Collaborative Renewable Energy Resource Siting and Sizing Planning Method for Distribution and Sub-Transmission Networks
Abstract
1. Introduction
- (1)
- This paper proposes a collaborative renewable energy resource siting and sizing planning method for the distribution and sub-transmission networks. Both access points and access capacities in the distribution and sub-transmission networks are optimized to host more renewable energy.
- (2)
- A renewable energy ratio calculation method is proposed, which comprehensively considers the contributions of green electricity from the power grid and renewable energy generation inside and outside of the industrial park.
- (3)
- Contrary to traditional planning methods, renewable energy power plants can be connected to different voltage levels of the power grid.
- (4)
- By matching the net load of the park with the output of renewable energy power plants, the park load is better used to host more renewable energy.
2. Renewable Energy Hosting Indicators
2.1. Power Penetration Rate
2.2. Capacity Penetration Rate
2.3. Energy Penetration Rate
2.4. Renewable Energy Ratio
2.4.1. Definition
2.4.2. Calculation Method
- (a)
- When the direction is from inside to outside the park, ERE,t is equal to the load PL,t, as follows:
- (b)
- When the direction is from outside to inside the park, ERE,t is the sum of PDRE,t, kPGRE,t, and PPRE,t, as follows:
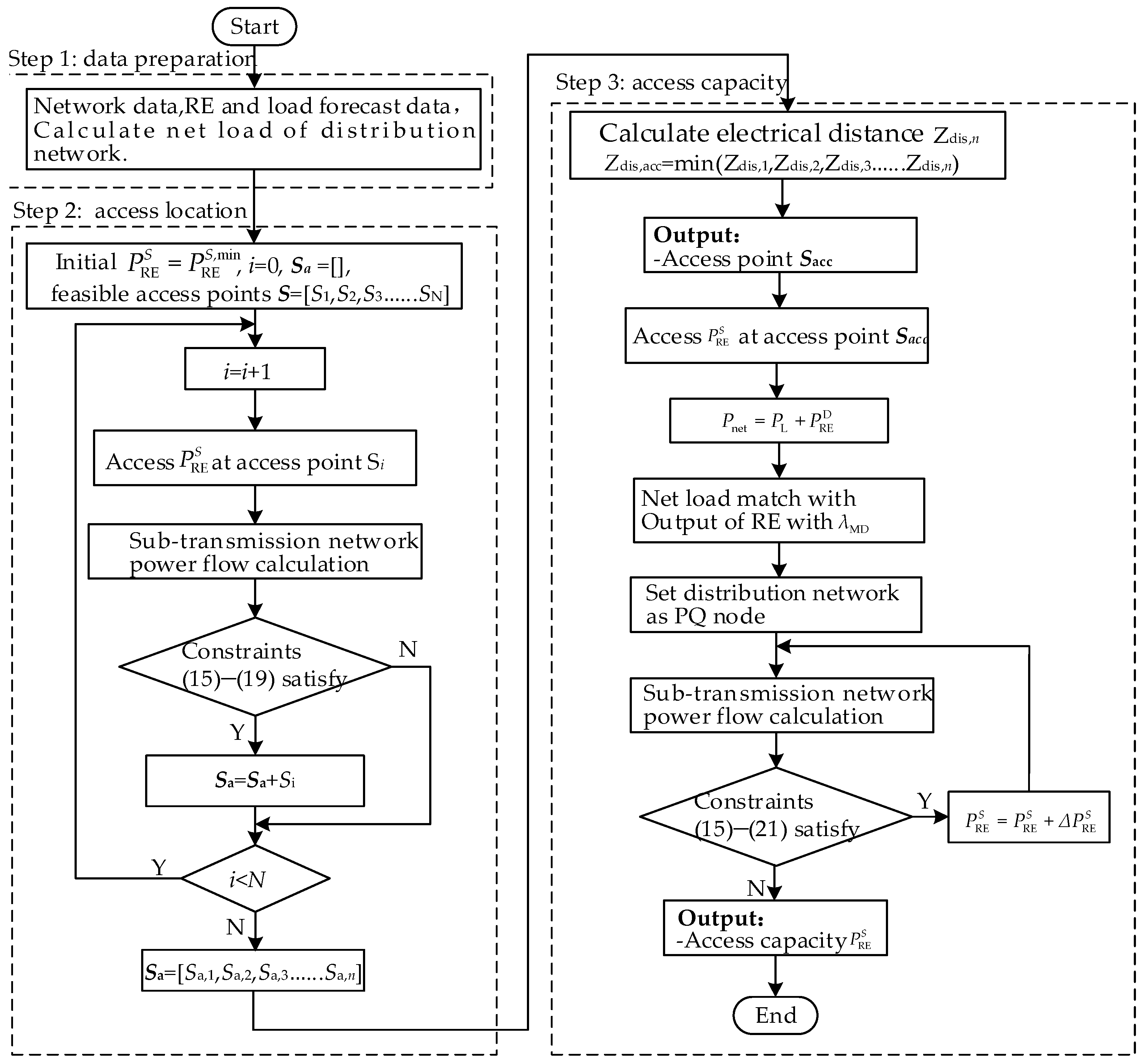
3. Planning Method
3.1. Collaborative Planning Model
3.2. Collaborative Planning Method
4. Case Study
4.1. Case Information
4.1.1. Current Year Data
4.1.2. Planning Year Data
4.2. Planning Process
4.3. Hosting Indicators Calculation
4.4. Comparison with Existing Method
4.4.1. Comparison of Renewable Energy Hosting Indicators
- (1)
- Shorten the distance between the renewable energy power plant and the park. Part of WF D connects to the distribution network, with the length of the transmission line reducing from 12 km to 4 km. The electrical distance of the transmission line [37] decreases from 2.24 Ω to 0.75 Ω.
- (2)
- Shift the load of the park through the matching method to the time when the output of renewable energy is at its peak. At 15:00, when WF D is at its peak, the load is increased from 82.3 MW to 100.8 MW to match the peak output of WF D, as shown in points A and B in Figure A4.
4.4.2. Comparison of Green Electricity Power Flow
4.4.3. Comparison of Power Grid Side Fluctuations
5. Conclusions
- (1)
- Compared with traditional planning methods, the proposed method improves renewable energy hosting capacity because the wind farm is connected at two voltage levels.
- (2)
- By matching the net load of the park with the output of the renewable energy power plant, the park’s load is better used to host more renewable energy.
- (3)
- A renewable energy ratio calculation method is also proposed, which comprehensively considers the contributions of green electricity from the power grid and renewable energy generation inside and outside the industrial park.
Author Contributions
Funding
Data Availability Statement
Conflicts of Interest
Abbreviations
| RE | Renewable energy |
| PV | Photovoltaic |
| HC | Hosting capacity |
| DR | Demand response |
| DRE | Distributed renewable energy |
| WF | Wind farm |
| RER | Renewable energy ratio |
Nomenclature
| Variables | |||
| λPR | Power penetration rate. | PG,t | Active power of power plant. |
| λCP | Capacity penetration rate. | Reactive power of power plant. | |
| λEP | Energy penetration rate. | Power of DRE access to distribution network at time t. | |
| λRER | Renewable energy ratio. | Power of RE plant access to sub-transmission network at time t. | |
| Annual maximum power of all DREs in industrial park. | Zdis,n | Electrical distance between feasible access point n to industrial park. | |
| Annual maximum load in industrial park. | Zdis,acc | Electrical distance between chosen access point to industrial park. | |
| Total installed capacity of DRE. | Vn | Voltage between access point n and industrial park. | |
| Annual maximum hourly electricity generation of DRE. | In | Current between access point n and industrial park. | |
| Annual maximum hourly electricity generation of DRE. | Branch conductance between nodes i and j. | ||
| EDRE | Annual electricity energy provided by DRE. | Branch susceptance between nodes i and j. | |
| Eload | Annual electricity consumption of load. | Voltage of node i in sub-transmission network. | |
| ERE | Annual green electricity consumption. | Minimum voltage of sub-transmission network. | |
| EGRE | Annual green electricity from power grid. | Maximum voltage of sub-transmission network. | |
| EPRE | Annual electricity generated by renewable energy power plant and consumed by park load. | Branch thermal capacity between nodes i and j. | |
| ERE,t | Green electricity hosted by industrial park load at time t | Minimum thermal capacity between nodes i and j. | |
| PGRE,t | Power from power grid to park at time t. | Maximum thermal capacity between nodes i and j. | |
| PPRE,t | Power of renewable energy power plant flows to the park at time t. | Minimum capacity of RE connected to sub-transmission network. | |
| PL,t | Load of park at time t in planning year. | Maximum capacity of RE connected to sub-transmission network. | |
| P’L,t | Load of park after matching with output of renewable energy power plant at time t. | λMD | Matching degree between net load and RE. |
| PDRE,t | Power of DRE in planning year at time t. | λmin | Minimum value of λMD. |
| PNet,T | Power of net load in a 24 h schedule cycle. | Coefficient makes PNet,t and PRE,t of the same order of magnitude. | |
| P’Net,T | Power of net load after participating in DR. | ||
| Sets | Others | ||
| S | Feasible set of all buses in sub-transmission network where RE can connect. | M | Number of power plants. |
| Sa | Candidate set of buses in sub-transmission network where RE can connect. | N Tcp | Number of feasible access points in the sub-transmission network. Calculation period. |
Appendix A
Appendix B


Appendix C

Appendix D
Appendix D.1
- (1)
- Power penetration rate
- (2)
- Capacity penetration rate
- (3)
- Energy penetration rate
- (4)
- Renewable energy ratio
Appendix D.2
- (1)
- Power penetration rate
- (2)
- Capacity penetration rate
- (3)
- Energy penetration rate
- (4)
- Renewable energy ratio

- (1)
- Total annual output of PVs in the park is 9116.4 MWh;
- (2)
- Total annual output of WF D connected to the sub-transmission network is 277,950 MWh, and connected to the high-voltage transmission network it is 107,474 MWh;
- (3)
- Total annual output of WF C is 108,320 MWh;
- (4)
- Substation S1 transfers 2,205,166 MWh of electricity and supplies 532,503.72 MWh of electricity for the park;
- (5)
- Substation S2 supplies 260,711.88 MWh of electricity for the park.
Appendix D.3

- (1)
- Total annual output of PVs in the park is 9116.4 MWh;
- (2)
- Total annual output of WF D is 370,600 MWh;
- (3)
- Total annual output of WF C is 108,320 MWh;
- (4)
- Substation S1 transfers 2,312,640 MWh of electricity to the park and supplies 608,327.72 MWh for the park;
- (5)
- Substation S2 supplies 260,711.88 MWh of electricity for the park.
Appendix E
Appendix E.1
Appendix E.2
References
- Haegel, N.; Kurtz, S. Global Progress Toward Renewable Electricity: Tracking the Role of Solar. IEEE J. Photovolt. 2021, 11, 1335–1342. [Google Scholar] [CrossRef]
- Vierth, I.; Ek, K.; From, E.; Lind, J. The cost impacts of fit for 55 on shipping and their implications for Swedish freight transport. Transp. Res. Part A Policy Pract. 2024, 179, 103894.1–103894.13. [Google Scholar] [CrossRef]
- Hulle, F.V.; Tande, J.O.; Uhlen, K.; Warland, L.; Völker, J. Analysis of 2030 Large-Scale Wind Energy Integration in the Eastern Interconnection Using WINS. Electr. J. 2011, 24, 71–87. [Google Scholar] [CrossRef]
- Du, E.; Zhang, N.; Hodge, B.M.; Wang, Q.; Kang, C.; Kroposki, B.; Xia, Q. The Role of Concentrating Solar Power Toward High Renewable Energy Penetrated Power Systems. IEEE Trans. Power Syst. 2018, 33, 6630–6641. [Google Scholar] [CrossRef]
- Cicilio, P.; Cotilla-Sanchez, E.; Vaagensmith, B.; Gentle, J.P. Transmission Hosting Capacity of Distributed Energy Resources. IEEE Trans. Sustain. Energy 2021, 12, 794–801. [Google Scholar] [CrossRef]
- Xiao, J.; Wang, C.; She, B.; Li, F.; Bao, Z.; Zhang, X. Total supply and accommodation capability curves for active distribution networks: Concept and model. Int. J. Elec. Power 2021, 133, 107279. [Google Scholar] [CrossRef]
- Wu, H.; Yuan, Y.; Zhu, J.; Xu, Y. Assessment Model for Distributed Wind Generation Hosting Capacity Considering Complex Spatial Correlations. J. Mod. Power Syst. Clean Energy 2022, 8, 1194–1206. [Google Scholar] [CrossRef]
- Liu, J.; Chiang, H.-D. Maximizing available delivery capability of unbalanced distribution networks for high penetration of distributed generators. IEEE Trans. Power Deliv. 2017, 32, 1196–1202. [Google Scholar] [CrossRef]
- Santos, B.L.M.; Barros, L.S.; Moreira, F.A.; Barbosa, D. Hosting capacity maximization of distributed energy resources through simultaneous optimized volt–var curve and network reconfiguration. Electr. Power Syst. Res. 2024, 234, 110743. [Google Scholar] [CrossRef]
- Fu, Y.Y.; Chiang, H.D. Toward optimal multiperiod network reconfiguration for increasing the hosting capacity of distribution networks. IEEE Trans. Power Deliv. 2018, 33, 2294–2304. [Google Scholar] [CrossRef]
- Sahu, S.K.; Ghosh, D. Hosting capacity enhancement in distribution system in highly Trenchant Photo-Voltaic Environment: A Hardware in Loop Approach. IEEE Access 2020, 8, 14440–14451. [Google Scholar] [CrossRef]
- Dominguez, O.D.M.; Mantovani, J.R.S.; Kasmaei, M.P.; Lehtonen, M. Increasing distributed generation hosting capacity in distribution networks: A CO2 emission analysis. In Proceedings of the 2020 IEEE PES Innovative Smart Grid Technologies Europe (ISGT-Europe), IEEE, Hague, The Netherlands, 26–28 October 2020. [Google Scholar] [CrossRef]
- Rahman, M.; Arefi, A.; Shafiullah, G.M.; Hettiwatte, S. A new approach to voltage management in unbalanced low voltage networks using demand response and OLTC considering consumer. Int. J. Electr. Power Energy Syst. 2018, 99, 11–27. [Google Scholar] [CrossRef]
- Long, C.; Ochoa, L.F. Voltage control of PV-rich LV networks: OLTC-fitted transformer and capacitor banks. IEEE Trans. Power Syst. 2016, 31, 4016–4025. [Google Scholar] [CrossRef]
- Asano, M.; Wong, F.; Ueda, R.; Moghe, R.; Tholomier, D. On the interplay between svcs and smart inverters for managing voltage on distribution networks. In Proceedings of the 2019 IEEE Power Energy Society General Meeting (PESGM), Atlanta, GA, USA, 4–8 August 2019; pp. 1–5. [Google Scholar] [CrossRef]
- Son, Y.J.; Lim, S.H.; Yoon, S.G.; Khargonekar, P.P. Residential Demand Response-Based Load-Shifting Scheme to Increase Hosting Capacity in Distribution System. IEEE Access 2022, 10, 18544–18556. [Google Scholar] [CrossRef]
- Wang, B.; Zhang, C.; Dong, Z.; Li, X. Improving hosting capacity of unbalanced distribution networks via robust allocation of battery energy storage systems. IEEE Trans. Power Syst. 2021, 36, 2174–2185. [Google Scholar] [CrossRef]
- Park, S.W.; Cho, K.S.; Hoefter, G.; Son, S.Y. Electric vehicle charging management using location-based incentives for reducing renewable energy curtailment considering the distribution system. Appl. Energy 2022, 305, 117680. [Google Scholar] [CrossRef]
- Rad, H.K.; Moravej, Z. An approach for simultaneous distribution, sub-transmission, and transmission networks expansion planning. Int. J. Electr. Power Energy Syst. 2017, 91, 166–182. [Google Scholar] [CrossRef]
- Carlini, E.M.; Gadaleta, C.; De Cesare, A.; Migliori, M.; Giordano, C.; Moroni, S. The new 36 kV standard voltage level to increase RES penetration in sub-transmission network. In Proceedings of the 2022 AEIT International Annual Conference (AEIT), Rome, Italy, 3–5 October 2022; pp. 1–6. [Google Scholar]
- Tang, Z.; Hill, D.J.; Liu, T. Two-stage voltage control of sub-transmission networks with high penetration of wind power. Control Eng. Pract. 2017, 62, 1–10. [Google Scholar] [CrossRef]
- Cruz, M.; Adriana, Y.; Sanchez, C.; Francy, M.; Reis, L.B. Analysis of sub-transmission networks with distributed generation. In Proceedings of the 2013 International Conference on Renewable Energy Research and Applications (ICRERA), Madrid, Spain, 20–23 October 2013; p. 10721077. [Google Scholar] [CrossRef]
- Nguyen, Q.; Ke, X.; Samaan, N.; Holzer, J.; Elizondo, M.; Zhou, H.; Huang, H.R.; Vallem, M.; Vyakaranam, B. Transmission-distribution long-term volt-var planning considering reactive power support capability of distributed PV. Int. J. Electr. Power Energy Syst. 2022, 138, 107955. [Google Scholar] [CrossRef]
- Zohuratar, M.; Aghaei, J.; Niknam, T.; Nikoobakht, A. Expansion planning of automated sub-transmission and distribution networks integrated by distributed generations. Sci. Iran. 2022, 29, 645–659. [Google Scholar] [CrossRef]
- Liu, J.; Cheng, H.; Zeng, P.; Yao, L.; Shang, C.; Tian, Y. Decentralized stochastic optimization based planning of integrated transmission and distribution networks with distributed generation penetration. Appl. Energy 2018, 220, 800–813. [Google Scholar] [CrossRef]
- Rabiee, A.; Keane, A.; Soroudi, A. Enhanced transmission and distribution network coordination to host more electric vehicles and PV. IEEE Syst. J. 2022, 16, 2705–2716. [Google Scholar] [CrossRef]
- Liu, X. Research on dimension reduction for visualization of simplified security region of integrated energy system considering renewable energy access. Int. J. Electr. Power Energy Syst. 2024, 156, 109777. [Google Scholar] [CrossRef]
- DL/T 5729-2016; The Guide for Planning and Design of Distribution Network. Electric Power Press: Beijing, China, 2016.
- GB 50797-2012; Code for Design of Photovoltaic Power Station. Standards Press of China: Beijing, China, 2012.
- NB/T 31003-2011; Design Regulations for Large-Scale Wind Power Connecting to the System. China Electric Power Press: Beijing, China, 2011.
- Cheng, D.; Mather, B.A.; Seguin, R.; Hambrick, J.; Broadwater, R.P. Photovoltaic (PV) Impact Assessment for Very High Penetration Levels. IEEE J. Photovolt. 2015, 6, 295–300. [Google Scholar] [CrossRef]
- Sun, Y.; Ma, X.; Wang, Y.; Cai, W.; Dong, G.; Chen, Y. Research on Peak Shaving Strategy Based on Green Power Supply in Industrial Parks. In Proceedings of the 2023 International Conference on Power System Technology (PowerCon), Jinan, China, 21–22 September 2023; pp. 1–7. [Google Scholar] [CrossRef]
- Wang, R.; Lin, W.; Zhou, Z.; Chen, B. Feasibility verification of green-power-supplied industrial parks considering peak shaving performances. Energy Rep. 2023, 9, 368–372. [Google Scholar] [CrossRef]
- Barcia, P.; Rui, P. Tracing the flow of electricity. Int. J. Electr. Power Energy Syst. 2010, 32, 329–332. [Google Scholar] [CrossRef]
- Najafi, A.; Pourakbari Kasmaei, M.; Contreras, J.; Lehtonen, M.; Leonowicz, Z. Optimal Bilevel Operation-Planning Framework of Distributed Generation Hosting Capacity Considering Rival DISCO and EV Aggregator. IEEE Syst. J. 2022, 9, 5023–5034. [Google Scholar] [CrossRef]
- Mnatsakanyan, A.; Kennedy, S.W. A novel demand response model with an application for a virtual power plant. IEEE Trans. Smart Grid. 2014, 6, 230–237. [Google Scholar] [CrossRef]
- Cotilla-Sanchez, E.; Hines, P.D.H.; Barrows, C.; Blumsack, S.; Patel, M. Multi-attribute partitioning of power networks based on electrical distance. IEEE Trans. Power Syst. 2013, 28, 4979–4987. [Google Scholar] [CrossRef]










| Perspective | Refs. | Methodology | Objective Function | Test System | Opportunities for Improvement |
|---|---|---|---|---|---|
| Distribution network | [8,10] | Network reconfiguration | Maximize DG outputs | IEEE 123-bus system | Frequent reconfigurations, high cost, and safety risks. |
| [9,11] | Network reconfiguration | Maximize DER HC, minimize power losses | IEEE 33-bus system | Neglects practical and economic constraints. | |
| [15] | Coordinate Secondary VAr Controllers and smart inverters | Maximize PV HC | Keolu substation | Highly dependent on user behavior. | |
| [16] | Residential DR | Minimize customer costs | IEEE 15-bus system | Sensitive to user participation uncertainty. | |
| [17] | Optimal battery energy storage systems allocation | Minimize active power unbalance | IEEE 34-bus test system | Excludes energy storage investment. | |
| [18] | Electric vehicle-based energy loss and economic loss mitigation | Maximize charging point operator profits | Jeju Island distribution network | Relies on accurate prediction of user behavior. | |
| Sub-transmission network | [20] | New 36 kV standard voltage level for precise power-plant scale matching | Maximum RES generation capacity | Southern Italy power grid | Limited scalability, dependent on local grid conditions. |
| [21] | On-load tap changers and virtual power plants | Minimize voltage deviation | IEEE 14-bus/IEEE 30-bus system | Relies on accurate wind power forecasting. | |
| [23] | Reactive power planning to mitigate voltage violations | Minimum investment cost | Duke Energy Carolina sub-transmission | Dependent on precise reactive power support | |
| Integrated | [24] | Simultaneous planning of distribution and sub-transmission | Minimize investment, operation costs | 230/138/13.8 kV test network | Preset candidate sites for RE, limits solution flexibility. |
| [25] | Optimal planning of distribution & sub-transmission | Minimize the operation costs | T24D9/IEEE 33-bus system/IEEE 118-bus system | High computational burden, idealized DG controllability |
| Feeder Number | PV Installed Capacity/kWp | Total | |
|---|---|---|---|
| 0.4 kV | 10 kV | ||
| F21 | 0.4 | 1.47 | 1.87 |
| Feeder | Load/MW | Feeder | Load/MW | Feeder | Load/MW | Feeder | Load/MW | Feeder | Load/MW |
|---|---|---|---|---|---|---|---|---|---|
| T1 | T2 | T3 | T4 | T5 | |||||
| F1 | 1.09 | F7 | 0.88 | F21 | 1.43 | F28 | 0.84 | F35 | 1.4 |
| F2 | 2.33 | F8 | 2.93 | F22 | 2.72 | F29 | 2.56 | F36 | 1.14 |
| F3 | 0.11 | F9 | 4.29 | F23 | 0.82 | F30 | 3.86 | ||
| F4 | 2.46 | F10 | 1.94 | F24 | 3.19 | F31 | 3.68 | ||
| F5 | 3.01 | F11 | 2.35 | F25 | 0.67 | F32 | 0.74 | ||
| F6 | 3.61 | F12 | 5.56 | F26 | 2.12 | F33 | 4.4 | ||
| F13 | 1.85 | F27 | 2.85 | F34 | 3.05 | ||||
| Total | 64.41 | ||||||||
| Feeder | Load/MW | Feeder | Load/MW | Feeder | Load/MW | Feeder | Load/MW | Feeder | Load/MW |
|---|---|---|---|---|---|---|---|---|---|
| T1 | T2 | T3 | T4 | T5 | |||||
| F1 | 2.53 | F6 | 7.42 | F21 | 8.55 | F31 | 6.93 | F35 | 1.4 |
| F2 | 7.12 | F7 | 7.93 | F22 | 7.31 | F32 | 7.25 | F36 | 1.14 |
| F3 | 8.63 | F8 | 6.74 | F23 | 7.64 | F33 | 6.83 | F37 | 4.1 |
| F4 | 7.95 | F9 | 6.31 | F24 | 8.23 | F34 | 7.85 | F38 | 3.7 |
| F5 | 8.01 | F10 | 5.43 | F25 | 7.12 | F35 | 2.94 | F39 | 6.6 |
| F11 | 8.75 | F26 | 7.84 | F36 | 8.05 | ||||
| Total | 180.3 | ||||||||
| Feeder Number | PV Installed Capacity/kWp | Total | |
|---|---|---|---|
| 0.4 kV | 10 kV | ||
| F3 | 1.2 | 6.8 | 8 |
| F6 | 0 | 1.9 | 1.9 |
| F11 | 0.4 | 6 | 6.4 |
| F22 | 0.3 | 16 | 16.3 |
| F24 | 1.6 | 5 | 6.6 |
| F27 | 0.4 | 6 | 6.4 |
| F31 | 1.1 | 1.7 | 2.8 |
| F34 | 0 | 9 | 9 |
| F37 | 0 | 6.3 | 6.3 |
| F39 | 0 | 10.4 | 10.4 |
| Total | 5 | 69.1 | 74.1 |
| Hosting Indicators | Current Year | Planning Year |
|---|---|---|
| λPP | 2.61% | 42.13% |
| λCP | 2.59% | 41.7% |
| λEP | 0.63% | 9.25% |
| λRER | 16.60% | 52.85% |
| Indicators | Planning Year | |
|---|---|---|
| Traditional Planning Method | Planning Method in This Paper | |
| λPP | 42.13% | 42.13% |
| λCP | 42.27% | 41.7% |
| λEP | 9.25% | 9.25% |
| λRER | 47.60% | 52.85% |
| Planning Method | Traditional Method [30] | Proposed Method | |
|---|---|---|---|
| Green electricity/MW | WF C | 22.63 | 22.63 |
| WF D | 11.15 | 15.55 | |
| Power Grid | 36.38 | 34.93 | |
| Total renewable energy/MW | 70.16 | 73.11 | |
| Load/MW | 144.07 | 144.07 | |
| λRER at 14:00 | 48.69% | 50.73% | |
Disclaimer/Publisher’s Note: The statements, opinions and data contained in all publications are solely those of the individual author(s) and contributor(s) and not of MDPI and/or the editor(s). MDPI and/or the editor(s) disclaim responsibility for any injury to people or property resulting from any ideas, methods, instructions or products referred to in the content. |
© 2025 by the authors. Licensee MDPI, Basel, Switzerland. This article is an open access article distributed under the terms and conditions of the Creative Commons Attribution (CC BY) license (https://creativecommons.org/licenses/by/4.0/).
Share and Cite
Xiao, J.; He, G.; Li, C. Collaborative Renewable Energy Resource Siting and Sizing Planning Method for Distribution and Sub-Transmission Networks. Energies 2025, 18, 5666. https://doi.org/10.3390/en18215666
Xiao J, He G, Li C. Collaborative Renewable Energy Resource Siting and Sizing Planning Method for Distribution and Sub-Transmission Networks. Energies. 2025; 18(21):5666. https://doi.org/10.3390/en18215666
Chicago/Turabian StyleXiao, Jun, Guowei He, and Chengjin Li. 2025. "Collaborative Renewable Energy Resource Siting and Sizing Planning Method for Distribution and Sub-Transmission Networks" Energies 18, no. 21: 5666. https://doi.org/10.3390/en18215666
APA StyleXiao, J., He, G., & Li, C. (2025). Collaborative Renewable Energy Resource Siting and Sizing Planning Method for Distribution and Sub-Transmission Networks. Energies, 18(21), 5666. https://doi.org/10.3390/en18215666
