Next Article in Journal
Operational Optimization of Electricity–Hydrogen Coupling Systems Based on Reversible Solid Oxide Cells
Next Article in Special Issue
Active and Reactive Power Coordinated Optimization of Distribution Network–Microgrid Clusters Considering Three-Phase Imbalance Mitigation
Previous Article in Journal
Operational Study of a Solar Thermal Installation with Recirculation for Industrial Applications
Previous Article in Special Issue
Discrete Adaptive Nonswitching Reaching Law Algorithm for Sliding Mode Control of a Grid-Following Inverter
 
 
Font Type:
Arial Georgia Verdana
Font Size:
Aa Aa Aa
Line Spacing:
Column Width:
Background:
Article

Reliability Analysis of CVT Online Monitoring Device Based on Bayesian Network

1
State Grid Ningxia Marketing Service Center (State Grid Ningxia Metrology Center), Yinchuan 750001, China
2
School of Artificial Intelligence and Automation, Wuhan University of Science and Technology, Wuhan 430041, China
*
Author to whom correspondence should be addressed.
Energies 2025, 18(18), 4928; https://doi.org/10.3390/en18184928
Submission received: 13 August 2025 / Revised: 11 September 2025 / Accepted: 15 September 2025 / Published: 16 September 2025

Abstract

To address the challenges of equipment reliability assessment in the context of intelligent power systems, especially the shortcomings of traditional methods in dealing with multi-factor coupling and uncertain fault inference of CVT (capacitive voltage transformer) online monitoring devices, this study proposes a reliability analysis method based on Bayesian networks (BNs). The research aims to evaluate the reliability of CVT online monitoring devices, identify key risk factors, and optimize maintenance strategies. Firstly, a Bayesian network reliability model is constructed for the CVT online monitoring device, defining key influencing factors such as environmental factors and component quality as network nodes, and establishing conditional probability dependency relationships between nodes. Subsequently, the MATLAB R2021b simulation platform was used to simulate the system’s operating status under different combinations and scenarios. The experimental results indicate that the combination of high-temperature and high-humidity environments has the most significant impact on reliability; among the component factors, the failure of the data acquisition and processing unit has the greatest impact on system reliability; wiring process issues pose a greater threat to reliability than mechanical fixing issues; and regular maintenance can significantly improve system reliability. This method validates the effectiveness of Bayesian networks in dynamic reliability analysis of CVT online monitoring devices, which can accurately locate high-risk factors and support maintenance decision optimization.

1. Introduction

As power systems become increasingly intelligent and complex, voltage transformer monitoring is critical to ensuring their safe operation [1,2]. Therefore, reliability analysis of monitoring devices has become a key component in maintaining system safety [3,4,5,6,7].
Traditional reliability analysis methods, mostly based on physical models [8,9,10], struggle to effectively handle fault reasoning under multi-factor coupling, dynamic environments, and uncertain conditions.
In recent years, Bayesian networks (BNs) [11,12,13] have been widely applied in fields involving uncertainty due to their strong probabilistic reasoning capabilities and intuitive graphical modeling advantages, which use probabilistic algorithms as the basis for reasoning and handling uncertainty [14,15]. Internationally, significant progress has been made in applying Bayesian networks to reliability analysis of power equipment. Huo et al. [16] proposed an application method of Bayesian networks (BN) in power system reliability assessment; Qiu et al. [17] developed an evaluation framework integrating Bayesian networks for failure assessment of electric energy metering equipment; and Ramadan H. et al. [18] optimized the health index calculation model of power transformers by combining neural networks with Bayesian reasoning, providing new ideas for dynamic reliability assessment. Domestic scholars, such as Zhang Zhaochuang [19], Liao Caibo [20], and Fan Huifang [21], applied Bayesian networks to transformer fault analysis; Chen Yunhao et al. [22] realized dynamic prediction of fault probabilities for current transformers based on Bayesian networks, verifying their applicability in complex equipment; and Tong Weiyan et al. [23] proposed a hybrid method for reliability analysis of complex systems by combining fuzzy theory with Bayesian networks, further enhancing the model’s ability to handle uncertain information. Additionally, Zhao Miao [24] revealed the dynamic characteristics of insulation monitoring parameters for voltage transformers through simulation studies, laying a foundation for the application of Bayesian networks in multi-physics field coupling analysis. Based on the logical relationship between component and system reliability, combined with test fault data, Wang Qing et al. [25] proposed a Bayesian evaluation method for electric energy meter reliability integrating reliability prediction. Zhao Qicheng et al. [26] developed a Bayesian state assessment method for dry-type air-core reactors.
Therefore, this paper proposes a reliability analysis method based on Bayesian networks to address the limitations of traditional physical models in handling multi-factor coupling and uncertain fault reasoning. By integrating the MATLAB simulation platform and through a dynamic probability reasoning mechanism, the model’s adaptability to complex environmental changes is enhanced. A multi-level causal dependency network is constructed to identify key risk factors (such as specific component defects and weak links in the process), overcoming the limitations of traditional methods in risk traceability. Compared with assessment systems relying on physical equations, this method demonstrates higher efficiency in dealing with uncertainties and decision optimization, providing quantifiable support for engineering practice and reducing empirical costs.

2. Bayesian Networks

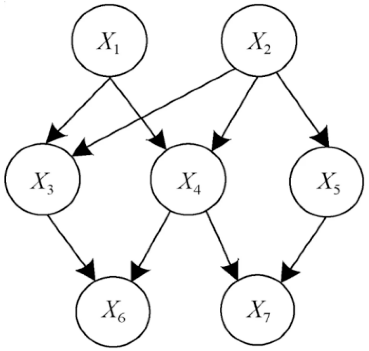
A Bayesian network is a graphical model composed of nodes and directed edges, where each node represents a random variable, and edges represent conditional dependencies between variables. The goal of a Bayesian network is to infer the probability of unknown variables using known evidence, thereby evaluating system reliability.
Its core idea is to express dependencies between variables through conditional probability distributions and perform reasoning and updating using Bayes’ theorem. The mathematical basis of Bayesian networks is Bayes’ theorem [27], using the following Equation (1):
P ( H E ) = P ( E H ) P ( H ) P ( E )
where P ( H | E ) is the posterior probability of hypothesis H given evidence E, P ( E | H ) is the likelihood of observing evidence E under hypothesis H, P ( H ) is the prior probability of hypothesis H, and P ( E ) is the marginal probability of evidence E.
As shown in Figure 1,The probability distribution of each node in a Bayesian network depends on its set of parent nodes, i.e., P ( X 1 X 2 , ... X n ) = i = 1 n P ( X i | P a ( X i ) ) , where X i is a node in the network, and P a ( X i ) is the set of parent nodes of X i . This formula indicates that the joint probability distribution in the network can be expressed as the product of the conditional probabilities of each node.
By modeling the conditional probability distributions of each node, Bayesian networks can establish dependencies between multiple variables. During reasoning, the probability distribution of other unknown nodes can be derived from observed data of known nodes.

3. Reliability Analysis Based on Bayesian Networks

Reliability analysis of online monitoring devices using Bayesian networks can evaluate the health status of equipment operation. The health status of equipment is typically influenced by multiple factors. In a Bayesian network, each factor is represented as a node, and directed edges between nodes denote conditional dependencies among these factors. System reliability analysis involves inferring relationships between these variables to assess equipment reliability. The evaluation process diagram is shown in Figure 2.
(1)
Construction of equipment health status model
When constructing a health status model for online monitoring devices, it is first necessary to define various operating parameters of the device as nodes in the network and determine dependencies between these nodes using historical data. The Bayesian network model for equipment health status can be expressed as Equation (2):
P ( T , H , U , S ) = P ( T ) P ( H | T ) P ( U | H ) ( S | U )
where T represents temperature, H represents humidity, U represents voltage, and S represents the equipment health status. Temperature, humidity, and voltage, as crucial environmental variables, directly affect the dielectric properties and insulation performance of equipment, and also have an impact on the health status of the equipment. The conditional probability distributions, such as P ( H | T ) , describe the relationship between temperature and pressure; P ( U H ) represents the dependency between humidity and voltage; and finally, P ( S U ) indicates the influence of voltage on the health status of the equipment.
(2)
Fault modes and fault probabilities
Conditional probabilities under different fault modes are established using historical data and equipment design information. The occurrence probabilities of these fault modes are inferred through Bayesian networks.
Let F be the fault state of the equipment, T be temperature, and U be voltage. The probability of equipment failure can be expressed by Equation (3):
P ( F T , U ) = P ( T , U F ) P ( F ) P ( T , U )
where P ( T , U F ) is the conditional probability of temperature and voltage under the fault state, P ( F ) is the prior probability of failure occurrence, and P ( T , U ) is the marginal probability of temperature and voltage.
(3)
Reasoning and decision support
Reasoning through Bayesian networks infers equipment health status based on real-time sensor data. For example, if the temperature and voltage of the equipment reach certain preset thresholds, Bayesian reasoning can calculate the posterior probability of equipment failure. Assuming the temperature and current of the equipment are observed, the posterior probability of equipment failure can be expressed as Equation (4):
P ( F T = t , U = u ) = P ( T = t , U = u F ) P ( F ) P ( T = t ,   U = u )
In this way, Bayesian networks can provide health status assessments of online monitoring devices based on current observed data.

4. Experimental Verification

Bayesian networks are based on probabilistic graphical models, consisting of nodes and directed edges, representing conditional dependencies between variables. Therefore, it is first necessary to identify key factors affecting the reliability of CVT online monitoring devices. Each factor is then treated as a node in the network, and causal relationships between them are established. This paper will use the CVT online monitoring device from Ningxia Company of State Grid at Yinchuan China to conduct the following experiments.
(1)
Environmental factors
First, environmental factors such as temperature and humidity are used as nodes to establish relationships. The parent nodes are environmental factors, and the child node is reliability. Each parent node has different states, and the reliability node depends on the conditional probabilities of these two factors. Next, it is necessary to determine the conditional probability table (CPT) for each node. The experimental steps are as follows:
First, the network structure and probability parameters are defined, and a Bayesian network structure with three nodes (temperature, humidity, and reliability) is constructed. Then, the joint probability is calculated to derive the marginal probability of reliability, and results are visualized via histograms and tables.
The reliability analysis results of capacitive voltage transformers are shown in Figure 3 and Figure 4.
Analysis of Table 1 results: Overall fault probability: 32.70%; overall normal probability: 67.30%. The most dangerous combination is high temperature + high humidity, with a 95% fault probability. In a high-temperature and high-humidity environment, the failure probability of the CVT online monitoring device reaches 95%, mainly due to the combined effect of high temperature and high humidity. High temperature accelerates the aging of electronic components and reduces insulation performance, while high humidity causes water vapor to penetrate into the sensors and circuit boards, leading to corrosion, short circuits, or signal drift.
(2)
Component quality
Three core components of the CVT online monitoring device, namely the sensor unit, communication and transmission module, and data acquisition and processing unit, are selected as nodes to establish relationships. These three factors serve as parent nodes, and reliability is the child node. The probabilities of each state are calculated through joint probabilities, and then the conditional probability table for each node is determined. The experimental steps are as follows:
First, define the prior probabilities of each node (each node is independent, and the joint probability is the product of their respective probabilities). Define the conditional probability table (CPT) as the conditional probability of the reliability node R. Enumerate all possible combinations of parent node states, calculate the probability of each combination, and visualize the results, as shown in Figure 5.
Analysis of Table 2 results: The overall normal reliability probability is 95%. The most dangerous combination is all faults, with a 90% fault probability. When the data acquisition and processing Fault (D Fault) fails, the system reliability significantly decreases. Its impact is greater than that of the sensor Fault (C Fault) and the communication module (T Fault). The failure of this Fault will directly cause the entire monitoring system to lose its “decision-making center”. Moreover, when all three components fail simultaneously, the system reliability drops sharply to 10%.
(3)
Installation process
First, two important processes in the installation of CVT online monitoring devices, wiring process and mechanical fixing, are used as parent nodes, and reliability is the child node. The wiring process has two states: good and poor; mechanical fixing has two states: normal and faulty. The reliability state of the entire system is determined by these factors. The experimental steps are as follows:
Construct a Bayesian network containing three nodes: wiring process, mechanical fixing, and reliability, where the reliability node is affected by the first two. Then calculate the conditional probabilities when each factor fails. Next, enumerate all possible combinations, calculate the joint probabilities, and sum them to obtain the marginal probability of the reliability node. Finally, visualize the results as shown in Figure 6 and Figure 7.
Analysis of Table 3 results: The overall normal probability is 92.72%. The wiring process has a greater impact on reliability than mechanical fixing.
(4)
Maintenance management
Regular maintenance and no maintenance are set as parent nodes, and reliability is the child node. The reliability state of the entire system is determined by maintenance management. It is necessary to determine the influence weight of each parent node on system reliability or the specific values of joint probabilities. The experimental steps are as follows:
First, maintenance management, as a parent node, directly affects reliability. Then, determine the states of each node. Maintenance management has two states: “regular maintenance” and “no maintenance”; reliability has two states: “good” and “poor”. Next, set the conditional probability table. Reliability under different maintenance states is shown in Figure 8.
Table 4 shows that when regular maintenance is implemented, the probability of the device being in a “good” state is as high as 95%, and the probability of being in a “poor” state is only 5%. Without maintenance, the probability of the device being in a “good” state drops sharply to 30%, while the probability of being in a “poor” state significantly increases to 70%. These results strongly demonstrate the extreme importance of regular maintenance in ensuring the reliability of CVT online monitoring devices. Compared with the on-site maintenance records of the State Grid in Ningxia region, the actual proportion of “good” is 94.9%, which is only 0.1% lower than the predicted value of 95%. In the un-maintained areas, the proportion of “poor” reaches 71.1%, which is 1.1% higher than the predicted value of 70%. This confirms that the Bayesian model has high accuracy and practical effectiveness.
(5)
Transformer’s own error
The error magnitude of the transformer itself is set as the parent node, and reliability is the child node. The reliability state of the entire system is determined by maintenance management. It is necessary to determine the influence weight of each parent node on system reliability or the specific values of joint probabilities. The experimental steps are as follows:
First, the key variables here are the error characteristics and reliability state of the transformer. The error characteristic is a parent node, and reliability is a child node, as error characteristics affect reliability. Next, determine the states of the variables. Error characteristics may have different states: “low error”, “medium error”, and “high error”. Reliability is divided into “good” and “bad”. Then, define the conditional probability table (CPT) as shown in Figure 9.
Table 5 shows that when in the “low error” state, the probability that the monitoring device outputs a “reliable” result is the highest. This indicates that the monitoring device has high credibility in its output results when measuring healthy or well-functioning CVTs. As the error increases, the probability that the monitoring device outputs a “reliable” result decreases to 75%. This means that when the CVT itself begins to have minor issues, the accuracy of the monitoring device’s diagnostic results may decrease due to the influence of abnormal signals from the device itself, with a certain risk of misjudgment or missed judgment. When in the “high error” state, the probability that the monitoring device outputs a “reliable” result drops sharply to 40%. This indicates that severe faults or performance degradation of the CVT itself will greatly interfere with the judgment ability of its online monitoring device.

5. Conclusions

With the intelligent development of power systems, traditional reliability analysis methods struggle to effectively solve the problem of fault reasoning for CVT online monitoring devices under multi-factor coupling, dynamic environments, and uncertain conditions.
This paper proposes a reliability analysis method based on Bayesian networks to dynamically evaluate the health status of online monitoring devices, identify key risk factors, and optimize maintenance strategies. A Bayesian network model for CVT online monitoring devices is constructed, where key variables such as environmental factors, component quality, installation process, and maintenance management are defined as network nodes, and conditional probability dependencies are established. Multi-scenario experiments are conducted using the MATLAB platform to simulate system behavior under different environmental combinations (temperature and humidity), component states (sensors/communication/data processing units), process levels (wiring/mechanical fixing), and maintenance strategies. Dynamic updates and predictions of fault probabilities are realized through Bayesian reasoning. The results show that the combination of high-temperature and high-humidity environments has the most significant impact on reliability; among component factors, failures of the data acquisition and processing unit have the greatest impact on system reliability. The proposed Bayesian network model can not only identify the key reliability threats but also quantify their impact; regular maintenance can increase the system reliability by 65 percentage points (from 30 to 95%), while high-temperature and high-humidity environments will increase the failure probability to 95%. By supporting data-driven decision-making in the complex power grid environment, this method can improve operational efficiency and reduce unplanned downtime. Wiring process issues pose greater risks to reliability than mechanical fixing problems; and regular maintenance can significantly improve system reliability. This study verifies the effectiveness of Bayesian networks in reliability analysis, proposes a Bayesian network modeling method for multi-factor coupling, solves the limitations of traditional models in uncertain reasoning, and provides a new paradigm for complex system reliability theory.

Author Contributions

Conceptualization, R.R. and Y.Z.; methodology, X.C. (Xu Chen) and X.C. (Xuhui Chen); software, Y.Y. and X.C. (Xuhui Chen); validation, Y.X., C.Z., and R.R.; formal analysis, H.Z.; investigation, X.C. (Xu Chen); resources, Y.Y.; data curation, H.Z.; writing—original draft preparation, X.C. (Xu Chen); writing—review and editing, C.Z.; visualization, H.Z.; supervision, X.C. (Xuhui Chen); project administration, Y.Z.; funding acquisition, R.R. All authors have read and agreed to the published version of the manuscript.

Funding

This study was supported by the Science and Technology Project of State Grid Ningxia Electric Power Co., Ltd. (No. 5229YX240005).

Data Availability Statement

Restrictions apply to the availability of these data. Data were obtained from State Grid Ningxia Marketing Service Center (State Grid Ningxia Metrology Center) and are available with the permission of State Grid Ningxia Marketing Service Center (State Grid Ningxia Metrology Center).

Conflicts of Interest

The authors declare that this study received funding from the Science and Technology Project of State Grid Ningxia Electric Power Co., Ltd. (No. 5229YX240005). The funder had the following involvement with the study: The funder participated in the study design.

Abbreviations

The following abbreviations are used in this manuscript:
CVTcapacitive voltage transformer
BNBayesian networks
CPTconditional probability table

References

  1. Xu, Y.; Li, H.; Zhang, C. Quantitative evaluation method for voltage transformer error based on optimal modeling and deep belief network. Electr. Meas. Instrum. 2024, 61, 55–62+77. [Google Scholar]
  2. Han, H.A.; Zhang, Z.; Wang, H.N.; Li, H.B.; Xue, J.L.; Shao, L. Online metering performance evaluation of capacitor voltage transformer based on principal component analysis. Power Autom. Equip. 2019, 39, 201–206. [Google Scholar]
  3. Li, X.; Tian, F.; Guo, Y. Exploration of key technologies for health management and intelligent operation and maintenance of power equipment in new power systems. Power Syst. Technol. 2023, 47, 3710–3727. [Google Scholar]
  4. Li, N.; Zhang, W.; Wang, H. Reliability verification method for intelligent energy meters in high dry heat field environments. Electr. Meas. Instrum. 2024, 61, 192–198. [Google Scholar]
  5. Xue, G.; Wang, Y.; Yu, H.; Wei, L.; Qian, Z. Reliability study of SF6 gas density meter based on constant stress accelerated life test. Electr. Meas. Instrum. 2024, 61, 194–202. [Google Scholar]
  6. Zhu, Q.Y.; Zhu, L.P.; Wang, Z.Z.; Zhang, X.; Li, Q.; Han, Q.; Yang, Z.; Qin, Z. Hybrid triboelectric-piezoelectric nanogenerator assisted intelligent condition monitoring for aero-engine pipeline system. Chem. Eng. J. 2025, 519, 165121. [Google Scholar] [CrossRef]
  7. Cao, J.; Lin, Y.; Fu, X.P.; Wang, Z.; Liu, G.; Zhang, Z.; Qin, Y.; Zhou, H.; Dong, S.; Cheng, G.; et al. Self-powered overspeed wake-up alarm system based on triboelectric nanogenerators for intelligent transportation. Nano Energy 2023, 107, 108150. [Google Scholar] [CrossRef]
  8. Kou, H.; An, Z.; Ma, Q. Fatigue reliability assessment of wind turbine blades based on performance degradation data. Acta Energiae Solaris Sin. 2017, 38, 3174–3179. [Google Scholar]
  9. Li, K.; Wang, Y.; Zhao, C.C.; Hao, Y.J.; Liu, Z.J.; Hu, B.K. Reliability simulation analysis of leakage protection module based on performance degradation. Electr. Meas. Instrum. 2023, 60, 64–70+77. [Google Scholar]
  10. Chaturvedi, A.; Sarma, M.; Chaturvedi, S.K.; Bernstein, J. Performance assessment and RUL prediction of power converters under the multiple components degradation. Microelectron. Reliab. 2023, 144, 114958–114971. [Google Scholar] [CrossRef]
  11. Qian, C.; Hua, F. Research on the reliability of hydraulic systems based on dynamic bayesian networks. Mach. Tool Hydraul. 2023, 51, 219–224. [Google Scholar]
  12. Zhou, Z.; Dong, D.; Zhou, J. Application of bayesian networks in reliability analysis. Syst. Eng. Theory Pract. 2006, 6, 95–100. [Google Scholar]
  13. Wang, Q.; Chen, J.; Ni, Y.; Xiao, Y.; Liu, N.; Liu, S.; Feng, W. Application of Bayesian networks in reliability assessment: A systematic literature review. Structures 2025, 71, 108098–108105. [Google Scholar] [CrossRef]
  14. Das, S.; Das, S.; Chakraborty, A. Bayesian neural network based probability density evolution approach for efficient structural reliability analysis. Comput. Struct. 2025, 315, 107807. [Google Scholar] [CrossRef]
  15. Chang, Y.; Wu, X.; Zhang, C.; Chen, G.; Liu, X.; Li, J.; Cai, B.; Xu, L. Dynamic Bayesian networks based approach for risk analysis of subsea wellhead fatigue failure during service life. Reliab. Eng. Syst. Saf. 2019, 188, 454–472. [Google Scholar] [CrossRef]
  16. Huo, L.; Zhu, Y.; Fan, G. Reliability assessment of power systems by Bayesian networks. In Proceedings of the International Conference on Power System Technology, Beijing, China, 13–17 October 2002; Volume 2, pp. 876–879. [Google Scholar]
  17. Qiu, W.; Tang, Q.; Yao, W.; Qin, Y.; Ma, J. Probability Analysis for Failure Assessment of Electric Energy Metering Equipment Under Multiple Extreme Stresses. IEEE Trans. Ind. Inform. 2020, 99, 3762–3771. [Google Scholar] [CrossRef]
  18. Ramadan, H.; Eldin, H.A.; Elserougi, A. Health index calculation of power transformer using different neural network structures with efficiency evaluation of the calculated indices. J. Electr. Eng. Technol. 2025, 20, 3041–3052. [Google Scholar] [CrossRef]
  19. Zhang, Z.C.; Wang, J.G.; Xia, J.H.; Wen, Y.C.; Weng, L.T.; Ma, Z.F.; Yang, H.K.; Dou, J.Y. Research on Transformer Fault Classification Method Based on Bayes CNN. New Technol. Electr. Energy 2024, 43, 18–26. [Google Scholar]
  20. Liao, C.B.; Jiang, Z.H.; Yang, J.X.; Shao, J.; Wang, T.L.; Li, X. Real time warning method and interpretability analysis of transformer health status. High Volt. Technol. 2024, 1–11. [Google Scholar] [CrossRef]
  21. Fan, H.F.; Xian, R.C.; Wang, T.; Gao, H.P.; Chen, L.; Zhang, B.Q. Application of improved naive bayes model in fault location of power transformers. Gaoya Dianqi 2023, 59, 190–197. [Google Scholar]
  22. Chen, Y.H.; Peng, Z.Y.; Yang, K.Y.; Luo, L.Y.; Shi, Y.Q.; Li, Z.; Wang, H.Z. Probability prediction and analysis of current transformer faults based on Bayesian networks. Yunnan Electr. Power 2022, 50, 74–78+83. [Google Scholar]
  23. Tong, W.Y.; Lin, H.; Liu, Y.Z.; Shi, Y.H. Research on reliability analysis of complex systems based on fuzzy bayesian networks. Manuf. Autom. 2023, 45, 148–153+174. [Google Scholar]
  24. Zhao, M. Simulation study on inter turn insulation monitoring parameters of dry-type voltage transformers. Power Capacit. React. Power Compens. 2023, 44, 59–66. [Google Scholar]
  25. Wang, Q.; Wang, P.X.; Wang, T.T.; Zhang, Q.; Zhu, H.X. Research on bayesian evaluation method of electric energy meter reliability based on fusion reliability prediction. Electr. Meas. Instrum. 2024, 61, 209–216. [Google Scholar]
  26. Zhao, Q.C.; Zhang, B.; Hong, J.Q.; Han, G.W.; Han, W.F.; Chen, F. State evaluation method for dry-type air core reactors based on weighted naive Bayes. Therm. Power Gener. 2023, 52, 144–152. [Google Scholar]
  27. Shankar, P.M. Linear algebra and bayes’ theorem in probability. Coll. Math. J. 2025, 56, 49–59. [Google Scholar] [CrossRef]
Figure 1. Bayesian network.
Figure 1. Bayesian network.
Energies 18 04928 g001
Figure 2. Bayesian network experiment flowchart.
Figure 2. Bayesian network experiment flowchart.
Energies 18 04928 g002
Figure 3. Probability of failure due to environmental factors.
Figure 3. Probability of failure due to environmental factors.
Energies 18 04928 g003
Figure 4. Environmental combination probability.
Figure 4. Environmental combination probability.
Energies 18 04928 g004
Figure 5. Reliable probability of failure of different components.
Figure 5. Reliable probability of failure of different components.
Energies 18 04928 g005
Figure 6. Overall reliability probability.
Figure 6. Overall reliability probability.
Energies 18 04928 g006
Figure 7. Reliability probabilities in different scenarios.
Figure 7. Reliability probabilities in different scenarios.
Energies 18 04928 g007
Figure 8. Reliability under different maintenance conditions.
Figure 8. Reliability under different maintenance conditions.
Energies 18 04928 g008
Figure 9. Reliability in case of error.
Figure 9. Reliability in case of error.
Energies 18 04928 g009
Table 1. Reliability analysis results.
Table 1. Reliability analysis results.
Environmental CombinationCombination ProbabilityFault Probability
T_high, H_high6.00%95.00%
T_high, H_normal14.00%70.00%
T_normal, H_high24.00%60.00%
T_normal, H_normal56.00%5.00%
Table 2. List of component quality reliability.
Table 2. List of component quality reliability.
Quality CombinationReliability Probability
All Normal95%
C Fault62.5%
T Fault61%
D Fault62.5%
All Fault10%
Table 3. List of installation process reliability.
Table 3. List of installation process reliability.
Scenario DescriptionReliability ProbabilityUnreliability Probability
Overall92.72%7.27%
Reliable mechanical fixing93.25%6.75%
Poor wiring process59%41%
Table 4. Maintain the reliability list of status.
Table 4. Maintain the reliability list of status.
Maintenance StatusReliability ProbabilityUnreliability Probability
Predicated ValueActual ValuePredicated ValueActual Value
Good95%94.9%5%4.2%
Poor30%29.3%70%71.1%
Table 5. List of transformer error reliability.
Table 5. List of transformer error reliability.
Error StateReliability ProbabilityUnreliability Probability
Low90%10%
Medium70%30%
High20%80%
Disclaimer/Publisher’s Note: The statements, opinions and data contained in all publications are solely those of the individual author(s) and contributor(s) and not of MDPI and/or the editor(s). MDPI and/or the editor(s) disclaim responsibility for any injury to people or property resulting from any ideas, methods, instructions or products referred to in the content.

Share and Cite

MDPI and ACS Style

Chen, X.; Zhang, H.; Zhang, C.; Xu, Y.; Yan, Y.; Zhao, Y.; Chen, X.; Ren, R. Reliability Analysis of CVT Online Monitoring Device Based on Bayesian Network. Energies 2025, 18, 4928. https://doi.org/10.3390/en18184928

AMA Style

Chen X, Zhang H, Zhang C, Xu Y, Yan Y, Zhao Y, Chen X, Ren R. Reliability Analysis of CVT Online Monitoring Device Based on Bayesian Network. Energies. 2025; 18(18):4928. https://doi.org/10.3390/en18184928

Chicago/Turabian Style

Chen, Xu, Haomiao Zhang, Chao Zhang, Yinzhe Xu, Yu Yan, Yuntao Zhao, Xuhui Chen, and Rui Ren. 2025. "Reliability Analysis of CVT Online Monitoring Device Based on Bayesian Network" Energies 18, no. 18: 4928. https://doi.org/10.3390/en18184928

APA Style

Chen, X., Zhang, H., Zhang, C., Xu, Y., Yan, Y., Zhao, Y., Chen, X., & Ren, R. (2025). Reliability Analysis of CVT Online Monitoring Device Based on Bayesian Network. Energies, 18(18), 4928. https://doi.org/10.3390/en18184928

Note that from the first issue of 2016, this journal uses article numbers instead of page numbers. See further details here.

Article Metrics

Back to TopTop