Next Article in Journal
Computational Efficiency–Accuracy Trade-Offs in EMT Modeling of ANPC Converters: Comparative Study and Real-Time HIL Validation
Previous Article in Journal
Capacity Configuration and Benefit Assessment of Deep-Sea Wind–Hydrogen System Considering Dynamic Hydrogen Price
 
 
Font Type:
Arial Georgia Verdana
Font Size:
Aa Aa Aa
Line Spacing:
Column Width:
Background:
Article

Experimental and Numerical Investigation of the Effects of Passive Radiative Cooling-Air Layer Composite Envelope Structure on Building Energy Consumption for Data Center Rooms

1
School of Energy and Safety Engineering, Tianjin Chengjian University, Tianjin 300384, China
2
Department of Mechanical and Automation Engineering, The Chinese University of Hong Kong, Hong Kong 999077, China
3
China Academy of Building Research, Beijing 100013, China
*
Authors to whom correspondence should be addressed.
Energies 2025, 18(19), 5176; https://doi.org/10.3390/en18195176
Submission received: 2 September 2025 / Revised: 19 September 2025 / Accepted: 27 September 2025 / Published: 29 September 2025
(This article belongs to the Special Issue Towards Sustainable Buildings and Built Environments)

Abstract

The energy consumption of data centers has become increasingly prominent. To address the conflict between the characteristic of inhibiting heat dissipation for traditional insulated building envelopes and the cooling demands of data center rooms all year, this study proposes a novel composite envelope structure for data center rooms that integrates passive radiative cooling with air-layer insulation (PRC-AL). The results demonstrate that under internal heat source power densities of 300–1000 W/m2 without additional cooling measures, the PRC-AL composite envelope structure reduces indoor air temperatures by 16.16–30.81% compared to the traditional insulation structure (TIS). Meanwhile, the application of the PRC-AL composite envelope structure leads to significant reductions in annual cumulative cooling load per unit area: 1617.69 kWh/m2 in Harbin, 1359.49 kWh/m2 in Tianjin, 1135.25 kWh/m2 in Shanghai, 994.97 kWh/m2 in Guiyang, and 918.70 kWh/m2 in Guangzhou. These findings indicate that the proposed PRC-AL composite envelope structure not only effectively lowers indoor air temperatures but also reduces cooling loads in data center rooms, providing an efficient pathway for energy conservation in data centers. This research offers a theoretical foundation for optimizing the design of building envelopes in data centers and contributes to sustainable development in the digital infrastructure sector.

1. Introduction

With the rapid development of emerging technologies and applications, the demand for data centers has surged. It has become an important infrastructure to support modern economic and social operations. However, while providing substantial computing power, data centers face increasingly severe energy consumption challenges [1]. According to the International Energy Agency (IEA), global electricity consumption by data centers, artificial intelligence, and the cryptocurrency sector reached 460 TWh in 2022 and is projected to exceed 1000 TWh by 2026 [2]. Among various subsystems, cooling accounts for nearly 40% of total energy consumption [3,4], second only to IT equipment. Therefore, reducing the energy consumption in the cooling system has become the focus of the industry. The reasonable utilization of natural cooling sources is an effective approach to lowering the Power Usage Effectiveness (PUE) in data centers. However, the existing natural cooling technologies often require complex system integration and high operational and maintenance costs. As an alternative, optimizing the thermal performance of building envelopes offers a low-maintenance and passive strategy for reducing cooling loads.
According to the Code for Design of Data Centers (GB50174) [5], the thermal design of data center envelopes in China should comply with the current national standard of Design standard for energy efficiency of public buildings (GB50189) [6]. For public buildings in the cold and severe cold zones, enhancing insulation is crucial due to both heating and cooling demands. However, the data center room requires cooling all year. The use of the traditional insulation structure may hinder the dissipation of indoor heat, preventing the effective utilization of natural cooling sources through the building envelope. Therefore, the optimization of the building envelope has become effective strategies for reducing cooling energy consumption and achieving green operation in data centers.
Passive radiative cooling (PRC) technology is a zero-energy cooling technology that utilizes radiative materials with high emissivity in the “atmospheric window” (8–13 μm) to dissipate heat directly to outer space [7]. Compared to conventional cooling technologies, RSC operates without energy input [8]. It significantly reduces both the operational energy consumption and greenhouse gas emissions [9], making it a promising solution for sustainable cooling. In recent years, PRC has been applied to multiple fields, including building cooling systems [10], cryogenic technology, photovoltaic modules [11], and desalination [12]. Particularly, incorporating materials with high mid-infrared emissivity and low solar absorptivity into building envelopes has shown substantial potential in lowering energy consumption [13].
Researchers have conducted extensive studies on combining passive radiative cooling with roofs [14], walls [15], and windows to enhance building energy efficiency. For instance, applying PRC coatings on roofs to create super cool roofs [16] has been proven effective. Baniassadi et al. [17] conducted energy simulations comparing super cool roofs with conventional white and dark roofs for residential and commercial buildings. Their results demonstrated that super cool roofs reduced total energy consumption by 4–19% in commercial buildings and by 28% in residential buildings. Ma et al. [18] found that super cool roofs in various Chinese climates reduced annual electricity by 28.9% to 43.0% compared to tile roofs and 7.8% to 12.9% compared to white roofs. Chen et al. [19] developed a radiative sky cooling-based super cool roof model that achieved savings of 42.9 to 97.8 kWh/m2 in hot cities. Fang et al. [20] proposed a novel cool roof capable of dissipating 137.6–268.7 kWh/m2 of indoor heat each year to the outdoor environment. It achieved cooling electricity savings of 113.0–143.9 kWh/m2 compared to slate roofs. Wang et al. [21] applied radiative cooling films to commercial warehouse roofs. There were significant reductions in roof surface temperature along with decreased thermal stratification and temperature fluctuations inside the warehouse. The simulation results revealed 65.2% annual cooling energy savings compared to conventional steel roofs. Similarly, other studies [22,23] have reported significant improvements in roof surface temperatures and cooling load reductions with the use of radiative coatings.
In addition to roofs, PRC materials applied to walls can also further enhance energy-saving potential and reduce carbon emissions [24]. Wijesuriya et al. [25] found that applying radiative coatings to all external surfaces could double the energy savings compared to roof-only applications. The research of Chen et al. [26] revealed that the energy-saving potential of the combination of super-cool roofs and radiative cooling walls in high-rise buildings is 1.6 and 2.2 times higher than individual strategies. Cai et al. [27] investigated the energy consumption of telecommunication base stations with radiative cooling coatings on all exterior surface. The results showed that the annual energy conservation efficiency ranges from 6.77% to 64.29%, with corresponding total energy savings of 21.94–52.74 kWh/m2 each year. Experimental results of Wang et al. [28] demonstrate that the application of radiative cooling technology to building walls in the hot-summer and cold-winter zone of China. It yielded a maximum cooling energy efficiency enhancement of 1.5% relative to conventional walls during the cooling season from May to October.
In addition to applying radiation sky cooling to roofs and walls, the research on PRC-integrated windows has gradually increased in recent years. Zhao et al. [29] developed a dynamic glazing with switchable solar reflectivity that integrated both solar heating and radiative cooling functions. In cooling mode, the silver-coated glazing acted as an effective radiative cooler, demonstrating a net cooling capacity of 20–60 W/m2. Numerical simulations indicated that implementing this dynamic glazing could yield heating/cooling energy savings of up to 23% each year. Meanwhile, the combined application of radiation sky cooling and other cooling technologies in building envelopes has also received extensive attention. A passive building envelope combining radiative coolers and thermochromic smart windows was proposed by Lin et al. [30]. This passive building envelope reduced indoor air temperatures by up to 4.8 °C and lowered daytime air-conditioning energy use by 17%. Chen et al. [31] integrated radiative cooling roofs, colored cooling walls, and insulated glazing in a commercial building. The results revealed that the radiative cooling coating, with low solar absorptivity and high mid-infrared emissivity, applied to the roof achieved cooling electricity savings ranging from 8.2% to 29.7%. In summary, the application of PRC technology in building envelopes demonstrates significant advantages in energy conservation, indoor temperature reduction, and multi-climate adaptability. These findings strongly suggest that implementing PRC technology in building envelopes of the data center holds a great deal of advantages and broad prospects.
To address the limitations of traditional insulated envelopes in data center applications and to fully utilize the natural cold of outer space, this study proposes a novel composite building envelope structure (PRC-AL composite envelope structure). The PRC-AL composite envelope structure integrates passive radiative cooling (PRC) technology with an air-layer (AL) insulation, aiming to reduce the Power Usage Effectiveness (PUE) of data centers. Meanwhile, the performance of the PRC-AL composite envelope structure is comprehensively evaluated through both experiments and simulations. The applicability of the PRC-AL composite envelope structure in data center rooms for different climate zones in China is investigated. In addition, the influence of the characteristics of building envelopes and local climatic conditions on the energy-saving potential of the data center room is discussed. It will provide a theoretical basis for the optimal design of building envelopes of the data center room.

2. Methodology

Figure 1 shows the diagram of the novel composite envelope structure based on the synergistic effects of passive radiative cooling and air-layer insulation (PRC-AL). To investigate the impact of the PRC-AL composite envelope structure on the indoor thermal environment of the data center room, two reduced-scale chambers with the same orientation and inner wall size are constructed. One chamber adopts a traditional insulation structure (TIS), while the other incorporates the PRC-AL composite envelope structure. The experimental study is conducted to evaluate the variations in indoor temperature and external surface temperature of the two chambers. Furthermore, this study performs a numerical simulation to assess the building energy consumption of the data center room with the TIS and the PRC-AL composite envelope structure. A real-scale data center room model is first established, and its accuracy is validated using experimental data. Subsequently, a predictive analysis is conducted to examine the cooling load characteristics and energy-saving potential of the PRC-AL data center room in different climate zones of China.

2.1. Experimental Study

2.1.1. Description of the Experiment Rooms

Two reduced-scale chambers are built, and the layout of the chamber is shown in Figure 2. Correspondingly, Figure 3 presents the actual photographs of the experimental apparatus. The dimensions of the chambers are 1.6 m (length) × 1.4 m (width) × 0.7 m (height). At the bottom of the two reduced-scale chambers, there is an extruded polystyrene (XPS) insulation board with a thickness of 5 cm and an elevated wooden board with a thickness of 15 cm, respectively, to minimize the influence of the ground on the indoor thermal environment. As shown in Figure 2a, the traditional insulation structure consists of the coating layer of the exterior wall, an aerated concrete block layer, and an insulation layer in order from the outside to the inside. As shown in Figure 2b, a PRC coating layer, with high solar reflectivity and strong thermal emissivity, is covered on the exterior surface of the roof and the exterior wall to passively reduce the temperature of the chamber. Meanwhile, the PRC-AL composite envelope structure comprises galvanized steel coated with PRC coating layer, an air-enclosed layer, and an aerated concrete block layer from exterior to interior. Meanwhile, Table 1 summarizes the construction and thermal parameters of the building envelope used in the reduced-scale chambers. Table 2 provides the absorptivity and thermal emissivity of the PRC coating layer. In addition, the experiment was conducted on an open lawn area within the campus of Tianjin Chengjian University, where no buildings or vegetation blocked the solar radiation, ensuring better cooling performance of PRC. Tianjin is located in a cold climate zone of China. During the experiment, no artificial internal heat sources were introduced into either chamber to objectively reflect the heat transfer characteristics of the envelope structure.

2.1.2. Description of the Experimental System

The reduced-scale experiments conducted in this study are aimed at investigating the heat transfer characteristics of two different types of envelope structures and their impact on the indoor thermal environment in different climates. Temperature sensors are arranged at the center of the indoor space and the center of the exterior surface of the wall and roof to accurately obtain the indoor thermal environment parameters and the exterior surface temperature. In addition, the outdoor environmental parameters, including air temperature, solar radiation intensity, wind speed, and relative humidity, are simultaneously monitored and recorded by the JD9220 environmental monitoring system. This ensures the comprehensiveness and reliability of the experimental data. All measurement instruments employed in the experimental platform are listed in Table 3.

2.2. Simulation Study

2.2.1. Simulation Methods

Since the experimental platform constructed in this study is the reduced-scale chambers without internal heat sources, numerical simulations are required to further investigate the energy consumption characteristics of the PRC-AL data center room.
First, a dynamic thermal performance simulation model of the reduced-scale chambers is developed based on TRNSYS. The physical model of the numerical simulation maintains identical key parameters to the physical experimental setup, including the size, building orientation, and thermal properties of the envelope structure. The validity of the simulation model is verified by comparing the experimental results with the simulation results. On this basis, the applicability of the PRC-AL composite envelope structure for data centers in the presence of internal heat sources is explored.
Subsequently, a full-scale model of a small and medium sized certain data center room is established on the basis of the validated model. Five representative cities across different climate zones of China are selected. The annual hourly cooling load simulations for both TIS and PRC-AL data center rooms is carried out to evaluate the adaptability of the PRC-AL composite envelope structure in various climatic regions of China. Finally, the influence of envelope characteristics on the energy-saving potential of the data center room is explored to provide a theoretical basis for the optimal design of the envelope structure for data center room.

2.2.2. Description of Simulation Data Center Room Model

A simulation building study is conducted focusing on a typical main equipment room of data center room with dimensions of 26 m (length) × 21 m (width) × 6.5 m (height), shown in Figure 4. It is worth noting that, according to the requirements of the Code for Design of Data Centers (GB50174) in China [5], it is not appropriate to set up external windows on the external wall of the main equipment room. Therefore, the model is designed without any exterior windows.
To accurately reflect actual meteorological conditions, the hourly weather data collected during the experimental period is imported into the simulation model via a Type99 user-defined weather module. The Type33e enthalpy diagram module is employed to calculate the real-time dew point temperature of the air based on experimentally measured dry-bulb temperature and relative humidity. The sky effective temperature is derived using the Type69b module and incorporated as a boundary condition. Necessary unit conversions are performed using a calculator module. Ultimately, a comprehensive simulation system, incorporating core modules, such as the building model, meteorological data processing, sky effective temperature calculation, and output analysis, is developed. Figure 5 and Figure 6 show the dynamic thermal performance simulation model and the hourly cooling load numerical model of the data center room, respectively.
In this study, the data center room is designed to meet Class A standards, with the indoor environment maintained at a dry-bulb temperature of 26 °C and the relative humidity of 50%. The power of the indoor lighting equipment is set at 10 W/m2, and 200 server cabinets with an average power density of 6 kW per cabinet are arranged in the data center room. During the numerical simulation process, it is assumed that there are not any cooling measures for the cabinet and the indoor environment of data center rooms. It worth noting that this study has not considered the effect of the server layout server configurations on the indoor thermal environment. Authors have uniformly converted these factors into a constant of the internal heat source power density for consideration. Meanwhile, the boundary conditions for the building envelope are configured in accordance with the Thermal design code for civil building (GB50176) [32] in China. The convective heat-transfer coefficients in the exterior wall and the exterior surface of the roof are 21 W/(m2·K), while the interior surfaces of the floor, walls, and roof are set at 8.7 W/(m2·K).
In order to investigate the cooling load characteristics and the energy-saving potential of the PRC-AL data center room in different climate zones of China, the cities of Harbin (severe cold zone), Tianjin (cold zone), Guiyang (temperate zone), Shanghai (hot-summer and cold-winter zone), and Guangzhou (hot summer and warm-winter zone) are selected as the representative locations to carry out the numerical simulation studies. The specific meteorological parameters for each city are listed in Table 4.
Meanwhile, the standard of Code for Design of Data Centers (GB50174) in China [5] addresses that the thermal design of the building envelope for the data center should comply with the regulations of the current national standard of Design standard for energy efficiency of public buildings (GB50189) [6] in China. Based on this standard, Table 5 presents the heat transfer coefficients of traditional insulation structure for representative cities in different climate zones of China. In contrast, the PRC-AL composite envelope structure maintains consistent heat transfer coefficient in different regions, with values of 1.65 W/(m2·K) for roofs and 2.09 W/(m2·K) for exterior walls.

3. Experimental Results and Discussion

3.1. Weather Conditions

The indoor air temperature experiment and the exterior surface temperature experiment are conducted for four days in summer. The experimental period spans from 18:00 on 17 July to 18:00 on 19 July, and from 0:00 on 29 August to 0:00 on 31 August 2024. Figure 7 shows the ambient dry-bulb temperature and instantaneous total horizontal radiation intensity recorded during the experimental period, where the average daily ambient temperature is 30.7 °C and the maximum total horizontal radiation intensity is 1196 W/m2.

3.2. Temperature Experiment Without Internal Heat Sources

3.2.1. Exterior Surface Temperature

Figure 8 presents the dynamic variations in the exterior roof surface temperatures of both the PRC-AL reduced-scale chamber and the TIS reduced-scale chamber in summer. Meanwhile, the detailed data of the exterior roof surface temperatures of the two reduced-scale chambers are listed in Table 6. Notably, the average daytime temperature corresponds to the period from 6:00 to 18:00, while the average nighttime temperature corresponds to the period from 19:00 to 5:00 the next day. The temperature difference is the difference between the temperature of the TIS reduced-scale chamber and that of the PRC-AL reduced-scale chamber.
As shown in Figure 8, during the daytime in summer, the exterior roof surface temperature of the PRC-AL reduced-scale chamber is significantly lower than that of the TIS reduced-scale chamber. In July, the maximum exterior roof surface temperature of the TIS reduced-scale chamber reached 57.28 °C, which was considerably higher than the 52.46 °C of the PRC-AL reduced-scale chamber, with a peak daytime temperature difference of 8.62 °C. The maximum daytime difference in August was 8.46 °C. Meanwhile, the average daytime temperature of the PRC-AL reduced-scale chamber was lower than that of the TIS reduced-scale chamber by 3.08 °C in July and by 4.54 °C in August. This phenomenon confirms that the radiative cooling material exhibits significant passive daytime radiative cooling performance.
However, at night, the exterior roof surface temperature of the PRC-AL reduced-scale chamber is generally higher than that of the TIS reduced-scale chamber. The average temperature at night was 2.43 °C and 2.28 °C higher in July and August, respectively. The possible reasons are as follows: (1) As the thickness of the air layer inside the PRC-AL reduced-scale chamber is 50mm, there is convective heat transfer inside the air layer. (2) For the wall, the insulation thickness of the TIS reduced-scale chamber is thicker than that of the PRC-AL reduced-scale chamber. Therefore, the heat transfer coefficient of the PRC-AL reduced-scale chamber is higher than that of the TIS reduced-scale chamber. During the night, the heat accumulated inside the chamber during the daytime is released. The higher heat transfer coefficient of the PRC-AL composite envelope structure is favorable for rapidly dissipating the heat at night, leading to an increase in the exterior surface temperature. In contrast, the insulation layer of the TIS reduced-scale chamber impedes heat transfer, slowing down the temperature rise of the exterior surface. As a result, the exterior roof surface temperature of the PRC-AL reduced-scale chamber at night is higher than that of the TIS reduced-scale chamber.
Figure 9 illustrates the variation in the exterior wall surface temperature facing different orientations during summer. As shown in Figure 9, the building wall is less exposed to solar radiation than the roof, resulting in relatively smaller fluctuations in their exterior surface temperatures. Meanwhile, the solar radiation intensity received by the walls of different orientations varies with time, leading to a significant time trend in the exterior wall surface temperature facing each direction. For example, the temperature peak of the east exterior wall occurs at 9:00, reaching a maximum of 47.95 °C for the TIS reduced-scale chamber and 43.7 °C for the PRC-AL reduced-scale chamber in July, with a maximum temperature difference of 5.21 °C. The south exterior wall shows a temperature peak at 12:00, and the maximum temperature of the two chambers is around 45 °C.
In addition, the west wall attains its highest exterior surface temperature at 15:00, with 51.44 °C for the TIS reduced-scale chamber and 50.12 °C for the PRC-AL reduced-scale chamber. Due to the absence of direct solar radiation, the north exterior wall exhibits the smallest temperature variations throughout the day compared to the other three walls.

3.2.2. Indoor Air Temperature

The indoor air temperature variations of the PRC-AL reduced-scale chamber and the TIS reduced-scale chamber in summer are given in Figure 10, where the detailed indoor air temperatures are listed in Table 7. In summer, because the heat transfer coefficient of the PRC-AL reduced-scale chamber is higher than that of the TIS reduced-scale chamber, the indoor air temperature of the PRC-AL reduced-scale chamber is consistently higher than that of the TIS reduced-scale chamber during daytime, while the opposite trend is observed at night. In July, the average daytime temperature of the PRC-AL reduced-scale chamber was 1.9 °C higher than that of the TIS reduced-scale chamber, with a maximum temperature difference of 3.72 °C. The maximum temperature difference in August was 1.64 °C. Meanwhile, the average temperature difference at night in July was 0.43 °C, with a maximum difference of 1.07 °C, while the maximum difference in August was 1.33 °C. Therefore, it can be inferred that the PRC-AL composite envelope structure exhibits stronger passive cooling characteristics compared to a traditional insulation structure with the same heat transfer coefficient. Furthermore, in the absence of artificial internal heat sources, the indoor air temperature fluctuations in the PRC-AL reduced-scale chambers are greater than those in the TIS reduced-scale chambers, providing further evidence that the PRC-AL composite envelope structure enhances heat dissipation.

4. Simulation Results and Discussion

4.1. Model Validation

In order to ensure the reliability of the simulation results, this study conducts a numerical simulation study on the temperature variations in two reduced-scale chambers during the period from 23:00 on 25 September to 18:00 on 29 September. Figure 11 and Figure 12 present a comparison between the simulated and experimental results of the exterior roof surface temperature and the indoor air temperature, respectively. As shown in Figure 11, for the TIS reduced-scale chamber, the average deviation between the simulated exterior roof surface temperature and the experimental results is approximately 9.16%, while for the PRC-AL reduced-scale chamber, the average relative error between the simulation and measured data is controlled to be within 3.64%. As shown in Figure 12, the average relative errors between the simulated indoor air temperatures and the experimental results for the two reduced-scale chambers are below 4%, and the maximum deviation is not more than 2.1 °C. The simulation results are in good agreement with the experimental results
Meanwhile, the performance of the numerical model is evaluated using different statistical parameters, including R, MAPE, RMSE, and σ [33]. Table 8 lists the values of the statistical parameters of the numerical model, which are calculated in Equations (1)–(4). As previously reported, the correlation performed better when both the MAPE and RMSE were closer to zero and when R was closer to 1. As can be seen from Table 8, R is greater than 0.92, while MAPE is less than 0.07, indicating that the numerical model has high accuracy.
R = k = 1 n C k C a · E k E a k = 1 n C k C a 2 k = 1 n E k E a 2
M A P E = k = 1 n E k C k E k n
R M S E = k = 1 n E k C k 2 n
σ = k = 1 n C k C a 2 n
where R, MAPE, RMSE, and σ represent the correlation coefficient (dimensionless), mean absolute percentage error (dimensionless), root mean square error (dimensionless), and standard deviation (dimensionless), respectively. Ck, Ek, Ca, and Ea refer to the simulated value, experimental value, average simulated value, and average experimental value, respectively.

4.2. Indoor Air Temperature Simulation with Internal Heat Sources

To validate the applicability of the PRC-AL composite envelope structure in data center rooms, this study carries out numerical simulations of the indoor thermal environment in a data center room with internal heat sources. The dynamic temperature variations in a PRC-AL reduced-scale chamber and a TIS reduced-scale chamber are analyzed under three different power densities: 300 W/m2, 500 W/m2, and 1000 W/m2. The period of numerical simulation is from 0:00 on 26 September to 0:00 on 28 September and from 0:00 on 18 December to 0:00 on 20 December. The measured environmental parameters during the period are used as boundary conditions. The initial indoor air temperature for both reduced-scale chambers is set to 20 °C, with no cooling system activated. The numerical simulation results are presented in Figure 13.
As shown in Figure 13, under the condition of an internal heat source power density of 300 W/m2, the indoor air temperature of the PRC-AL reduced-scale chamber remains lower than that of the TIS reduced-scale chamber in both winter and transition seasons. Moreover, as the power density of the internal heat sources increases, the heat accumulation effect in the TIS becomes more pronounced. Meanwhile, over the 48-h simulation period, compared to the TIS, the PRC-AL composite envelope structure reduces the indoor air temperature by 16.16% (temperature difference of 9.34 °C) in September and 30.81% (a 12.98 °C difference) in December. Similarly, under the condition of an internal heat source power density of 500 W/m2, the PRC-AL composite envelope structure lowers the indoor air temperature by 19.49% (15.86 °C) in September and 29.61% (19.46 °C) in December compared to the TIS. At the power density of 1000 W/m2, the PRC-AL composite envelope structure maintains indoor temperatures 22.95% lower in September and 28.62% lower in December, respectively. These results demonstrate that the PRC-AL composite envelope structure exhibits superior regulation performance in the thermal environment of the data center room, with its advantages becoming more obvious at lower ambient temperatures. In summary, owing to its passive radiative cooling properties and dynamic heat dissipation mechanism, the PRC-AL composite envelope structure can maintain a relatively stable and lower-temperature indoor thermal environment, which can effectively relieve the cooling demands of the data center rooms under varying power densities.

4.3. Cooling Load Simulation for Different Climate Zones in China

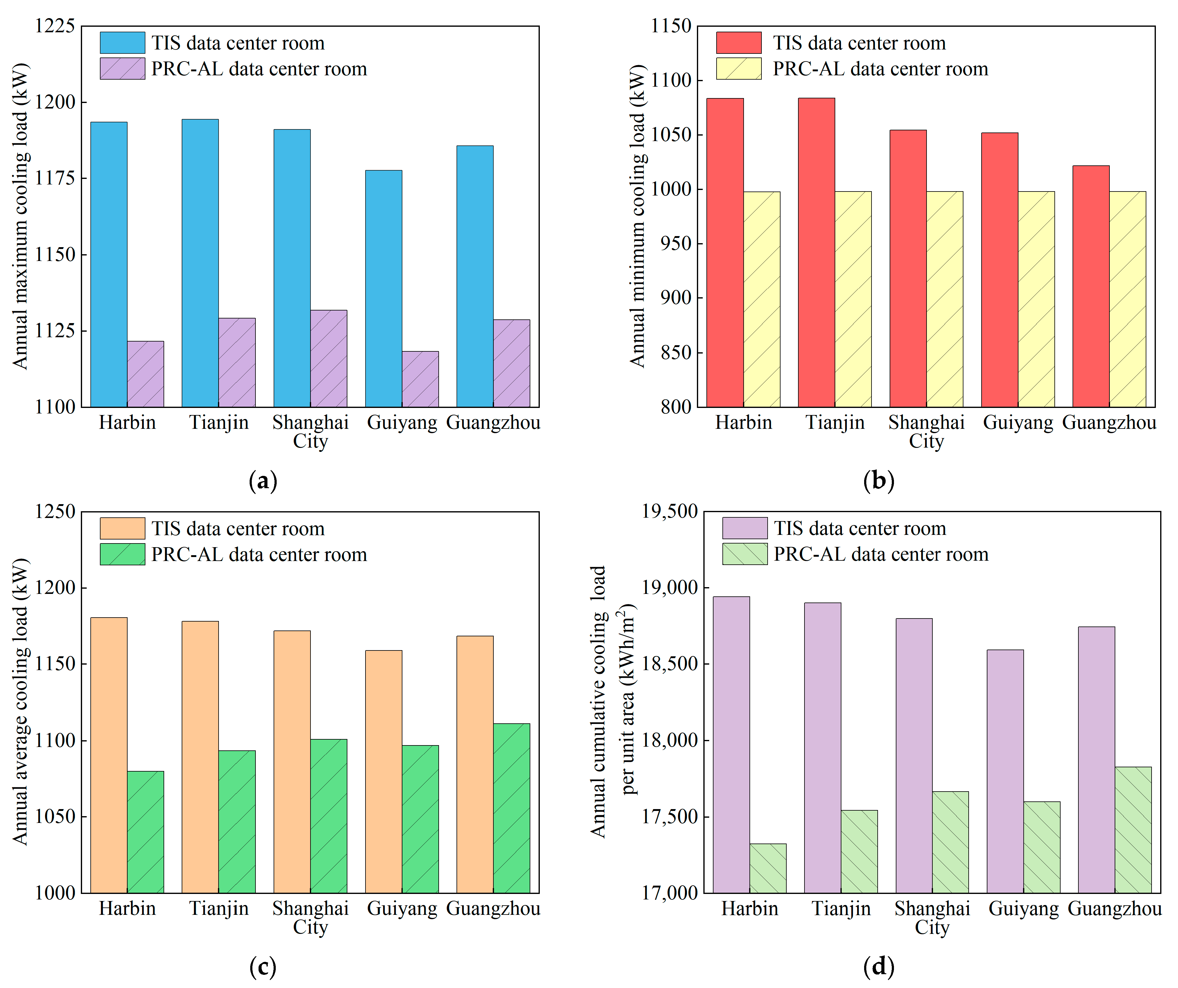
Figure 14 presents cooling load simulation results throughout the year for data center rooms with different building envelope structures in representative cities (Harbin, Tianjin, Guiyang, Shanghai, and Guangzhou) of China. As shown in Figure 14a, the application of the PRC-AL composite envelope structure significantly reduces the peak cooling load of the data center rooms compared to the TIS. Specifically, the peak cooling load in Harbin decreases from 1193.55 kW to 1121.68 kW, which has dropped by 6.0%, while Tianjin experiences a reduction from 1194.53 kW to 1129.10 kW (5.5%). Correspondingly, the peak cooling loads in Guiyang, Shanghai, and Guangzhou decrease by 5.0%, 5.0%, and 4.8%, respectively.
Regarding annual average cooling load optimization, the PRC-AL composite envelope structure demonstrates an excellent energy-saving effect. Among them, the PRC-AL data center room in Harbin shows the most obvious improvement, with the annual average cooling load of 1079.77 kW, which is a significant 8.5% reduction compared to the TIS data center room. Tianjin follows with a decrease from 1178.13 kW to 1093.40 kW (a 7.2% reduction). Shanghai and Guiyang achieve reductions of 6.0% and 5.4%, respectively. Even in Guangzhou, the annual average cooling load still decreases from 1168.36 kW to 1111.10 kW, achieving a 4.9% reduction. In conclusion, the PRC-AL composite envelope structure has good adaptability to different climate zones in China.
It should be noted that, as shown in Figure 14b, under the condition of high internal heat source power density of 2.2 kW/m2 on average, the data center rooms in a severe cold zone like Harbin still require cooling all year. The minimum hourly cooling load of the PRC-AL data center room remains at 997.83 kW, confirming that the PRC-AL composite envelope structure under high internal heat source power density does not produce a heating burden in winter when it is applied in the severe cold zone and the cold zone of China.
Figure 14d presents the comparison results of the annual cumulative cooling load per unit area of the data center rooms for different climate zones in China. In Harbin, the PRC-AL data center room exhibits an annual cumulative cooling load per unit area of 17,323.74 kWh/m2, achieving an energy saving of 1617.69 kWh/m2, with the most significant energy-saving effect among the five climate zones. Meanwhile, in Tianjin and Guiyang, the annual cumulative cooling load per unit area for the PRC-AL data center room is 17,542.38 kWh/m2 and 17,597.83 kWh/m2, respectively, with energy savings of 1359.49 kWh/m2 and 994.97 kWh/m2. In addition, the PRC-AL data center room in Shanghai demonstrates an annual cumulative cooling load per unit area of 17,664.10 kWh/m2, saving 1135.25 kWh/m2 in energy consumption. In Guangzhou, the energy saving of the PRC-AL data center room is 918.70 kWh/m2.

4.4. Analysis of the Factors Related to the Energy Saving for the PRC-AL Composite Envelope Structure

4.4.1. Effect of Different Climatic Conditions on the Energy Saving

It is well known that environmental factors significantly influence the performance of passive radiative cooling. Consequently, the energy-saving potential of the PRC-AL composite envelope structure exhibits strong dependence on local climatic conditions, including temperature, humidity, and solar radiation intensity. Figure 15 shows a comparison of energy-saving performance between the data center rooms employing the PRC-AL composite envelope structure and TIS in representative cities for different climate zones in China.
As can be seen in Figure 15, the energy-saving rates of the PRC-AL data center room for different climate zones follow a descending order: Harbin > Tianjin > Shanghai > Guiyang > Guangzhou. This demonstrates that the energy-saving rates of the PRC-AL data center room increase with latitude, which further indicates that the advantages of the PRC-AL composite envelope structure applied in severe cold zone and cold zone of China are better than those in the hot-summer and cold-winter zones, and even better than those in temperate zone and hot summer and warm-winter zone.
Furthermore, the energy-saving performance of the PRC-AL composite envelope structure is comprehensively influenced by ambient air temperature, humidity, and solar radiation. In Harbin and Tianjin, characterized by lower ambient air temperature (annual average temperatures of 5.3 °C and 13.6 °C), and lower humidity (annual average relative humidity of 60% and 52%), the PRC-AL composite envelope structure achieves relatively higher energy-saving rates of 8.54% and 7.19%, respectively. Conversely, in Guangzhou and Guiyang, where the ambient air temperatures are higher (23 °C and 14.8 °C), and the humidity is heavy (72% and 76%), the energy-saving performances of the PRC-AL composite envelope structure are not obvious. These findings suggest that for special buildings with cooling demands all year, like the data center rooms, the PRC-AL composite envelope structure exhibits more significant energy-saving advantages in regions with lower ambient air temperature and humidity. The reason for the above phenomenon is that the cooling performance of PRC materials is influenced by many factors, such as solar radiation intensity [34], cloud coverage [35], atmospheric precipitable water, and humidity [36]. The existing research [37] indicates that the lower solar radiation intensity, reduced cloud coverage, lower atmospheric precipitable water, and lower humidity can achieve greater cooling power. High latitude regions are characterized by low annual cloud coverage, frequent clear-sky conditions, and low atmospheric precipitable water, resulting in higher cooling performance of PRC materials in cities such as Harbin and Tianjin. Therefore, the PRC-AL composite envelope structure achieves relatively higher energy-saving rates in severe cold zone and cold zone. Meanwhile, for hot and humid climates, high humidity and extensive cloud coverage lead to a reduced heat dispersion from PRC materials to the outer space, thereby impairing cooling effectiveness. Nevertheless, PRC materials can still achieve sub-ambient daytime cooling. In addition, Table 9 presents a comparative analysis of the PRC-AL composite envelope structure against other envelope enhancement strategies. The results indicate that while the PRC-AL composite envelope offers certain energy-saving advantages, its energy efficiency remains inferior to that of more complex wall designs. Consequently, further optimization of this wall system is warranted.

4.4.2. Effect of the Absorptivity on the Energy Saving

To investigate the influence of absorptivity for radiative cooling materials on the energy-saving performance of the PRC-AL composite envelope structure, researchers conducted hourly cooling load simulations for the data center rooms in five representative cities. With the mid-infrared emissivity of the passive radiative cooling material fixed at 0.95, the cooling load simulations are performed for solar absorptivity ranging from 0.05 to 0.5 (0.05, 0.1, 0.2, 0.3, 0.4, 0.5). Table 10 presents the impact of the solar absorptivity (0.05–0.5) on the energy-saving performance in these five cities, where energy savings are the difference in the annual cumulative cooling load per unit area between the TIS and the PRC-AL data center room. Correspondingly, Figure 16 illustrates the variation in energy-saving rates for the PRC-AL data center rooms under different absorptivity conditions.
As shown in Table 10, when the solar absorptivity increases from 0.05 to 0.5, the energy saving for the PRC-AL data center room in Harbin decreases from 1617.69 kWh/m2 to 1550.93 kWh/m2, with a reduction of 66.76 kWh/m2. Similar reductions are observed in Tianjin (64.86 kWh/m2), Guiyang (47.31 kWh/m2), Shanghai (59.33 kWh/m2), and Guangzhou (55.93 kWh/m2). These results demonstrate that the energy-saving effect of the PRC-AL composite envelope structure gradually diminishes with the increase in the solar absorptivity. This phenomenon occurs because the increase in the solar absorptivity leads to more solar radiation being converted into building heat gain, thereby weakening the radiative cooling performance. At the same time, as can be seen from Figure 16, with the change the solar absorptivity, the decrease in energy saving rate in Harbin and Tianjin is higher than that in the other three cities, indicating that the solar absorptivity changes have a more significant impact on the energy saving for the PRC-AL data center room in severe cold zone and cold zone of China. In addition, Guiyang shows the most gradual decline in energy-saving rate among the five cities, which is since its relatively lower solar radiation intensity compared to the other cities, resulting in a weaker influence of absorptivity variations.

4.4.3. Effect of the Emissivity on the Energy Saving

In order to study the effect of the mid-infrared emissivity on the energy-saving performance of the PRC-AL composite envelope structure, researchers conducted hourly cooling load simulations for the mid-infrared emissivity of 0.95, 0.9, 0.8, 0.7, 0.6, and 0.5, respectively, with the solar absorptivity of the radiative cooling material fixed at 0.05. Table 11 lists the variations in the annual energy savings per unit area for the PRC-AL data center rooms in five representative cities under different emissivity conditions (0.5–0.95). Figure 17 shows the energy-saving rates for the PRC-AL data center rooms under different emissivity conditions.
As shown in Table 11, when the mid-infrared emissivity increases from 0.5 to 0.95, the energy savings of the PRC-AL data center rooms increase by 37.6 kWh/m2 (Harbin), 35.58 kWh/m2 (Tianjin), 26.04 kWh/m2 (Guiyang), 28.65 kWh/m2 (Shanghai), and 24.53 kWh/m2 (Guangzhou), respectively. This indicates that the energy-saving performance of the PRC-AL composite envelope structure increases with increasing emissivity. The improvement stems from the fact that materials with higher emissivity can more effectively radiate heat into outer space in the form of infrared radiation, especially at night or under low-temperature conditions where the radiative cooling performance becomes more obvious.
A comparative analysis of Figure 16 and Figure 17 reveals that the influence of the mid-infrared emissivity on energy-saving rates of the PRC-AL data center room is significantly lower than that of the solar absorptivity. This difference occurs because the change in the solar absorptivity directly affects the solar heat gain of the building, thereby substantially impacting the energy-saving performance of the PRC-AL composite envelope structure. Moreover, the greater the solar radiation intensity, the more obvious the effect of this influence.

5. Economic Analysis of the PRC-AL Design

An economic analysis for the PRC-AL design (PRC coating and galvanized steel) in data center rooms is performed. The simple payback period of the PRC-AL design can be calculated by Equation (5).
P t = C i n i E a n n u a l × A × p c
where P t refers to the simple payback period (year). C i n i represent the initial investment in the PRC coating and galvanized steel ($). E a n n u a l , A, and p c are the annual energy saving of PRC-AL composite envelope structure per unit area (kWh/m2), the area (m2), and the calculated electricity price in different cities ($/kWh), respectively. In the construction of the experiment rooms, the price of PRC coating and galvanized steel is $90/m2 and $50/m2, respectively. The initial investment for the PRC coating and galvanized steel of the PRC-AL composite envelope structure is $161,980.
The economic analysis of the data center room with PRC-AL design in five representative cities are given in Table 12. The results indicate that in most representative cities, the payback period of the PRC-AL design for data center rooms can be limited to within three years. Furthermore, Table 13 provides a detailed summary of the maximum acceptable costs for the PRC-AL designs under a limited five-year payback period in five representative cities. These data offer valuable references for future investment planning and cost optimization in the large-scale production and application of PRC-AL composite envelope structure in data center rooms.
It is worth noting that the reduction in energy-saving performance of the PRC materials with times was not considered in the above calculations. However, the current research demonstrates that the PRC materials generally exhibit significant sustainability characteristics, such as high durability, and self-cleaning potential. For example, after an accelerated weathering test with 960 h [41], a radiative cooling coating presented a mere 3.7% reduction in solar reflectivity under the unexcited state, corresponding to an approximately 6.8% decline in energy saving efficiency. Furthermore, despite the outstanding performance of high-efficiency PRC materials in laboratory settings, they still face numerous challenges in practical applications, particularly under harsh climatic conditions during long-term operation. These include rain erosion, dust accumulation, and ultraviolet (UV) aging. Meanwhile, due to the presence of the air layer, the PRC-AL design may introduce nighttime heat retention issues.

6. Conclusions

With the acceleration of the global digitalization process, the energy consumption of data centers is becoming increasingly serious. Fully utilizing outdoor natural cooling sources is an effective approach to reducing data center energy consumption. However, there is a contradiction between the thermal insulation characteristics of the traditional structure and the high power intensity features for the data center rooms. To address this issue, this study innovatively proposes a novel composite envelope structure based on the synergistic effects of passive radiative cooling and air-layer insulation. The adaptability analysis of the PRC-AL composite envelope structure is carried out. Meanwhile, the energy-saving performance and application potential of the PRC-AL composite envelope structure in data center rooms are systematically explored. The influence of the absorptivity and the emissivity of radiation cooling materials on the energy-saving is analyzed. The main conclusions are as follows:
(1)
Under the summer condition without internal heat sources, the exterior roof surface temperature of the PRC-AL reduced-scale chamber exhibited a maximum temperature reduction of 8.6 °C compared with the TIS reduced-scale chamber. This demonstrates that the radiative cooling material exhibits significant passive daytime radiative cooling performance. Meanwhile, the solar radiation intensity received by the walls of different orientations varies with time, leading to a clear trend that changes over time in the exterior wall surface temperature. The daily average temperature difference between the roofs of the two chambers is greater than that of the walls.
(2)
Under the condition of an internal heat source power density of 300–1000 W/m2 without a cooling system, the indoor air temperature of the PRC-AL reduced-scale chamber can be reduced by 9.34 °C to 35.66 °C. As the power density of the internal heat sources increases, the cooling performance of the PRC-AL composite envelope structure improves correspondingly. At the same time, the temperature reduction in winter is greater than that in the transition season, indicating that the lower the ambient temperature, the more obvious the superiority of the PRC-AL composite envelope structure. It can be proved that PRC-AL composite envelope structure effectively reduces both the indoor air temperature and the cooling load, making it a viable option for energy saving in data center rooms.
(3)
The energy-saving performance of the PRC-AL composite envelope structure depends on the weather conditions and the surface properties of radiative cooling materials. The PRC-AL composite envelope structure significantly reduces the cooling load of the data center rooms. The application of PRC-AL composite envelope structure has led to a decrease in the annual cumulative cooling load per unit area of 1617.69 kWh/m2 in Harbin, 1359.49 kWh/m2 in Tianjin, 1135.25 kWh/m2 in Shanghai, 994.97 kWh/m2 in Guiyang, and 918.70 kWh/m2 in Guangzhou. These results demonstrate that the energy-saving rates of the PRC-AL data center room increase with latitude. Therefore, compared with the TIS, the PRC-AL composite envelope structure shows a good energy-saving effect in five different climatic conditions. The implementation of the PRC-AL data center room is proposed in the severe cold zone and the cold zone of China.
(4)
Both decreasing the solar absorptivity and increasing the mid-infrared emissivity can enhance the energy-saving rate of the PRC-AL composite envelope structure, and the influence of the emissivity is significantly lower than that of the absorptivity.

Author Contributions

Conceptualization, R.G.; methodology, Z.H.; software, Y.H.; validation, W.S. and C.M.; formal analysis, R.G.; investigation, W.S.; resources, C.G.; data curation, Z.H. and Y.H.; writing—original draft preparation, R.G.; writing—review and editing, C.G. and X.C.; visualization, W.S.; supervision, C.G. and X.C.; project administration, Z.H. and C.M.; funding acquisition, R.G. All authors have read and agreed to the published version of the manuscript.

Funding

This work was supported by the National Natural Science Foundation of China (Grant No. 52408123).

Data Availability Statement

The data presented in this study are available on request from the corresponding author.

Conflicts of Interest

The authors declare no conflicts of interest.

Abbreviations

The following abbreviations are used in this manuscript:
PCMPhase change material
PRCPassive radiative cooling
PRC-ALPassive radiative cooling and air-layer insulation
PUEPower usage effectiveness
TISTraditional insulation structure

References

  1. Zhang, Y.; Tang, H.; Li, H.; Wang, S. Unlocking the flexibilities of data centers for smart grid services: Optimal dispatch and design of energy storage systems under progressive loading. Energy 2025, 316, 134511. [Google Scholar] [CrossRef]
  2. International Energy Agency. Electricity 2024—Analysis and Forecast to 2026; International Energy Agency (IEA): Paris, France, 2024.
  3. Wang, N.; Tian, B.; Wei, Z.; Guo, Y.; Dong, Z.; Ding, D.; Shao, S. Experimental study of a dual-loop cooling system for data centers: A combined active and passive cooling approach. Energy 2025, 333, 137478. [Google Scholar] [CrossRef]
  4. Wang, N.; Guo, Y.; Huang, C.; Shao, S. Advances in direct liquid cooling technology and waste heat recovery for data center: A state-of-the-art review. J. Clean. Prod. 2024, 477, 143872. [Google Scholar] [CrossRef]
  5. GB50174; Code for Design of Data Centers. Ministry of Housing and Urban-Rural Development of the People’s Republic of China: Beijing, China, 2017.
  6. GB50189; Design Standard for Energy Efficiency of Public Buildings. Ministry of Housing and Urban-Rural Development of the People’s Republic of China: Beijing, China, 2015.
  7. Hu, M.; Zhao, B.; Suhendri; Cao, J.; Wang, Q.; Riffat, S.; Su, Y.; Pei, G. Effect of vacuum scheme on radiative sky cooling performance. Appl. Therm. Eng. 2023, 219, 119657. [Google Scholar] [CrossRef]
  8. Lin, K.; Han, J.; Li, K.; Guo, C.; Lin, H.; Jia, B. Radiative cooling: Fundamental physics, atmospheric influences, materials and structural engineering, applications and beyond. Nano Energy 2021, 80, 105517. [Google Scholar] [CrossRef]
  9. Barber, E.; Vansal, N.; Fang, Z.; Hung, Y.; Peoples, J.; Ciez, R.; Horton, T.; Ruan, X. Impacts of radiative cooling paints for CO2 reduction and global warming mitigation. Energy Build. 2025, 332, 115458. [Google Scholar] [CrossRef]
  10. Wang, F.; Guo, J.; Ke, M.; Zheng, Y.; Zheng, W.; Jiang, Y. Experimental investigation on cooling performance in high radiative temperature of energy-storage radiative cooling panel. Energy 2025, 332, 137118. [Google Scholar] [CrossRef]
  11. Tang, H.; Wu, J.; Chen, W.; Li, C. Building energy saving of a rotatable radiative cooling-photovoltaic system by alternate utilization of solar energy and radiative cooling. Energy Build. 2024, 316, 114350. [Google Scholar] [CrossRef]
  12. Asfahan, H.M.; Sultan, M.; Li, X. Radiative cooling enhanced performance of adsorption desalination–cooling system. Energy 2025, 322, 135444. [Google Scholar] [CrossRef]
  13. Gong, Q.; Chen, J.; Lu, L. Radiative cooling rooftop systems for energy-efficient temporary housing: A Hong Kong case study. Energy Build. 2025, 344, 116016. [Google Scholar] [CrossRef]
  14. Khakzand, M.; Deljouiee, B.; Chahardoli, S.; Siavashi, M. Radiative cooling ventilation improvement using an integrated system of windcatcher and solar chimney. J. Build. Eng. 2024, 83, 108409. [Google Scholar] [CrossRef]
  15. Feng, C.; Lu, B.; He, Y.; Huang, X.; Liu, G.; Gao, S. Experimental study on the cooling and electricity-saving effects of radiative cooling coating applied to communication base station. Energy Build. 2025, 326, 115064. [Google Scholar] [CrossRef]
  16. Tian, D.; Zhang, J.; Gao, Z. The advancement of research in cool roof: Super cool roof, temperature-adaptive roof and crucial issues of application in cities. Energy Build. 2023, 291, 113131. [Google Scholar] [CrossRef]
  17. Baniassadi, A.; Sailor, D.J.; Ban-Weiss, G.A. Potential energy and climate benefits of super-cool materials as a rooftop strategy. Urban Clim. 2019, 29, 100495. [Google Scholar] [CrossRef]
  18. Ma, M.; Zhang, K.; Chen, L.; Tang, S. Analysis of the impact of a novel cool roof on cooling performance for a low-rise prefabricated building in China. Build. Serv. Eng. Res. Technol. 2021, 42, 26–44. [Google Scholar] [CrossRef]
  19. Chen, J.; Lu, L.; Gong, Q.; Lau, W.Y.; Cheung, K.H. Techno-economic and environmental performance assessment of radiative sky cooling-based super-cool roof applications in China. Energy Convers. Manag. 2021, 245, 114621. [Google Scholar] [CrossRef]
  20. Fang, H.; Zhao, D.; Yuan, J.; Aili, A.; Yin, X.; Yang, R.; Tan, G. Performance evaluation of a metamaterial-based new cool roof using improved Roof Thermal Transfer Value model. Appl. Energy 2019, 248, 589–599. [Google Scholar] [CrossRef]
  21. Wang, N.; Lv, Y.; Zhao, D.; Zhao, W.; Xu, J.; Yang, R. Performance evaluation of radiative cooling for commercial-scale warehouse. Mater. Today Energy 2022, 24, 100927. [Google Scholar] [CrossRef]
  22. Liu, J.; Xie, L.; Wu, H.; Zhang, G.; Fang, C.; Gu, J. Exploring energy-saving performance of radiative cooling roofs with a transient heat transfer model. J. Build. Eng. 2024, 88, 109174. [Google Scholar] [CrossRef]
  23. Zhang, W.; Jiao, D.; Zhao, B.; Pei, G. Experimental and numerical investigation of the effects of passive radiative cooling-based cool roof on building energy consumption. Appl. Energy 2024, 376, 124161. [Google Scholar] [CrossRef]
  24. Yuan, J.; Yin, H.; Yuan, D.; Yang, Y.; Xu, S. On daytime radiative cooling using spectrally selective meta material based building envelopes. Energy 2022, 242, 122779. [Google Scholar] [CrossRef]
  25. Wijesuriya, S.; Kishore, R.A.; Bianchi, M.V.A.; Booten, C. Potential energy savings benefits and limitations of radiative cooling coatings for U.S. residential buildings. J. Clean. Prod. 2022, 379, 134763. [Google Scholar] [CrossRef]
  26. Chen, J.; Lu, L.; Jia, L.; Gong, Q. Performance Evaluation of High-Rise Buildings Integrated with Colored Radiative Cooling Walls in a Hot and Humid Region. Sustainability 2023, 15, 12607. [Google Scholar] [CrossRef]
  27. Cai, Y.; Yang, Z.; Zhang, Z.; Yang, Z.; Zhang, H.; Xue, X.; Xian, M.; Shu, Y.; Gong, X.; Cai, X.; et al. Long-term cooling effects and cooling energy conservation of a subambient daytime radiative cooling coating relative to a cool-white coating over distributed telecommunication base stations. Sol. Energy 2023, 256, 127–139. [Google Scholar] [CrossRef]
  28. Wang, Z.; Wu, X.; Qu, M.; Fan, L.; Yu, Z.; Chen, S.; Ge, J.; Wang, L.; Dai, S. A field test and evaluation of radiative cooling performance as applied on the sidewall surfaces of residential buildings in China. Appl. Energy 2025, 379, 124961. [Google Scholar] [CrossRef]
  29. Zhao, X.; Aili, A.; Zhao, D.; Xu, D.; Yin, X.; Yang, R. Dynamic glazing with switchable solar reflectance for radiative cooling and solar heating. Cell Rep. Phys. Sci. 2022, 3, 100853. [Google Scholar] [CrossRef]
  30. Lin, K.; Chao, L.; Lee, H.H.; Xin, R.; Liu, S.; Ho, T.C.; Huang, B.; Yu, K.M.; Tso, C.Y. Potential building energy savings by passive strategies combining daytime radiative coolers and thermochromic smart windows. Case Stud. Therm. Eng. 2021, 28, 101517. [Google Scholar] [CrossRef]
  31. Chen, J.; Gong, Q.; Lu, L. Evaluation of passive envelope systems with radiative sky cooling and thermally insulated glazing materials for cooling. J. Clean. Prod. 2023, 398, 136607. [Google Scholar] [CrossRef]
  32. GB50176; Thermal Design Code for Civil Building. Ministry of Housing and Urban-Rural Development of the People’s Republic of China: Beijing, China, 2016.
  33. Sajjadi, H.; Salmanzadeh, M.; Ahmadi, G.; Jafari, S. Simulations of indoor airflow and particle dispersion and deposition by the lattice Boltzmann method using LES and RANS approaches. Build. Environ. 2016, 102, 1–12. [Google Scholar] [CrossRef]
  34. Wong, R.Y.M.; Tso, C.Y.; Jeong, S.Y.; Fu, S.C.; Chao, C.Y.H. Critical sky temperatures for passive radiative cooling. Renew. Energy 2023, 211, 214–226. [Google Scholar] [CrossRef]
  35. Huang, J.; Lin, C.; Li, Y.; Huang, B. Effects of humidity, aerosol, and cloud on subambient radiative cooling. Int. J. Heat Mass Transf. 2022, 186, 122438. [Google Scholar] [CrossRef]
  36. Song, X.; Gao, Y.; Farooq, A.S.; Zhang, P. Temperature non-uniformity in the radiative cooler and its effect on performance under various humidity conditions. Sol. Energy 2021, 220, 498–508. [Google Scholar] [CrossRef]
  37. Zhao, D.; Aili, A.; Zhai, Y.; Xu, S.; Tan, G.; Yin, X.; Yang, R. Radiative sky cooling: Fundamental principles, materials, and applications. Appl. Phys. Rev. 2019, 6, 72–81. [Google Scholar] [CrossRef]
  38. Kang, S.T.; Park, J.H.; Yuk, H.; Yun, B.Y.; Kim, S. Advanced Trombe wall façade design for improving energy efficiency and greenhouse gas emissions in solar limited buildings. Sol. Energy 2025, 293, 113492. [Google Scholar] [CrossRef]
  39. Yan, T.; Xu, X.; Gao, J.; Luo, Y.; Yu, J. Performance evaluation of a PCM-embedded wall integrated with a nocturnal sky radiator. Energy 2020, 210, 118412. [Google Scholar] [CrossRef]
  40. Duzcan, A.; Kara, Y.A. Optimization of a multi-generation renewable energy supply system for a net-zero energy building with PCM-integrated Trombe wall. J. Energy Storage 2025, 134, 117966. [Google Scholar] [CrossRef]
  41. Xue, X.; Qiu, M.; Li, Y.; Zhang, Q.M.; Li, S.; Yang, Z.; Feng, C.; Zhang, W.; Dai, J.-G.; Lei, D.; et al. Creating an Eco-Friendly Building Coating with Smart Subambient Radiative Cooling. Adv. Mater. 2020, 32, 1906751. [Google Scholar] [CrossRef] [PubMed]
Figure 1. Diagram of the PRC-AL composite envelope structure.
Figure 1. Diagram of the PRC-AL composite envelope structure.
Energies 18 05176 g001
Figure 2. Diagram of the reduced-scale chamber: (a) TIS; (b) PRC-AL composite envelope structure.
Figure 2. Diagram of the reduced-scale chamber: (a) TIS; (b) PRC-AL composite envelope structure.
Energies 18 05176 g002
Figure 3. Actual photographs of the experimental platform.
Figure 3. Actual photographs of the experimental platform.
Energies 18 05176 g003
Figure 4. Model used for data center room simulation.
Figure 4. Model used for data center room simulation.
Energies 18 05176 g004
Figure 5. Dynamic thermal performance numerical model.
Figure 5. Dynamic thermal performance numerical model.
Energies 18 05176 g005
Figure 6. Hourly cooling load numerical model.
Figure 6. Hourly cooling load numerical model.
Energies 18 05176 g006
Figure 7. Meteorological data of the testing days.
Figure 7. Meteorological data of the testing days.
Energies 18 05176 g007
Figure 8. Variations in the exterior roof surface temperature in summer.
Figure 8. Variations in the exterior roof surface temperature in summer.
Energies 18 05176 g008
Figure 9. Variations in the exterior wall surface temperature in summer: (a) East exterior wall; (b) South exterior wall; (c) West exterior wall; (d) North exterior wall.
Figure 9. Variations in the exterior wall surface temperature in summer: (a) East exterior wall; (b) South exterior wall; (c) West exterior wall; (d) North exterior wall.
Energies 18 05176 g009aEnergies 18 05176 g009b
Figure 10. Variations in the indoor air temperature in summer.
Figure 10. Variations in the indoor air temperature in summer.
Energies 18 05176 g010
Figure 11. Comparison between experimental exterior roof surface temperature and simulation results: (a) TIS reduced-scale chamber; (b) PRC-AL reduced-scale chamber.
Figure 11. Comparison between experimental exterior roof surface temperature and simulation results: (a) TIS reduced-scale chamber; (b) PRC-AL reduced-scale chamber.
Energies 18 05176 g011
Figure 12. Comparison between experimental indoor air temperature and simulation results: (a) TIS reduced-scale chamber; (b) PRC-AL reduced-scale chamber.
Figure 12. Comparison between experimental indoor air temperature and simulation results: (a) TIS reduced-scale chamber; (b) PRC-AL reduced-scale chamber.
Energies 18 05176 g012
Figure 13. Variations in the indoor air temperature with different intensities of the internal heat sources: (a) 300 W/m2 (September); (b) 300 W/m2 (December); (c) 500 W/m2 (September); (d) 500 W/m2 (December); (e) 1000 W/m2 (September); (f) 1000 W/m2 (December).
Figure 13. Variations in the indoor air temperature with different intensities of the internal heat sources: (a) 300 W/m2 (September); (b) 300 W/m2 (December); (c) 500 W/m2 (September); (d) 500 W/m2 (December); (e) 1000 W/m2 (September); (f) 1000 W/m2 (December).
Energies 18 05176 g013
Figure 14. Cooling load simulation results throughout the year for the PRC-AL and the TIS data center rooms: (a) annual maximum cooling load; (b) annual minimum cooling load; (c) annual average cooling load; (d) annual cumulative cooling load per unit area.
Figure 14. Cooling load simulation results throughout the year for the PRC-AL and the TIS data center rooms: (a) annual maximum cooling load; (b) annual minimum cooling load; (c) annual average cooling load; (d) annual cumulative cooling load per unit area.
Energies 18 05176 g014
Figure 15. Energy saving effect for the PRC-AL data center room in representative cities.
Figure 15. Energy saving effect for the PRC-AL data center room in representative cities.
Energies 18 05176 g015
Figure 16. Variations in the energy saving rates for the PRC-AL data center rooms with different solar absorptivity.
Figure 16. Variations in the energy saving rates for the PRC-AL data center rooms with different solar absorptivity.
Energies 18 05176 g016
Figure 17. Variations in the energy saving rates for the PRC-AL data center rooms with different emissivity.
Figure 17. Variations in the energy saving rates for the PRC-AL data center rooms with different emissivity.
Energies 18 05176 g017
Table 1. Thermophysical parameters of the building envelope.
Table 1. Thermophysical parameters of the building envelope.
ConstructionMaterial (From Outside to Inside)Thickness
(mm)
Density
(kg/m3)
Conductivity
(W/(m·K))
Specific Heat (J/(kg·k))
TIS roofNormal paint21.30.121.73
Mortar29150.52850
Concrete block2025001.74920
XPS50220.033850
TIS wallNormal paint21.30.121.73
Mortar29150.52850
Aerated concrete block2506000.14850
Stone wool701200.04850
Mortar29150.52850
PRC-AL roofPRC coating--------
Galvanized steel0.6725049.9480
Air-layer501.2050.02591005
Concrete block2025001.74920
PRC-AL wallPRC coating--------
Galvanized steel0.6725049.9480
Air-layer501.2050.02591005
Mortar59150.52850
Aerated concrete block2506000.14850
Mortar29150.52850
Table 2. Absorptivity and emissivity of the coating material.
Table 2. Absorptivity and emissivity of the coating material.
CoatingNormal PaintRadiative Cooling Coating
Solar absorptivity0.50.05
Mid-infrared emissivity0.90.952
Table 3. Specification of measurement instruments.
Table 3. Specification of measurement instruments.
ConstructionDescription
ModelImageTest ParameterRangeAccuracy
ThermocouplePT100Energies 18 05176 i001Temperature−50~200 °C0.15 °C + 0.002|t|
Outdoor air temperature−40~125 °C±0.3 °C
Environmental monitoring systemJD9220Energies 18 05176 i002Wind speed0~45 m/s≤±(0.3 + 0.03V) m/s
Outdoor air humidity0~100%±3% RH
Solar radiation intensity0~3000 W/m2<±5%
Data loggerTDP6407Energies 18 05176 i003------
Table 4. Comparison in meteorological parameters for representative cities.
Table 4. Comparison in meteorological parameters for representative cities.
Meteorological ParameterHarbinTianjinGuiyangShanghaiGuangzhou
Severe Cold ZoneCold ZoneTemperate ZoneHot-Summer and Cold-Winter ZoneHot-Summer and Warm-Winter Zone
Average annual temperature (°C)5.313.614.817.623.1
Average temperature of the coldest month (°C)−17.3−3.14.05.214.3
Average temperature of the hottest month (°C)23.727.623.329.629.6
Total annual solar radiation (kWh/m2)13071339101312741218
Average annual relative humidity (%)6052767072
Table 5. Heat transfer coefficients of traditional insulation structure for representative cities.
Table 5. Heat transfer coefficients of traditional insulation structure for representative cities.
Building EnvelopesHeat Transfer Coefficient (W/(m2·K))
HarbinTianjinGuiyangShanghaiGuangzhou
Roofs0.350.540.790.690.87
Walls0.440.591.401.001.49
Table 6. Exterior roof surface temperature.
Table 6. Exterior roof surface temperature.
TimeReduced-Scale ChamberExterior Roof Surface Temperature (°C)
MaximumMinimumAverageDaytime AverageNighttime Average
17–19 July
(18:00–18:00)
TIS57.2823.3836.2444.9625.54
PRC-AL52.4625.6635.6441.8827.97
Temperature difference8.62−3.660.613.08−2.43
29–31 August
(0:00–0:00)
TIS54.3317.6532.7141.5822.69
PRC-AL46.1120.9631.3737.0424.96
Temperature difference8.46−3.311.344.54−2.28
Table 7. Indoor air temperature.
Table 7. Indoor air temperature.
TimeReduced-Scale ChamberIndoor Air Temperature (°C)
MaximumMinimumAverageDaytime AverageNighttime Average
17–19 July
(18:00–18:00)
TIS36.5327.9031.8333.2230.13
PRC-AL39.2626.5232.4735.1129.22
Temperature difference1.51−3.72−0.64−1.900.91
29–31 August
(0:00–0:00)
TIS31.9123.9727.5628.2926.74
PRC-AL35.2022.0928.0729.9225.97
Temperature difference1.98−3.56−0.51−1.640.77
Table 8. Statistical parameters of the numerical model.
Table 8. Statistical parameters of the numerical model.
LocationReduced-Scale ChamberRMAPERMSE σ
Exterior roof surface temperatureTIS0.950.0632.205.15
PRC-AL0.950.0492.003.26
Indoor air temperatureTIS0.930.0260.671.13
PRC-AL0.980.0371.052.22
Table 9. A comparison of the PRC-AL composite envelope structure versus other envelope improvements.
Table 9. A comparison of the PRC-AL composite envelope structure versus other envelope improvements.
Improved EnvelopeEnergy Saving
PRC-AL composite envelope structureThe energy saving of the PRC-AL composite envelope structure for data center rooms ranged from 4.90–8.54%.
Trombe Wall [38]Compared to the baseline scenario, the Trombe wall system on the public building in Incheon demonstrated a significant reduction in energy consumption of 14.53%.
Phase change material (PCM) wall [39]The reduction of the energy efficiency was 0.6% comparing with the common wall system.
A PCM-embedded wall integrated with a nocturnal sky radiator [39]Over the entire cooling season, the integration of a nocturnal sky radiator with a PCM-embedded wall in Wuhan achieved an energy saving ratio of approximately 23.4%.
PCM-integrated Trombe wall [40]The average total annual energy consumption decreased by 21.4%
Table 10. Energy savings per unit area for the PRC-AL data center rooms with different solar absorptivity.
Table 10. Energy savings per unit area for the PRC-AL data center rooms with different solar absorptivity.
Solar
Absorptivity
Energy Savings per Unit Area (kWh/m2)
HarbinTianjinGuiyangShanghaiGuangzhou
0.051617.691359.49994.971135.25918.70
0.11610.221352.24989.691128.62912.45
0.21595.331337.77979.141115.39899.97
0.31580.491323.35968.611102.19887.54
0.41565.681308.97958.121089.04875.14
0.51550.931294.63947.661075.92862.77
Table 11. Energy savings per unit area for the PRC-AL data center rooms with different mid-infrared emissivity.
Table 11. Energy savings per unit area for the PRC-AL data center rooms with different mid-infrared emissivity.
Mid-Infrared EmissivityEnergy Savings per Unit Area (kWh/m2)
HarbinTianjinGuiyangShanghaiGuangzhou
0.951617.691359.49994.971135.25918.70
0.91613.851355.88992.341132.36916.23
0.81605.951348.43986.891126.37911.12
0.71597.701340.63981.191120.09907.61
0.61589.091332.47975.211113.51900.11
0.51580.091323.91968.931106.60894.17
Table 12. Payback period of the PRC-AL design for data center rooms in 5 representative cities.
Table 12. Payback period of the PRC-AL design for data center rooms in 5 representative cities.
LocationHarbinTianjinGuiyangShanghaiGuangzhou
Calculated electricity price ($/kWh)0.110.120.10.120.1
Payback period (year)1.671.822.982.183.23
Table 13. Maximum acceptable cost of the PRC-AL design for data center rooms in 5 representative cities.
Table 13. Maximum acceptable cost of the PRC-AL design for data center rooms in 5 representative cities.
LocationHarbinTianjinGuiyangShanghaiGuangzhou
Cost ($/m2)419.87384.93234.77321.44216.77
Disclaimer/Publisher’s Note: The statements, opinions and data contained in all publications are solely those of the individual author(s) and contributor(s) and not of MDPI and/or the editor(s). MDPI and/or the editor(s) disclaim responsibility for any injury to people or property resulting from any ideas, methods, instructions or products referred to in the content.

Share and Cite

MDPI and ACS Style

Gao, R.; Sun, W.; Hao, Y.; He, Z.; Guo, C.; Chen, X.; Meng, C. Experimental and Numerical Investigation of the Effects of Passive Radiative Cooling-Air Layer Composite Envelope Structure on Building Energy Consumption for Data Center Rooms. Energies 2025, 18, 5176. https://doi.org/10.3390/en18195176

AMA Style

Gao R, Sun W, Hao Y, He Z, Guo C, Chen X, Meng C. Experimental and Numerical Investigation of the Effects of Passive Radiative Cooling-Air Layer Composite Envelope Structure on Building Energy Consumption for Data Center Rooms. Energies. 2025; 18(19):5176. https://doi.org/10.3390/en18195176

Chicago/Turabian Style

Gao, Rong, Weijin Sun, Yuxin Hao, Zhonglu He, Chunmei Guo, Xi Chen, and Chong Meng. 2025. "Experimental and Numerical Investigation of the Effects of Passive Radiative Cooling-Air Layer Composite Envelope Structure on Building Energy Consumption for Data Center Rooms" Energies 18, no. 19: 5176. https://doi.org/10.3390/en18195176

APA Style

Gao, R., Sun, W., Hao, Y., He, Z., Guo, C., Chen, X., & Meng, C. (2025). Experimental and Numerical Investigation of the Effects of Passive Radiative Cooling-Air Layer Composite Envelope Structure on Building Energy Consumption for Data Center Rooms. Energies, 18(19), 5176. https://doi.org/10.3390/en18195176

Note that from the first issue of 2016, this journal uses article numbers instead of page numbers. See further details here.

Article Metrics

Back to TopTop