Next Article in Journal
Methodology for the Automatic Generation of Optimization Models of Systems of Flexible Energy Resources
Previous Article in Journal
Theoretical Calculation of Heat and Material Balance for Oil Sludge Pyrolysis Process by Solid Heat Carrier Method
 
 
Font Type:
Arial Georgia Verdana
Font Size:
Aa Aa Aa
Line Spacing:
Column Width:
Background:
Article

The Effect of Intake Temperature on the Idle Combustion Cycle Variation of Two-Stroke Aviation Kerosene Piston Engines

1
School of Energy and Power Engineering, Xihua University, Chengdu 610039, China
2
Key Laboratory of Fluid and Power Machinery, Ministry of Education, Xihua University, Chengdu 610039, China
3
Key Laboratory of Fluid Machinery and Engineering, Sichuan Province, Xihua University, Chengdu 610039, China
4
Engineering Research Center of Intelligent Space Ground Integration Vehicle and Control, Ministry of Education, Xihua University, Chengdu 610039, China
5
School of Aeronautics and Astronautice, Xihua University, Chengdu 610039, China
6
School of Automobile and Transportation, Xihua University, Chengdu 610039, China
*
Author to whom correspondence should be addressed.
Energies 2025, 18(2), 331; https://doi.org/10.3390/en18020331
Submission received: 10 December 2024 / Revised: 6 January 2025 / Accepted: 10 January 2025 / Published: 13 January 2025
(This article belongs to the Section I2: Energy and Combustion Science)

Abstract

In order to solve the problem of combustion cycle variation in two-stroke aviation kerosene piston engines under idle conditions, experiments were conducted to investigate the influence of intake air temperature on combustion cycle variation and output work. The coefficient of variation of the indicated mean effective pressure was used to characterize combustion cycle variation. The results showed that there is a negative correlation between the engine combustion work and the combustion cycle variation. In the lower range, increasing the intake air temperature has a greater effect on reducing the combustion cycle variation, while in the higher range, the combustion cycle variation has a greater impact on the output work. At the same time, the influence of intake air temperature on the fuel evaporation rate is related to engine speed, and this relationship weakens as the engine speed increases. In the range of 0~40 °C, the higher the intake air temperature, the larger the stable combustion range.

1. Introduction

In the last few years, the number of unmanned aerial vehicles on the market has grown. Among them, low-power two-stroke engines are widely used in small to mid-sized unmanned aerial vehicles due to their high power-to-weight ratio [1]. In terms of fuel selection, compared to gasoline (with its higher vapor pressure and strong volatility), kerosene demonstrates greater safety in storage and usage due to its lower vapor pressure and superior thermal stability. Furthermore, kerosene possesses an energy density comparable to that of gasoline, making it an increasingly ideal fuel for small aviation two-stroke engines; its application is widely recognized and highly regarded in scientific literature [2,3,4]. However, for inlet injection, its heavy oil particles can easily condense into a liquid film after contact with the wall of a cold air duct, and it is difficult to form a uniform combustible mixture; thus, the actual air–fuel ratio is different from the theoretical air–fuel ratio, which leads to the combustion instability of the engine [5]. Therefore, aviation kerosene is not easy to use in two-stroke engines [6].
An increase in the intake air temperature (IAT) can effectively improve fuel atomization and evaporation, make the mixture more uniform, and enhance combustion stability [7]. Many scholars have extensively studied the role of IAT in combustion cycle variation. The indicated mean effective pressure (IMEP) encapsulates detailed pressure fluctuation data and is widely regarded as the most reliable parameter for assessing combustion cycle variation. This parameter has been widely used to quantitatively evaluate combustion cycle variation [8]. Yao et al. used IMEP to study the combustion cycle variation of homogeneous charge compression ignition; they found that with an increase in IMEP, the combustion cycle variation of the engine decreased and the combustion stability decreased [9]. Liu et al. also found that as the distribution range of the IMEP decreased, the combustion cycle variation decreased and the combustion stability was enhanced [10]. Maurya et al. evaluated combustion cycle variation using the coefficient of variation of the indicated mean effective pressure ( C o V I M E P ) and found that the variation decreased as the IAT rose [11]. In addition, Wang et al. found that combustion cycle variation is particularly influenced by variations in IAT under low-load conditions. With an increase in IAT, C o V I M E P decreased and the combustion stability increased [12,13,14]. Compared with the low-load condition, when the two-stroke engine was idle, the throttle was almost closed, the intake pressure was low, the airflow speed was weak, and the diffusion ability was insufficient, resulting in large charge fluctuations. At the same time, the low combustion temperature further deteriorated the combustion, causing a significant increase in engine speed changes [15,16].
IAT leads to combustion cycle variation, which directly affects the engine’s output power. The primary focus of current research is on how variations in IAT influence combustion cycles and power output. To this end, many researchers have carried out relevant studies. Regarding the link between combustion cycle variation and engine output power, some studies suggest that eliminating such a variation can lead to a 10% increase in engine output power without changing the fuel consumption [17]. With regard to the relationship between intake temperature and output power, Chen et al. found that the output power of the engine decreased with an increase in IAT when studying the influence of altitude on the output power of an aviation kerosene two-stroke engine. The reason for this is that a high IAT will lead to a decrease in air density, resulting in insufficient intake [18]. Yu et al. also found that, at a certain altitude, the engine power showed an increasing trend as the IAT decreased [19]. Li et al. found that changing the IAT can improve combustion, accelerate the combustion process, as well as enhance the engine’s effective power and indicated thermal efficiency [20].
The hybrid unmanned aerial vehicle engine is required to maintain idle operation for extended periods at low altitudes [21]. Idle speed, a typical working condition of the engine, accounts for about 25% of the running time and 30% of the fuel, and the combustion cycle varies considerably [22,23]. The low-temperature environment causes difficulties in fuel evaporation, exacerbating combustion cycle variations at idle conditions. Therefore, this study employed the sensitivity coefficient method to establish a quantitative relationship between intake air temperature, combustion cycle variation, and output power; experiments were conducted under idle conditions on a two-stroke engine. Next, the experimental results are discussed, and the impacts of intake air temperature and crankcase temperature on the fuel evaporation rate are analyzed. After operating under different loads, the engine’s crankcase temperature varies. Based on the fuel evaporation rates at these temperature conditions, fuel injection is adjusted to improve fuel economy. Additionally, at different intake air temperatures, reducing combustion cycle variations and enhancing combustion stability at idle conditions becomes significant.

2. Experimental Specifications

2.1. Experimental Setup

This research was carried out on an engine measurement and control platform composed of the following parts: an intake temperature control system, signal acquisition system, exhaust condensation system, dynamometer, and engine. Figure 1 illustrates the layout of the test bench. The aviation kerosene details are shown in Table 1, the engine parameters are provided in Table 2, and the signal acquisition equipment and specifications are shown in Table 3.

2.2. Test Conditions

When studying the influence of i n t a k e   a i r   t e m p e r a t u r e   ( T a ) on combustion cycle variation and output power, the injection pulse width is adjusted under the following conditions, as shown in Table 4, and the engine is kept in an idle condition.
When the engine is working, the heat release will lead to an increase in the crankcase temperature ( T c ) . T c and T a jointly affect the fuel evaporation rate. The temperature range of the typical working condition of the crankcase is between 40 °C and 120 °C, and the working condition is selected, as shown in Table 5. To investigate the effects of different T a values on the fuel evaporation rate, the crankcase is heated to the test condition temperature and kept within ±3 °C using a heating device. The dynamometer motors the engine at the specified speed, injecting fuel based on the measured intake airflow and the set air–fuel ratio. The ignition system is deactivated to ensure that the combustible mixture formed by fuel evaporation is not ignited and can be collected at the exhaust end, allowing the engine to operate in a non-combustion state for testing. The exhaust-condensing equipment reduces the temperature of the mixture so that the aviation kerosene in the mixture is liquefied again and collected.

2.3. Evaluation Index and Method

By comparing the collected liquefied fuel mass with the total fuel injection during the test run, the η rate under each working condition is calculated. The calculation formula is as follows:
η = m i n j m l i q m i n j × 100 % ,
where m i n j represents the total mass of fuel injected into the injector, m l i q represents the actual collected liquefied fuel mass, and η represents the fuel evaporation rate.
The IMEP is closely related to the output power of the engine [23,24]. In this paper, the average IMEP of n consecutive combustion cycles is used as the index of combustion output work. To determine how T a affects the combustion cycle variation rate, in this study, the average IMEP is selected to evaluate the cyclic variation in engine combustion. The calculation formula for the cyclic variation rate is as follows:
C o V x ¯ = σ x x ¯ × 100 % ,
σ x = 1 n i = 1 n x i x ¯ 2
x ¯ = 1 n i = 1 n x i ,
where x ¯ is the mean value of the combustion state parameter IMEP of n cycles; σ x is the deviation of IMEP, which is the combustion characteristic quantity of n cycles; x i is the IMEP for each cycle; and n is the number of samples. When studying combustion stability, C o V I M E P = 10 % is generally used as the stable combustion boundary [25]. This study aims to clarify the stable combustion range at various inlet temperatures. When the actual measured C o V I M E P 10 % , the corresponding excess air coefficient is used as the judgment boundary of the stable combustion range.
In order to quantify the influence of T a on combustion cycle variation, the parameter α is defined to represent the increment in the combustion variation rate caused by unit temperature change. The calculation formula is as follows:
α = C o V I M E P λ , T a C o V I M E P λ , T r T a T r , a = 20 , 40 ,
where C o V I M E P λ , a represents the combustion cycle variation rate corresponding to the excess air coefficient λ and T a ; the excess air coefficient λ is defined as the ratio of the actual air–fuel ratio (A/F) to the stoichiometric air–fuel ratio (A/F) stoichiometric. At the same time, in order to eliminate the calculation errors, a = 0 and T a = T r are used as the reference benchmarks.
To examine the effect of combustion cycle variation on the IMEP, the parameter β is defined to represent the increment in the IMEP caused by the change in the unit combustion cycle variation rate. The calculation formula is as follows:
β = I M E P λ , T a I M E P λ , T r C o V I M E P λ , T a C o V I M E P λ , T r , ( a = 20 , 40 ) ,
where I M E P λ , a represents the IMEP, given λ and T a = a .
To explore the relationship between T a and the output work, the parameter γ is defined to represent the increment in IMEP per unit temperature. The specific calculation method is as follows:
γ = I M E P λ , T a I M E P λ , T ( a 20 ) T a T ( a 20 ) = I M E P T a T ( a 20 ) , ( a = 20 , 40 ) ,
where T a = a and I M E P represents the difference in the IMEP under the same λ and different T a .

3. Results

3.1. Influence of Combustion Cyclic Variation on Output Work

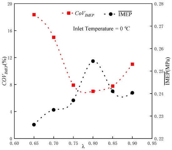
Figure 2 shows C o V I M E P and I M E P ¯ at T a = 0 °C. As λ increases, C o V I M E P initially decreases rapidly, then gradually increases, while the engine combustion output power increases initially before decreasing. The maximum combustion output power is observed when C o V I M E P reaches its minimum. It is concluded that the engine combustion work is negatively correlated with C o V I M E P ; when C o V I M E P decreases, the combustion output work increases, and when C o V I M E P increases, the combustion output work decreases.

3.2. Influence of Inlet Temperature on Output Work

Figure 3 shows the I M E P ¯ of 50 consecutive combustion cycles at different λ under conditions of T a = 0 °C, 20 °C, and 40 °C. The results show that at the same λ , the I M E P ¯ increases with an increase in T a . This is mainly attributed to the rise in η and the increased volume of mixed gas involved in combustion. In addition, an increase in T a makes the mixture distribution more uniform. The difference in the amount and distribution of the mixture between the combustion cycles decreases, resulting in a decrease in C o V I M E P and an increase in the combustion work. Under the condition that T a remains unchanged, the I M E P ¯ first increases and then decreases with a decrease in λ .
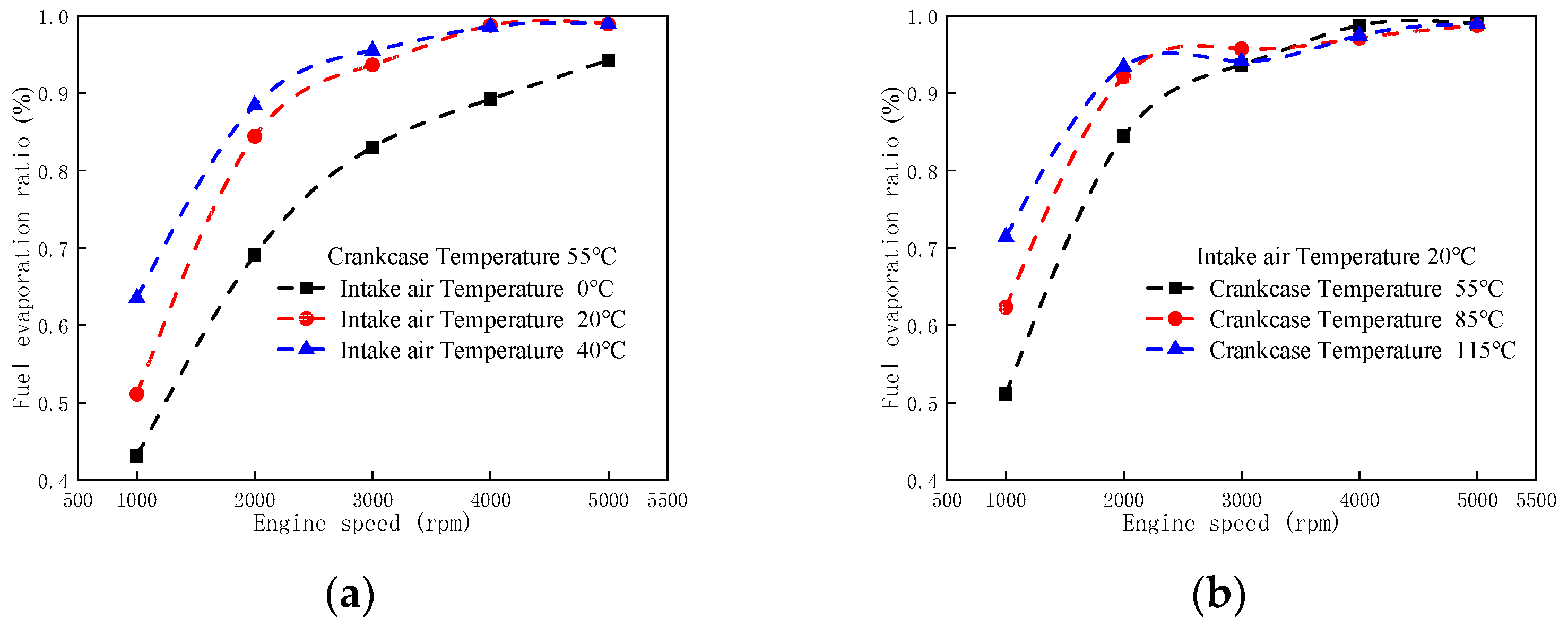
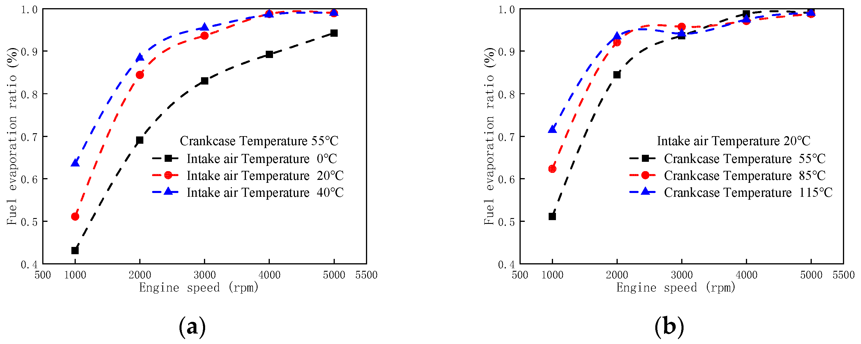
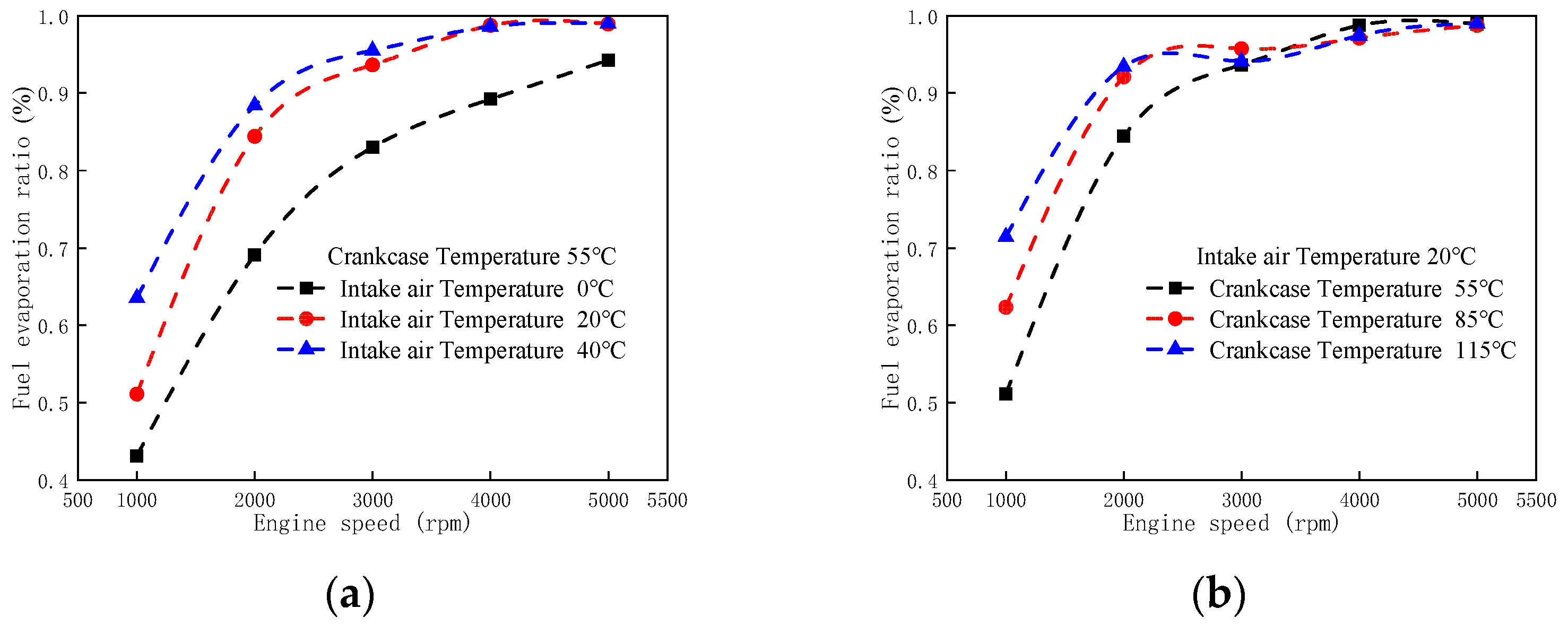
Figure 4 shows the fuel evaporation rate of aviation kerosene at different engine speeds, with T a = 0 °C, 20 °C, and 40 °C, T c = 55 °C, 85 °C, and 115 °C. The results show that an increase in T a can promote η . At low speeds, η is highly sensitive to T a . As the speed increases, the sensitivity of η to T a decreases. At the same time, at low speeds, η has a strong correlation with speed. As the speed increases, its effect on η gradually diminishes. The increase in crankcase temperature promotes fuel evaporation.

3.3. Relationship Between Intake Air Temperature and Combustion Cycle-to-Cycle Variation Rate and Output Work

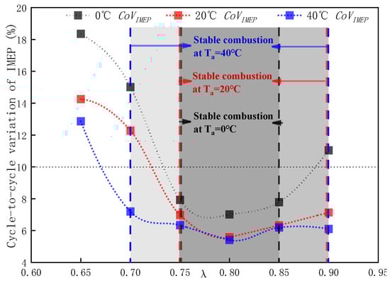
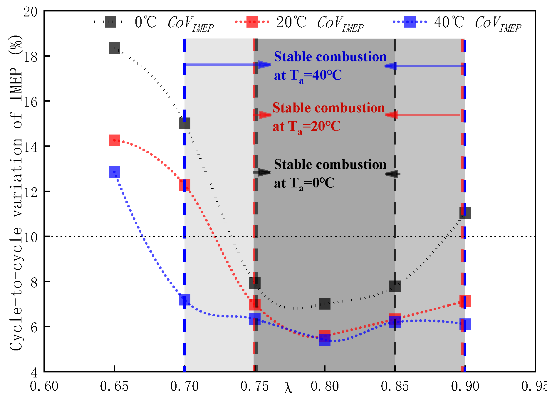
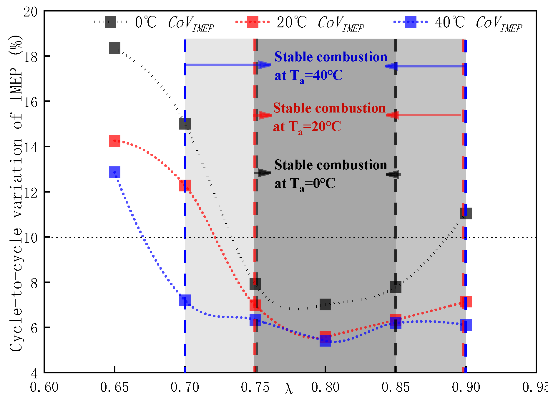
Figure 5 shows C o V I M E P at T a = 0 °C, 20 °C, and 40 °C. The results show that with an increase in λ , C o V I M E P decreases first, remains stable, and then increases gradually. When the combustion cycle variability is low, it exhibits a stable combustion state.
When T a increases from 0 °C to 20 °C, the stable combustion range expands toward less rich mixtures, and the increase in T a can broaden the stable combustion range. For example, in Figure 5, λ = 0.85~0.9. When T a increases from 0 °C to 20 °C and 40 °C, C o V I M E P decreases significantly, and the combustion becomes more stable. The reason is that when T a = 0 °C, η is low and the fuel mass injected is less, resulting in the formation of a mixture concentration that is lower than the lean ignition limit. As T a increases, η increases, which increases the amount of mixed gas participating in the combustion, thereby increasing the IMEP.
Compared with T a = 20 °C, when T a = 40 °C, the stable combustion range is extended toward richer mixtures. As shown in Figure 5, λ = 0.70~0.75, and an increase in T a from 0 °C to 20 °C has no obvious effect on reducing the combustion cyclic variation. When T a is increased to 40 °C, the combustion cyclic variation is significantly reduced. This is because when T a = 0 °C, η is low, resulting in insufficient mixed gas involved in combustion. When T a rises to 20 °C, η increases and the total amount of the mixture increases. However, due to the uneven distribution of the mixture, C o V I M E P does not decrease significantly. When T a increases to 40 °C, the higher T a makes the mixture more uniform, the combustion is more stable, and C o V I M E P is significantly reduced. However, when λ 0.70, the fuel concentration is too high and exceeds the ignition limit, resulting in the deterioration of the combustion state and an increase in C o V I M E P instead.
Figure 6 depicts the relationship between T a and C o V I M E P . The results show that, compared with the high T a , increasing T a has a greater effect on reducing C o V I M E P in this intake temperature range. As shown in Figure 6, λ = 0.90~0.75, and α is smaller in the range of 0~40 °C compared to the range of 0~20 °C. At the same time, it was found that, compared with stable combustion, an increase in T a has a greater effect on reducing C o V I M E P in unstable combustion. As shown in Figure 6, α is much smaller in stable combustion than in unstable combustion.
Figure 7 presents the relationship between C o V I M E P and output work. The results show that C o V I M E P has a greater impact on the output work when T a is high. Moreover, compared with unsteady combustion, the combustion cycle variation has a more significant effect on the external output work of the engine in the steady combustion state. It can be seen from the figure that β is much smaller in unstable combustion than in stable combustion. Compared to unstable combustion, in a stable combustion state, each 1% increase in combustion cycle variation leads to a more significant reduction in output work. This demonstrates the negative impact of the combustion cycle under stable combustion conditions. The effect of T a on the combustion cycle variation and engine work is greater.
Figure 8 presents the impact of T a on output work. It can be seen from the figure that an increase in T a has a positive effect on the improvement of the engine output work, and the influence degree is different in different temperature ranges. When T a is increased from 0 °C to 20 °C, γ is approximately 0.13~0.21 kPa. When T a rises from 20 °C to 40 °C, γ increases significantly, reaching 0.23~0.86 kPa. This indicates that an increase in temperature has a more significant effect on the IMEP at higher T a .

4. Conclusions

This study examined the effect of T a on combustion cycle variation in a two-stroke aviation kerosene piston engine under idle conditions. The influence of T a on the evaporation rate of aviation kerosene was analyzed, and a relationship was established between T a , combustion cycle variation, and work output. The key findings are as follows:
The influence of T a on the fuel evaporation rate is related to engine speed, and this correlation weakens as the speed increases. The increase in crankcase temperature promotes fuel evaporation.
The combustion work of the engine is negatively correlated with the combustion cycle variation; when C o V I M E P is small, the combustion work is higher, and when C o V I M E P is large, the combustion work is low.
When T a is low, increasing T a has a greater effect on reducing C o V I M E P . When T a is within a higher range, the impact of combustion cycle variation on output power is more significant than the variation of T a itself.
An increase in T a expands the stable combustion range. In the range of 0~40 °C, the higher the inlet temperature, the larger the stable combustion range.

Author Contributions

Data curation, Y.L., Z.F. and X.W.; investigation, J.F.; methodology, J.W. and Z.H.; project administration, Z.H., Z.Z. and W.T.; resources, Z.H., Z.Z. and J.F.; software, Z.F. and X.W.; writing—original draft, J.W.; writing—review and editing, J.W., Z.H., Z.Z., W.T., J.F. and X.W. All authors have read and agreed to the published version of the manuscript.

Funding

This research was funded by the Sichuan Science and Technology Program [grant numbers 2024ZDZX0042 and 2023NSFSC0836], the Open Research Subject of Key Laboratory of Fluid Machinery and Engineering (Xihua University), Sichuan Province [grant number LTJX-2024005], and the Chunhui Plan of the Ministry of Education of the People’s Republic of China [grant numbers HZKY20220586 and HZKY20220569].

Data Availability Statement

The data presented in this study are available upon request from the corresponding author due to ethical and legal reasons.

Acknowledgments

We sincerely appreciate the valuable guidance and assistance of Lu Xu, Jiangeng Li, Buwei Deng, Xuantao Li, and Lin Wang from Xihua University.

Conflicts of Interest

The authors declare no conflicts of interest.

Nomenclature

C o V I M E P coefficient of variation of indicated mean effective pressure
IAT ( T a ) intake air temperature
IMEPindicated mean effective pressure
I M E P ¯ average of indicated mean effective pressure
Δ I M E P difference in indicated mean effective pressure subtraction
m i n j total fuel injection quality
m l i q liquefied fuel quality
T c crankcase temperature
T r intake air temperature of 0 °C
α combustion cyclic variation increment per unit temperature
β output power increment per unit combustion cycle variation
γ output power increment per unit temperature
η fuel evaporation rate
λ excess air coefficient

References

  1. Zhang, Q.; Du, F.R. Small Aero-Piston Engine Heavy Fuel Technology Development Summary. Small Intern. Combust. Engines Veh. Technol. 2014, 43, 81–85. [Google Scholar]
  2. Hu, J.; Liu, B.; Zhang, C.; Gao, H.; Zhao, Z.; Zhang, F.; Wang, Y. Experimental Study on the Spray Characteristics of an Air-Assisted Fuel Injection System Using Kerosene and Gasoline. Fuel 2019, 235, 782–794. [Google Scholar] [CrossRef]
  3. Suhy, P.J.; Evers, L.W.; Morgan, E.J.; Wank, J.E. The Feasibility of a Kerosene Fueled Spark Ignited Two-Stroke Engine. In Proceedings of the SAE Technical Paper Series. International Off-Highway & Powerplant Congress and Exposition, Milwaukee, WI, USA, 12 September 1991; p. 911846. [Google Scholar] [CrossRef]
  4. Chang, C.; Wei, M.; Ji, H. Experimental Research on Cold Start of PFI Two-Stroke Spark-Ignition Kerosene Engine. J. Energy Eng. 2020, 146, 04020030. [Google Scholar] [CrossRef]
  5. Rodney, H.; Greg, B.; Steven, A. High Specific Power Output Direct Injection 2-Stroke Engine Applications. In Proceedings of the Small Engine Technology Conference & Exposition, Bangkok, Thailand, 9 January 2005; p. 2005–32–0066. [Google Scholar]
  6. Huo, W.Y.; Lin, Y.Z.; Zhang, C.; Zhuang, C.Q. Research on N-Decane as Surrogate Fuel of Aviation Kerosene in Atomization Process. J. Aerosp. Power 2016, 31, 188–195. [Google Scholar] [CrossRef]
  7. Song, Z.L.M.S. Research on Mixture Formation and Combustion Characteristics of the Conical Spray in a Gasoline Direct Injection Engine; Jiangsu University: Zhenjiang, China, 2019. [Google Scholar]
  8. Li, X.H.; Jiang, D.M.; Shen, X.H. Study on Evaluated Methods of Pressure Cyclic Variation in Spark Ignition Engines. J. Intern. Combust. Engine 2000, 18, 171–174. [Google Scholar] [CrossRef]
  9. Zheng, Z.Q.; Yao, M.F.; Zhang, B.; Chen, Z. Cycle to Cycle Variation Experiment of Homogeneous Charge Compression Ignition Combustion. J. Tianjin Univ. 2005, 6, 485–489. [Google Scholar]
  10. Liu, S.; Zhang, L.; Wang, Z.; Hua, L.; Zhang, Q. Investigating the Combustion Stability of Shale Gas Engines under HHO. Fuel 2021, 291, 120098. [Google Scholar] [CrossRef]
  11. Maurya, R.K.; Agarwal, A.K. Experimental Investigation on the Effect of Intake Air Temperature and Air–Fuel Ratio on Cycle-to-Cycle Variations of HCCI Combustion and Performance Parameters. Appl. Energy 2011, 88, 1153–1163. [Google Scholar] [CrossRef]
  12. Wang, Q.G.; Wang, B.; Yao, C. Study on Cyclic Variability of Dual Fuel Combustion in a Methanol Fumigated Diesel Engine. Fuel 2016, 164, 99–109. [Google Scholar] [CrossRef]
  13. An, Y.; Raman, V.; Tang, Q.; Shi, H.; Sim, J.; Chang, J.; Magnotti, G.; Johansson, B. Combustion Stability Study of Partially Premixed Combustion with Low-Octane Fuel at Low Engine Load Conditions. Appl. Energy 2019, 235, 56–67. [Google Scholar] [CrossRef]
  14. Wang, Z.; Zhang, Z.F.; Xu, F.; Yang, D.B.; Wang, J.X. Study of Cycle Variation in a Multi-Cylinder Gasoline HCCI Engine. Chin. Intern. Combust. Eng. 2010, 31, 1–6. [Google Scholar] [CrossRef]
  15. Liu, J.F.; Cai, X.L.; Yang, Y.X.; Zhang, P.; Gao, J.; Fang, X. Study on Idle and Low-load Characteristics of FAI Two-stroke DISI Engine. Small Intern. Combust. Engines Motorcycles 2006, 05, 16–19. [Google Scholar]
  16. Su, T.; Ji, C.; Wang, S.; Cong, X.; Shi, L. Enhancing Idle Performance of an N-Butanol Rotary Engine by Hydrogen Enrichment. Int. J. Hydrogen Energy 2018, 43, 6434–6442. [Google Scholar] [CrossRef]
  17. Ozdor, N.; Dulger, M.; Sher, E. An Experimental Study of the Cyclic Variability in Spark Ignition Engines. In Proceedings of the International Congress & Exposition, Detroit, MI, USA, 1 February 1996; p. 960611. [Google Scholar] [CrossRef]
  18. Chen, L.L. Research on Numerical Simulation of Performance and Fuel Injection Control for Two-Stroke Kerosene Engine; Nanjing University of Aeronautics and Astronautics: Nanjing, China, 2009. [Google Scholar]
  19. Yu, W. Study on Engine Power Recovery with Diesel Methanol Dual Fuel at High Altitude; Jiangsu University: Zhenjiang, China, 2022. [Google Scholar]
  20. Li, A. Performance Study of Ammonia-DME Dual Fuel Engine; Harbin Engineering University: Harbin, China, 2023. [Google Scholar]
  21. Fjare, P.D. Feedback Speed Control of a Small Two-Stroke Internal Combustion Engine that Propels an Unmanned Aerial Vehicle. Master’s Thesis, University of Nevada, Las Vegas, NV, USA, 2014. [Google Scholar]
  22. Ji, C.; Wang, S. Strategies for Improving the Idle Performance of a Spark-Ignited Gasoline Engine. Int. J. Hydrogen Energy 2012, 37, 3938–3944. [Google Scholar] [CrossRef]
  23. Ozdor, N.; Dulger, M.; Sher, E. Cyclic Variability in Spark Ignition Engines A Literature Survey. SAE Trans. 1994, 103, 940987. [Google Scholar]
  24. Li, B.L.; Wei, M.X. Study on Combustion Cyclic Variation of Small Two-Stroke Aero-Engine. J. Aerosp. Power 2011, 26, 315–322. [Google Scholar] [CrossRef]
  25. Fu, K.M.; Wei, Y.; Xu, R.F.; Liu, X.Y. Combustion Cycle-to-Cycle Variations of Opposed-Piston Two-Stroke Gasoline Direct Injection Engine. Int. J. Engine Res. 2024, 25, 717–726. [Google Scholar] [CrossRef]
Figure 1. Measurement and control test platform of the two-stroke aviation kerosene piston engine.
Figure 1. Measurement and control test platform of the two-stroke aviation kerosene piston engine.
Energies 18 00331 g001
Figure 2. The relationship between the combustion cycle variation and the output work at an intake air temperature of 0 °C.
Figure 2. The relationship between the combustion cycle variation and the output work at an intake air temperature of 0 °C.
Energies 18 00331 g002
Figure 3. The average IMEP values at intake temperatures of 0 °C, 20 °C, and 40 °C.
Figure 3. The average IMEP values at intake temperatures of 0 °C, 20 °C, and 40 °C.
Energies 18 00331 g003
Figure 4. (a) The fuel evaporation rates of aviation kerosene under different rotational speeds and intake air temperatures at T C = 55   . (b) The fuel evaporation rates of aviation kerosene under different rotational speeds and crankcase temperatures at T a = 20   .
Figure 4. (a) The fuel evaporation rates of aviation kerosene under different rotational speeds and intake air temperatures at T C = 55   . (b) The fuel evaporation rates of aviation kerosene under different rotational speeds and crankcase temperatures at T a = 20   .
Energies 18 00331 g004
Figure 5. Division of stable combustion interval.
Figure 5. Division of stable combustion interval.
Energies 18 00331 g005
Figure 6. Effect of intake temperature on the coefficient of variation of the indicated mean effective pressure.
Figure 6. Effect of intake temperature on the coefficient of variation of the indicated mean effective pressure.
Energies 18 00331 g006
Figure 7. Effect of combustion cycle variation on work output when T a = 0~20 °C and 0~40 °C.
Figure 7. Effect of combustion cycle variation on work output when T a = 0~20 °C and 0~40 °C.
Energies 18 00331 g007
Figure 8. Effect of increased intake air temperature on IMEP.
Figure 8. Effect of increased intake air temperature on IMEP.
Energies 18 00331 g008
Table 1. Fuel properties.
Table 1. Fuel properties.
Fuel PropertiesAviation Kerosene (RP-3)
Molecular carbon contentC7~C16
Density (20 °C)/(kg·m−3)775~830
Kinematic viscosity (20 °C)/(mm2·s−1)1.25
Lower calorific value (MJ/kg)43.4
Boiling point (°C)185
Cetane42
Saturated vapor pressure (38 °C)/(kPa)5.4
Flashpoint (°C)38
Theoretical air–fuel ratio14.65
Table 2. Main parameters of the two-stroke aviation kerosene piston engine.
Table 2. Main parameters of the two-stroke aviation kerosene piston engine.
Engine CharacteristicsSpecification
Bore (mm)52
Stroke (mm)40.3
Displacement (mL)170
Compression ratio6.7:1
Maximum power (kW)/(r/min)10/7200
Maximum torque (N·m)/(r/min)14/6000
Table 3. Testing signal acquisition equipment, specifications, and measurement uncertainties.
Table 3. Testing signal acquisition equipment, specifications, and measurement uncertainties.
NameTypeMeasurement Uncertainties
Cylinder pressure sensorKistler 6054BR±1%
Temperature sensorPT1000±0.5 °C
Crankshaft position sensorPOSITAL0.01°
Air-to-fuel ratio analyzerMEXA-730λ±0.01
Table 4. Environmental conditions of engine idling.
Table 4. Environmental conditions of engine idling.
Intake Air Temperature (°C)Intake Pressure (kPa)Working Condition
095Idle speed
2095Idle speed
4095Idle speed
Table 5. Intake and crankcase temperatures under different speed conditions.
Table 5. Intake and crankcase temperatures under different speed conditions.
Intake Air Temperature (℃)Crankcase Temperature (°C)Engine Speed (rpm)
055/85/1151000/2000/3000/4000/5000
2055/85/1151000/2000/3000/4000/5000
4055/85/1151000/2000/3000/4000/5000
Disclaimer/Publisher’s Note: The statements, opinions and data contained in all publications are solely those of the individual author(s) and contributor(s) and not of MDPI and/or the editor(s). MDPI and/or the editor(s) disclaim responsibility for any injury to people or property resulting from any ideas, methods, instructions or products referred to in the content.

Share and Cite

MDPI and ACS Style

Wang, J.; Han, Z.; Liang, Y.; Zuo, Z.; Fang, Z.; Tian, W.; Fang, J.; Wu, X. The Effect of Intake Temperature on the Idle Combustion Cycle Variation of Two-Stroke Aviation Kerosene Piston Engines. Energies 2025, 18, 331. https://doi.org/10.3390/en18020331

AMA Style

Wang J, Han Z, Liang Y, Zuo Z, Fang Z, Tian W, Fang J, Wu X. The Effect of Intake Temperature on the Idle Combustion Cycle Variation of Two-Stroke Aviation Kerosene Piston Engines. Energies. 2025; 18(2):331. https://doi.org/10.3390/en18020331

Chicago/Turabian Style

Wang, Jian, Zhiqiang Han, Yusheng Liang, Zinong Zuo, Zhongxin Fang, Wei Tian, Jia Fang, and Xueshun Wu. 2025. "The Effect of Intake Temperature on the Idle Combustion Cycle Variation of Two-Stroke Aviation Kerosene Piston Engines" Energies 18, no. 2: 331. https://doi.org/10.3390/en18020331

APA Style

Wang, J., Han, Z., Liang, Y., Zuo, Z., Fang, Z., Tian, W., Fang, J., & Wu, X. (2025). The Effect of Intake Temperature on the Idle Combustion Cycle Variation of Two-Stroke Aviation Kerosene Piston Engines. Energies, 18(2), 331. https://doi.org/10.3390/en18020331

Note that from the first issue of 2016, this journal uses article numbers instead of page numbers. See further details here.

Article Metrics

Back to TopTop