Deep Temperature and Heat-Flow Characteristics in Uplifted and Depressed Geothermal Areas
Abstract
1. Introduction
2. Methodology
2.1. Heat Transfer Model
2.2. Governing Equation
2.3. Finite-Element Analysis
3. Results
3.1. Model Verification
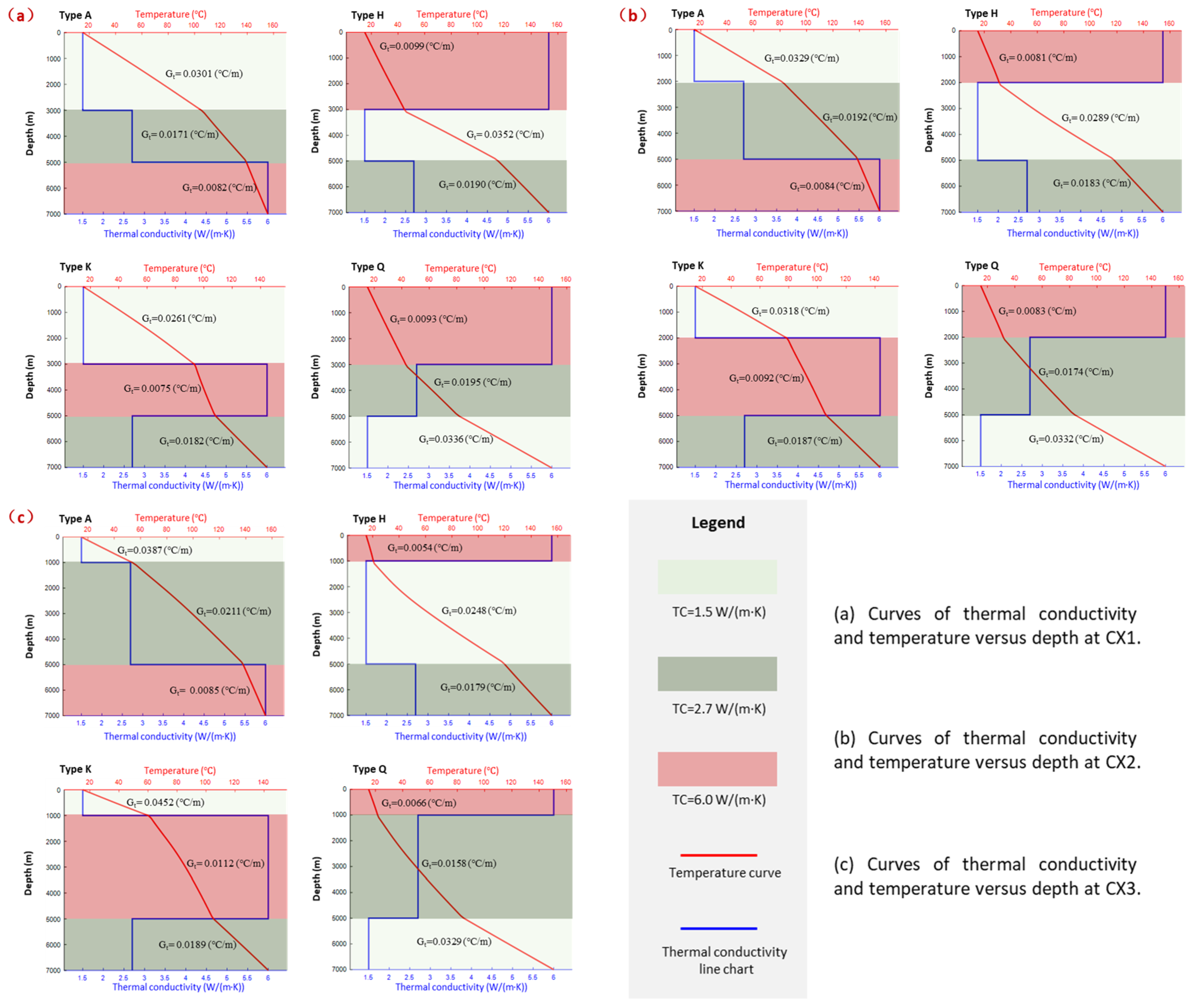
3.2. Thermal-State Characteristics of a Depression Model Under Different Modes
3.2.1. Horizontal Distributions of the Temperature Field Under Different Modes in a Depression Model
3.2.2. Vertical Distributions of the Temperature Field Under Different Modes in a Depression Model
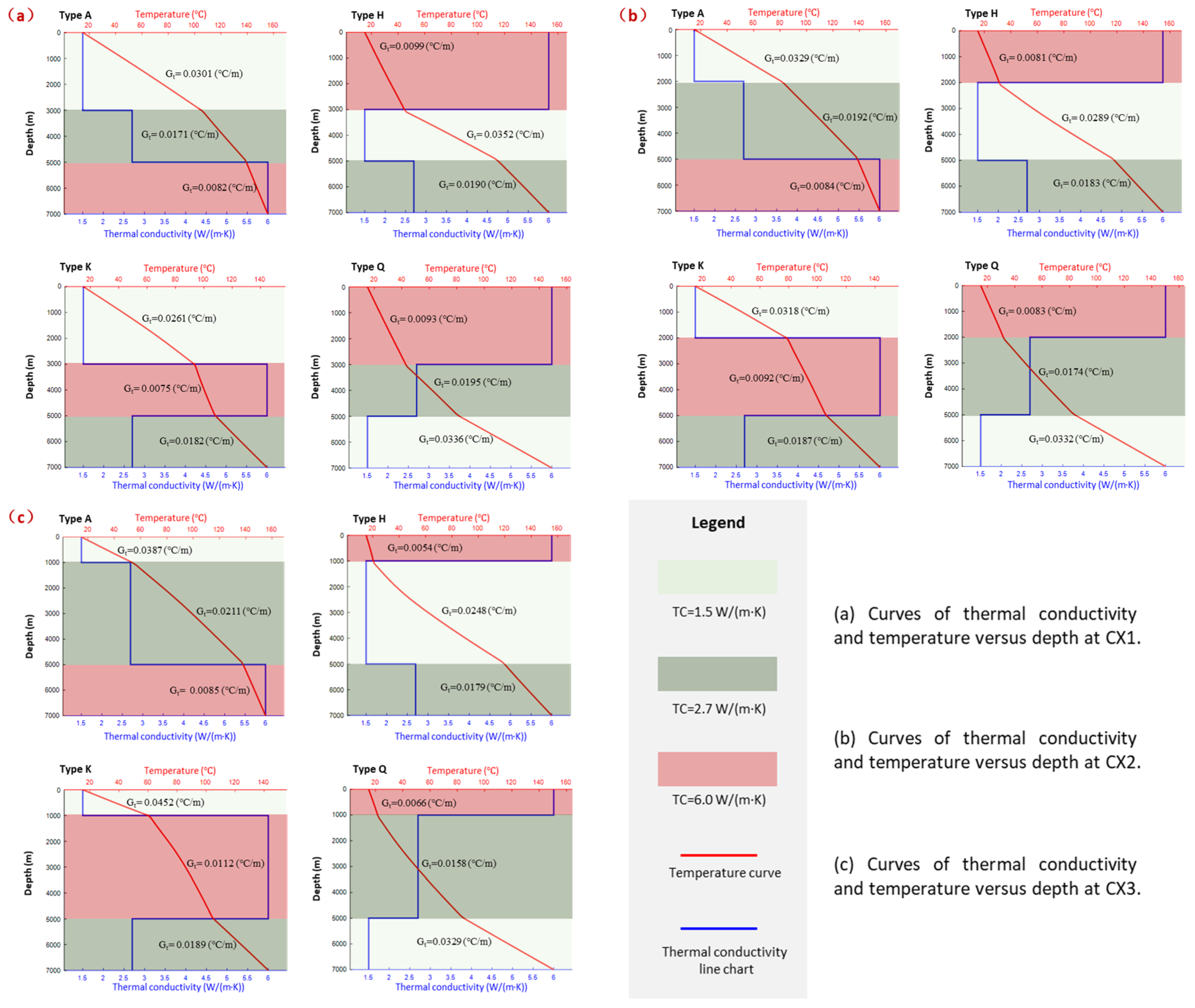
3.2.3. Thermal Conductivity–Temperature Field Correlation Analysis in a Depression Model
3.3. Thermal-State Characteristics of an Uplift Model Under Different Modes
3.3.1. Horizontal Distributions of the Temperature Field Under Different Modes in an Uplift Model
3.3.2. Vertical Distributions of the Temperature Field Under Different Modes in an Uplift Model
3.3.3. Thermal Conductivity–Temperature Field Correlation Analysis in an Uplift Model
4. Discussion
4.1. Integrated Comparison of the Thermal States of Depression and Uplift Models
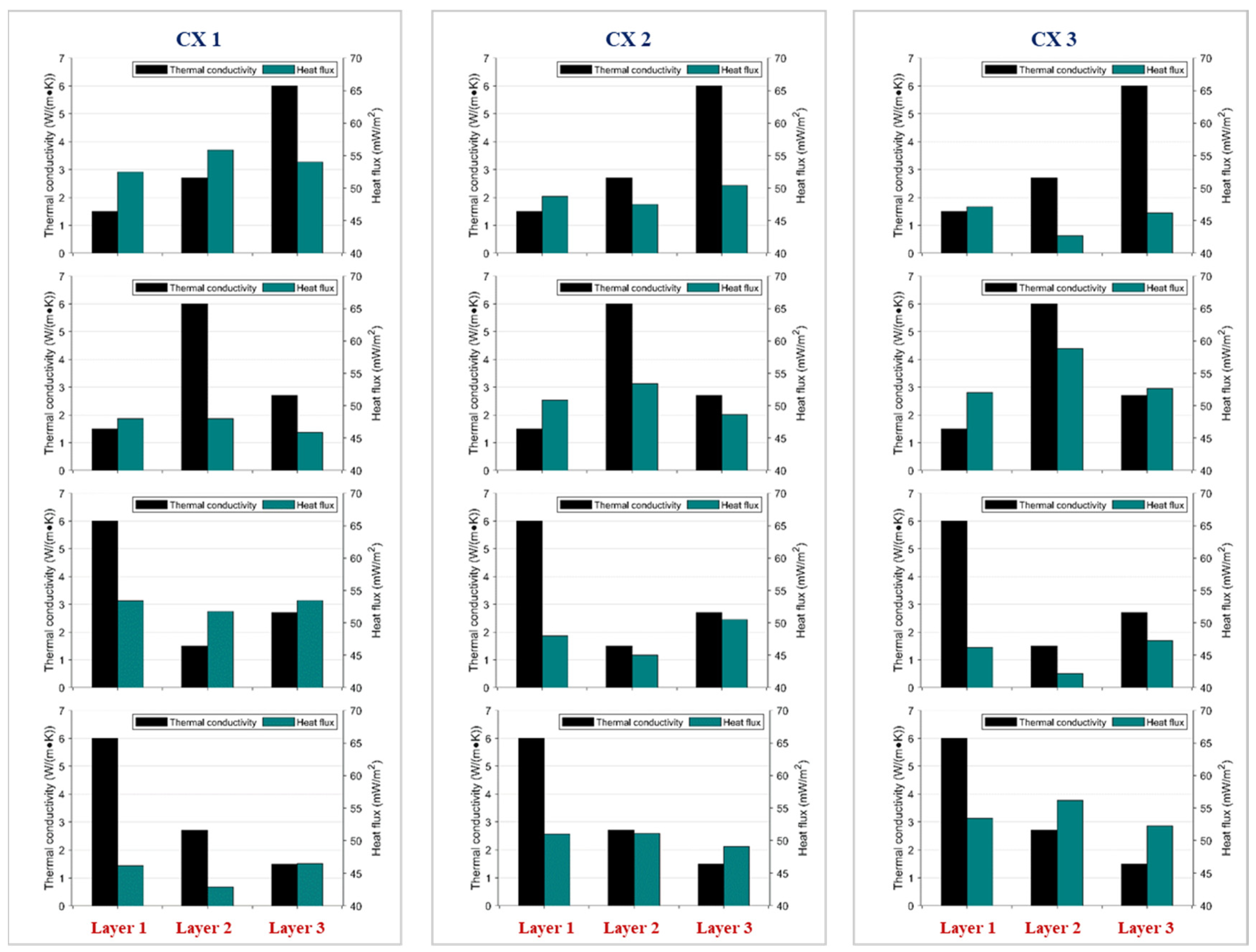
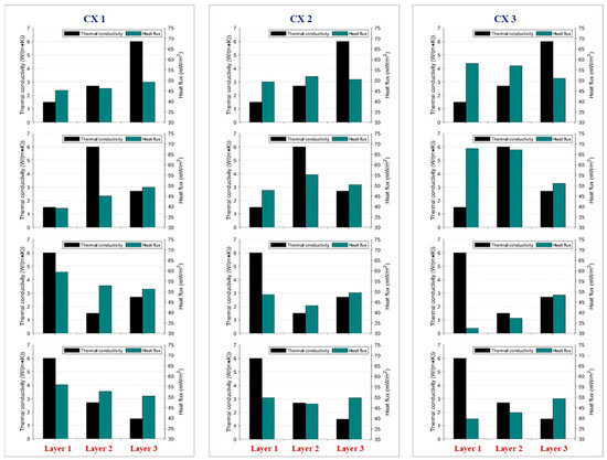
4.2. Analysis of the Thermal Conductivity–Heat Flux Relationship Across Different Formations
5. Conclusions
Author Contributions
Funding
Data Availability Statement
Conflicts of Interest
References
- Esen, H.; Inalli, M.; Esen, M. Numerical and experimental analysis of a horizontal ground-coupled heat pump system. Build. Environ. 2007, 42, 1126–1134. [Google Scholar] [CrossRef]
- Balbay, A.; Esen, M. Temperature distributions in pavement and bridge slabs heated by using vertical ground-source heat pump systems. Acta Sci. Technol. 2013, 35, 677–685. [Google Scholar] [CrossRef]
- Gharibi, S.; Mortezazadeh, E.; Bodi, S.J.H.A.; Vatani, A. Feasibility study of geothermal heat extraction from abandoned oil wells using a U-tube heat exchanger. Energy 2018, 153, 554–567. [Google Scholar] [CrossRef]
- Nian, Y.-L.; Cheng, W.-L. Evaluation of geothermal heating from abandoned oil wells. Energy 2018, 142, 592–607. [Google Scholar] [CrossRef]
- Sayigh, A. Renewable energy—The way forward. Appl. Energy 1999, 64, 15–30. [Google Scholar] [CrossRef]
- Gupta, H.K.; Roy, S. Geothermal Energy: An Alternative Resource for the 21st Century; Elsevier: Amsterdam, The Netherlands, 2006. [Google Scholar]
- Adams, B.M.; Kuehn, T.H.; Bielicki, J.M.; Randolph, J.B.; Saar, M.O. On the importance of the thermosiphon effect in CPG (CO2 plume geothermal) power systems. Energy 2014, 69, 409–418. [Google Scholar] [CrossRef]
- Aliyu, M.D.; Chen, H.-P. Sensitivity analysis of deep geothermal reservoir: Effect of reservoir parameters on production temperature. Energy 2017, 129, 101–113. [Google Scholar] [CrossRef]
- Arat, H.; Arslan, O. Exergoeconomic analysis of district heating system boosted by the geothermal heat pump. Energy 2017, 119, 1159–1170. [Google Scholar] [CrossRef]
- Liu, Y.; Hou, J.; Zhao, H.; Liu, X.; Xia, Z. A method to recover natural gas hydrates with geothermal energy conveyed by CO2. Energy 2018, 144, 265–278. [Google Scholar] [CrossRef]
- Tester, J.W.; Anderson, B.J.; Batchelor, A.; Blackwell, D.; DiPippo, R.; Drake, E.; Garnish, J.; Livesay, B.; Moore, M.; Nichols, K.; et al. The future of geothermal energy. Mass. Inst. Technol. 2006, 358, 1–3. [Google Scholar]
- Wu, J.; Huang, X.; Huang, G.; Peng, R.; Zhou, W. Status and prospects of electromagnetic method used in geothermal resources exploration. Acta Geosci. Sin. 2023, 44, 191–199. [Google Scholar]
- Li, Q.; Wu, J.; Li, Q.; Wang, F.; Cheng, Y. Sediment instability caused by gas production from hydrate-bearing sediment in Northern South China Sea by horizontal wellbore: Sensitivity analysis. Nat. Resour. Res. 2025, 34, 1667–1699. [Google Scholar] [CrossRef]
- Li, Q. Reservoir Science: A multi-coupling communication platform to promote energy transformation, climate change and environmental protection. Reserv. Sci. 2025, 1, 1–2. [Google Scholar] [CrossRef]
- Lee, K.S. Effects of regional groundwater flow on the performance of an aquifer thermal energy storage system under continuous operation. Hydrogeol. J. 2014, 22, 251–262. [Google Scholar] [CrossRef]
- Chapman, D.S.; Rybach, L. Heat flow anomalies and their interpretation. J. Geodyn. 1985, 4, 3–37. [Google Scholar] [CrossRef]
- Zhou, J.; Hu, X.; Cai, H. Three-dimensional finite-element analysis of magnetotelluric data using Coulomb-gauged potentials in general anisotropic media. Pure Appl. Geophys. 2021, 178, 4561–4581. [Google Scholar] [CrossRef]
- Rybach, L.; Bodmer, P.; Pavoni, N.; Mueller, S. Siting criteria for heat extraction from hot dry rock; Application to Switzerland. Pure Appl. Geophys. 1978, 116, 1211–1224. [Google Scholar] [CrossRef]
- Mao, X. Genetic mechanism and distribution characteristics of high temperature anomaly in geothermal field. Acta Geosci. Sin. 2018, 39, 216–224. [Google Scholar]
- Berktold, A. Electromagnetic studies in geothermal regions. Geophys. Surv. 1983, 6, 173–200. [Google Scholar] [CrossRef]
- Urzua, L.; Powell, T.; Cumming, W.B.; Dobson, P. Apacheta, a New Geothermal Prospect in Northern Chile. 2002. Available online: https://www.osti.gov/biblio/815476 (accessed on 11 September 2025).
- Oskooi, B.; Pedersen, L.B.; Smirnov, M.; Árnason, K.; Eysteinsson, H.; Manzella, A.; Group, D.W. The deep geothermal structure of the Mid-Atlantic Ridge deduced from MT data in SW Iceland. Phys. Earth Planet. Inter. 2005, 150, 183–195. [Google Scholar] [CrossRef]
- Wang, L.S.; Liu, S.W.; Xiao, W.Y.; Li, C.; Li, H.; Guo, S.P.; Liu, B.; Luo, Y.H.; Cai, D.S. Distribution characteristics of terrestrial heat flow in Bohai Bay Basin. Chin. Sci. Bull. 2002, 47, 151–155. [Google Scholar]
- Roy, R.F.; Blackwell, D.D.; Decker, E.R. Continental heat flow. In The Nature of the Solid Earth; McGraw-Hill: Columbus, OH, USA, 1972; pp. 506–543. [Google Scholar]
- Villas, R.; Norton, D. Irreversible mass transfer between circulating hydrothermal fluids and the Mayflower stock. Econ. Geol. 1977, 72, 1471–1504. [Google Scholar] [CrossRef]
- Medina Martínez, F. Applications of continuum physics to geological problems/DL Turcotte y G. Schubert. Geofis. Int. 1986, 25, 475–476. [Google Scholar] [CrossRef]
- McBirney, A.R. Igneous Petrology; Jones & Bartlett Learning: Burlington, MA, USA, 1993. [Google Scholar]
- Gao, Z.J.; Wu, L.J.; Cao, H. The Summarization of Geothermal Resources and Its Exploitation and Utilization in Shandong Province. J. Shandong Univ. Sci. Technol.-Nat. Sci. 2009, 28, 1–7. [Google Scholar]
- Mao, X.P.; Chen, X.R. Discussion on Heat Flow Distribution Characteristics and Terrestrial Heat Flow. Coal Geol. China 2025, 37, 1–9. [Google Scholar]
- Huang, G.; Hu, X.; Cai, J.; Ma, H.; Chen, B.; Liao, C.; Zhang, S.; Zhou, W. Subsurface temperature prediction by means of the coefficient correction method of the optimal temperature: A case study in the Xiong’an New Area, China. Geophysics 2022, 87, B269–B285. [Google Scholar] [CrossRef]
- Huang, G.; Hu, X.; Liu, S.; Peng, R.; Zhou, J.; Bai, N.; Liu, L.; Mu, M. Deep temperature-field prediction utilizing the temperature–pressure-coupled resistivity model: A case study in the Xiong’an new area, China. IEEE Trans. Geosci. Remote Sens. 2023, 62, 1–16. [Google Scholar] [CrossRef]
- Fang, L. Heat Transfer Analysis and Application of Deep Borehole Heat Exchanger in Ground Source Heat Pump System. Ph.D. Thesis, Shandong Jianzhu University, Jinan, China, 2018. [Google Scholar]
- Zhang, W.; Wang, J.; Zhang, F.; Lu, W.; Cui, P.; Guan, C.; Yu, M.; Fang, Z. Heat transfer analysis of U-type deep borehole heat exchangers of geothermal energy. Energy Build. 2021, 237, 110794. [Google Scholar] [CrossRef]
- Huang, G.; Hu, X.; Ma, H.; Liu, L.; Yang, J.; Zhou, W.; Liao, W.; Bai, N. Optimized geothermal energy extraction from hot dry rocks using a horizontal well with different exploitation schemes. Geotherm. Energy 2023, 11, 5. [Google Scholar] [CrossRef]
- Xu, S.Z. The Finite Element in Geophysics; Science Press: Beijing, China, 1994. [Google Scholar]
- Freymark, J.; Sippel, J.; Scheck-Wenderoth, M.; Bär, K.; Stiller, M.; Fritsche, J.-G.; Kracht, M. The deep thermal field of the Upper Rhine Graben. Tectonophysics 2017, 694, 114–129. [Google Scholar] [CrossRef]
- Cai, H.; Xiong, B.; Han, M.; Zhdanov, M. 3D controlled-source electromagnetic modeling in anisotropic medium using edge-based finite element method. Comput. Geosci. 2014, 73, 164–176. [Google Scholar] [CrossRef]
- Bai, N.; Zhou, J.; Hu, X.; Han, B. 3D edge-based and nodal finite element modeling of magnetotelluric in general anisotropic media. Comput. Geosci. 2022, 158, 104975. [Google Scholar] [CrossRef]
- Yang, J.; Huang, G.; Hu, X. A 3D thermal conductivity prediction method for deep strata based on temperature field estimation. Geophysics 2023, 88, B297–B316. [Google Scholar] [CrossRef]










| Type | ρ1 (W/(m∙K)) | ρ2 (W/(m∙K)) | ρ3 (W/(m∙K)) |
|---|---|---|---|
| A | 1.5 | 2.7 | 6.0 |
| K | 1.5 | 6.0 | 2.7 |
| H | 6.0 | 1.5 | 2.7 |
| Q | 6.0 | 2.7 | 1.5 |
| Depth | Type | Model A | Comparison | Model B |
|---|---|---|---|---|
| 1 km | A | Depression model | < | Uplift model |
| K | < | |||
| H | > | |||
| Q | > | |||
| 2 km | A | < | ||
| K | < | |||
| H | > | |||
| Q | > | |||
| 3 km | A | < | ||
| K | < | |||
| H | > | |||
| Q | > | |||
| 4 km | A | < | ||
| K | < | |||
| H | > | |||
| Q | > | |||
| 5 km | A | < | ||
| K | < | |||
| H | > | |||
| Q | > | |||
| 6 km | A | < | ||
| K | < | |||
| H | > | |||
| Q | > |
Disclaimer/Publisher’s Note: The statements, opinions and data contained in all publications are solely those of the individual author(s) and contributor(s) and not of MDPI and/or the editor(s). MDPI and/or the editor(s) disclaim responsibility for any injury to people or property resulting from any ideas, methods, instructions or products referred to in the content. |
© 2025 by the authors. Licensee MDPI, Basel, Switzerland. This article is an open access article distributed under the terms and conditions of the Creative Commons Attribution (CC BY) license (https://creativecommons.org/licenses/by/4.0/).
Share and Cite
Chi, P.; Huang, G.; Liu, L.; Yang, J.; Wang, N.; Jing, X.; Zhou, J.; Bai, N.; Ding, H. Deep Temperature and Heat-Flow Characteristics in Uplifted and Depressed Geothermal Areas. Energies 2025, 18, 5610. https://doi.org/10.3390/en18215610
Chi P, Huang G, Liu L, Yang J, Wang N, Jing X, Zhou J, Bai N, Ding H. Deep Temperature and Heat-Flow Characteristics in Uplifted and Depressed Geothermal Areas. Energies. 2025; 18(21):5610. https://doi.org/10.3390/en18215610
Chicago/Turabian StyleChi, Pengfei, Guoshu Huang, Liang Liu, Jian Yang, Ning Wang, Xueting Jing, Junjun Zhou, Ningbo Bai, and Hui Ding. 2025. "Deep Temperature and Heat-Flow Characteristics in Uplifted and Depressed Geothermal Areas" Energies 18, no. 21: 5610. https://doi.org/10.3390/en18215610
APA StyleChi, P., Huang, G., Liu, L., Yang, J., Wang, N., Jing, X., Zhou, J., Bai, N., & Ding, H. (2025). Deep Temperature and Heat-Flow Characteristics in Uplifted and Depressed Geothermal Areas. Energies, 18(21), 5610. https://doi.org/10.3390/en18215610

