Next Article in Journal
Assessment Methods for DC Stray Current Corrosion Hazards in Underground Gas Pipelines: A Review Focused on Rail Traction Systems
Previous Article in Journal
Exploring Cost–Comfort Trade-Off in Implicit Demand Response for Fully Electric Solar-Powered Nordic Households
Previous Article in Special Issue
Multiscale Pore Architecture and Its Influence on Porosity, Permeability, and Fluid Flow in Tight Gas Reservoirs of the Shihezi H8 Formation, Ordos Basin
 
 
Font Type:
Arial Georgia Verdana
Font Size:
Aa Aa Aa
Line Spacing:
Column Width:
Background:
Article

Flow–Solid Coupled Analysis of Shale Gas Production Influenced by Fracture Roughness Evolution in Supercritical CO2–Slickwater Systems

1
Chongqing Key Laboratory of Complex Oil and Gas Field Exploration & Development, Chongqing University of Science and Technology, Chongqing 401331, China
2
Chongqing Key Laboratory of Heavy Oil Exploitation, Chongqing University of Science and Technology, Chongqing 401331, China
3
China National Offshore Oil Corporation (Tianjin Branch), Tianjin 300459, China
4
Departament de Física de la Matèria Condensada, Facultat de Física, Universitat de Barcelona, Martí i Franquès 1, 08028 Barcelona, Spain
5
Shale Gas Exploration and Development Co., Ltd., SINOPEC, Chongqing 408014, China
*
Author to whom correspondence should be addressed.
Energies 2025, 18(21), 5569; https://doi.org/10.3390/en18215569
Submission received: 13 August 2025 / Revised: 11 September 2025 / Accepted: 28 September 2025 / Published: 23 October 2025

Abstract

With the increasing global demand for energy, the development of unconventional resources has become a focal point of research. Among these, shale gas has drawn considerable attention due to its abundant reserves. However, its low permeability and complex fracture networks present substantial challenges. This study investigates the composite fracturing technology combining supercritical CO2 and slickwater for shale gas extraction, elucidating the mechanisms by which it influences shale fracture roughness and conductivity through an integrated approach of theory, experiments, and numerical modeling. Experimental results demonstrate that the surface roughness of shale fractures increases markedly after supercritical CO2–slickwater treatment. Moreover, the dynamic evolution of permeability and porosity is governed by roughness strain, adsorption expansion, and corrosion compression strain. Based on fluid–solid coupling theory, a mathematical model was developed and validated via numerical simulations. Sensitivity analysis reveals that fracture density and permeability have a pronounced impact on shale gas field productivity, whereas fracture dip angle exerts a comparatively minor effect. The findings provide a theoretical basis for optimizing composite fracturing technology, thereby enhancing shale gas extraction efficiency and promoting effective resource utilization.

1. Introduction

With the increasing global demand for energy, the development of unconventional resources has become a critical research focus in the energy sector [1]. Among these resources, shale gas reservoirs have garnered significant attention due to their abundant reserves and wide distribution [2,3]. However, the low permeability and complex fracture networks of shale gas reservoirs pose significant challenges to their development. Effectively improving the recovery rate of shale gas has become an urgent problem for researchers.
In recent years, the energy industry has been encouraged to recycle CO2, particularly by applying supercritical CO2 to shale gas development, to achieve dual benefits of resource utilization and environmental protection [4,5,6]. Under the high-temperature and high-pressure conditions of deep shale gas reservoirs, CO2 readily reaches the supercritical state [7], exhibiting characteristics such as high density, high permeability, and low fracture initiation pressure [8,9,10]. These properties facilitate the formation of more complex fracture networks within the reservoir. Li et al. proposed a composite fracturing technology based on supercritical CO2 and slickwater [11]. Field experiments conducted by Yanchang Petroleum in 2017 demonstrated that this composite fracturing technology significantly outperforms conventional large-scale hydraulic fracturing, achieving a reformed reservoir volume that is larger and more complex. This approach can increase production capacity by 3–5 times. The mechanism of supercritical CO2–slickwater–shale interaction is one of the key scientific issues underlying this composite fracturing technology. Supercritical CO2 and slickwater induce changes in the geometry of shale fractures and the shale matrix, which, in turn, affect the hydrodynamic behavior and pressure distribution within the fractures.
By exposing shale specimens to supercritical CO2, Ozotta et al. [12] found that supercritical CO2-induced changes can weaken shale by reducing its modulus of elasticity and increasing its Poisson’s ratio, ultimately leading to a loss of the shale’s mechanical properties. Lu et al. [13], using magnetic resonance imaging (MRI), unconfined compressive strength (UCS), and acoustic emission (AE) experiments on shale treated with supercritical CO2, demonstrated reductions in the uniaxial compressive strength and Young’s modulus of the shale. Zhang et al. [14] showed that increasing the clay mineral content to a certain level significantly mitigates the adverse effects of hydration on the rock. Wang et al. [15] found that the action of slickwater leads to the softening of shale fractures and a significant reduction in the effective conductivity of the fractures, ultimately decreasing gas production. These studies separately investigated the effects of supercritical CO2 and slickwater on shale, revealing how supercritical CO2 significantly alters the mineral composition, pore structure, fracture characteristics, and mechanical behavior of shale, such as reducing the content of carbonate minerals and altering compressive strength and elastic modulus. Similarly, the hydration effect of slickwater significantly influences the mechanical and flow properties of shale. However, there is a lack of research simultaneously considering the interaction mechanisms between supercritical CO2, slickwater, and shale.
In terms of fracture inflow, Liu et al. [16] found that in a supercritical CO2 environment, the equivalent hydraulic aperture of vertical shear fracture is higher than that of parallel shear fracture at low effective stress; at this time, the vertical shear has stronger inflow capacity, and with the increase of effective stress, the parallel shear fracture has stronger inflow capacity. Wang et al. [17] found that supercritical CO2 can cause significant changes in fracture aperture compared with primary core by injecting supercritical CO2 into Niobrara shale core for fracturing and found that more natural fracture channels were formed by CT scanning experiments. It was found that supercritical CO2 could cause significant changes in fracture apertures, and through CT scanning experiments, it was found that supercritical CO2 opened more natural fracture channels, forming a fracture network with complexity compared to that of the primary core. In order to reveal the fracture inflow behavior even further, Figueiredo et al. [18], by numerically investigating the fractured rock body below 1000 m, found that the changes in the local stress and stress ratio distribution are anisotropic due to different fluid pore pressure levels, and that the equivalent permeability of the fractured rock body is the most sensitive to the normal stiffness of the fracture, the permeability in the tensile damage zone, and the power-law exponent of the change in permeability. Based on the Nierode-Kruk model, Lu et al. [19] considered factors such as closure stress, rock mechanical properties, and fracture surface roughness, and found that the morphology and roughness of the fractures were crucial for calculating the fracture conductivity of shale. The above studies mainly focus on the influencing factors of shale fracture inflow capacity, and studies on the mechanism of supercritical CO2 and slickwater interaction with shale fracture are still limited; in particular, research on the coupling effect of flow and solid under the complex reservoir conditions needs to be further deepened.
This study employs a combination of “theory + experiment + numerical modeling” to conduct XRD, three-dimensional morphology scanning, and gas conduction experiments. By analyzing the geometric characteristics of shale fractures and the changing hydraulic apertures of fractures before and after the action of supercritical CO2 and slickwater, a shale fracture roughness deformation model was established. Using numerical simulations, the multi-physics field was solved to investigate the changes in fracture inflow capacity and their impact on the yield of shale gas reservoirs under different fracture roughness conditions. This comprehensive approach reveals the effects of supercritical CO2 and slickwater on the inflow characteristics of shale fractures, providing a theoretical basis for understanding the mechanisms behind composite fracturing technology.

2. Effect of Supercritical CO2 and Slickwater on Shale Fracture Aperture

2.1. Experimental Equipment and Methods

The shale samples utilized in this study were collected from the Lower Silurian Longmaxi Formation in the southeastern Sichuan Basin, China. The sides and ends of the test specimens were wrapped with tape, leaving only the fracture surfaces exposed to ensure full immersion. The test samples were first immersed in slickwater at a constant temperature of 40 °C for 5 days. Subsequently, the supercritical CO2 injection pressure was set at 15 MPa, with the water bath temperature maintained at 60 °C, and the immersion time was also 5 days. Due to the presence of high and low roughness bumps on the shale fracture surfaces, direct analysis using a fixed method was not feasible. Therefore, the fracture surfaces of each specimen were scanned for 3D morphology [20], and the joint roughness coefficient (JRC) was used to quantitatively characterize the surface roughness of the fractures (Table 1). A1 is the projected area in mm2, A2 is the actual area in mm2, ΔA is the area ratio, ΔH is the difference in height of the projection in mm, as follows:
e h = e m 2 J R C 2.5
where em and eh are the fracture mechanical tension and fracture equivalent hydraulic aperture in m, respectively.
Subsequently, the gas inflow experiment was conducted using a fracture inflow capacity testing device. This device can apply a maximum axial pressure of 2000 kN, a maximum peripheral pressure of 50 MPa, and a flow rate ranging from 0 to 20 mL/min. To ensure the accuracy of the experimental data, nitrogen was selected as the flow-conducting medium because it does not react with shale and is not adsorbed onto the pore space surface. During the experiment, the gas pressure was gradually increased from 0 to 0.2 MPa, and the total effective stress values for the experiment were set as follows: 1 MPa, 2 MPa, 4 MPa, 6 MPa, 8 MPa, 12 MPa, 16 MPa, 20 MPa, and 25 MPa.

2.2. Shale Fracture Aperture Variation

It has been confirmed that there is a significant correlation between the fracture hydraulic aperture and the roughness. To further illustrate the effect of the nodal roughness coefficient (JRC) [21] on the equivalent hydraulic apertures, Equation (2) and the experimental results obtained in this study were used for fitting (Table 2). As can be observed from Table 2, the ratio of the nodal roughness coefficient (JRC) to the equivalent hydraulic aperture increases progressively with rising effective stress in shale fractures treated with supercritical CO2 and slickwater, as follows:
e h = e i × J R C c i σ n d i + σ n + f i
where ci, di, ei, and fi are the fitting parameters.

3. Numerical Simulation Methods

3.1. Theoretical Model

3.1.1. Model Hypothesis

In this work, the modeling assumptions are as follows: (1) The gases contained in the shale pores are ideal, with constant viscosity, and the shale matrix is saturated with shale gas [22]. The adsorption of gases by the shale follows the Langmuir equation, and both shale gas and CO2 are considered ideal gases. (2) Strain occurring in shale is non-negligible, and the shale is modeled as a transversely isotropic elastoplastic porous medium [23]. (3) Shale reservoirs are fractured reservoirs consisting of a matrix–system.

3.1.2. Non-Linear Medium Models

According to the nonlinear medium flow theory [24], the gas percolation equation in the matrix is as follows:
t ρ g φ + 1 φ ρ s ρ g s c p V L p + P L + ρ g 2 k 0 μ g 1 + 1 + 4 ρ g β k 0 / μ g 2 p 1 c 1 p q c 2 p = ρ g q w
The gas seepage equations in microfractures and in hydraulic fractures are as follows:
t ρ g φ + ρ g 2 k 0 μ g 1 + 1 + 4 ρ g β k 0 / μ g 2 p 1 c 1 p q c 2 p = ρ g q w
d f ρ g φ f t d f ρ g 2 k f 0 μ g 1 + 1 + 4 ρ g β k 0 / μ g 2 p 1 c 1 p q c 2 p = d f ρ g q w f
where ρg is the gas density in kg/m3; φ is the porosity; ρs is the rock density in kg/m3; ρgsc is the mass density of natural gas under standard conditions in kg/m3; p is the pore pressure in Pa; VL is the Langmuir volume in m3/kg; PL is the Langmuir pressure in Pa; k0 is the initial permeability in m2; μg is the gas viscosity in Pa·s; β is the Darcy–Forchheimer coefficient; c1 and c2 are the nonlinear fitting parameters; ∇pq is the initiating pressure gradient in MPa/m; qw is the source or sink of gas in kg/(m3·s); qwf is the source or sink of fracture gas in kg/(m3·s); df is the fracture aperture in m; and φf is the fracture porosity.

3.1.3. Shale Fracture Roughness Model

Based on the equivalent hydraulic apertures model and the porosity definition [25], p/ks and JRC were fitted with eh to establish a statistical relationship. Through analysis of experimental data, we derived the supercritical CO2–slickwater-induced deformation model for shale fractures with different roughness under varying JRC conditions as follows:
ε J R C = 0.017286 × ln p k s 0.13932 + 0.0017882 J R C
where εJRC is the roughness strain and ks is the shale skeleton modulus in MPa. Roughness strain is a physical quantity derived from the fitting of experimental data.
The roughness deformation model can be written as follows:
ε J R C = a J ln p k s + b J + c J J R C
where aJ = −0.017286, bJ = −0.13932, cJ = 0.0017882, is the roughness coefficient.
Combined with the definition of relative roughness, the supercritical CO2–slickwater modified deformation model for different shale fracture roughness under different relative roughness is obtained according to the geometric equation:
Δ J R C = e 4.4133 + 0.38664 p
Combined with Equation (2), the roughness deformation model can be written as:
ε J R C = a J ln p k s + b J + c J J R C e d J + e J p k s
where dJ = −4.4133 and eJ = 0.38664 is the corrected roughness coefficient after the effect of supercritical CO2–slickwater.

3.1.4. Controlling Equations for Shale Matrix Deformation

Porosity and permeability are critical physical parameters for describing shale deformation and shale gas flow [26]. They are dynamically related to shale deformation and shale gas pressure [27]. When shale is subjected to disturbances, it undergoes deformation and damage, leading to changes in porosity and permeability. In engineering practice, the primary deformations in shale result from pressure-induced stress, adsorptive expansion stress [27], and corrosion pressure [28]. However, in the supercritical CO2–slickwater system, shale roughness deformation varies significantly under different pressures [21]. The nonlinear flow characteristics within fractures are essential for accurately understanding and simulating fluid behavior in this complex multiphase system. These characteristics directly influence the fluid pressure distribution and flow paths, which, in turn, affect effective stresses in the reservoir and the dynamics of the fractures. Therefore, roughness-induced deformations must be considered. The deformation process is assumed to occur under isothermal conditions. Accordingly, the change in the amount of shale solid particles is expressed as [29]:
n = V p V b = V p 0 + Δ V p V b 0 + Δ V b = 1 V s 0 + Δ V s V b 0 + Δ V b = 1 1 n 0 1 + ε V 1 + Δ V s V s 0
where Vp is the shale pore volume, Vb is the total volume of shale, Vp0 is the initial pore volume of shale, Vb0 is the initial total volume of shale, n0 is the initial porosity, V is the shale volumetric strain, and V s is the volume of a solid skeleton in a porous medium.
Pressure-induced shale deformation is as follows:
ε p = Δ p k s
where εp is the strain caused by CO2 pressure in %, Δp is the CO2 change value in MPa, and ks is the solid skeleton modulus of shale in MPa.
Shale deformation due to adsorption expansion is [30] as follows:
ε s = 2 a s R T 3 V m k s ln 1 + b s p
where εs is the adsorption expansion strain in %, as is the limit adsorption capacity in m3/t, bs is the adsorption constant in MPa−1, R is the gas molar constant, T is the shale temperature in K.
Corrosion-induced shale deformation is [28] as follows:
ε r = a r ln p k s + b r
where εr is the corrosion compression strain in %, ar and br are the corrosion constants, p is pore pressure in MPa.
Roughness-induced shale deformation is as follows:
ε J R C = a J ln p k s + b J + c J J R C e d J + e J p k s
Combined with Equations (9)–(14), the porosity expression is as follows:
n = 1 1 n 0 1 + ε V 1 ε p + ε s w ε r ε J R C
The Kozeny–Carman equation combined with the porosity expression leads to the shale solid permeability expression of [31,32] as follows:
k = k 0 1 + ε V 1 + ε V + ε p ε s + ε r + ε J R C 1 n 0 n 0 3
where k0 is the initial permeability of shale containing supercritical CO2 and slickwater.
Assuming that shale behaves as an elastomer with uniform mechanical properties [33], its pore pressure is equal in all directions. Consequently, the shale experiences uniform stress in all directions. Furthermore, its relationship with force follows Hooke’s law [34]. Based on these assumptions, the adsorption expansion stress [35], corrosion compression stress, and roughness deformation stress of shale can be calculated using the following formula:
σ s = E ε s = 2 E a s R T 3 V m k s ln 1 + b s p
σ r = E ε r = E a r ln p k s + b r
σ J R C = E ε J R C = E a J ln p k s + b J + c J J R C e d J + e J p k s
where E is the elastic modulus of shale in MPa.
According to the effective stress principle, and considering the stresses induced by adsorption, corrosion, and roughness deformation, the effective stress equation for supercritical CO2–slickwater-bearing shale can be expressed as follows [32]:
σ i j = σ i j α p δ i j σ s δ i j σ r δ i j σ J R C δ i j
where σ i j is the effective stress of shale containing supercritical CO2 and slickwater in MPa; σ i j is the overall stress of shale containing supercritical CO2 and slickwater in MPa; and α is the Biot coefficient.
Assuming that the supercritical CO2–slickwater-bearing shale is an isotropic linear elastic medium, the variation of the stress field is given by the following equation:
σ i j , j + F i = 0
where Fi is the bulk stress in N/m3.
Substituting Equations (16)–(20) into Equation (21) yields:
σ i j , j + α p δ i j , j + σ s σ i j , j + σ r σ i j , j + σ J R C σ i j , j + F i = 0
Geometric equation as follows:
ε i j = 1 2 u i , j + u j , i
Stress–strain relationship as follows:
According to the basic assumptions of the model, shale follows the generalized Hooke’s law during elastic deformation as follows:
σ i j = λ δ i j ε V + 2 G ε i j
where λ is the Lame constant, G is the modulus of shear, and δij is the Kroeker number.
The main factors contributing to shale deformation include geopathic stress, supercritical CO2–slickwater system pressure, adsorption expansion stress, corrosion compression stress, and roughness deformation stress. Accordingly, shale strain can be expressed as follows:
G 1 2 ν u j , j i + G u i , j j + α + 2 G 3 k s p , i + 2 E 3 4 G 9 a s b s ρ s R T V m k s 1 + b s p p , i + E + 2 G 3 a r + a J p + c J J R C e J e e J p k s p , i + F i = 0
where ν is the Poisson’s ratio.

3.1.5. Coupled Solution Methods

This work proposes and implements a coupled solver approach that combines the advanced capabilities of COMSOL Multiphysics 6.1 for stress field modeling with the efficiency of the Matlab Reservoir Simulation Toolbox (MRST v1.2; SINTEF Digital, Trondheim, Norway) for seepage field analysis (Figure 1). The primary foundational models include the embedded discrete fracture model (EDFM), the nonlinear dual-medium model, and the roughness deformation model. The core methodology involves coupling the stress-field-enabled EDFM grid constructed in MRST with the flow field in COMSOL, followed by validation against field data and the flow field in MRST. If the results align, a C-R model is successfully established; otherwise, model parameters are iteratively adjusted.

3.2. Geometrical Modelling and Boundary Conditions

The model dimensions are 1200 × 300 × 90 m, containing a total of 28 hydraulic fractures. The boundary conditions for the supercritical CO2–slickwater–shale reservoir are defined as follows: (1) uniaxial strain, (2) constant overburden stress at the upper boundary, (3) wellbore pressure applied at the wellbore boundary, and (4) no-flow conditions at the other boundaries. The basic reservoir parameters are listed in Table 3, and four characteristic monitoring points were selected, as summarized in Table 4. To ensure numerical robustness and reproducibility, we expanded the description of the C–R algorithm in the revised manuscript. The coupled solver proceeds iteratively by first updating the stress field using COMSOL, followed by updating the flow field using MRST, and finally performing a coupling correction step. This sequence is repeated until convergence is reached at each time step. Convergence is achieved when the relative residuals of both pressure and displacement fall below 10−5; in practice, 5–10 iterations per time step were typically sufficient. In addition, a grid sensitivity analysis was performed with coarse (Δx = 10 m), medium (Δx = 5 m), and fine (Δx = 2 m) meshes. The resulting difference in cumulative production was within 3%, confirming that the simulation results are stable and not significantly affected by grid resolution. These details collectively strengthen the transparency and reliability of the numerical methodology.

3.3. Validation of the Model

The analyses in Figure 2 demonstrate that the modeled production captures the overall trend of the measured field data obtained from a shale gas well in the Lower Silurian Longmaxi Formation (Sichuan Basin, China). For the first 200 days, the simulated results agree closely with the observed production, while during 200–1600 days the model slightly overestimates production. Nevertheless, the overall trend remains consistent with field measurements. To quantitatively validate the model, the root mean square errors (RMSE) were calculated, yielding values of 80.5%, which confirm a high level of agreement. The slight overprediction in the mid-to-late stage may be attributed to the presence of water in the shale matrix, which acts as a temporary barrier to gas flow. Flowback water suppresses production during the initial stage, leading to lower measured values compared to the simulation. As production continues and the residual water is gradually removed, shale gas dominates the reservoir, resulting in slightly higher simulated values during later periods. Moreover, the pressure drop behavior at monitoring points A–D provides additional evidence of model validity. Point B exhibits the fastest pressure decline, followed by points A, C, and D. This reflects the strong conductivity of the fracture network: point B lies between two hydraulic fractures and is influenced by both, while point A is affected by only one. In the early production stage (first 50 days), the pressure at point B decreased only slightly, indicating that the stimulated reservoir volume (SRV) region between two fractures was the most effective in sustaining fluid mobility. In contrast, point A, with one side bounded by undisturbed matrix, showed a different depletion trend. The total volumetric strain (εV), incorporating adsorption, pressure-induced deformation, corrosion, and roughness deformation, further explains variations in the rate of pressure decline.

4. Results

4.1. Reservoir Pressure Evolution

During the early stages of extraction, the high permeability of the hydraulically fractured region, driven by differential pressure, creates a significant pressure gradient in the adjacent simulated region. As fluid within the hydraulic fracture continues to discharge, the pressure in this region decreases until it reaches equilibrium with the bottomhole pressure. This prompts the surrounding fluid to gradually migrate toward the fracture region, triggering a pressure reduction in the areas adjacent to the hydraulic fracture. As the extraction process progresses, the pressure across the entire reservoir exhibits a decreasing trend. Fluids in the shale matrix system, located at the far end of the hydraulic fracture, begin to flow toward the fracture area. With the continued drop in reservoir pressure, gas originally adsorbed on the matrix surface desorbs and migrates into pores and microfractures. Additionally, the fracture and its controlled stimulated reservoir volume (SRV) region show a faster rate of pressure reduction, with pressures in this region significantly lower than those in the non-SRV region. This phenomenon likely results from the higher permeability of the microfractures compared to the matrix, causing the reduction in gas pressure within the matrix to lag behind the microfracture system. When the pressure in the area around the hydraulic fracture decreases significantly, the pressure in the SRV region under its control also drops rapidly (Figure 3).

4.2. Multiple Strain Evolution

The simulation results indicate that all types of strain decrease over time during the gas production process. However, the adsorbed strain at characteristic point B is lower than that at characteristic point A due to the influence of the hydraulic fracture in the stimulated reservoir volume (SRV) region. This suggests that locations farther from the fracture region and undisturbed by fractures are more influenced by adsorbed gases in the primary pore matrix, which impacts extraction efficiency. Additionally, as shale gas continues to be extracted, the effective stress in the shale matrix increases, leading to further compaction of the natural pores and fractures within the matrix (Figure 4).

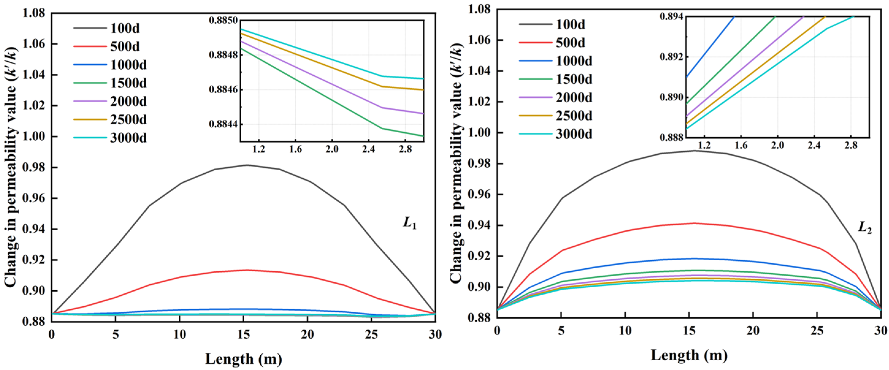
4.3. Permeability Evolution

Figure 5 shows that the permeability decreases faster from 0 to 500 days, which is mainly due to the high permeability of the fracture region, resulting in a large amount of fluid being rapidly extracted, while the matrix around the hydraulic fracture desorbs gas in the microfracture and seeps into the fracture, leading to a decrease in gas pressure, which in turn leads to a pressure strain, and is accompanied by the dual effects of the corrosive effect of supercritical CO2 on the shale and the alteration of the fracture roughness after its action, which further weakened the permeability. From 500 to 1500 days, the decreasing trend of permeability slowed down, and at 3000 days, the final permeability was 95.5% of the initial permeability, although the degree of influence of permeability was small, this weak change had a significant effect on the yield. When the geomechanical effect is not considered, the final cumulative production decreases from 7.29 × 107 m3 to 7.06 × 107 m3 and 6.53 × 107 m3. The difference in yield becomes more and more obvious at different stages of production, especially from the early to the middle and late stages. This is mainly due to the fact that in the early stage of production, gas production is mainly affected by the high conductivity of hydraulic fractures, and as gas production enters the middle and late stages, the migration of gas from the matrix and microfractures to the fractures is intensified, and the complementary effect of gas in the matrix on the production begins to be significant, the supercritical CO2–slickwater modifies the roughness, and the influence of geomechanical factors is also enhanced.
Figure 5 shows that permeability decreases rapidly during the first 0 to 500 days. This is primarily due to the high permeability of the fracture region, which results in a large amount of fluid being rapidly extracted. Simultaneously, the matrix around the hydraulic fracture desorbs gas from microfractures, which seeps into the fracture, leading to a decrease in gas pressure. This drop in pressure induces pressure strain and is accompanied by the dual effects of supercritical CO2 corrosion on the shale and alterations in fracture roughness, further weakening permeability.
From 500 to 1500 days, the rate of permeability decline slows, and by 3000 days, the final permeability stabilizes at 95.5% of the initial permeability. Although the impact on permeability is relatively minor at this stage, even this slight change significantly affects yield. When geomechanical effects are not considered, the final cumulative production decreases from 7.29 × 107 m3 to 7.06 × 107 m3 and 6.53 × 107 m3. The difference in yield becomes increasingly pronounced at different production stages, particularly from the early to the middle and late stages. In the early stages, gas production is primarily driven by the high conductivity of hydraulic fractures. However, as production progresses to the middle and late stages, the migration of gas from the matrix and microfractures to the fractures intensifies. At this point, the complementary effect of gas from the matrix on production becomes significant. Additionally, supercritical CO2–slickwater modifies the roughness, and the influence of geomechanical factors is enhanced.
Based on the shown changes in L2 intercepts, it can be observed that within the SRV zone, which is more influenced by hydraulic fracturing, the permeability shows an overall decreasing trend over time, but in different spatial domains, the permeability shows an evolutionary trend of growth. This phenomenon is attributed to the fact that as the pore pressure decreases over a given period of time, the areas away from the SRV are more influenced by the low porosity and low permeability matrix, and thus the pressure gradient is smaller, resulting in a slower permeability decline that diminishes over time. In contrast, the permeability evolution on the L1 cut-off shows an increasing trend in different spatial domains, but the permeability evolution in the temporal domain does not consistently show a decrease. As seen in the figure, the order of permeability evolution with time is 100 d, 500 d, 1000 d, 1500 d, 2000 d, 2500 d, and 3000 d. This suggests that at 1500 days, the effect of decreasing permeability begins to slow down. It is inferred that at this time, the area where the L1 cutoff is located has gradually changed from a low-pressure area to an area close to the bottomhole pressure, while microfractures in the distant matrix continue to deliver gas to the area to replenish the pressure, and thus the permeability gradually increases at this time period with the advancement of time (Figure 6).

4.4. Roughness Effects

Figure 7 highlights a significant difference in the final cumulative reservoir production between scenarios that account for the influence of the JRC and those that do not. Both scenarios indicate that, in the early stages of extraction, fracture roughness is modified by the effects of supercritical CO2–slickwater, which creates additional seepage channels and enhances production. Under conditions of high fracture aperture (wf = 0.002 m), a larger volume of supercritical CO2–slickwater can enter the fracture channels, reducing seepage obstructions and facilitating greater extraction of shale gas from the formation. Conversely, under conditions of low fracture aperture (wf = 0.0005 m), a significant portion of the supercritical CO2–slickwater becomes trapped in the formation without entering the fractures. This retention further blocks the already low-permeability channels, impeding fluid flow and negatively impacting production.

5. Discussion

In the actual process of shale gas reservoir extraction and production, the diversity of reservoir conditions results in significant variations in the roughness of hydraulic fractures formed after fracturing. These variations are influenced by both geomechanics and the fracturing process. In real reservoirs, the fracture network comprises numerous natural and hydraulic fractures, which directly affect the seepage characteristics of the reservoir. Specifically, the total number of natural fractures per unit area in the shale gas reservoir is used to characterize fracture density, serving as the basis for simulation. To enhance computational efficiency, a model size reduced to 1/10 of the original was selected for the simulation.

5.1. Effect of Fracture Characteristics on Yield

5.1.1. Fracture Permeability and Fracture Density

In this study, two key parameters in shale gas reservoirs were investigated: natural fracture permeability and density. The permeability was set to vary between 1 and 100 × 10−15 m2, while the density ranged from 0 to 0.24 m−2. According to Figure 8, the following observations can be made: An increase in fracture density leads to higher cumulative production, indicating that fracture density is directly related to the number of gas release channels, effectively improving the development efficiency of the gas reservoir [36]. The permeability of natural fractures plays a critical role in modulating the impact of fracture density on production. Under low-permeability conditions, an increase in fracture density has only a limited positive effect on production. Conversely, under high-permeability conditions, an increase in natural fracture density significantly enhances production. These findings suggest that high-permeability fractures effectively promote gas flow, where even small increases in density can result in a substantial rise in yield.

5.1.2. Fracture Density and Fracture Inclination

The model conditions were adjusted to calculate the effect of different combinations of fracture density and tilt angle on the cumulative production of a gas reservoir with a natural fracture permeability of 1 × 10−15 m2. The fracture density gradient was set at 0.04 m−2, ranging from 0 to 0.24 m−2 across six groups. Similarly, the tilt angle gradient was set at 15°, ranging from 0° to 90° across seven groups. According to Figure 9, the cumulative production of the reservoir decreased as the tilt angle increased. Conversely, as fracture density increased, the cumulative production of the shale gas reservoir also increased, further confirming the positive correlation between fracture density and production. The 3D surface map highlights the greater sensitivity of production to changes in tilt angle, indicating that tilt angle has a more pronounced effect on cumulative production. However, as fracture density increased, the impact of tilt angle on production gradually diminished, suggesting that tilt angle has a relatively minor influence in high-density fracture scenarios.

5.1.3. Fracture Permeability and Fracture Inclination Angle

The model conditions were changed to use the natural fracture density of 0.08 mm−2 to calculate the effects of different combinations of tilt angles on the cumulative production of gas reservoirs, in which the tilt angle was 15° as the gradient. According to Figure 10, it can be observed that: the rate of change in the direction of natural fracture permeability was significantly lower than that in the direction of tilt angle, indicating that the tilt angle is more sensitive to the effect of shale gas reservoir production; the cumulative production of shale gas reservoirs showed a decreasing trend with the increase of the tilt angle. As a larger tilt angle may reduce the efficiency of hydraulic fracturing, it affects the effective release and flow of gas; the increase of tilt angle makes the docking of hydraulic fracture and natural fracture more difficult, which affects the flow path of gas; under the condition of high permeability fracture, the adverse effect of tilt angle is more significant; at the same time, when the tilt angle increases, the positive effect of permeability is weakened.

5.1.4. Analysis of the Weighting of Factors

To quantitatively evaluate the impact of factors on shale yield, their contributions can be assessed using analysis of variance (ANOVA). The variance contribution rate and p-value are important indicators for evaluating the influence of factors. The variance contribution rate reflects the relative explanatory power of each factor on the variance of the experimental results; a higher value indicates a more significant effect of the factor on the results. The p-value measures the probability of observing the current results under the null hypothesis (i.e., there is no significant difference in the means of the factors). When the p-value is <0.05 and the variance contribution rate is high, it indicates that the factor has a significant and substantial effect on the results.
Table 5 shows that fracture density had the most significant effect on cumulative yield. It had a variance contribution of 29.98% and a p-value of 2.5 × 10−7 (much less than 0.05), which indicates a statistically significant effect on yield. Higher fracture density may have increased gas or liquid flow paths through the fracture, thus contributing to yield. This result suggests that an appropriate increase in fracture density can effectively increase cumulative yield and is a key factor of interest. Secondly, the variance contribution ratio of fracture permeability was 23.76% with a p-value of 2.16 × 10−6, which was also much less than 0.05, indicating that the effect of fracture permeability on yield was also more significant. Higher fracture permeability implies less resistance to flow of the medium, which can further facilitate the flow and output of resources. Therefore, increasing fracture permeability is one of the effective means to enhance cumulative production. Although it is less influential than fracture density, it still has a significant effect on production. In contrast, the influence of fracture inclination on cumulative production is small. The variance contribution ratio is only 13.23% with a p-value of 0.71, which is higher than 0.05, indicating that it does not statistically significantly affect the production. Although fracture inclination may affect the flow path under certain geological conditions, its effect is limited under the conditions of this simulation. Therefore, more attention to fracture density and permeability can be considered when optimizing gas production schemes in the future, while fracture inclination can be used as a secondary factor.

5.2. Extraction Methods’ Impact on Yield

5.2.1. Effect of Hydraulic Fracture Geometry

Shale gas reservoirs consist of nanopore and microfracture systems, which serve as critical spaces for gas storage. Due to the extremely low porosity and permeability of shale, a significant number of high-permeability fractures created through hydraulic fracturing become essential channels for substantially increasing shale gas production. These include both primary and secondary fractures.
Shale gas production relies heavily on hydraulic fracturing, and different construction parameters result in varying fracture geometries, thereby affecting the productivity of shale gas reservoirs. This study compared and analyzed the developmental effects of six main fracture geometries under conditions of fixed total fracture length, number of fractures, and fracture spacing (Figure 11). By comparing Geometries 1, 3, and 4, it is evident that as the angle between the fracture and the horizontal well decreased, the pressure propagation range also diminished. When the fracture was perpendicular to the horizontal well, the stimulated reservoir volume (SRV) control area formed a rectangular shape. In contrast, when the fracture formed an angle with the horizontal well, the SRV control area became a parallelogram, which was smaller than the rectangular type. Additionally, as the angle between the hydraulic fracture and the horizontal well decreased, the SRV control region reduced further, which is unfavorable for shale gas extraction. Comparing of the pressure distributions for Geometries 5 and 6 reveals that their SRV control regions were essentially identical. However, in the regions at the top or bottom of the fractures, the spacing between the fractures was larger, resulting in a slower pressure drop, which was unfavorable for pressure propagation. Overall, the vertical orientation of hydraulic fractures relative to horizontal wells was advantageous for the development of shale gas reservoirs.
As observed in Geometry 2, this geometry was more favorable for the propagation of gas pressure compared to a symmetrical distribution, as it had a wider control area. Although each fracture was the same length, the longer end of the fracture in Geometry 2 extended connectivity to a more distant area of the wellbore. In contrast, the shorter end compensated for the lack of reservoir connectivity caused by the larger distance between the two longer ends. To verify the size of the controlled SRV region, a pressure value of 10.498 MPa at 1500 days was selected as the node, and contour plots were drawn for different moments with various geometries. These plots were converted to binary images using MATLAB R2017a (The MathWorks, Natick, MA, USA) to estimate the SRV region sizes analyzed in this paper. It was observed that the SRV area sizes ranked in descending order as follows: 2 > 1 > 4 > 5 > 6 > 3. Additionally, Figure 12 confirms the results of the above analysis. The control area of Geometry 1 was slightly smaller than that of Geometry 2, resulting in a slightly lower yield. Geometry 4 cannot effectively control the area due to excessive hydraulic fracture spacing, leading to a lower cumulative yield compared to Geometries 1 and 2. Meanwhile, the cumulative yields of Geometries 5 and 6 were similar, at 7.02 × 107 m3 and 6.99 × 107 m3, respectively. Geometry 3 had the smallest cumulative yield, at 6.67 × 107 m3. These results highlight that different fracture distribution patterns significantly impact shale gas development. In particular, the comparison between Geometries 3 and 4 illustrates that inappropriate inclination does not result in a significant increase in production.

5.2.2. Effect of Complex Fracture Geometry

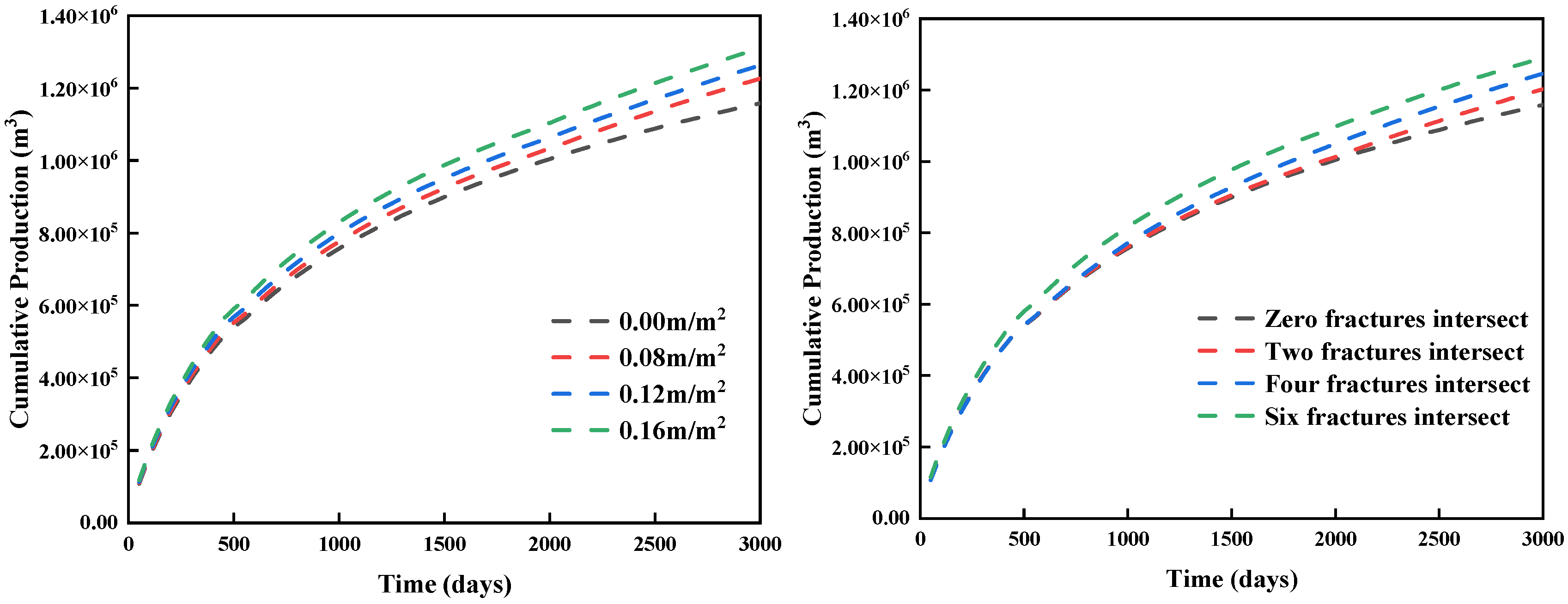
During the composite fracturing process, not only were primary fractures formed, but also multi-stage secondary fractures were generated along with the CO2 phase change releasing energy extension effect. These secondary fractures continued to extend and contact and interact with existing natural fractures in the reservoir, forming a complex fracture network. This fracture network was critical to gas flow and pressure propagation, affecting the efficiency of gas extraction and ultimate yield. And the shape of the fracture network was irregular with multiple directions, which increased the complexity of the fluid flow path. Table 6 further illustrates the dynamic impact of these fracture networks on gas reservoir yield by analyzing the number of crossings between different secondary fractures and hydraulic fractures and the density of different secondary fractures. Using the two models, Geometry 1 and Geometry 2, as a basis, the pressure distributions (under conditions c and f in Table 6) were calculated at different points in time when secondary fractures were considered. Through Figure 13, it can be visualized that the model containing a complex network of secondary fractures has a significant advantage in pressure propagation compared to the model with only primary hydraulic fractures.
The modeling of Geometry 1 and Geometry 2, presented in Figure 14 and Figure 15, reflects the dynamic changes in pressure distribution under different cross-fracture configurations during hydraulic fracturing. The effect of secondary fractures on pressure propagation is revealed as follows: the larger the area of the SRV region controlled by secondary fractures at different time points, the greater the connectivity between secondary fractures and the matrix, which helps to expand the pressure transmission range. Since fluid flow in fractures is primarily controlled by permeability, primary fractures serve as the preferred path for pressure propagation due to their higher permeability. When secondary fractures intersect primary fractures, they significantly enhance pressure propagation compared to secondary fractures that do not intersect primary fractures. This facilitates faster pressure transfer from the primary fractures to the surrounding matrix.
In addition, the density of secondary fractures is a critical factor. A high-density secondary fracture network implies more fracture intersections, which not only increases the interaction among secondary fractures but also raises the likelihood of their interaction with primary fractures. Such a network structure contributes to the formation of a wider pressure propagation region, promoting the spread of pressure over a larger area. In cases of higher secondary fracture density, secondary fractures more effectively propagate the pressure drop generated by primary fractures, further enhancing the connectivity of the entire fracture network.
The comparative analysis presented in Figure 16 reveals the impact of a complex fracture network on the cumulative production of a gas reservoir. The results emphasize the importance of secondary fractures in the hydraulic fracturing process, especially how they affect the effective development of gas reservoirs in the long term. Firstly, the area of SRV region controlled by secondary fractures is a key factor affecting the cumulative production. A larger SRV area indicates a wider contact area between the fracture network and the matrix, which contributes to more gas flow from the shale matrix into the fracture network, thus increasing the production. Secondly, the number of intersections between secondary and primary fractures also has a significant effect on cumulative yield. A higher number of intersections means that more channels are available to facilitate the propagation of pressure and fluids from the primary to the secondary fractures, which in turn reaches a wider area of the matrix and enhances gas recoverability. In addition, an increase in secondary fracture density increases the probability that a secondary fracture will intersect the primary fracture, thereby increasing the migration of gas from the matrix to the secondary fracture and then to the primary fracture, further enhancing production. When the density of secondary fractures is certain, the number of their intersections with the primary fractures becomes a key factor affecting the cumulative yield. Additionally, how secondary fractures of different shapes and extension directions increase the complexity of gas flow and pressure propagation further emphasizes the importance of considering these complexities when modelling and predicting yield. Considering only the primary fractures may underestimate the long-term yield potential, as this approach ignores the additional flow paths provided by secondary fractures.

6. Conclusions

In this work, the deformation model of supercritical CO2–slickwater affecting shale fracture roughness under different pressures was fitted using experimental data. A mathematical model incorporating supercritical CO2–slickwater–shale fluid–solid coupling was established, and a C-R solver was constructed and validated by leveraging the coupling advantages of two solvers. Finally, the full-coupling model was solved using the C-R solver. The main results of this work are as follows:
The experimental results confirm that the surface of shale fractures becomes rougher after supercritical CO2–slickwater treatment. A relationship between the equivalent hydraulic aperture of shale fractures and fracture roughness was established. Based on the fundamental definitions of permeability and porosity, a dynamic mathematical model of porosity and permeability was developed. Additionally, a fluid–solid coupling mathematical model incorporating supercritical CO2–slickwater–shale interactions was constructed. This model considers the effects of adsorption expansion strain, corrosion compression strain, and roughness strain on permeability evolution, thereby enhancing the accuracy of the shale permeability model.
The error of the C-R solver was within an acceptable range, and the overall model simulation yield matched field-measured data. Under roughness conditions, the permeability evolution varied across different spatial and temporal domains, propagating outward with the fracture as the center. Sensitivity analysis was performed on fracture permeability, density, and inclination. Among these factors, the variance contribution rates of fracture density and permeability were higher, with p-values much less than 0.05. This indicates that fracture density and permeability should receive greater attention when optimizing gas production schemes in the future. Conversely, the yield is affected differently by variations in fracture inclination angle, suggesting that fracture inclination angle can be considered a secondary factor.

Author Contributions

Methodology, P.L.; investigation, X.A. and B.S.; writing—original draft, X.A. and Y.R.; writing—review and editing, H.L.; funding acquisition, X.A. All authors have read and agreed to the published version of the manuscript.

Funding

This research was funded by the National Natural Science Foundation of China (NSFC, No. 51804059) and the National Science Foundation Project of Chongqing CSTC (CSTB2022NSCQ-MSX0640, CSTB2023TIAD-KPX0082).

Data Availability Statement

The original contributions presented in this study are included in the article. Further inquiries can be directed to the corresponding author(s).

Conflicts of Interest

Author Y.R. was employed by the company China National Offshore Oil Corporation (Tianjin Branch). Authors B.S. and P.L. were employed by the company Sinopec (China). The remaining authors declare that the research was conducted in the absence of any commercial or financial relationships that could be construed as a potential conflict of interest.

References

  1. Yang, B.; Wang, H.-Z.; Li, G.-S.; Wang, B.; Chang, L.; Tian, G.-H.; Zhao, C.-M.; Zheng, Y. Fundamental Study and Utilization on Supercritical CO2 Fracturing Developing Unconventional Resources: Current Status, Challenge and Future Perspectives. Pet. Sci. 2022, 19, 2757–2780. [Google Scholar] [CrossRef]
  2. Zou, C.; Zhao, Q.; Dong, D.; Yang, Z.; Qiu, Z.; Liang, F.; Wang, N.; Huang, Y.; Duan, A.; Zhang, Q.; et al. Geological Characteristics, Main Challenges and Future Prospect of Shale Gas. J. Nat. Gas Geosci. 2017, 2, 273–288. [Google Scholar] [CrossRef]
  3. Sun, C.; Nie, H.; Dang, W.; Chen, Q.; Zhang, G.; Li, W.; Lu, Z. Shale Gas Exploration and Development in China: Current Status, Geological Challenges, and Future Directions. Energy Fuels 2021, 35, 6359–6379. [Google Scholar] [CrossRef]
  4. Prasad, S.K.; Sangwai, J.S.; Byun, H.-S. A Review of the Supercritical CO2 Fluid Applications for Improved Oil and Gas Production and Associated Carbon Storage. J. CO2 Util. 2023, 72, 102479. [Google Scholar] [CrossRef]
  5. Amer, M.W.; Alhesan, J.S.A.; Marshall, M.; Fei, Y.; Jackson, W.R.; Chaffee, A.L. Energy Efficient Method of Supercritical Extraction of Oil from Oil Shale. Energy Convers. Manag. 2022, 252, 115108. [Google Scholar] [CrossRef]
  6. Jia, B.; Tsau, J.-S.; Barati, R. A Review of the Current Progress of CO2 Injection EOR and Carbon Storage in Shale Oil Reservoirs. Fuel 2019, 236, 404–427. [Google Scholar] [CrossRef]
  7. Wang, Q.; Chen, X.; Jha, A.N.; Rogers, H. Natural Gas from Shale Formation—The Evolution, Evidences and Challenges of Shale Gas Revolution in United States. Renew. Sustain. Energy Rev. 2014, 30, 1–28. [Google Scholar] [CrossRef]
  8. Aminu, M.D.; Nabavi, S.A.; Rochelle, C.A.; Manovic, V. A Review of Developments in Carbon Dioxide Storage. Appl. Energy 2017, 208, 1389–1419. [Google Scholar] [CrossRef]
  9. Chen, H.; Wang, Z.; Chen, X.; Chen, X.; Wang, L. Increasing Permeability of Coal Seams Using the Phase Energy of Liquid Carbon Dioxide. J. CO2 Util. 2017, 19, 112–119. [Google Scholar] [CrossRef]
  10. Zhang, X.; Lu, Y.; Tang, J.; Zhou, Z.; Liao, Y. Experimental Study on Fracture Initiation and Propagation in Shale Using Supercritical Carbon Dioxide Fracturing. Fuel 2017, 190, 370–378. [Google Scholar] [CrossRef]
  11. Xie, W.; Chen, S.; Wang, M.; Yu, Z.; Wang, H. Progress and Prospects of Supercritical CO2 Application in the Exploitation of Shale Gas Reservoirs. Energy Fuels 2021, 35, 18370–18384. [Google Scholar] [CrossRef]
  12. Ozotta, O.; Kolawole, O.; Lamine Malki, M.; Ore, T.; Gentzis, T.; Fowler, H.; Liu, K.; Ostadhassan, M. Nano- to Macro-Scale Structural, Mineralogical, and Mechanical Alterations in a Shale Reservoir Induced by Exposure to Supercritical CO2. Appl. Energy 2022, 326, 120051. [Google Scholar] [CrossRef]
  13. Lu, Y.; Chen, X.; Tang, J.; Li, H.; Zhou, L.; Han, S.; Ge, Z.; Xia, B.; Shen, H.; Zhang, J. Relationship between Pore Structure and Mechanical Properties of Shale on Supercritical Carbon Dioxide Saturation. Energy 2019, 172, 270–285. [Google Scholar] [CrossRef]
  14. Zhang, S.; Sheng, J.J.; Shen, Z. Effect of Hydration on Fractures and Permeabilities in Mancos, Eagleford, Barnette and Marcellus Shale Cores under Compressive Stress Conditions. J. Pet. Sci. Eng. 2017, 156, 917–926. [Google Scholar] [CrossRef]
  15. Wang, B.; Liu, B.; Yang, J.; Bai, L.; Li, S. Compatibility Characteristics of Fracturing Fluid and Shale Oil Reservoir: A Case Study of the First Member of Qingshankou Formation, Northern Songliao Basin, Northeast China. J. Pet. Sci. Eng. 2022, 211, 110161. [Google Scholar] [CrossRef]
  16. Liu, J.; Ding, W.; Wang, R.; Yin, S.; Yang, H.; Gu, Y. Simulation of Paleotectonic Stress Fields and Quantitative Prediction of Multi-Period Fractures in Shale Reservoirs: A Case Study of the Niutitang Formation in the Lower Cambrian in the Cen’gong Block, South China. Mar. Pet. Geol. 2017, 84, 289–310. [Google Scholar] [CrossRef]
  17. Wang, L.; Yao, B.; Xie, H.; Winterfeld, P.H.; Kneafsey, T.J.; Yin, X.; Wu, Y.-S. CO2 Injection-Induced Fracturing in Naturally Fractured Shale Rocks. Energy 2017, 139, 1094–1110. [Google Scholar] [CrossRef]
  18. Figueiredo, B.; Tsang, C.-F.; Rutqvist, J.; Niemi, A. A Study of Changes in Deep Fractured Rock Permeability Due to Coupled Hydro-Mechanical Effects. Int. J. Rock Mech. Min. Sci. 2015, 79, 70–85. [Google Scholar] [CrossRef]
  19. Lu, C.; Lu, Y.; Gou, X.; Zhong, Y.; Chen, C.; Guo, J. Influence Factors of Unpropped Fracture Conductivity of Shale. Energy Sci. Eng. 2020, 8, 2024–2043. [Google Scholar] [CrossRef]
  20. Jang, H.-S.; Kang, S.-S.; Jang, B.-A. Determination of Joint Roughness Coefficients Using Roughness Parameters. Rock Mech. Rock Eng. 2014, 47, 2061–2073. [Google Scholar] [CrossRef]
  21. Lu, Y.; Zhou, J.; Li, H.; Tang, J.; Zhou, L.; Ao, X. Gas Flow Characteristics in Shale Fractures after Supercritical CO2 Soaking. J. Nat. Gas Sci. Eng. 2021, 88, 103826. [Google Scholar] [CrossRef]
  22. Wang, B.; Fidelibus, C. An Open-Source Code for Fluid Flow Simulations in Unconventional Fractured Reservoirs. Geosciences 2021, 11, 106. [Google Scholar] [CrossRef]
  23. Zhao, Y.; Borja, R.I. A Continuum Framework for Coupled Solid Deformation–Fluid Flow through Anisotropic Elastoplastic Porous Media. Comput. Methods Appl. Mech. Eng. 2020, 369, 113225. [Google Scholar] [CrossRef]
  24. Chen, J.; Xu, Z.; Leung, J.Y. Analysis of Fracture Interference—Coupling of Flow and Geomechanical Computations with Discrete Fracture Modeling Using MRST. J. Pet. Sci. Eng. 2022, 219, 111134. [Google Scholar] [CrossRef]
  25. Xu, Y. Calculation of Unsaturated Hydraulic Conductivity Using a Fractal Model for the Pore-Size Distribution. Comput. Geotech. 2004, 31, 549–557. [Google Scholar] [CrossRef]
  26. Li, W.; Liu, J.; Zeng, J.; Leong, Y.-K.; Elsworth, D.; Tian, J.; Li, L. A Fully Coupled Multidomain and Multiphysics Model for Evaluation of Shale Gas Extraction. Fuel 2020, 278, 118214. [Google Scholar] [CrossRef]
  27. Zhao, Y.; Lu, G.; Zhang, L.; Wei, Y.; Guo, J.; Chang, C. Numerical Simulation of Shale Gas Reservoirs Considering Discrete Fracture Network Using a Coupled Multiple Transport Mechanisms and Geomechanics Model. J. Pet. Sci. Eng. 2020, 195, 107588. [Google Scholar] [CrossRef]
  28. Ao, X.; Wang, B.; Rao, Y.; Zhang, L.; Wang, Y.; Tang, H. Effect of CO2 Corrosion and Adsorption-Induced Strain on Permeability of Oil Shale: Numerical Simulation. Energies 2023, 16, 780. [Google Scholar] [CrossRef]
  29. Du, F.; Wang, K. Unstable Failure of Gas-Bearing Coal-Rock Combination Bodies: Insights from Physical Experiments and Numerical Simulations. Process Saf. Environ. Prot. 2019, 129, 264–279. [Google Scholar] [CrossRef]
  30. Kong, X.; Wang, E.; Liu, Q.; Li, Z.; Li, D.; Cao, Z.; Niu, Y. Dynamic Permeability and Porosity Evolution of Coal Seam Rich in CBM Based on the Flow-Solid Coupling Theory. J. Nat. Gas Sci. Eng. 2017, 40, 61–71. [Google Scholar] [CrossRef]
  31. Kong, X. Advanced Seepage Mechanics, 3rd ed.; China University of Science and Technology Press: Hefei, China, 2020; ISBN 978 7312048371. [Google Scholar]
  32. Yang, S.-Q.; Song, Y.; Du, S.-G.; Huang, Y.-H.; Zhu, Z.-N. Experimental Study on Mechanical and Permeability Characteristics of Rock-Cement Interface in Ultra-Low Temperature Environment. Constr. Build. Mater. 2024, 451, 138790. [Google Scholar] [CrossRef]
  33. Li, G.; Li, G.; Luo, C.; Zhou, R.; Zhou, J.; Yang, J. Dynamic Evolution of Shale Permeability under Coupled Temperature and Effective Stress Conditions. Energy 2023, 266, 126320. [Google Scholar] [CrossRef]
  34. Sheng, G.; Javadpour, F.; Su, Y. Dynamic Porosity and Apparent Permeability in Porous Organic Matter of Shale Gas Reservoirs. Fuel 2019, 251, 341–351. [Google Scholar] [CrossRef]
  35. Lyu, Q.; Ranjith, P.G.; Long, X.; Kang, Y.; Huang, M. A Review of Shale Swelling by Water Adsorption. J. Nat. Gas Sci. Eng. 2015, 27, 1421–1431. [Google Scholar] [CrossRef]
  36. Cao, P.; Liu, J.; Leong, Y.-K. A Fully Coupled Multiscale Shale Deformation-Gas Transport Model for the Evaluation of Shale Gas Extraction. Fuel 2016, 178, 103–117. [Google Scholar] [CrossRef]
Figure 1. Coupled solution path.
Figure 1. Coupled solution path.
Energies 18 05569 g001
Figure 2. Comparison of C-R solver and field data results (From left and right are A, B, C, D).
Figure 2. Comparison of C-R solver and field data results (From left and right are A, B, C, D).
Energies 18 05569 g002
Figure 3. Reservoir pressure diagram.
Figure 3. Reservoir pressure diagram.
Energies 18 05569 g003
Figure 4. Strain evolution at points A, B, C, and D.
Figure 4. Strain evolution at points A, B, C, and D.
Energies 18 05569 g004
Figure 5. Reservoir permeability and production evolution under three different scenarios.
Figure 5. Reservoir permeability and production evolution under three different scenarios.
Energies 18 05569 g005
Figure 6. Evolution of cross-section permeability of L1 (left) and L2 (right).
Figure 6. Evolution of cross-section permeability of L1 (left) and L2 (right).
Energies 18 05569 g006
Figure 7. Production evolution in reservoirs with varying roughness levels.
Figure 7. Production evolution in reservoirs with varying roughness levels.
Energies 18 05569 g007
Figure 8. Analysis of cumulative production when permeability and density are combined.
Figure 8. Analysis of cumulative production when permeability and density are combined.
Energies 18 05569 g008
Figure 9. Accumulated production of gas reservoirs under different fracture densities and inclination angles.
Figure 9. Accumulated production of gas reservoirs under different fracture densities and inclination angles.
Energies 18 05569 g009
Figure 10. Accumulated production of gas reservoirs under different permeability and inclination angles.
Figure 10. Accumulated production of gas reservoirs under different permeability and inclination angles.
Energies 18 05569 g010
Figure 11. Reservoir pressure evolution diagram of gas reservoirs at different times under different shapes.
Figure 11. Reservoir pressure evolution diagram of gas reservoirs at different times under different shapes.
Energies 18 05569 g011
Figure 12. Evolution diagram of SRV area proportion and production evolution diagram under different hydraulic fracture geometries.
Figure 12. Evolution diagram of SRV area proportion and production evolution diagram under different hydraulic fracture geometries.
Energies 18 05569 g012
Figure 13. Evolution diagram of reservoir pressure at different times under Geometry 1 and 2 in gas reservoirs.
Figure 13. Evolution diagram of reservoir pressure at different times under Geometry 1 and 2 in gas reservoirs.
Energies 18 05569 g013
Figure 14. Local magnified evolution diagram of different numbers of intersecting fractures (Geometry 1).
Figure 14. Local magnified evolution diagram of different numbers of intersecting fractures (Geometry 1).
Energies 18 05569 g014
Figure 15. Local magnified evolution diagram of different numbers of intersecting fractures (Geometry 2).
Figure 15. Local magnified evolution diagram of different numbers of intersecting fractures (Geometry 2).
Energies 18 05569 g015
Figure 16. Comparison chart of production under different intersecting fractures and different fractures densities.
Figure 16. Comparison chart of production under different intersecting fractures and different fractures densities.
Energies 18 05569 g016
Table 1. 3D morphology scanning results.
Table 1. 3D morphology scanning results.
SampleTreatment ConditionA1A2ΔAChange RateΔHChange Rate
SBefore immersing3662.533821.961.04426.59%5.10221.54%
After immersing4838.161.3216.201
Table 2. Fitting results.
Table 2. Fitting results.
Treatment ConditionσehJRC/ehTreatment ConditionσehJRC/eh
Before treatment156.9170.24038After treatment176.4950.36171
246.762390.29258261.446770.4503
436.607790.37374446.398550.59634
630.667720.44613637.59590.73596
826.453180.5172831.350320.88258
1023.184130.590131026.505881.04389
1517.244060.793411517.703231.56295
2013.029521.050052011.457652.41491
259.760471.40174256.613214.18393
Table 3. Basic parameters of reservoir.
Table 3. Basic parameters of reservoir.
ParameterValueUnitsParameterValueUnits
Reservoir pressure20.34MPaFracture compressibility1.0 × 10−81/Pa
Temperature352KMatrix permeability2 × 10−19m2
Rock density2500kg/m3Fracture permeability2 × 10−13m2
Langmuir pressure4.47MPaFracture width0.003m
Langmuir volume0.00272m3/kgFracture spacing30.5m
Matrix porosity0.03 Fracture half-length47.2m
Matrix compressibility1.5 × 10−101/PaWell BHP3.69MPa
Gas Viscosity0.02mPa·sGas density0.6571kg/m3
Table 4. Feature location.
Table 4. Feature location.
NamePosition (m, m)NamePosition (m, m)
Point A173.08, 149.53Point C203.58, 243.93
Point B203.58, 149.53Point D173.08, 243.93
Table 5. Analysis table of permeability, density, and inclination angle.
Table 5. Analysis table of permeability, density, and inclination angle.
FactorSquare SumFreedomMean SquareFpVariance Contribution Rate
Permeability41,069,351.93410,267,337.989.042.16 × 10−623.76
Density51,822,826.8968,637,137.828.142.50 × 10−729.98
Angle22,870,810.1463,811,801.702.900.07113.23
Residual57,069,557.71104548,745.75 33.02
Table 6. Schematic diagram of different complex fracture combinations.
Table 6. Schematic diagram of different complex fracture combinations.
SampleIllustration
Different fracture intersection quantitiesEnergies 18 05569 i001
a = 2
Energies 18 05569 i002
b = 4
Energies 18 05569 i003
c = 6
Different fracture densitiesEnergies 18 05569 i004
d = 0.08 m/m2
Energies 18 05569 i005
e = 0.12 m/m2
Energies 18 05569 i006
f = 0.16 m/m2
Disclaimer/Publisher’s Note: The statements, opinions and data contained in all publications are solely those of the individual author(s) and contributor(s) and not of MDPI and/or the editor(s). MDPI and/or the editor(s) disclaim responsibility for any injury to people or property resulting from any ideas, methods, instructions or products referred to in the content.

Share and Cite

MDPI and ACS Style

Ao, X.; Rao, Y.; Li, H.; Song, B.; Li, P. Flow–Solid Coupled Analysis of Shale Gas Production Influenced by Fracture Roughness Evolution in Supercritical CO2–Slickwater Systems. Energies 2025, 18, 5569. https://doi.org/10.3390/en18215569

AMA Style

Ao X, Rao Y, Li H, Song B, Li P. Flow–Solid Coupled Analysis of Shale Gas Production Influenced by Fracture Roughness Evolution in Supercritical CO2–Slickwater Systems. Energies. 2025; 18(21):5569. https://doi.org/10.3390/en18215569

Chicago/Turabian Style

Ao, Xiang, Yuxi Rao, Honglian Li, Beijun Song, and Peng Li. 2025. "Flow–Solid Coupled Analysis of Shale Gas Production Influenced by Fracture Roughness Evolution in Supercritical CO2–Slickwater Systems" Energies 18, no. 21: 5569. https://doi.org/10.3390/en18215569

APA Style

Ao, X., Rao, Y., Li, H., Song, B., & Li, P. (2025). Flow–Solid Coupled Analysis of Shale Gas Production Influenced by Fracture Roughness Evolution in Supercritical CO2–Slickwater Systems. Energies, 18(21), 5569. https://doi.org/10.3390/en18215569

Note that from the first issue of 2016, this journal uses article numbers instead of page numbers. See further details here.

Article Metrics

Back to TopTop