Next Article in Journal
Reservoir Characteristics and Shale Oil Enrichment of Shale Laminae in the Chang 7 Member, Ordos Basin
Previous Article in Journal
Deep Reinforcement Learning-Based Optimization of Mobile Charging Station and Battery Recharging Under Grid Constraints
 
 
Font Type:
Arial Georgia Verdana
Font Size:
Aa Aa Aa
Line Spacing:
Column Width:
Background:
Article

Feature Selection and Model Fusion for Lithium-Ion Battery Pack SOC Prediction

1
School of Mechanical and Electrical Engineering, Henan Institute of Science and Technology, Xinxiang 453003, China
2
School of Mathematics and Statistics, Xinyang Normal University, Xinyang 464000, China
*
Author to whom correspondence should be addressed.
Energies 2025, 18(20), 5340; https://doi.org/10.3390/en18205340
Submission received: 26 August 2025 / Revised: 5 October 2025 / Accepted: 7 October 2025 / Published: 10 October 2025

Abstract

Accurate prediction of the state of charge (SOC) of a battery pack is essential to improve the operational efficiency and safety of energy storage systems. In this paper, we propose a novel lithium-ion battery (Lib) pack SOC prediction framework that combines redundant control correlation downscaling with Adaptive Error Variation Weighting Mechanism (AVM) fusion mechanisms. By integrating redundancy feature selection based on correlation analysis with global sensitivity analysis, the dimensionality of the input features was reduced by 81.25%. The AVM merges BiGRU’s ability to model short-term dynamics with Informer’s ability to capture long-term dependencies. This approach allows for complementary information exchange between multiple models. Experimental results indicate that on both monthly and quarterly slice datasets, the RMSE and MAE of the fusion model are significantly lower than those of the single model. In particular, the proposed model shows higher robustness and generalization ability in seasonal generalization tests. Its performance is significantly better than the traditional linear and classical filtering methods. The method provides reliable technical support for accurate estimation of SOC in battery management systems under complex environmental conditions.

1. Introduction

New energy storage technologies are essential for improving the efficiency of renewable energy utilization and are important for achieving the “dual-carbon” goal [1]. New energy storage technologies can be categorized into lithium-ion battery energy storage, supercapacitor energy storage, flywheel energy storage, etc., according to their energy storage principles [2,3,4]. From the cumulative installed capacity of emerging energy storage technologies, lithium-ion batteries have obvious advantages, and the installed capacity far exceeds other energy storage technologies. This phenomenon is mainly attributed to the combined advantages of Libs, such as high energy density, low cost, technological maturity, and wide applicability [5,6,7].
Despite the fact that Libs are widely used and show good prospects for development, there are still some pressing challenges in their practical applications, especially in accurately predicting the state of charge (SOC). Achieving high-precision prediction of the SOC of Libs is critical for preventing overcharging and overdischarging, optimizing charging and discharging strategies, and improving overall energy efficiency [8,9,10]. In practice, Libs are usually assembled into battery packs through series-parallel connections to meet specific power and voltage requirements [11,12]. Lib packs have been widely used in electric vehicles, spacecraft, and ships as an important form of advanced energy storage devices. Accurately predicting the SOC of a lithium-ion battery pack is a core task in the operation of a battery management system (BMS) [13]. The SOC of a battery pack is defined as the ratio of the remaining charge to the rated capacity at a given moment. It is an important indicator for evaluating the operational status of a battery pack. SOC plays a crucial role in performance evaluation, lifetime prediction, and safety management [14,15,16]. The SOC of Libs is affected by the inherent nonlinear characteristics of the battery, the variability of the actual operating conditions, and the complex interactions between multiple factors. Direct observation can be challenging. At the same time, because Lib packs contain multiple cells, differences in manufacturing processes can lead to different rates of performance degradation for individual cells as the number of charge/discharge cycles and usage time increase. When the characteristics of some cells are significantly different from those of others, the overall SOC estimate for the battery pack may be subject to large errors [17,18,19].
Several methods have been developed for estimating the SOC of lithium-ion battery packs. Representative methods can be broadly categorized into two groups: One category is to indirectly estimate the SOC of the entire battery pack by selecting representative cells within the pack and utilizing their state information [20]. Another class of methods consists of analyzing the combined information of all cells within a battery pack to efficiently estimate the overall SOC [21].
The charging and discharging boundaries of a battery pack are usually determined by the worst-performing cell in the pack. The end of the charging process is determined by the cell with the highest voltage in the battery pack, while the end of the discharging process is determined by the cell with the lowest voltage. The representative cell refers to the single cell or single cell group that can effectively reflect the overall characteristics of the whole battery pack, and the appropriateness of the representative cell selection is directly related to the accuracy of the SOC prediction results [22,23,24]. Yu proposed a Bayesian multi-branch fusion method that integrates resistance estimation, temperature-compensated OCV-SOC modeling, and weighted fusion, achieving accurate online SOC estimation in parallel lithium-ion battery packs [25]. Docimo proposed an estimation and balancing control method based on the LTV model, which combines RC modeling, EKF estimation, and LQR balancing, alleviating multi-state inconsistencies in Lib packs, reducing SOC errors, lowering computational complexity, and improving real-time performance [26]. Liu proposed an active balancing strategy for Lib packs using the NSGA-II optimization algorithm, which dynamically switches between SOC and voltage indicators. This strategy achieves faster balancing speed, better SOC consistency, and lower energy loss [27]. The SOC estimation method based on representative battery cells is limited by its reliance on individual battery cells. It cannot capture multi-state inconsistencies such as SOC, diffusion, and temperature changes across the entire battery pack. This method is sensitive to voltage nonlinearity and temperature effects, resulting in reduced accuracy under dynamic or aging conditions. It cannot ensure balance between battery cells, thereby reducing energy utilization and shortening battery life.
The estimation method using representative monomers reduces the model complexity, but ignores the initial differences in capacity and internal resistance between monomers, and the heterogeneity caused by uneven aging. Therefore, the SOC values estimated by this model cannot accurately reflect the overall state of the battery pack [28,29]. In order to effectively address cell inconsistencies within a battery pack, an alternative approach is to estimate the SOC of the battery pack using the combined information from all cells. Directly utilizing the combined information of all cells in the battery pack for SOC estimation significantly increases the computational complexity. In addition, noise and redundant information in the dataset can negatively impact model performance and reduce estimation accuracy [30,31]. Therefore, it is crucial to efficiently extract key features from a large amount of raw battery pack data or perform appropriate dimensionality reduction on the input data. The key challenge of this approach is to maintain or improve the predictive accuracy and generalization performance of the model while reducing computational complexity [32,33,34]. Qi proposed an enhanced machine learning method for predicting the SOC of battery packs. The method integrates multi-source field data fusion, Pearson correlation coefficient feature selection, and a CNN-BiGRU based on an attention mechanism and optimized by particle swarm optimization. It achieves high-precision online SOC estimation for lithium-ion battery packs [35]. Manoharan proposed a parallel artificial neural network (PANN) method. It utilizes parallel layers based on BiLSTM to fuse multi-source time series data. It also integrates large battery and extreme battery methods. Even under extreme operating conditions, it can achieve accurate SOC estimation for battery packs [36]. Hu proposes a performance evaluation strategy that combines online SOC estimation based on DEKF with offline consistency evaluation based on MCPE. This solves the problems of Lib pack SOC estimation accuracy and input parameter sorting. It achieves high precision, higher stability, and reliable monitoring of lithium-ion battery packs [37].
Recent research on SOC estimation has increasingly utilized artificial neural networks (ANNs) and placed greater emphasis on hybrid model architectures. Paolini provides a comprehensive classification of ANN-based SOC estimators, covering feedforward, attention-based, and hybrid architectures [38]. It also highlights the strengths and limitations of each model. This provides insights for our research on integrating temporal attention mechanisms with recurrent models to fuse historical SOC and multi-sensor signals by integrating historical SOC trajectories with multi-sensor measurements. The proposed hybrid estimator mitigates the limitations of uncertainty handling and existing hybrid fusion methods, as identified in prior research. Ria describes the practical limitations of automotive BMS, including estimator placement, sensor fidelity, and availability; latency and computational budget; and safety compliance requirements under typical duty cycles [39]. These insights inform the selection of input features and sampling strategies for our model. Dr. Dini conducted a systematic review of model-based, data-driven, and hybrid SOC estimation strategies [40], thereby providing the theoretical foundation for the hybrid architecture adopted in this study. Meanwhile, Paolini investigated the impact of constant current/constant voltage charging strategies and on-board charger constraints on SOC dynamics, extending the architecture to incorporate degradation-aware gating. To capture seasonal drift, a joint SOC modeling framework was adopted [41,42]. These insights provide guidance and inspiration for our training and evaluation protocols. Our objective is to enhance the model’s sensitivity to seasonal drift and long-term performance degradation, thereby laying the groundwork for future SOC modeling.
In order to more comprehensively represent the SOC of the battery pack, both overall battery pack information and individual battery data are used as model inputs. This method may lead to redundant information and increase the computational complexity of the model. One of the core challenges of this study is to effectively extract features from these input variables that show a strong correlation with battery pack SOC. In addition, identifying and extracting these key features also poses equally daunting challenges.
To overcome these limitations, it is crucial to develop effective feature engineering strategies. Not only is minimizing data redundancy critical, but preserving the most informative signals related to SOC dynamics is also critical. Methods such as correlation analysis, redundancy minimization, and nonlinear feature selection can promote the elimination of irrelevant variables. It is necessary to strengthen the model’s ability to capture the relationship between the SOC of cells and the SOC of the battery pack. By considering time-related interactions, degradation trends, and actual operating conditions, combining time information from battery cells can enhance the characterization of battery pack status. In summary, the main contributions of this study are as follows:
(1)
A new feature selection formula was developed by considering redundancy indicators, prediction accuracy, and model lightweight requirements. Global sensitivity analysis and grid search were employed to optimize redundant feature selection and the parameters of the feature selection formula. The objective was to determine a feature subset that maximizes information content while maintaining compactness, thereby enabling accurate estimation of the battery pack’s SOC.
(2)
In order to improve the accuracy of battery pack SOC estimation, a fusion model was developed. The Informer network was used to capture the intrinsic correlation between the SOC of the battery pack and the SOC of cell batteries, extracting the most significant relationship features across multiple scales. By integrating contextual information about the past and future SOC of the battery pack, the BiGRU network was used to capture dynamic evolution patterns in time series. By combining correlation extraction between battery packs and battery cells with time series learning, the fusion model can achieve highly accurate and reliable SOC predictions.
(3)
An adaptive error fluctuation weighting strategy has been proposed. This strategy dynamically adjusts the relative contributions of the Informer and BiGRU networks based on the error fluctuations observed during the prediction process. This strategy ensures consistent and accurate SOC estimates across different experimental environments.

2. Methods

2.1. BiGRU Network

The GRU network is a simplified variant of the RNN architecture. Due to its simple structure and high computational efficiency, the GRU network is widely used in natural language processing, time series prediction, and other fields that need to process sequence data. However, traditional GRU networks usually focus on unidirectional dependencies and utilize only historical information in the sequence, which cannot effectively capture the impact of future information on the current state. In practical applications such as SOC estimation, historical data alone is not sufficient to fully represent the complex physical and electrochemical dynamics of batteries. In fact, the SOC at any given moment is influenced not only by historical data, but also by data from future time periods. In order to better address the forward and backward dependencies in sequential data, a BiGRU network is introduced in this study. The BiGRU network realizes the overall prediction of sequence data by integrating the contextual information before and after in the sequence. Specifically, the BiGRU architecture contains two GRU layers that operate in opposite directions. The forward GRU layer processes the sequence step-by-step from the beginning to the current time step, thus capturing historical information. The backward GRU layer processes the same sequences in reverse order, allowing information to be extracted from future time steps.

2.2. Informer Network

As shown in Figure 1, unlike other time-series network models, the Informer network formulates the time-series forecasting task as a self-attention problem, specialized for capturing long-term dependencies. At the heart of the Informer model is the sparse self-attention mechanism, which greatly reduces computational complexity and is able to handle longer historical sequences.
In a practical application of battery SOC estimation, the Informer network uses a sequence of SOCs of individual batteries as input to predict the overall SOC of a battery pack. Specifically, changes in the SOC of individual cells are often closely related to the overall SOC of the battery pack. The Informer’s self-attention mechanism effectively captures these long-range temporal dependencies, both between individual cells and between each cell and the entire battery pack. Meanwhile, the feed-forward network within the model further extracts and enhances the feature representation of the battery SOC sequence, thereby improving the model’s ability to capture the impact of a single battery SOC on the overall SOC of the battery pack. This architectural design makes the Informer network particularly well suited to predicting the state of individual cells and the state of the battery pack as a whole, as it accurately captures the intrinsic correlation between individual cells and the entire battery pack.
X ~ = X W in + b in + PE ,   X R T × d in
The prediction formula for this network is shown in Equation (1).   X R T × d in denotes the input sequence, where T is the number of time steps and din is the dimension of the input features. The input projection layer W in and the bias vector b in serve to map the original input into the hidden space. PE stands for Position Encoding, used to inject positional information into the sequence at each time step. By combining the input features with the location information, the obtained X ~ serves as the information base for the subsequent attention mechanism.
Q = X ~   W Q ,   K = X   ~ W K , V = X   ~ W V
The input formula for the sparse attention mechanism is given in Equation (2). In this step, the input x is fused with the position code and linearly transformed to generate three different matrices: the query ( Q ), key ( K ), and value ( V ) matrices. Here, W Q , W K , and W V are the corresponding weight matrices. These matrices form the basis of the self-attention mechanism, where the similarity between the query and the key determines the weights and aggregation of the value vectors, thus effectively capturing the correlation between the elements in the sequence.
Attention   ( Q ,   K ,   V ) = softmax ( Q K T d k ) V
The core formula for sparse self-attention is given in Equation (3). First, Q K T is computed to obtain a similarity score between the query and the key. This result is then scaled by dividing by d k (where d k is the dimension of the key) to prevent the inner product from being too large and to ensure numerical stability. Subsequently, the similarity scores are normalized to a probability distribution using the softmax function to obtain the corresponding attention weights. Finally, these attention weights are multiplied by the value matrix V to obtain a weighted sum of the information to generate the final attention output.
h global = t = 1 T β t h t ,   β = softmax ( H W α )
The formula for characterizing the sparse attention mechanism is given in Equation (4). H   denotes the hidden representation matrix obtained after the attention layer processing, where each row h t corresponds to a feature vector at time step t. By linearly transforming H W α (where W α is the weight matrix) and combining it with the softmax function, the attentional weight β t is calculated for each time step, which reflects the relative importance of each time step in the overall sequence. Finally, the hidden representations h t from all time steps are weighted and summed according to β t to obtain the global feature vector h global . This global vector encapsulates the basic information about the entire sequence and helps in the subsequent prediction task.
Y = FFN ( h global ) W out + b out
The sparse attention mechanism output formula is given in Equation (5). FFN denotes the feed-forward neural network layer, whose main function lies in the nonlinear transformation of global features and further feature enhancement. W out and b out are the weights and biases, respectively, of the output projection layer, which linearly maps the features after feed-forward network processing to generate the final predicted values.

2.3. Overview of the BiGRU-Informer Architecture

2.3.1. Spearman’s Correlation and Integrated Evaluation Function

The SOC of a battery pack is determined not only by overall system-level information, but also by the interactions between individual cells within the pack. Therefore, system-level characteristics and information from individual cells must be used as model inputs when predicting the SOC of a battery pack. This integrated approach provides a more accurate and comprehensive characterization of the SOC dynamics within the battery pack. As the amount of input information increases, the model can obtain more relevant data, enabling a more comprehensive and accurate assessment of the SOC of the battery pack. However, increasing the amount of input data also introduces redundancy, which leads to unnecessary consumption of computational resources. In addition, including information that is irrelevant or minimally relevant to battery pack SOC predictions increases model complexity and imposes an additional computational burden. In order to mitigate the risk of increased computational complexity and model overfitting due to redundant feature variables, a redundancy control method based on Spearman’s correlation coefficient is introduced in this study for screening of features related to SOC estimation of battery packs.
r s = 1 6 d i 2 n n 2 1
The Spearman correlation coefficient is a nonparametric statistic that does not require strict assumptions about the distribution of the data and is effective in identifying monotonic relationships between variables. As shown in Equation (6). Here, d i denotes the rank difference in each pair of variables, and n denotes the sample size.
R I i = 1 N 1 j = 1 j i N r s ( i , j )
In real-world data modeling, feature variables related to battery pack SOC often contain overlapping or redundant information. This redundancy not only increases the input dimensions of the model, but may also degrade its predictive performance. Therefore, this study further employs the redundancy index (RI) to quantify the degree of redundancy of each feature, thereby facilitating effective feature selection. This formula is shown in Equation (7). R I i is the redundancy index of the ith feature. r s ( i , j ) is the absolute value of the Spearman correlation coefficient between the ith feature and the jth feature. The redundancy indicator reflects the average degree of correlation between a feature and all other features. The higher the redundancy indicator, the greater the redundancy of information and the lower the priority of that feature in selection.
The designation of redundancy metrics plays a crucial role in the feature selection process. An excessively high RI can lead to strong correlations between the selected features, which reduces the effectiveness of dimensionality reduction. Conversely, too low an RI may lead to the selection of features that are largely irrelevant to the output variables, thereby reducing the model’s ability to capture relevant target information. Based on the results of previous studies [43,44], the following Table 1 summarizes the characteristics associated with different RI values.
When performing SOC prediction for battery packs, the computational complexity and the number of selected features should be considered in addition to the prediction accuracy [45]. To effectively balance these three metrics, we propose a comprehensive evaluation formula to guide the feature selection process [46].
Q k =   α RMSE k + β N k + γ F k
The formula is given in Equation (8), where RMSE denotes the rate of increase in error between the RMSE values at different redundancy control levels and the RMSE obtained at RI = 1. N denotes the number of features retained at a given RI threshold. F is the number of floating-point operations at the corresponding RI. The coefficients α , β , and γ are user-defined scalar weights (α + β + γ = 1), which, respectively, control the model’s accuracy loss, feature compactness, and computational cost.

2.3.2. Adaptive Error Variation Weighting Mechanism

Mean Absolute Percentage Error (MAPE) is a widely used metric for assessing relative error and quantifies the deviation between predicted and true values. Chicco et al. demonstrated that MAPE is more sensitive to prediction error than other commonly used error metrics [47].
MAPE i t = y i t     y ( t ) y ( t )
The MAPE calculation formula for battery pack SOC is shown in Equation (9). In practical battery pack SOC prediction tasks, the prediction sequence often exhibits large fluctuations, especially during transitions between charging and discharging states. Therefore, it is appropriate to use MAPE as an evaluation index of model performance in this study.
E i = 1 T t T MAPE i t
The prediction error formulas for each network are shown in Equation (10), where t denotes the time step. The baseline prediction error of the model is calculated by averaging the MAPE for each time point on the sliding window.
d i = 1 T 1 t T MAPE i t     MAPE i t 1 MAPE i t
The dynamic stability formula is shown in Equation (11). In order to evaluate the dynamic stability of the model prediction error, the prediction error change rate indicator is defined. This metric is used to capture fluctuations in model error over time; larger values indicate more variability and less stability in model predictions.
W i = H h e S h
The formula for the weights of each network is given in Equation (12). W i denotes the fusion weight of the ith model, and H denotes the total number of models involved in the fusion. The advantage of using the softmax function for weighting is that it naturally emphasizes the contribution of the best-performing models while reducing the weight of the less predictive models. This approach effectively utilizes the predictive strength of each model at different points in time.
S O C pred ( t ) = W BiGRU ( t ) SO C BiGRU ( t ) + W Informer ( t ) SO C Informer ( t )
The final battery pack SOC is predicted using Equation (13). The proposed method integrates predictions from multiple models at each time point to obtain more accurate SOC estimates. The pseudocode for the AVM is shown in Algorithm 1. This integration strategy capitalizes on the strengths of each model, thereby improving the overall accuracy and robustness of the predictions. In addition, dynamically adjusting the weights allows the system to better adapt to complex changes in battery operating conditions.
Algorithm 1: AVM (Adaptive Weight Refresh and Fusion for Mixed SOC Estimation)

Initialize parameters (ε, optional τ for softmax temperature);
Initialize weights (w_b, w_i) ← (0.5, 0.5) if no cache;
Initialize input windows x_bigru ∈ R^{B×L×d_x}, x_informer ∈ R^{B×L×d_soc};
Optionally prepare y_true_prev # previous-step ground truth y(t − 1);

for t = 1 to MaxStep do:
  # Step 1: Branch predictions
  b_out ← BiGRU(x_bigru)
  i_out ← Informer(x_informer)

  # Step 2: Weight update (only if y_true_prev is available)
  if y_true_prev is available then:
    y_prev ← y_true_prev
    b_mape ← mean(|b_out − y_prev|/(|y_prev|+ε))
    i_mape ← mean(|i_out − y_prev|/(|y_prev|+ε))

    b_cr ← change_rate(b_mape)
    i_cr ← change_rate(i_mape)

    γ_b ← 1 + b_cr/(b_mape+ε)
    γ_i ← 1 + i_cr/(i_mape+ε)

    s_b ← 1/(b_mape·γ_b+ε)
    s_i ← 1/(i_mape·γ_i+ε)

    (w_b, w_i) ← softmax([s_b, s_i])
    Cache prev_weights ← (w_b, w_i)
  else:
    (w_b, w_i) ← prev_weights # fallback when y_true_prev is not available

  # Step 3: Fusion output
  y_hat ← w_b · b_out + w_i · i_out

end for


Helper: change_rate(m)
  if m_prev is missing then return 0
  cr ← |m − m_prev|/(m_prev+ε)
  update m_prev ← m
  return cr
end

2.3.3. Model Construction

The overall structure of the experiment is illustrated in the flowchart presented in Figure 2. In order to alleviate inconsistencies between battery packs and their constituent cells, the model uses battery pack-level signals and battery cell-level features as inputs. Dimension reduction was effectively achieved by combining Spearman’s correlation analysis with redundancy index screening. This process ultimately resulted in a compact set of features. This feature set mainly includes a representative subset of battery pack current and cells’ SOC. Prior to model development, the selected features are normalized to ensure comparability.
In the network stage, battery pack current data and representative cell battery SOC are input into the BiGRU network in parallel. This design enables the model to capture the real-time impact of transient current fluctuations on the overall SOC. Concurrently, the Informer network processes the extended sequence of single-cell SOCs. It utilizes its sparse global attention mechanism to capture cell-level heterogeneity and long-term degradation patterns caused by differences in capacity and internal resistance.
The outputs of the two temporal feature streams are integrated using AVM. This method establishes a dynamic balance between short-term fluctuations and long-term trends. This fusion modeling method retains sensitivity to rapid fluctuations while retaining an overall perspective on long-term evolutionary behavior. This framework enables high-precision and robust estimation of battery pack SOC. At the same time, the framework effectively controls computational complexity.

3. Results

3.1. Experimental Setup

3.1.1. Dataset and Experimental Conditions

LiFePO4 battery packs integrated into a photovoltaic energy storage system are used in this study. Each module consists of six lithium-ion cells connected in series, and sixteen such modules are connected in series to form a complete battery pack. The detailed electrical and environmental parameters are presented in Table 2. The battery pack is mainly charged during low tariff hours (00:00 to 08:00) and PV ramp-up hours (06:00 to 09:00), adopting the typical strategy of “valley electricity plus morning PV replenishment”. Discharge occurs primarily during high load hours (08:30 to 11:30 and 18:00 to 22:00) to alleviate morning and evening peak demand and to provide instantaneous backup power for the Uninterruptible Power Supply (UPS). These data were collected at 5 min intervals over the course of a year. Overall, the battery pack exhibits operational characteristics typical of domestic and small industrial and commercial energy storage systems. “Shallow cycling and high SOC float charging.” It meets the dual requirements of home and small commercial and industrial energy storage systems by providing peak shaving and critical load backup capabilities.
In addition, to ensure consistency and fairness in experimental validation, the data were divided chronologically. The data from the first 20 days of each month is used as the training set, and the data from the last 10 days is used as the test set.
The fusion model hyperparameters are shown in Table 3. The hyperparameters for the BiGRU and Informer networks are shown in Table 4 and Table 5. All the experiments were conducted using Python 3.9, PyTorch 2.0, and TorchVision 0.15.0. Computations were performed on a computer equipped with an NVIDIA GeForce RTX 4070 Ti GPU and an Intel Core i5-12400F CPU. Divide 20% of the data within the training set into a validation set. The training protocol employed early stopping based on validation set loss with patience = 10.

3.1.2. Data Preprocessing

Due to the different numerical scales of variables external to the battery pack, direct use of unprocessed data may cause the model to over-rely on features with larger values while ignoring features with smaller values. This imbalance may seriously affect the predictive performance of the model, thus reducing its generalization ability.
To solve this problem, the raw data were preprocessed in this experiment. Normalization is a common technique used to scale different features to the same range, thus preventing features with larger values from dominating the model training process. In this study, minimum-maximum standardization was used to scale the data to the (−1, 1) range.
x ^ = 2   ×   x x min x max x min 1
The normalization formula is shown in Equation (14). x represents the original data and x ^ denotes the normalized data. x max and x min represent the maximum and minimum values in the dataset, respectively.

3.1.3. Evaluation Criteria

According to the requirements of this experiment, the following three commonly used evaluation metrics were used: root mean square error (RMSE), mean absolute error (MAE), and coefficient of determination (R2). The combined analysis of these three metrics provides a comprehensive assessment of the model’s predictive performance.
RMSE = 1 N i = 1 N y i y i ^ 2
MAE = 1 N i = 1 N y i y i ^
R 2 = 1 i = 1 N y i y i ^ 2 i = 1 N y i y i ¯ 2
The network assessment formulas are shown in Equations (15)–(17). y i is the true SOC value, y i ^ is the predicted SOC value, and N is the total number of samples.

3.2. Feature Selection

Spearman correlation analysis was used to assess the correlation between the variables and the SOC of the battery pack, as shown in Figure 3. The variables bat_V (battery pack voltage) and SOC1 (SOC of battery cell 1) have the highest correlation with the overall SOC. It is shown that they make a substantial contribution to the battery pack SOC prediction. However, it is worth noting that these two variables also show a strong correlation, suggesting that the information they convey may be overlapping or redundant. In addition, significant inter-correlations were observed between the individual currents (bat_c1 to bat_c6) and between the individual SOCs (soc1 to soc6) for each cell. This suggests that the direct use of all these variables in a predictive model may introduce redundant information, which may reduce the predictive performance of the model or even lead to overfitting.
In order to minimize redundancy between the selected output features while maintaining the accuracy of the battery pack SOC prediction, a subset of features was optimized to retain as much relevant information as possible. We set the objective function to Equation (8). Table 6 lists the values of each parameter corresponding to different redundancy control thresholds; all the values are normalized using the Min-Max normalization method.
To simultaneously enhance estimation accuracy, feature set compactness, and computational efficiency in the battery SOC modeling process, we employed global sensitivity analysis. This framework quantifies the relative influence of candidate inputs on model outputs, thereby guiding the construction of minimal feature sets while limiting computational costs. We drew weight coefficients (α, β, γ) from a Dirichlet distribution over a 3-simplex to systematically generate 300 normalized combinations (where α + β + γ = 1). The comprehensive Q-value corresponding to each combination was calculated, and the optimal RI was selected at different redundancy levels.
As shown in Figure 4. As the α value increases, the model’s sensitivity to errors becomes significantly heightened, which enables the model to produce a lower Q-value under high-precision requirements. When β is large, the reduction in the number of features leads to a decrease in computational cost. Although it may slightly increase the margin of error, it generally improves the model’s efficiency. The Q-value is relatively stable. When γ is large, the reduction in computational overhead results in lower Q values. Excessively high computational overhead may compromise accuracy, leading to degraded model performance.
To ensure adequate predictive precision and stability, a minimum value constraint was imposed on α (α ≥ 0.4). Based on the sensitivity analysis results, a grid search method was employed to systematically exhaust all the possible weight combinations. A = 0.4, β = 0.1, and γ = 0.5 were selected as the optimized weight combination. The final input features for the network are soc1, bat_c, and soc5. This approach effectively reduces computational overhead while ensuring high precision and maintaining moderate feature selection compactness.

3.3. Ablation Experiments

As shown in Figure 4, in the first quarter scenario, all four model categories closely track the reference SOC trajectory in a combined figure of BiGRU’s Weight Distribution Over Time. The weight exhibits abrupt jumps between 0, the midpoint, and 1 over the time dimension. To adopt a neutral and balanced strategy, the BiGRU weights are set to 0.5 in the fixed-weight model. This configuration ensures equal weighting for both branches of the model, thereby enhancing the consistency of the experimental setup. Their error patterns exhibit significant differences. For example, in Figure 5a, the discrepancies between models become apparent between 500 and 2000 min. BiGRU exhibits higher sensitivity to step changes in the SOC and rapidly suppresses transient deviations; a slight overshoot is subsequently observed. The Informer demonstrated relatively stable peak control during this period, though a visible phase lag was present. The fusion model assigns higher weights to the BiGRU branch within this interval while correspondingly reducing the weight of the Informer branch. This adjustment minimizes peak error and shortens stabilization time without compromising response speed. The fixed-weight model lacks adaptive control, thus providing only a compromise response. In Figure 5b, within 2000 to 3000 min. The Informer demonstrates significant advantages in modeling low-frequency components and long-range dependencies, evidenced by its SOC predictions exhibiting lower steady-state bias and reduced drift. BiGRU exhibits slight baseline drift during this phase. The fusion model increases the weight of the Informer branch within this interval, thereby achieving robust alignment with the long-term trend. Its error is lower than that of using either branch individually. The fixed-weight model cannot dynamically adjust their weights to balance transient response and steady-state accuracy. At this stage, the drift and fluctuation of the model’s SOC estimate typically fall between those of its two component branches. In Figure 5c, BiGRU’s gated recurrent structure exhibits greater plasticity for short-term correlations and nonlinear transients. This behavior manifests as rapid convergence to the measured SOC within 2000 min. The ProbSparse attention mechanism in the Informer model is particularly effective at modeling long-range dependencies and low-frequency components of SOC. Within the first 2000 min, this mechanism exhibits low error drift but experiences a brief phase lag. The fusion model dynamically reweights the contributions of both branches through a time-step gating mechanism to balance transient response and steady-state accuracy. This enables simultaneous peak suppression and long-term trend adjustment.
The second quarter section in Figure 5 shows that the measurement results exhibit more complex operating patterns, driven by the BMS in response to changes in environmental conditions. The system primarily operates in high SOC float charging and shallow cycle modes. Charging is concentrated during the early morning hours, while discharging occurs mainly during morning and evening peak periods. Owing to BiGRU’s sensitivity to local changes, it often overreacts to segments exhibiting significant SOC fluctuations, particularly at high SOC levels. The Informer model maintains robust trend-following performance over extended charge–discharge cycles. When subjected to abrupt or non-periodic disturbances, it exhibits transient, observable phase lags. In contrast, the fusion model dynamically reweights the contributions of both branches. It prioritizes the BiGRU branch during fast-switching intervals and the Informer branch during low-gradient intervals. Thereby reducing overshoot and phase lag. The fixed-weight model lacks adaptive capabilities. Under such circumstances, maintaining optimal balance proves extremely challenging, often compromising steady-state accuracy and transient alignment. In Figure 5d, around 1500 min. BiGRU rapidly aligns with the measured SOC through its gating mechanism but remains susceptible to minor cumulative overshoots. The SOC prediction from Informer exhibits consistent phase lag. The fusion model rapidly adjusts branch weights near the disturbance frequency, thereby reducing the error envelope and accelerating convergence speed. Its steady-state prediction accuracy outperforms the fixed-weight model. In Figure 5e, at approximately 3500 min, excessively high SOC levels cause battery pack temperatures to rise, leading to drift in equivalent circuit parameters such as resistance. This coupling effect exacerbates the trade-off between trend consistency and rapid step response in battery pack-level estimators. Informer exhibits the lowest steady-state bias at this stage but demonstrates transient phase lag in step responses. BiGRU shows slight baseline drift but rapidly readjusts after step changes. The fusion model increases the weight of the Informer branch within this interval and rapidly boosts the BiGRU branch weight during step transitions, followed by rebalancing the distribution.
As shown in Figure 6, the third quarter featured high irradiation intensity and frequent charging–discharging conversion switching. During morning and afternoon periods, BMS control actions combined with minor load fluctuations resulted in a series of small step changes in the SOC. In Figure 6a, over the interval 1500–3000 min. BiGRU employs a gating mechanism to promote rapid local nonlinear responses during this interval, thereby enhancing consistency between predicted and measured SOC while exhibiting a reduced tendency for cumulative overshoot. Informer is particularly effective at modeling long-range dependencies and low-frequency components, but it often exhibits consistent phase lag when responding to high-frequency, low-amplitude SOC fluctuations. The fusion model rapidly switches weights between two branches as the SOC changes. During transitions and perturbations, it biases weights toward the BiGRU branch. During stationary intervals, it biases weights toward the Informer branch. The peak error and lag decrease synchronously, with the error converging significantly. Fixed-weight models lack adaptive mechanisms and thus cannot update their predictions in a timely manner, and thus cannot update their predictions in a timely manner. In Figure 5b, over the interval of 3000–4000 min during SOC stable intervals, the Informer exhibits low steady-state bias and reduced drift. BiGRU may exhibit slight baseline fluctuations. The fusion model increases the weight of the Informer branch within the SOC steady-state interval to enhance long-term trend consistency and suppress steady-state bias. Compared to the fusion model, the fixed-weight model exhibits poorer trend fidelity in this interval.
In the fourth quarter. The drop in ambient temperature caused an increase in equivalent internal resistance, resulting in a decrease in available capacity. During charge–discharge mode transitions. Peak morning electricity demand was pronounced, prolonging the voltage recovery time. In Figure 6d, over the interval of 500–1500 min, BiGRU exhibits rapid step responses to SOC changes, but often shows slight overshoot under low-temperature and time-varying operating conditions. During this interval, the Informer model exhibits a big transient phase lag. The fusion model increases the weight of the BiGRU branch during step transitions and allocates resources toward the Informer branch during stationary intervals. Thereby simultaneously reducing peak amplitude and phase lag. In contrast, the fixed-weight model fails to adequately adapt to the non-stationary dynamics in this state.
As shown in Figure 6e, under lower ambient temperatures, evening peak load periods are typically accompanied by longer discharge durations and greater depths of discharge. The reduction in load-related parameters and temperature-induced hysteresis is associated with an increase in the nonlinearity of the system’s time-domain dynamics. Over the 2500 min timeframe, the Informer maintains robust trend tracking and limited cumulative error. However, a transient phase lag was observed during load pulse events. BiGRU exhibits faster pulse tracking and reduced peak error, but it demonstrates gradual baseline drift over extended time intervals. During extended discharge intervals, the fusion model exhibits a bias toward the Informer branch. By temporarily increasing the weights of the BiGRU branch during pulse transitions, this model achieves the lowest overall error within this interval.

3.4. Generalization Experiments

In order to validate the sensitivity of the model to the effects of different seasonal temperatures on the SOC of the battery pack, and to assess the changes in charging and discharging behavior under seasonal variations, the experiments were designed to better replicate real-world BMS operating conditions. In addition to the intra-month cutoff experiment, a seasonal leave-one-out ablation experiment was conducted. The method divides the annual data into four seasons, each containing three months, selecting three seasons as the training set while using the remaining seasons as the test set. Compared to slicing by month, slicing by season resulted in greater differences in data distribution between the training and test sets.
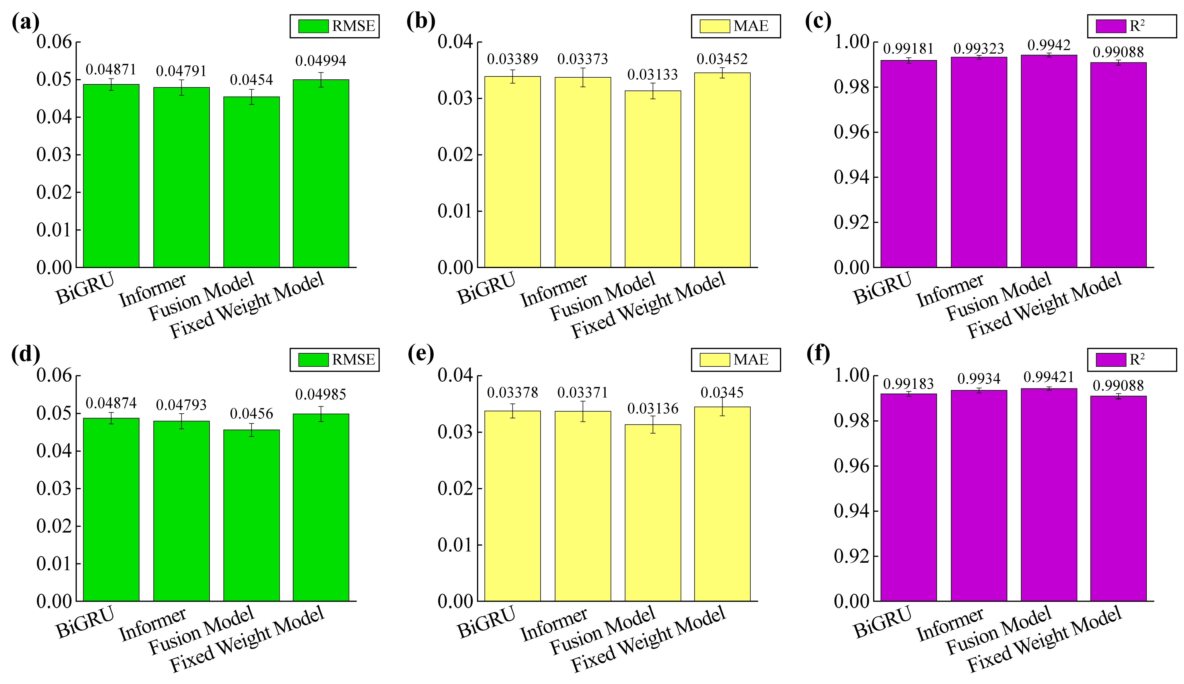
As shown in Figure 7, from a holistic perspective, the integrated model demonstrated lower error rates and higher robustness compared to any individual submodels across both analysis quarters. Specifically, the fusion model achieves lower RMSE and MAE than any of its constituent submodels, with a smaller error line. Taken together, these results not only indicate lower average errors but also reduced variation between runs. Although all the models performed well in the first quarter, the performance gap widened further under the more complex operating conditions of the second quarter. As shown in Figure 7a,d, compared to the first quarter, all the models exhibit higher overall RMSE in the second quarter, with longer error bars indicating increased variability during the run. This reflects the more challenging and non-steady pattern observed in photovoltaic integrated energy storage systems this quarter. Under these more challenging non-stationary conditions, the advantages of adaptive fusion become more pronounced because it dynamically reweights branch contributions based on the temporal context.
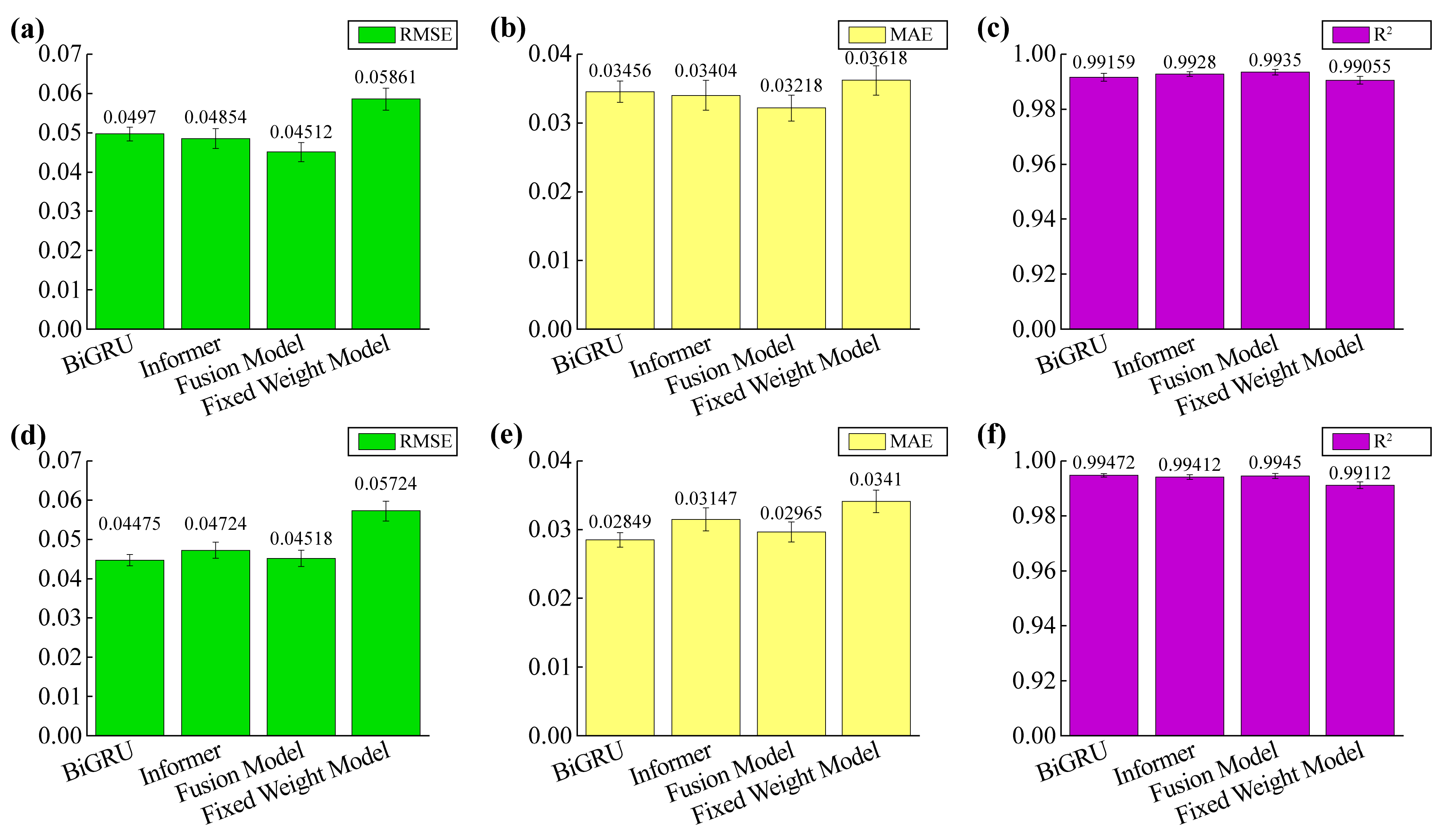
As shown in Figure 8, in the third quarter and fourth quarter, the fusion model achieved the best performance among the compared models across all three performance metrics. Lower average errors and narrower error bands indicate reduced variability between runs. These results indicate that the model exhibits higher predictive accuracy and greater robustness. Among the models compared, the Informer model achieved the second-best performance, outperforming the other two models. As shown in Figure 8b,e, it is worth noting that according to the report’s metrics, the independent model experienced a greater decline in performance from the third quarter to the fourth quarter compared to other models. In particular, BiGRU’s MAE exhibits greater volatility, as evidenced by the amplified standard deviation bars in the fourth quarter. These results indicate that under more pronounced seasonal variations, the model exhibits increased output variability and reduced estimation stability. The fusion model maintains a consistently low error state and exhibits reduced inter-run variability, demonstrating remarkable generalization capabilities under seasonal variations.
Comparative analysis of the two plots further confirms that the fusion model exhibits higher stability under changing seasonal generalization conditions and can effectively mitigate the effects of drifting data distributions due to seasonal changes. In contrast, the BiGRU and Informer networks exhibit significant volatility, with a large increase in errors observed in certain seasonal test scenarios. These results demonstrate that fusion models are better suited for complex real-world cross-seasonal scenarios, validating both the necessity and effectiveness of integrating the strengths of different network architectures.

3.5. Comparative Experiments

In this section, we compare the performance of different network models for battery pack SOC prediction under different data partitioning strategies. The results in Table 7 show that the fusion model achieves optimal performance regardless of whether monthly segmentation or seasonal segmentation with quarterly test sets is used. These findings suggest that AVM fusion strategies exhibit strong generalization capabilities.
Specifically, the performance of the individual single models varied across the month-by-month experiments. Among them, Informer [48], TCN [48], BiGRU [48], BiLSTM-PANN [36], and CNN-BiGRU [35] networks perform well in terms of RMSE and R2. This demonstrates the superior ability of these sequence models to capture time dependence. Among these models, Informer and BiLSTM-PANN show particularly strong performance. This is attributed to Informer’s ability to capture long-range dependencies and the attention mechanism within the BiLSTM-PANN fusion model.
In the cross-quarter generalization experiments, the overall performance of the models degraded when a single quarter was used as the test set, but the magnitude of the degradation varied significantly between models. In these models, the D-Linear [49] and LSTM-EKF [24] networks perform significantly worse than the other networks, especially in terms of RMSE and MAE metrics. This suggests that simple linear and classical filtering models are not capable of predicting the SOC of battery packs in generalized scenarios across seasons. When using the second quarter as the test set, the N-Beats [48] model has an RMSE of 9.26%, which is much higher than its RMSE in other quarters (about 5% to 7%). This indicates that the battery pack data characteristics in the second quarter are more complex or exhibit seasonal patterns, making it difficult for the N-Beats network to learn effectively.
Notably, BiLSTM-PANN, Informer, and CNN-BiGRU show consistently stable performance in seasonal tests. The relatively small variation in RMSE and R2 metrics across seasons suggests that these models are robust to seasonal variation. The TCN and BiGRU networks also show strong performance across seasons, although their results exhibit slightly larger fluctuations between seasons.
It is particularly noteworthy that the BiLSTM-PANN model showed the best performance when the first and fourth quarters were used as the test set. This can be explained by the operating characteristics of the two quarters. In the first and fourth quarters, electricity demand is relatively low, and the charging and discharging cycles are relatively regular. In this case, the BiLSTM structure excels at modeling sequential dependencies, while the PANN module further enhances feature representation by adaptively emphasizing salient temporal patterns.
Overall, the fusion model consistently achieved the best performance in the cross-seasonal experiments, significantly outperforming each individual model. These results suggest that fusing the predicted outputs of different model architectures using the AVM is an effective way to enhance model generalization. As a result, it is better equipped to meet the challenges posed by seasonal environmental changes in battery pack SOC forecasting. In the monthly segmentation experiment, the fusion model reduces RMSE by 9.18% and MAE by 12.21% compared to the BiGRU network. Relative to the Informer network, the converged model achieves an 8.69% reduction in RMSE and an 11.01% reduction in MAE. In the seasonal segmentation experiment, the fusion model reduces the RMSE by an average of 5.38%, respectively, compared to the BiGRU network, and 5.37% lower RMSE and 6.39% lower MAE compared to the Informer network. These results show that the AVM fusion strategy significantly improves the accuracy of battery pack SOC prediction. In addition, it enhances the generalization of the model across different seasons.

4. Discussion

Wang combined the first-order equivalent circuit model (ECM) with the EKF. Fuzzy logic correction was introduced to address battery heterogeneity and voltage hysteresis in NMC and LFP chemical systems [50]. Zhang developed a nonlinear system of differential-algebraic equations based on the ECM. By combining observability analysis with a Luenberger-type observer, the SOC of individual cells can be estimated using only battery pack-level measurements [51]. This method explicitly incorporates physical knowledge such as electrochemistry and equivalent circuits, offering excellent interpretability, and possesses a certain degree of extrapolation capability under moderate operating condition variations. Such models typically require explicit model identification, parameter calibration, and expert tuning. When significant changes occur in battery configuration, chemical composition, or operating conditions, these tasks become computationally costly and inflexible. They rely too heavily on simplified physical assumptions, which limit their accuracy in complex or highly nonlinear real-world scenarios.
In contrast, our proposed method adopts a purely data-driven framework that directly learns the time-dependent mapping from battery pack current and cell SOC to battery pack SOC using deep learning from the dataset. This approach eliminates the need for physics-based parameterization, enhances adaptability to different system dynamics, and reduces engineering overhead. By training on large-scale historical data, the model can capture lagged effects, aging behavior, and multi-factor interactions that are typically difficult to explicitly model, making it more suitable for actual BMS operating in complex and constantly changing environments.
A limitation of the current approach lies in its validation and optimization being primarily conducted within the LFP chemical system. This focus imposes several constraints. LFP typically exhibits a very flat open-circuit voltage plateau, with minimal voltage variation across a wide SOC range. Reduced sensitivity to voltage characteristics introduces greater uncertainty in SOC estimation. Other chemical systems (NMC and NCA) often exhibit steeper OCV–SOC curves, resulting in stronger correlation between voltage signals and SOC. LFP typically exhibits differences from other chemical systems in terms of internal resistance behavior, aging trajectories, and temperature sensitivity.
In future work, our approach will require some adjustments to be adapted to other chemical systems:
(1)
The input feature set can be enhanced by incorporating characteristics such as differential voltage, incremental resistance, and impedance-derived signals, which offer greater distinguishability on steep OCV curves.
(2)
The network architecture or hyperparameters must be retrained or fine-tuned for the target chemical system.
(3)
Transfer learning may be employed by pre-training the model on a large-scale LFP dataset, then fine-tuning it on NMC/NCA system data.
Previous studies have demonstrated this adaptability across chemical systems. Zheng proposed an adaptive SOC estimation method for LFP–NMC hybrid battery packs. The internal model can be dynamically adjusted to accommodate variations in chemical systems [52]. Barik systematically reviewed SOC estimation methods for various lithium-ion chemical systems, emphasizing the urgent need for more flexible, chemistry-agnostic strategies in real-world BMS scenarios [53]. Inspired by these works, the methods described in this paper, after adaptation and optimization, are feasible and hold potential for extension to other chemical systems.
This study primarily focuses on the offline evaluation of the model we propose. In the actual deployment of BMS, real-time feasibility is critical. A key factor in real-time deployment is inference time. It directly impacts the system’s ability to provide timely SOC estimates during battery operation. In this study, the inference time for each batch of the tested models was as follows: the BiGRU model averages 4.05 s per batch, the Informer model takes 4.61 s, while the fusion model requires 8.18 s.
Although these times are reasonable in offline experiments and suitable for batch processing, they exceed the typical real-time requirements in BMS applications. BMS reasoning typically needs to be completed within milliseconds. Reducing inference time is critical during real-time deployment. This can be achieved through model pruning, quantization, or the use of lightweight models.
Furthermore, computational requirements are another important factor that must be considered. The models we tested in this study are computationally intensive. In particular, the fusion model combines multiple model branches with the stability of time series, and has greater complexity. In real-time deployment scenarios, strategies such as distributed computing and edge processing can be explored to ensure the system meets real-time constraints.
Future work will focus on optimizing inference time and computational efficiency to make fusion models more suitable for real-time BMS applications. This will involve reducing model size, optimizing the inference process, and testing on hardware platforms capable of handling real-time requirements.

5. Conclusions

In this paper, we propose a battery pack SOC prediction framework that combines redundant control-related downscaling with AVM fusion mechanisms. The method effectively reduces the input dimension by 81.25% through redundant control while maintaining the prediction accuracy. The AVM combines BiGRU’s ability to model short-term time series with Informer’s strength in extracting long-term features, resulting in an effective fusion of individual cell coupling information and battery pack estimation. In monthly segmentation experiments, this fusion model reduces the RMSE and MAE of BiGRU by 9.18% and 12.21%, respectively. The RMSE and MAE are 8.69% and 11.01% lower than the Informer network, respectively. The fusion model achieved an R2 of 99.72%. In the seasonal segmentation experiment, the fusion model reduces the RMSE by 5.38%, respectively, compared to the BiGRU network. RMSE and MAE are 5.37% and 6.39% lower than the Informer network, respectively. The fusion model achieved an average R2 of 99.41%. The results show that the proposed dimensionality reduction strategy combined with the AVM fusion mechanism significantly improves the SOC prediction accuracy of the battery pack. Furthermore, it enhances the model’s ability to generalize across seasons.
All the experiments in this study were conducted offline using battery pack data. The reported accuracy should be understood as the upper limit of performance in an offline environment, not the performance expected from a real-time online BMS. The current experimental setup demonstrates high accuracy under offline conditions. However, it fails to fully reflect the real-time constraints encountered in online deployments, such as processing latency and data availability. In future work, we plan to implement a strictly causal online deployment version. Rigorously validate its performance under practical operational constraints. This will involve addressing challenges such as processing real-time data streams, ensuring low-latency inference, and adapting to the dynamic use of batteries in real-world environments.
Overall, the model proposed in this paper provides reliable technical support for battery pack SOC estimation and demonstrates its potential for energy storage applications. In the future we plan to further extend the applicability of the model. This includes extending the framework to accommodate a wider range of battery pack types and exploring in depth the coupling mechanisms between battery cells and battery packs. In addition, we will examine other key factors that affect battery state estimation. We are committed to developing a more professional and accurate BMS.

Author Contributions

Conceptualization, C.L. and W.Y.; methodology, C.L. and W.Y.; software, C.L. and Q.M.; validation, C.L. and W.Y.; formal analysis, C.L. and W.Y.; investigation, C.L.; resources, F.N. and Y.C.; data curation, C.L.; writing—original draft preparation, C.L. and W.Y.; writing—review and editing, C.L., W.Y. and F.N.; visualization, C.L. and Q.M.; supervision, W.Y. and F.N.; project administration, W.Y. and F.N. All authors have read and agreed to the published version of the manuscript.

Funding

This research is financially supported by the National Natural Science Foundation of China (No. 62273132), the Scientific and Technological Project of Henan Province (No. 252102111023), the Key Research and Development Project of Henan Province (No. 251111222000), and the Key Discipline Cluster for High-End Intelligent Lifting Equipment of Henan Province.

Data Availability Statement

The data presented in this study are available on request from the corresponding author due to the Battery pack data is sourced from suppliers and is not publicly available.

Conflicts of Interest

The authors declare that no commercial or financial relationships were involved in the research that could be interpreted as a potential conflict of interest.

Acronyms and Symbols

AcronymDescription
SOCState Of Charge
LibLithium-Ion Battery
BMSBattery Management System
AVMAdaptive Error Variation Weighting Mechanism
ANNsArtificial Neural Networks
OCVOpen Circuit Voltage
RCResistance Capacitance
RNNRecurrent Neural Network
GRUGated Recurrent Unit
BiGRUBidirectional Gated Recurrent Unit
LSTMLong Short-Term Memory
BiLSTMBidirectional Long Short-Term Memory
LTVLinear Time-Varying
EKFExtended Kalman Filter
ECMEquivalent Circuit Model
NMCNickel–Manganese–Cobalt oxide
LFPLithium Iron Phosphate
NCANickel–Cobalt–Aluminum oxide
DEKFDual Extended Kalman Filter
MCPEMulti-Criteria Performance Evaluation
LQRLinear Quadratic Regulator
CNNConvolutional Neural Network
TCNTemporal Convolutional Network
N-BeatsNeural Basis Expansion Analysis for Time Series
PANNParallel Artificial Neural Network
RIRedundancy Index
MAPEMean Absolute Percentage Error
RMSERoot Mean Square Error
MAEMean Absolute Error
R2 Coefficient of Determination
FormulaDescription
X Input Sequence
PEPosition Encoding
W in Weight Matrix
b in Bias Vector
Q Query
KKey
V Value
d k Dimension of the Key
β t Attentional Weight
h global Global Feature Vector
d i Rank Difference in each pair of Variables
RMSEError Growth Rate
NNumber of Features Retained under RI
W i The Fusion Weight of the ith Model
S O C pred ( t ) Final Forecast Value
W BiGRU ( t ) BiGRU Weight
SO C BiGRU ( t ) BiGRU Forcast Value
W Informer ( t ) Informer Weight
SO C Informer ( t ) Informer Forcast Value

References

  1. Fang, G.C.; Meng, A.X.; Wang, Q.L.; Zhou, H.X.; Tian, L.X. Analysis of the evolution path of new energy system under polymorphic uncertainty-A case study of China. Energy 2024, 300, 131543. [Google Scholar] [CrossRef]
  2. Li, C.P.; Liu, Y.; Li, J.H.; Liu, H.J.; Zhao, Z.Q.; Zhou, H.W.; Li, Z.; Zhu, X.X. Research on the optimal configuration method of shared energy storage basing on cooperative game in wind farms. Energy Rep. 2024, 12, 3700–3710. [Google Scholar] [CrossRef]
  3. Liu, J.C.; Song, Y.N.; Xue, X.J.; Duan, B.F.; Hadi, D.A. Value evaluation model study on shared energy storage adapted to the needs of new power system. Energy 2025, 330, 136977. [Google Scholar] [CrossRef]
  4. Upadhyay, A.; Trondle, T.; Ganter, A.; Petkov, I.; Gabrielli, P.; Sansavini, G. The role of energy storage towards net-zero emissions in the European electricity system. Energy Convers. Manag. 2025, 338, 119887. [Google Scholar] [CrossRef]
  5. Hasan, M.M.; Haque, R.; Jahirul, M.I.; Rasul, M.G.; Fattah, I.M.R.; Hassan, N.M.S.; Mofijur, M. Advancing energy storage: The future trajectory of lithium-ion battery technologies. J. Energy Storage 2025, 120, 116511. [Google Scholar] [CrossRef]
  6. Zhang, K.Q.; Li, D.; Wang, X.H.; Gao, J.W.; Shen, H.L.; Zhang, H.; Rong, C.R.; Chen, Z. Dry Electrode Processing Technology and Binders. Materials 2024, 17, 2349. [Google Scholar] [CrossRef]
  7. Tao, J.J.; Wang, S.L.; Cao, W.; Fernandez, C.; Blaabjerg, F. A Comprehensive Review of Multiple Physical and Data-Driven Model Fusion Methods for Accurate Lithium-Ion Battery Inner State Factor Estimation. Batteries 2024, 10, 442. [Google Scholar] [CrossRef]
  8. Tao, J.J.; Wang, S.L.; Cao, W.; Takyi-Aninakwa, P.; Fernandez, C.; Guerrero, J.M. A comprehensive review of state-of-charge and state-of-health estimation for lithium-ion battery energy storage systems. Ionics 2024, 30, 5903–5927. [Google Scholar] [CrossRef]
  9. Liu, X.Y.; Gao, Y.; Marma, K.; Miao, Y.; Liu, L. Advances in the Study of Techniques to Determine the Lithium-Ion Battery’s State of Charge. Energies 2024, 17, 1643. [Google Scholar] [CrossRef]
  10. Lipu, M.S.H.; Abd Rahman, M.S.; Mansor, M.; Ansari, S.; Meraj, S.T.; Hannan, M.A. Hybrid and combined states estimation approaches for lithium-ion battery management system: Advancement, challenges and future directions. J. Energy Storage 2024, 92, 112107. [Google Scholar] [CrossRef]
  11. Liu, F.; Yu, D.; Su, W.; Bu, F. Multi-state joint estimation of series battery pack based on multi-model fusion. Electrochim. Acta 2023, 443, 141964. [Google Scholar] [CrossRef]
  12. Liu, W.; Che, Y.; Han, J.; Deng, Z.; Hu, X.; Song, Z. Co-estimation of state-of-charge and capacity for series-connected battery packs based on multi-method fusion and field data. J. Power Sources 2024, 615, 235114. [Google Scholar] [CrossRef]
  13. Weng, Y.; Ababei, C. AI-assisted reconfiguration of battery packs for cell balancing to extend driving runtime. J. Energy Storage 2024, 84, 110853. [Google Scholar] [CrossRef]
  14. Liu, S.; Li, K.; Yu, J. Battery pack condition monitoring and characteristic state estimation: Challenges, techniques, and future prospectives. J. Energy Storage 2025, 105, 114446. [Google Scholar] [CrossRef]
  15. Liu, F.; Yu, D.; Su, W.; Ma, S.; Bu, F. Adaptive Multitimescale Joint Estimation Method for SOC and Capacity of Series Battery Pack. IEEE Trans. Transp. Electrif. 2023, 10, 4484–4502. [Google Scholar] [CrossRef]
  16. Benkara, K.E.; Alchami, A.; Eddine, A.N.; Bakaraki, G.; Forgez, C. Field programmable gate arrays implementation of a Kalman filter based state of charge observer of a lithium ion battery pack. J. Energy Storage 2023, 70, 107860. [Google Scholar] [CrossRef]
  17. Cicconi, P.; Kumar, P. Design approaches for Li-ion battery packs: A review. J. Energy Storage 2023, 73, 109197. [Google Scholar] [CrossRef]
  18. Sun, J.; Jiang, T.; Yang, G.; Tang, Y.; Chen, S.; Qiu, S.; Song, K. A novel charging and active balancing system based on wireless power transfer for Lithium-ion battery pack. J. Energy Storage 2022, 55, 105741. [Google Scholar] [CrossRef]
  19. Nguyen, N.-A.; La, P.-H.; Choi, S.-J. Novel High-Speed State-of-Charge Alignment Algorithm for EV Battery Maintenance. IEEE Trans. Ind. Electron. 2024, 71, 15724–15733. [Google Scholar] [CrossRef]
  20. Zhang, S.Z.; Peng, N.; Lu, H.B.; Li, R.; Zhang, X.W. A systematic and low-complexity multi-state estimation framework for series-connected lithium-ion battery pack under passive balance control. J. Energy Storage 2022, 48, 103989. [Google Scholar] [CrossRef]
  21. Maurya, M.; Gawade, S.; Zope, N. A study of different machine learning algorithms for state of charge estimation in lithium-ion battery pack. Energy Storage 2024, 6, e658. [Google Scholar] [CrossRef]
  22. Zhou, X.; Zhou, S.; Gao, Z.; Wang, G.; Zong, L.; Liu, J.; Zhu, F.; Ming, H.; Zheng, Y.; Chen, F. A statistical distribution-based pack-integrated model towards state estimation for lithium-ion batteries. eTransportation 2024, 19, 100302. [Google Scholar] [CrossRef]
  23. Naguib, M.; Kollmeyer, P.; Emadi, A. Lithium-Ion Battery Pack Robust State of Charge Estimation, Cell Inconsistency, and Balancing: Review. IEEE Access 2021, 9, 50570–50582. [Google Scholar] [CrossRef]
  24. Liu, X.; Xia, W.; Li, S.; Lin, M.; Wu, J. State of Charge Estimation for Lithium-Ion Battery Pack With Selected Representative Cells. IEEE Trans. Transp. Electrif. 2024, 10, 4107–4118. [Google Scholar] [CrossRef]
  25. Yu, Q.; Huang, Y.; Tang, A.; Wang, C.; Shen, W. OCV-SOC-temperature relationship construction and state of charge estimation for a series–parallel lithium-ion battery pack. IEEE Trans. Intell. Transp. Syst. 2023, 24, 6362–6371. [Google Scholar] [CrossRef]
  26. Docimo, D.J. Estimation and balancing of multi-state differences between lithium-ion cells within a battery pack. J. Energy Storage 2022, 50, 104264. [Google Scholar] [CrossRef]
  27. Liu, Y.; Meng, J.; Yang, F.; Peng, Q.; Peng, J.; Liu, T. A switchable indicator for active balance of the lithium-ion battery pack using a bypass equalizer. J. Energy Storage 2023, 68, 107696. [Google Scholar] [CrossRef]
  28. Li, H.; Zhuo, S.; Zhou, Y.; Bin Kaleem, M.; Jiang, Y.; Jiang, F. Robust SOH estimation for Li-ion battery packs of real-world electric buses with charging segments. Sci. Rep. 2025, 15, 24871. [Google Scholar] [CrossRef]
  29. Du, J.; Wang, J.; Tan, B.; Cao, X.; Qu, C.; Ou, Y.; He, X.; Xiong, L.; Tu, R. Estimation of battery state of charge based on changing window adaptive extended Kalman filtering. J. Energy Storage 2024, 103, 114325. [Google Scholar] [CrossRef]
  30. Dong, H.N.; Huang, W.; Zhao, Y.X. Low complexity state-of-charge estimation for lithium-ion battery pack considering cell inconsistency. J. Power Sources 2021, 515, 230599. [Google Scholar] [CrossRef]
  31. Zhang, G.; Xia, B.; Wang, J.; Ye, B.; Chen, Y.; Yu, Z.; Li, Y. Intelligent state of charge estimation of battery pack based on particle swarm optimization algorithm improved radical basis function neural network. J. Energy Storage 2022, 50, 104211. [Google Scholar] [CrossRef]
  32. Feng, F.; Hu, X.; Hu, L.; Hu, F.; Li, Y.; Zhang, L. Propagation mechanisms and diagnosis of parameter inconsistency within Li-Ion battery packs. Renew. Sustain. Energy Rev. 2019, 112, 102–113. [Google Scholar] [CrossRef]
  33. Wu, X.; Li, M.; Du, J.; Hu, F. SOC prediction method based on battery pack aging and consistency deviation of thermoelectric characteristics. Energy Rep. 2022, 8, 2262–2272. [Google Scholar] [CrossRef]
  34. Li, Y.; Li, K.; Xie, Y.; Liu, B.; Liu, J.; Zheng, J.; Li, W. Optimization of charging strategy for lithium-ion battery packs based on complete battery pack model. J. Energy Storage 2021, 37, 102466. [Google Scholar] [CrossRef]
  35. Qi, Q.; Liu, W.; Deng, Z.; Li, J.; Song, Z.; Hu, X. Battery pack capacity estimation for electric vehicles based on enhanced machine learning and field data. J. Energy Chem. 2024, 92, 605–618. [Google Scholar] [CrossRef]
  36. Manoharan, A.; Sooriamoorthy, D.; Begam, K.M.; Aparow, V.R. Electric vehicle battery pack state of charge estimation using parallel artificial neural networks. J. Energy Storage 2023, 72, 108333. [Google Scholar] [CrossRef]
  37. Hu, L.; Ye, Y.; Bo, Y.; Huang, J.; Tian, Q.; Yi, X.; Li, Q. Performance evaluation strategy for battery pack of electric vehicles: Online estimation and offline evaluation. Energy Rep. 2022, 8 (Suppl. S4), 774–784. [Google Scholar] [CrossRef]
  38. Dini, P.; Paolini, D. Exploiting Artificial Neural Networks for the State of Charge Estimation in EV/HV Battery Systems: A Review. Batteries 2025, 11, 107. [Google Scholar] [CrossRef]
  39. Ria, A.; Dini, P. A Compact Overview on Li-Ion Batteries Characteristics and Battery Management Systems Integration for Automotive Applications. Energies 2024, 17, 5992. [Google Scholar] [CrossRef]
  40. Dini, P.; Saponara, S.; Colicelli, A. Overview on Battery Charging Systems for Electric Vehicles. Electronics 2023, 12, 4295. [Google Scholar] [CrossRef]
  41. Dini, P.; Colicelli, A.; Saponara, S. Review on Modeling and SOC/SOH Estimation of Batteries for Automotive Applications. Batteries 2024, 10, 34. [Google Scholar] [CrossRef]
  42. Dini, P.; Saponara, S. Electro-Thermal Model-Based Design of Bidirectional On-Board Chargers in Hybrid and Full Electric Vehicles. Electronics 2021, 11, 112. [Google Scholar] [CrossRef]
  43. Taheri, N.; Tucci, M. Enhancing Regional Wind Power Forecasting through Advanced Machine-Learning and Feature-Selection Techniques. Energies 2024, 17, 5431. [Google Scholar] [CrossRef]
  44. Xu, F.; Zhang, Y.; Ma, Q.; Hu, L.; Li, Y.; Gao, C.; Guo, P.; Yang, X.; Zhou, Y.; Zhang, J.; et al. Prediction of clinical pregnancy after frozen embryo transfer based on ultrasound radiomics: An analysis based on the optimal periendometrial zone. BMC Pregnancy Childbirth 2025, 25, 391. [Google Scholar] [CrossRef] [PubMed]
  45. Xuebin, L.; Zhao, J.; Luchun, Y.; Wenjin, Z. Study on lithium-ion battery state of health estimation through multiobjective feature selection and multivariate analysis. Energy Rep. 2025, 13, 3035–3049. [Google Scholar] [CrossRef]
  46. Zhang, L.; Yang, K.; Zhang, X. Particle swarm optimization-gated recurrent unit neural network lithium battery state of health estimation based on feature optimization selection strategy. J. Power Sources 2025, 654, 237798. [Google Scholar] [CrossRef]
  47. Chicco, D.; Warrens, M.J.; Jurman, G. The coefficient of determination R-squared is more informative than SMAPE, MAE, MAPE, MSE and RMSE in regression analysis evaluation. PeerJ Comput. Sci. 2021, 7, e623. [Google Scholar] [CrossRef]
  48. Wu, Y.; Bai, D.; Zhang, K.; Li, Y.; Yang, F. Advancements in the estimation of the state of charge of lithium-ion battery: A comprehensive review of traditional and deep learning approaches. J. Mater. Inform. 2025, 5, 18. [Google Scholar] [CrossRef]
  49. Lin, Z.; Li, D.; Liu, Z.; Zou, Y. Long-term energy efficiency prediction for lithium-ion batteries through multi-feature fusion and deep learning. J. Energy Storage 2025, 132, 117622. [Google Scholar] [CrossRef]
  50. Wang, G.; Jin, B.; Wang, M.; Sun, Y.; Zheng, Y.; Su, T. State of charge estimation for “LiFePO4-LiCoxNiyMn1-x-yO2” hybrid battery pack. J. Energy Storage 2023, 65, 107345. [Google Scholar] [CrossRef]
  51. Zhang, D.; Couto, L.D.; Drummond, R.; Sripad, S.; Viswanathan, V. Cell-level state of charge estimation for battery packs under minimal sensing. arXiv 2021, arXiv:2109.08332. [Google Scholar] [CrossRef]
  52. Zheng, C.W.; Yi, B.X.; Shi, M.J. An adaptive state of charge estimation method for hybrid battery pack. J. Power Sources 2025, 659, 238374. [Google Scholar] [CrossRef]
  53. Barik, S.; Saravanan, B. Recent developments and challenges in state-of-charge estimation techniques for electric vehicle batteries: A review. J. Energy Storage 2024, 100, 113623. [Google Scholar] [CrossRef]
Figure 1. The architecture of Informer.
Figure 1. The architecture of Informer.
Energies 18 05340 g001
Figure 2. SOC estimation framework with fusion model.
Figure 2. SOC estimation framework with fusion model.
Energies 18 05340 g002
Figure 3. Spearman correlation heatmap of 16 features and the SOC of the Lib pack.
Figure 3. Spearman correlation heatmap of 16 features and the SOC of the Lib pack.
Energies 18 05340 g003
Figure 4. Sensitivity analysis results.
Figure 4. Sensitivity analysis results.
Energies 18 05340 g004
Figure 5. Estimation results and error with fixed-weight model, fusion model, BiGRU, and Informer: (a,d) SOC estimation result of first and second quarter; (b,e) BiGRU’s Weight Distribution Over Time; (c,f) SOC estimation error of first and second quarter.
Figure 5. Estimation results and error with fixed-weight model, fusion model, BiGRU, and Informer: (a,d) SOC estimation result of first and second quarter; (b,e) BiGRU’s Weight Distribution Over Time; (c,f) SOC estimation error of first and second quarter.
Energies 18 05340 g005
Figure 6. Estimation results and error with fixed-weight model, fusion model, BiGRU, and Informer: (a,d) SOC estimation result of third and fourth quarter; (b,e) BiGRU’s Weight Distribution Over Time; (c,f) SOC estimation error of third and fourth quarter.
Figure 6. Estimation results and error with fixed-weight model, fusion model, BiGRU, and Informer: (a,d) SOC estimation result of third and fourth quarter; (b,e) BiGRU’s Weight Distribution Over Time; (c,f) SOC estimation error of third and fourth quarter.
Energies 18 05340 g006
Figure 7. Chart of performance indicators by season: (ac) first quarter performance indicator chart; (df) second quarter performance indicator chart.
Figure 7. Chart of performance indicators by season: (ac) first quarter performance indicator chart; (df) second quarter performance indicator chart.
Energies 18 05340 g007
Figure 8. Chart of performance indicators by season: (ac) third quarter performance indicator chart; (df) fourth quarter performance indicator chart.
Figure 8. Chart of performance indicators by season: (ac) third quarter performance indicator chart; (df) fourth quarter performance indicator chart.
Energies 18 05340 g008
Table 1. RI grading vs. practical interpretations.
Table 1. RI grading vs. practical interpretations.
R I Range of ValuesPractical Interpretation
R I 0.3Low redundancy
0.3 < R I 0.6Moderate redundancy
0.6 < R I 0.9High redundancy
0.9 < R I Extreme redundancy
Table 2. Main characteristics of the Lib pack.
Table 2. Main characteristics of the Lib pack.
CharacteristicValue
Battery typeLiFePO4
Number of Battery modules16
Number of Battery cells6
Nominal voltage51.2 V
Voltage range45–54 V
Max output power5.0 kW
Ambient temperature range−10–50 °C
Operating temperatureDischarge: −10–50 °C
Charge: 0–50 °C
Table 3. Summary of hyperparameters for fusion model.
Table 3. Summary of hyperparameters for fusion model.
HyperparameterValue
Hidden size48
Layers2
Dropout0.1
Learning rate0.01
ActivationRelu
Batch size48
Epochs150
Random seeds5
Num_heads8
Attention Mechanism TypeProbSparse
Table 4. Summary of hyperparameters for BiGRU.
Table 4. Summary of hyperparameters for BiGRU.
HyperparameterValue
Hidden size48
Layers2
Dropout0.1
Learning rate0.01
ActivationRelu
Batch size48
Epochs150
Random seeds5
Table 5. Summary of hyperparameters for Informer.
Table 5. Summary of hyperparameters for Informer.
HyperparameterValue
Hidden size40
Num_heads8
Dropout0.1
Learning rate0.01
Batch size48
Epochs150
Attention Mechanism TypeProbSparse
Table 6. Comprehensive evaluation results of each feature factor set.
Table 6. Comprehensive evaluation results of each feature factor set.
RIn RMSEF N
00000
0.330.23750.20.1875
0.660.21300.40.375
0.9150.04200.93330.9375
116111
Table 7. Performance metrics of each network under different experiments.
Table 7. Performance metrics of each network under different experiments.
Data Segmentation MethodNetworksRMSE/%MAE/%R2/%
By monthD-Linear12.567.5496.02
N-beats6.184.9999.06
TCN3.992.5499.61
TFT4.643.6899.47
BiGRU3.702.2199.66
Informer3.682.1899.70
BiLSTM-PANN3.452.3499.71
CNN-BIGRU3.782.7899.64
LSTM-EKF9.548.3697.76
Fixed-Weight Model4.182.2399.56
Fusion Model3.361.9499.72
First quarter is the test set and the remaining three quarters are the training setD-Linear8.895.7998.21
N-beats5.294.0199.08
TCN4.953.2999.34
TFT5.094.2399.12
BiGRU4.973.4599.15
Informer4.853.4099.28
BiLSTM-PANN4.382.7499.47
CNN-BIGRU4.493.0899.43
LSTM-EKF9.087.4197.42
Fixed-Weight Model 5.863.6199.05
Fusion Model4.513.2199.35
Second quarter is the test set and the remaining three quarters are the training setD-Linear11.936.4396.06
N-beats9.268.4997.62
TCN5.373.9399.09
TFT6.895.4698.91
BiGRU4.472.8499.47
Informer4.723.1499.41
BiLSTM-PANN4.852.7799.26
CNN-BIGRU6.333.5798.74
LSTM-EKF11.659.0296.91
Fixed-Weight Model5.723.4199.11
Fusion Model4.512.9699.45
Third quarter is the test set and the remaining three quarters are the training setD-Linear11.886.3496.09
N-beats6.955.4098.48
TCN5.244.2499.16
TFT5.415.5699.12
BiGRU4.873.3899.18
Informer4.793.3799.32
BiLSTM-PANN4.633.2799.37
CNN-BIGRU5.063.7499.28
LSTM-EKF10.017.9097.23
Fixed-Weight Model4.993.4599.08
Fusion Model4.543.1399.42
Fourth quarter is the test set and the remaining three quarters are the training setD-Linear9.116.4298.08
N-beats7.295.6898.79
TCN4.943.3999.29
TFT5.764.4199.07
BiGRU4.873.3799.18
Informer4.793.3799.34
BiLSTM-PANN4.452.8999.46
CNN-BIGRU4.773.2399.41
LSTM-EKF9.077.3397.43
Fixed-Weight Model4.983.4599.08
Fusion Model4.563.1399.42
Disclaimer/Publisher’s Note: The statements, opinions and data contained in all publications are solely those of the individual author(s) and contributor(s) and not of MDPI and/or the editor(s). MDPI and/or the editor(s) disclaim responsibility for any injury to people or property resulting from any ideas, methods, instructions or products referred to in the content.

Share and Cite

MDPI and ACS Style

Yang, W.; Li, C.; Miao, Q.; Chen, Y.; Nie, F. Feature Selection and Model Fusion for Lithium-Ion Battery Pack SOC Prediction. Energies 2025, 18, 5340. https://doi.org/10.3390/en18205340

AMA Style

Yang W, Li C, Miao Q, Chen Y, Nie F. Feature Selection and Model Fusion for Lithium-Ion Battery Pack SOC Prediction. Energies. 2025; 18(20):5340. https://doi.org/10.3390/en18205340

Chicago/Turabian Style

Yang, Wenqiang, Chong Li, Qinglin Miao, Yonggang Chen, and Fuquan Nie. 2025. "Feature Selection and Model Fusion for Lithium-Ion Battery Pack SOC Prediction" Energies 18, no. 20: 5340. https://doi.org/10.3390/en18205340

APA Style

Yang, W., Li, C., Miao, Q., Chen, Y., & Nie, F. (2025). Feature Selection and Model Fusion for Lithium-Ion Battery Pack SOC Prediction. Energies, 18(20), 5340. https://doi.org/10.3390/en18205340

Note that from the first issue of 2016, this journal uses article numbers instead of page numbers. See further details here.

Article Metrics

Back to TopTop