Vibration Model of ±800 kV Converter Transformers Under Varying Load Conditions
Abstract
1. Introduction
2. Theory
2.1. HVDC Transmission System
2.2. Vibration Mechanism Under No-Load Condition
2.3. Vibration Mechanism Under Load Condition
3. Experimental Setup
3.1. Full-Load Thermal Stability Test
3.2. Vibration Measurement
4. Results and Discussions
4.1. General Trend During Stability Test
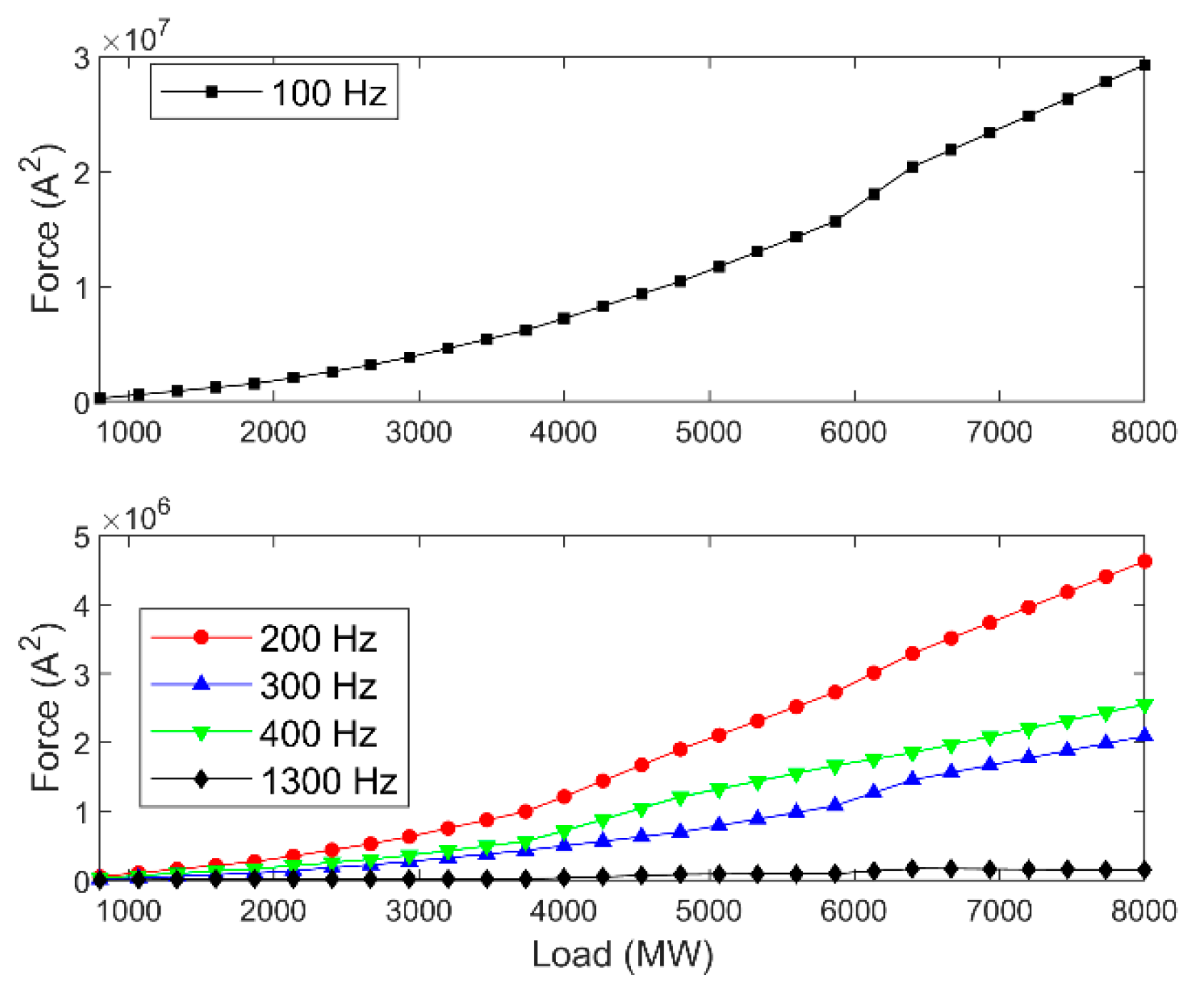
4.2. Multi-Frequency Component of Vibration
4.3. Vibration Energy Proportion of Four Frequency Bands
5. Conclusions
Author Contributions
Funding
Data Availability Statement
Conflicts of Interest
References
- Bhuvaneswari, G.; Mahanta, B.C. Analysis of Converter Transformer Failure in HVDC Systems and Possible Solutions. IEEE Trans. Power Deliv. 2009, 24, 814–821. [Google Scholar] [CrossRef]
- Martin, D.; Marks, J.; Saha, T.K.; Krause, O.; Mahmoudi, N. Investigation into Modeling Australian Power Transformer Failure and Retirement Statistics. IEEE Trans. Power Deliv. 2018, 33, 2011–2019. [Google Scholar] [CrossRef]
- Bartoletti, C.; Desiderio, M.; Di Carlo, D.; Fazio, G.; Muzi, F.; Sacerdoti, G.; Salvatori, F. Vibro-acoustic techniques to diagnose power transformers. IEEE Trans. Power Deliv. 2004, 19, 221–229. [Google Scholar] [CrossRef]
- Hong, K.; Huang, H.; Fu, Y.; Zhou, J. A vibration measurement system for health monitoring of power transformers. Measurement 2016, 93, 135–147. [Google Scholar] [CrossRef]
- Nezhad, A.E.; Samimi, M.H. A review of vibration-based techniques for the condition assessment and failure detection of transformers. J. Vib. Eng. Technol. 2025, 13, 95–107. [Google Scholar] [CrossRef]
- Jiang, P.; Zhang, Z.; Zhang, J.; Deng, B.; Deng, J.; Pan, Z. Research on vibration characteristics and multi-parameter state recognition of ±500 kV converter transformer under fluctuating conditions. Int. J. Electr. Power Energy Syst. 2022, 136, 107748. [Google Scholar] [CrossRef]
- Xiao, R.; Zhang, Z.; Dan, Y.; Yang, Y.; Pan, Z.; Deng, J. Multifeature Extraction and Semi-Supervised Deep Learning Scheme for State Diagnosis of Converter Transformer. IEEE Trans. Instrum. Meas. 2022, 71, 1–12. [Google Scholar] [CrossRef]
- Beltle, M.; Tenbohlen, S. Power transformer diagnosis based on mechanical oscillations due to AC and DC currents. IEEE Trans. Dielectr. Electr. Insul. 2016, 23, 1515–1522. [Google Scholar] [CrossRef]
- Wang, T.; He, Y.; Luo, Q.; Deng, F.; Zhang, C. Self-Powered RFID Sensor Tag for Fault Diagnosis and Prognosis of Transformer Winding. IEEE Sens. J. 2017, 17, 6418–6430. [Google Scholar] [CrossRef]
- Zhou, H.; Hong, K.; Huang, H.; Zhou, J. Transformer winding fault detection by vibration analysis methods. Appl. Acoust. 2016, 114, 136–146. [Google Scholar] [CrossRef]
- Wang, H.; Zhang, L.; Sun, Y.; Zou, L. Research on the influence mechanism of harmonic components on the noise distribution characteristics of converter transformers. Int. J. Electr. Power Energy Syst. 2024, 160, 110095. [Google Scholar] [CrossRef]
- Correia, A.F.M.; Silva, A.M.; Ferreira, F.J.T.E. Experimental Study on the Impact of MMF Spatial Harmonics in the Mechanical Vibration of a Three-Phase Induction Motor. In Proceedings of the 2020 International Conference on Electrical Machines (ICEM), Gothenburg, Sweden, 23–26 August 2020; pp. 1560–1566. [Google Scholar]
- Jiang, P.; Yin, F.; Wang, L. Modeling, simulation and measurement of converter transformer winding multi-frequency vibration based on electromagnetic structure coupling. Int. J. Electr. Power Energy Syst. 2025, 166, 110587. [Google Scholar] [CrossRef]
- Shao, P.; Luo, L.; Li, Y.; Rehtanz, C. Electromagnetic Vibration Analysis of the Winding of a New HVDC Converter Transformer. IEEE Trans. Power Deliv. 2012, 27, 123–130. [Google Scholar] [CrossRef]
- Jiang, P.; Zhang, Z.; Dong, Z.; Yang, Y.; Pan, Z.; Deng, J. Axial and radial electromagnetic-vibration characteristics of converter transformer windings under current harmonics. High Volt. 2023, 8, 477–491. [Google Scholar] [CrossRef]
- Jiang, P.; Zhang, Z.; Dong, Z.; Wu, Y.; Xiao, R.; Deng, J.; Pan, Z. Research on distribution characteristics of vibration signals of ±500 kV HVDC converter transformer winding based on load test. Int. J. Electr. Power Energy Syst. 2021, 132, 107200. [Google Scholar] [CrossRef]
- Qian, M.; Yin, F.; Yuan, Y.; Jiang, P.; Wang, L.; Zhao, L. Vibration characteristics of ±800 kV converter transformers part I: Under no-load conditions. Int. J. Electr. Power Energy Syst. 2024, 159, 110060. [Google Scholar] [CrossRef]
- Qian, M.; Yin, F.; Yuan, Y.; Jiang, P.; Wang, L.; Zhao, L. Vibration characteristics of ±800 kV converter transformers part II: Under load conditions. Int. J. Electr. Power Energy Syst. 2024, 159, 110026. [Google Scholar] [CrossRef]
- Garcia, B.; Burgos, J.; Alonso, A. Transformer Tank Vibration Modeling as a Method of Detecting Winding Deformations—Part I: Theoretical Foundation. IEEE Trans. Power Deliv. 2006, 21, 157–163. [Google Scholar] [CrossRef]
- Ji, S.; Luo, Y.; Li, Y. Research on Extraction Technique of Transformer Core Fundamental Frequency Vibration Based on OLCM. IEEE Trans. Power Deliv. 2006, 21, 1981–1988. [Google Scholar] [CrossRef]
- Jiang, P.; Zhang, Z.; Dong, Z.; Yang, Y. Vibration Measurement and Numerical Modeling Analysis of Transformer Windings and Iron Cores Based on Voltage and Current Harmonics. Machines 2022, 10, 786. [Google Scholar] [CrossRef]
- Wu, S.; Zhang, Z.; Liu, H.; He, G.; Wang, D.; Zhang, F. Analysis of Harmonic Current and Winding Vibration in Converter Transformer. In Proceedings of the 2022 IEEE International Conference on High Voltage Engineering and Applications (ICHVE), Chongqing, China, 25–29 September 2022; pp. 1–5. [Google Scholar]
- Hong, K.; Huang, H.; Zhou, J. Winding Condition Assessment of Power Transformers Based on Vibration Correlation. IEEE Trans. Power Deliv. 2015, 30, 1735–1742. [Google Scholar] [CrossRef]















Disclaimer/Publisher’s Note: The statements, opinions and data contained in all publications are solely those of the individual author(s) and contributor(s) and not of MDPI and/or the editor(s). MDPI and/or the editor(s) disclaim responsibility for any injury to people or property resulting from any ideas, methods, instructions or products referred to in the content. |
© 2025 by the authors. Licensee MDPI, Basel, Switzerland. This article is an open access article distributed under the terms and conditions of the Creative Commons Attribution (CC BY) license (https://creativecommons.org/licenses/by/4.0/).
Share and Cite
Wang, N.; Zheng, J.; Yuan, Y. Vibration Model of ±800 kV Converter Transformers Under Varying Load Conditions. Energies 2025, 18, 5968. https://doi.org/10.3390/en18225968
Wang N, Zheng J, Yuan Y. Vibration Model of ±800 kV Converter Transformers Under Varying Load Conditions. Energies. 2025; 18(22):5968. https://doi.org/10.3390/en18225968
Chicago/Turabian StyleWang, Ning, Jing Zheng, and Yao Yuan. 2025. "Vibration Model of ±800 kV Converter Transformers Under Varying Load Conditions" Energies 18, no. 22: 5968. https://doi.org/10.3390/en18225968
APA StyleWang, N., Zheng, J., & Yuan, Y. (2025). Vibration Model of ±800 kV Converter Transformers Under Varying Load Conditions. Energies, 18(22), 5968. https://doi.org/10.3390/en18225968

