derived parameter |
- Greek letters
| γ | latent heat of vaporization of water (kJ·kg−1) |
| δ | transducer accuracy (%) |
| ρ | density (kg·m−3) |
| Φ | heat transfer rate (W) |
- Subscripts
| c | compound |
| chill | chiller |
| comp | compressor |
| cond | condenser |
| cool | cooling mode |
| da | dry air |
| env | environment |
| ext | external |
| heat | heating mode |
| in | inside |
| ma | moist air |
| mcHEx | micro-channel parallel flow heat exchanger |
| out | outside |
| pHEx | plate heat exchanger |
| pfHEx | parallel flow heat exchanger |
| int | internal |
| rad | radiator |
| rel | relative |
| sat | saturation |
| w | coolant water |
| wv | water vapor |
| 0 | reference state |
- Acronyms
| AC | air conditioning |
| AH | absolute humidity |
| BC | battery cooling |
| BTMS | battery thermal management system |
| COP | coefficient of performance |
| DAQ | data acquisition |
| EV | electric vehicle |
| EMCTMS | electrical motor thermal management system |
| EVTMS | electric vehicle thermal management system |
| ITMS | integrated thermal management system |
| EXV | electronic expansion valve |
| FSR | full-scale range |
| GWP | global warmup potentiality |
| HP | heat pump |
| HEx | heat exchanger |
| HVAC | heating, ventilation, and air conditioning |
| MC | motor cooling |
| ODP | ozone depletion potential |
| RH | relative humidity |
| W-PTC | water-positive temperature coefficient |
References
- Baskovic, U.; Lorenz, M.; Butala, V. Adiabatic flow simulation in an air-conditioned vehicle passenger compartment. Int. J. Simul. Model 2014, 13, 42–53. [Google Scholar] [CrossRef]
- Lajunen, A.; Yang, Y.; Emadi, A. Review of Cabin Thermal Management for Electrified Passenger Vehicles. IEEE Trans. Veh. Technol. 2020, 69, 6025–6040. [Google Scholar] [CrossRef]
- Ahmadi, P. Environmental impacts and behavioral drivers of deep decarbonization for transportation through electric vehicles. J. Clean Prod. 2019, 225, 1209–1219. [Google Scholar] [CrossRef]
- Ji, H.; Pei, J.; Cai, J.; Ding, C.; Guo, F.; Wang, Y. Review of Recent Advances in Transcritical CO2 Heat Pump and Refrigeration Cycles and Their Development in the Vehicle Field. Energies 2023, 16, 4011. [Google Scholar] [CrossRef]
- Lv, R.; Li, Z.; Wang, Y.; Li, M. Heating performance of heat pump air conditioning system for battery electric vehicle with different refrigerants. Proc. Inst. Mech. Eng. Part D-J. Automob. Eng. 2024, 238, 702–718. [Google Scholar] [CrossRef]
- Qi, Z. Advances on air conditioning and heat pump system in electric vehicles—A review. Renew. Sustain. Energy Rev. 2014, 38, 754–764. [Google Scholar] [CrossRef]
- Xue, Y.; Diao, X.; Li, X. Heat management system of electric vehicle based on heat pump and energy recovery of removable battery. Therm. Sci. 2023, 27, 1215–1221. [Google Scholar] [CrossRef]
- Qin, F.; Xue, Q.; Albarracin Velez, G.M.; Zhang, G.; Zou, H.; Tian, C. Experimental investigation on heating performance of heat pump for electric vehicles at −20 °C ambient temperature. Energy Convers. Manag. 2015, 102, 39–49. [Google Scholar] [CrossRef]
- Park, M.; Kim, S. Heating Performance Enhancement of High Capacity PTC Heater with Modified Louver Fin for Electric Vehicles. Energies 2019, 12, 2900. [Google Scholar] [CrossRef]
- Min, H.; Zhang, Z.; Sun, W.; Min, Z.; Yu, Y.; Wang, B. A thermal management system control strategy for electric vehicles under low-temperature driving conditions considering battery lifetime. Appl. Therm. Eng. 2020, 181, 13. [Google Scholar] [CrossRef]
- Zou, H.; Wang, W.; Zhang, G.; Qin, F.; Tian, C.; Yan, Y. Experimental investigation on an integrated thermal management system with heat pipe heat exchanger for electric vehicle. Energy Conv. Manag. 2016, 118, 88–95. [Google Scholar] [CrossRef]
- Tian, Z.; Gu, B. Analyses of an integrated thermal management system for electric vehicles. Int. J. Energy Res. 2019, 43, 5788–5802. [Google Scholar] [CrossRef]
- Zhang, Z.; Wang, J.; Feng, X.; Chang, L.; Chen, Y.; Wang, X. The solutions to electric vehicle air conditioning systems: A review. Renew. Sustain. Energy Rev. 2018, 91, 443–463. [Google Scholar] [CrossRef]
- Zhang, N.; Lu, Y.; Ouderji, Z.H.; Yu, Z. Review of heat pump integrated energy systems for future zero-emission vehicles. Energy 2023, 273, 127101. [Google Scholar] [CrossRef]
- Ahn, J.; Lee, J.; Baek, C.; Kim, Y. Performance improvement of a dehumidifying heat pump using an additional waste heat source in electric vehicles with low occupancy. Energy 2016, 115, 67–75. [Google Scholar] [CrossRef]
- Li, K.; Shi, L.; Zhang, Y.; Yao, Y.; Zhang, C.; Tian, H.; Shu, G. Study on electric vehicle thermal management system using phase change materials and CO2 heat pump waste heat recovery under cold conditions. Appl. Therm. Eng. 2024, 252, 16. [Google Scholar] [CrossRef]
- Tian, Z.; Gu, B.; Gao, W.; Zhang, Y. Performance evaluation of an electric vehicle thermal management system with waste heat recovery. Appl. Therm. Eng. 2020, 169, 11. [Google Scholar] [CrossRef]
- Zhu, Z.; Zhang, Y.; Chen, A.; Chen, J.; Wu, Y.; Wang, X.; Fei, T. Review of integrated thermal management system research for battery electrical vehicles. J. Energy Storage 2025, 106, 114662. [Google Scholar] [CrossRef]
- Yadav, S.; Liu, J.; Kim, S. A comprehensive study on 21st-century refrigerants-R290 and R1234yf: A review. Int. J. Heat Mass Transf. 2022, 182, 18. [Google Scholar] [CrossRef]
- Lawrence, P. Technology-transfer funds and the law-recent amendments to the montreal protocol on substances that deplete the ozone-layer. J. Environ. Law 1992, 4, 15–27. [Google Scholar] [CrossRef]
- Birmpili, T. Montreal Protocol at 30: The governance structure, the evolution, and the Kigali Amendment. C. R. Geosci. 2018, 350, 425–431. [Google Scholar] [CrossRef]
- Zhang, L.; Yang, C.; Liu, H.; Du, P.; Gao, H. Theoretical Investigation on the Properties of R744/R290 Mixtures. Procedia Eng. 2017, 205, 1620–1626. [Google Scholar] [CrossRef]
- Huang, Y.; Wu, X.; Jing, J. Research on the electric vehicle heat pump air conditioning system based on R290 refrigerant. Energy Rep. 2022, 8, 447–455. [Google Scholar] [CrossRef]
- Dhamodharan, P.; Salman, M.; Prabakaran, R.; Kim, S. Comparative analysis of R290 and R1234yf cooling performance in offset strip-fin plate heat exchanger for electric-vehicle battery thermal management. Int. Commun. Heat Mass Transf. 2024, 157, 107708. [Google Scholar] [CrossRef]
- Song, P.; An, Z.; Wei, M.; Sun, X.; Zhao, Y.; Dan, D.; Zhang, Y. Cooling performance and optimization of a thermal management system based on CO2 heat pump for electric vehicles. Energy Conv. Manag. 2024, 306, 118299. [Google Scholar] [CrossRef]
- Wu, J.; Lin, J.; Zhang, Z.; Chen, Z.; Xie, J.; Lu, J. Experimental investigation of dynamic characteristics of a rotary compressor and its air conditioner using R290 during warm startup. Appl. Therm. Eng. 2017, 125, 1469–1477. [Google Scholar] [CrossRef]
- Kim, S.W.; Park, M.; Trisna, B.A.; Lee, J. Comprehensive analysis of refrigerant R134a: Implications for estimating and managing greenhouse gas emissions. Int. J. Refrig. 2024, 158, 135–143. [Google Scholar] [CrossRef]
- Hua, T.; Yitai, M.; Minxia, L.; Wei, W. Study on expansion power recovery in CO2 trans-critical cycle. Energy Conv. Manag. 2010, 51, 2516–2522. [Google Scholar] [CrossRef]
- Li, K.; Wang, J.; Luo, S.; Wang, Z.; Zhou, X.; Fang, J.; Su, L.; Tu, R. Experimental investigation on combustion characteristics of flammable refrigerant R290/R1234yf leakage from heat pump system for electric vehicles. R. Soc. Open Sci. 2020, 7, 15. [Google Scholar] [CrossRef]
- American Society of Heating, Refrigerating, and Air-Conditioning Engineers, Inc. ASHRAE® Handbook—Fundamentals, I-P ed.; American Society of Heating, Refrigeranting and Air-Conditioning Engineers, Inc.: Atlanta, GA, USA, 2021. [Google Scholar]
















| Condition | Four-Way Valves 1 and 2 | Working Mode | Three-Way Valve 1 | Motor W-PTC | Battery W-PTC |
|---|---|---|---|---|---|
| Summer | 3-4, 1-2 | AC | 1-2 | off | off |
| BC | 1-3 | off | on | ||
| AC + BC | 1-2 + 1-3 | off | on | ||
| AC + MC | 1-2 | on | off | ||
| BC + MC | 1-3 | on | on | ||
| AC + BC + MC | 1-2 + 1-3 | on | on | ||
| Winter | 1-4, 2-3 | HP | 1-2 | off | off |
| 1-3 | off | on | |||
| 1-2 + 1-3 | off | on | |||
| HP + MC | 1-2 | on | off | ||
| 1-3 | on | on | |||
| 1-2 + 1-3 | on | on |
| Category | Component | Specification |
|---|---|---|
| Refrigerant Circuit | Scroll Compressor | Discharge: 34 cc |
| Speed: 800–8500 rpm | ||
| Volumetric efficiency: 92% | ||
| Rated voltage: high 350–800 V | ||
| Plate Hex Condenser | Plate area: 0.04 m2 | |
| Plate number: 76 | ||
| Plate Hex Chiller | Plate area: 0.04 m2 | |
| Plate number: 50 | ||
| EXV | Diameter: 1.65 mm | |
| Gas–liquid Separator | Volume: 1.3 L | |
| MC Branch | Radiator | Type: parallel flow |
| Pass number: 1 | ||
| Air area: 0.1634 m2 | ||
| HVAC/BC Branch | HVAC | Type: micro-channel parallel flow |
| Pass number: 2, 2 | ||
| Tube number: 45, 52 | ||
| Microchannel number: 14, 2 | ||
| Air area: 0.016 m2 | ||
| Another | Pumps 1 and 2 | Lift head: 140 kPa |
| Rated flow rate: 21 L·min−1 | ||
| W-PTC heaters 1 and 2 | Rated voltage: high 250–460 V | |
| Adjustable power: 0–7 kW | ||
| Test chambers 1 and 2 | Chamber | Space volume: 12.6 m3 |
| Compressor | Heat capacity: 0–30 kW | |
| Blower | Temperature range: −65 to 125°C | |
| Humidity range: 20–98% |
| Parameter | AC Condition | HP Condition | |||||
|---|---|---|---|---|---|---|---|
| 1 | 2 | 1 | 2 | 3 | 4 | ||
| text,env (°C) | 43 | 35 | 0 | −7 | −20 | −30 | |
| RHext,env (%) | 60 | 60 | 40 | 40 | 15 | 10 | |
| tint,env (°C) | 30 | 25 | 10 | 5 | 0 | 0 | |
| RHint,env (%) | 40 | 40 | 60 | 60 | 60 | 60 | |
| Refrigerant | R290, R134a | ||||||
| Ncomp (rpm) | 5000, 7000, 7500 | ||||||
| NEXV (%) | 25%, 37.5%, 50%, 62.5%, 75%, 87.5% | ||||||
| vma,HVAC (m·s−1) | 6.4 | ||||||
| vma,rad (m·s−1) | 7 | ||||||
| Category | Component | Model for Analyzing Heat Transfer Rates |
|---|---|---|
| Refrigerant Circuit | Plate Hex Condenser | AC mode: |
| HP mode: | ||
| Plate Hex Chiller | AC mode: HP mode: | |
| MC Branch | Radiator | AC mode: |
| HP mode: | ||
| HVAC/BC Branch | HVAC | AC mode: |
| HP mode: |
| Category | Parameter | Equation and Constant Value |
|---|---|---|
| Moist air | (kg·m−3) | |
| Mda = 28.965 (g·mol−1) | ||
| Mwv = 18.015 (g·mol−1) | ||
| Rda = 287.05 (J·kg−1·K−1) | ||
| Rwv = 416.5 (J·kg−1·K−1) | ||
| (kg·s−1) | ||
| (kJ·kg−1) | cp,da = 1.006 (kJ·kg−1·K−1) | |
| cp,wv = 1.86 (kJ·kg−1·K−1) | ||
| γ0 = 2501 (kJ·kg−1) | ||
| Coolant water | (kg·m−3) | |
| (kg·s−1) | ||
| (kJ·kg−1·K−1) | ||
| (kJ·kg−1) |
| Parameter | Instrument | Range | Accuracy | Standard Uncertainty |
|---|---|---|---|---|
| Water temperature (°C) | PT100 temperature transducer | −40 to 100 | ±0.5% | 0.41 |
| Water volumetric flow rate (L·min−1) | Liquid turbine flowmeter | 0 to 20 | ±1% | 0.12 |
| Air temperature (°C) | Temperature transducer | −40 to 80 | ±1.5% | 1.04 |
| Air humidity (%) | Humidity transducer | 0 to 100 | ±2% | 1.15 |
| Air velocity (m·s−1) | Velocity transducer | 0 to 15 | ±2% | 0.17 |
| Compressor power input (W) | Direct transmission | 0 to 20,000 | ±0.5% | 57.73 |
Disclaimer/Publisher’s Note: The statements, opinions and data contained in all publications are solely those of the individual author(s) and contributor(s) and not of MDPI and/or the editor(s). MDPI and/or the editor(s) disclaim responsibility for any injury to people or property resulting from any ideas, methods, instructions or products referred to in the content. |
© 2025 by the authors. Licensee MDPI, Basel, Switzerland. This article is an open access article distributed under the terms and conditions of the Creative Commons Attribution (CC BY) license (https://creativecommons.org/licenses/by/4.0/).
Share and Cite
Luo, Z.; Xiong, S.; Wen, M.; Zhao, J.; Zhang, Y. Experimental Study on R290 Performance of an Integrated Thermal Management System for Electric Vehicle. Energies 2025, 18, 802. https://doi.org/10.3390/en18040802
Luo Z, Xiong S, Wen M, Zhao J, Zhang Y. Experimental Study on R290 Performance of an Integrated Thermal Management System for Electric Vehicle. Energies. 2025; 18(4):802. https://doi.org/10.3390/en18040802
Chicago/Turabian StyleLuo, Zihao, Shusheng Xiong, Min Wen, Jiahao Zhao, and Yifei Zhang. 2025. "Experimental Study on R290 Performance of an Integrated Thermal Management System for Electric Vehicle" Energies 18, no. 4: 802. https://doi.org/10.3390/en18040802
APA StyleLuo, Z., Xiong, S., Wen, M., Zhao, J., & Zhang, Y. (2025). Experimental Study on R290 Performance of an Integrated Thermal Management System for Electric Vehicle. Energies, 18(4), 802. https://doi.org/10.3390/en18040802

