Review of Triply Periodic Minimal Surface (TPMS) Structures for Cooling Heat Sinks
Abstract
1. Introduction
2. Fundamentals of TPMS-Based Structures
2.1. Definition of TPMS
2.2. TPMS Unit Design
2.3. Geometric Properties and Thermal Advantages
2.4. Additive Manufacturing Methods Applicable to TPMS Structures
3. Thermal and Hydraulic Performance of TPMS Structures
3.1. Thermal Performance: Temperature Distribution, Nusselt
3.2. Hydraulic Performance: Pressure Losses and Tortuosity
3.3. Comparison with Conventional Structures (Fins, Metal Foams)
4. Effects of TPMS Design Variables on Flow and Heat Transfer
4.1. Parameter Definitions
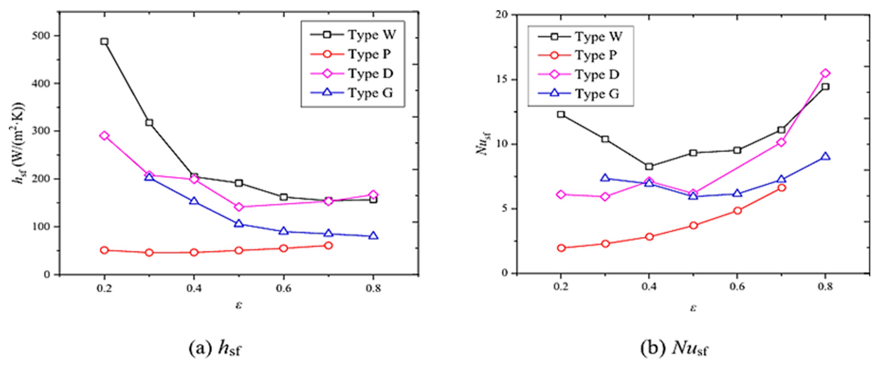
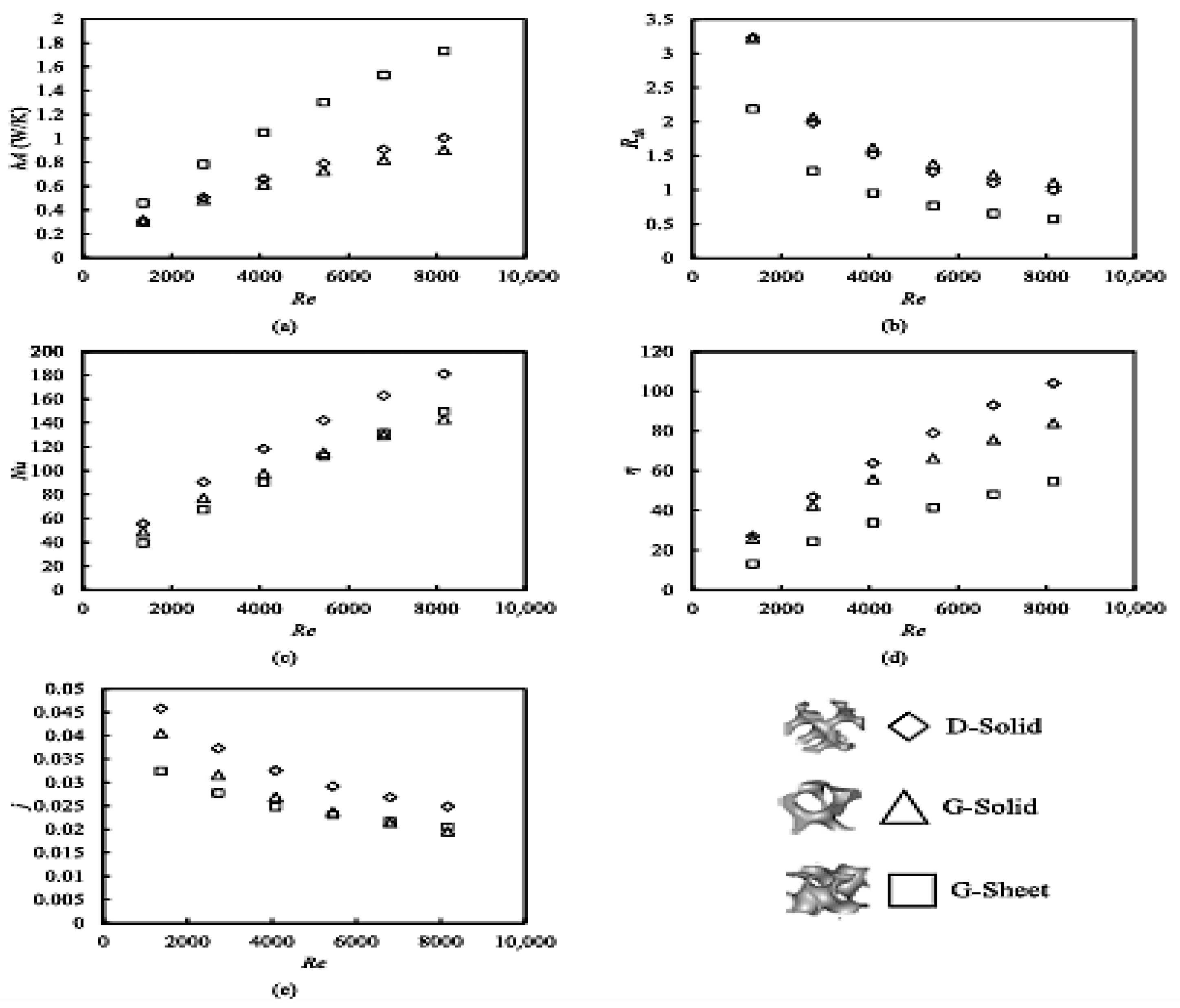
- Geometry: plays a decisive role, as different morphologies present distinct surface-to-volume ratios; for instance, Kerme et al. [5] showed that Diamond-type structures generally achieve higher Nu values than Gyroid designs under identical conditions.
- Flow regime also influences performance, with Nu increasing significantly as the Reynolds number rises within the range 0.01–100, particularly when local thermal equilibrium (LTE) is maintained, as confirmed by Rathore et al. [22].
- Material properties are another contributing factor—high thermal conductivity materials, such as silver, enhance Nu and provide more uniform temperature distribution compared to aluminum, according to Kilic et al. [6].
- Fluid type impacts heat transfer, with hybrid nanofluids (HNA) outperforming pure water due to their superior thermal conductivity.
- Porosity and cell size directly affect convective behavior; Kerme et al. [5] observed that structures with larger pores (e.g., G1P7) deliver higher Nu values and improved thermal performance, albeit at the cost of increased pressure drop. These factors underscore the importance of Nu as a key indicator for evaluating and optimizing TPMS heat sinks in a wide range of thermal management applications.
4.2. Porosity
4.2.1. Equivalent Porosity
4.2.2. Varying the Porosity
4.3. Wall Thickness
4.4. Unit Cell Size
5. Comparison Between Conventional Cooling and TPMS-Based Structures
5.1. Two-Fluid Heat Exchangers
5.2. Forced Convective Heat Sinks
5.3. Other Applications Related to Flow, Heat, and Mass Transfer
6. Conclusions and Perspectives
Author Contributions
Funding
Institutional Review Board Statement
Informed Consent Statement
Data Availability Statement
Conflicts of Interest
References
- Shen, J.; Zhang, Q.; Wang, Z. Conjugate study on heat transfer enhancement of a TPMS-based hybrid heat sink design. Appl. Therm. Eng. 2024, 257, 124350. [Google Scholar] [CrossRef]
- Chen, M.; Shi, Y.; Yang, L.; Yan, C.; Su, B.; Fu, H.; Dou, Z.; Chen, Y. Performance evaluation for additively manufactured heat sinks based on Gyroid-TPMS. Therm. Sci. Eng. Prog. 2025, 60, 103499. [Google Scholar] [CrossRef]
- Wang, J.; Pu, W.; Zhao, H.; Qiao, L.; Song, N.; Yue, C. Investigations on the heat transfer performance of phase change material (PCM)-based heat sink with triply periodic minimal surfaces (TPMS). Int. J. Heat Mass Transf. 2024, 234, 126078. [Google Scholar] [CrossRef]
- Ibhadode, O. The effects of cell stretching on the thermal and flow characteristics of triply periodic minimal surfaces. Int. Commun. Heat Mass Transf. 2024, 153, 107364. [Google Scholar] [CrossRef]
- Kerme, E.D.; Saghir, M.; Al-Ketan, O. Experimental and Numerical Study of Thermal and Fluid Flow Performance of Solid Networks of Triply Periodic Minimal Surface Structures with Varying Cell Size and Porosity. SSRN 5017725. Available online: https://papers.ssrn.com/sol3/papers.cfm?abstract_id=5017725 (accessed on 12 November 2024).
- Kilic, G.A. Turbulent Heat Transfer Enhancement in Triply Periodic Minimal Surface Heat Exchangers Using Hybrid Nanofluid. SSRN 4996273. Available online: https://dx.doi.org/10.2139/ssrn.4996273 (accessed on 20 October 2024).
- Saghir, M.Z.; Yahya, M.; Ortiz, P.D.; Impellizzeri, S.; Al-Ketan, O. Heat Enhancement of Ethylene Glycol/Water Mixture in the Presence of Gyroid TPMS Structure: Experimental and Numerical Comparison. Processes 2025, 13, 228. [Google Scholar] [CrossRef]
- Chen, M.; Shi, Y.; Yang, L.; Yan, C.; Song, B.; Liu, Y.; Dou, Z.; Chen, Y. Thermal performances of Gyroid-fin heat sink for power chips. Case Stud. Therm. Eng. 2024, 61, 105095. [Google Scholar] [CrossRef]
- Saghir, M.Z.; Kerme, E.D.; Hajialibabei, M.; Rasheed, H.; Welsford, C.; Al-Ketan, O. Study of the thermal and hydraulic performance of porous block versus gyroid structure: Experimental and numerical approaches. Energies 2024, 17, 861. [Google Scholar] [CrossRef]
- Al-Ketan, O.; Abu Al-Rub, R.K. MSLattice: A free software for generating uniform and graded lattices based on triply periodic minimal surfaces. Mater. Des. Process. Commun. 2021, 3, e205. [Google Scholar] [CrossRef]
- Baobaid, N.; Ali, M.I.; Khan, K.A.; Al-Rub, R.K.A. Fluid flow and heat transfer of porous TPMS architected heat sinks in free convection environment. Case Stud. Therm. Eng. 2022, 33, 101944. [Google Scholar] [CrossRef]
- Barakat, A.; Sun, B. Enhanced convective heat transfer in new triply periodic minimal surface structures: Numerical and experimental investigation. Int. J. Heat. Mass. Transf. 2024, 227, 125538. [Google Scholar] [CrossRef]
- Tang, W.; Zou, C.; Zhou, H.; Zhang, L.; Zeng, Y.; Sun, L.; Zhao, Y.; Yan, M.; Fu, J.; Hu, J.; et al. A novel convective heat transfer enhancement method based on precise control of Gyroid-type TPMS lattice structure. Appl. Therm. Eng. 2023, 230, 120797. [Google Scholar] [CrossRef]
- Feng, J.; Fu, J.; Yao, X.; He, Y. Triply periodic minimal surface (TPMS) porous structures: From multi-scale design, precise additive manufacturing to multidisciplinary applications. Int. J. Extrem. Manuf. 2022, 4, 022001. [Google Scholar] [CrossRef]
- Beer, M.; Rybár, R. Optimisation of Heat Exchanger Performance Using Modified Gyroid-Based TPMS Structures. Processes 2024, 12, 2943. [Google Scholar] [CrossRef]
- Al-Omari, S.A.B.; Qasem, M.; Qureshi, Z.A.; Elnajjar, E.; Al-Ketan, O.; Al-Rub, R.A. Design and performance assessment of a triply-periodic-minimal-surface structures-enhanced gallium heat sink for high heat flux dissipation: A numerical study. Appl. Therm. Eng. 2024, 257, 124154. [Google Scholar] [CrossRef]
- Liu, C.; Zhang, M.; Bi, G.; Chen, J.; Bai, Y.; Wang, D.; Deng, M. Research on comprehensive heat dissipation characteristics of AlSi7Mg TPMS heat sinks manufactured by laser powder bed fusion. Appl. Therm. Eng. 2025, 261, 124941. [Google Scholar] [CrossRef]
- Barakat, A.; Sun, B. Controlling TPMS lattice deformation for enhanced convective heat transfer: A comparative study of Diamond and Gyroid structures. Int. Commun. Heat. Mass. Transf. 2024, 154, 107443. [Google Scholar] [CrossRef]
- Cheng, Z.; Li, X.; Xu, R.; Jiang, P. Investigations on porous media customized by triply periodic minimal surface: Heat transfer correlations and strength performance. Int. Commun. Heat Mass Transf. 2021, 129, 105713. [Google Scholar] [CrossRef]
- Lv, Z.; Chai, X.; Wei, F.; Yang, H.; Wu, C.; Shi, J. Numerical Simulation and Optimized Field-Driven Design of Triple Periodic Minimal Surface Structure Liquid-Cooling Radiator. Energies 2025, 18, 2536. [Google Scholar] [CrossRef]
- Tang, W.; Zou, C.; Guo, J.; Li, C.; Zeng, L.; Wang, X.; Yan, M.; Hu, H.; Zuo, Q.; Zeng, Y.; et al. Experimental Investigation on the Convective Heat Transfer Performance of Five Triply Periodic Minimal Surfaces (Tpms): Gyroid, Diamond, Iwp, Primitive, and Fischer-Koch-S. Diamond, Iwp, Primitive, and Fischer-Koch-S. Available online: https://ssrn.com/abstract=4648952 (accessed on 30 November 2023).
- Rathore, S.S.; Mehta, B.; Kumar, P.; Asfer, M. Flow Characterization in Triply-Periodic-Minimal-Surface (TPMS)-Based Porous Geometries: Part 2—Heat Transfer. Transp. Porous Media 2024, 151, 141–169. [Google Scholar] [CrossRef]
- Orakwe, J.N.; Shahabad, S.I.; Ibhadode, O.; Bonakdar, A.; Toyserkani, E. An Integration of Topology Optimization and Conformal Minimal Surfaces for Additively Manufactured Liquid-cooled Heat Sinks. Addit. Manuf. 2025, 107, 104814. [Google Scholar] [CrossRef]
- Khalil, M.; Ali, M.I.H.; Khan, K.A.; Al-Rub, R.A. Forced convection heat transfer in heat sinks with topologies based on triply periodic minimal surfaces. Case Stud. Therm. Eng. 2022, 38, 102313. [Google Scholar] [CrossRef]
- Al-Ketan, O.; Ali, M.; Khalil, M.; Rowshan, R.; Khan, K.A.; Abu Al-Rub, R.K. Forced convection computational fluid dynamics analysis of architected and three-dimensional printable heat sinks based on triply periodic minimal surfaces. J. Therm. Sci. Eng. Appl. 2021, 13, 021010. [Google Scholar] [CrossRef]
- Alteneiji, M.; Ali, M.I.H.; Khan, K.A.; Abu Al-Rub, R.K. Heat transfer effectiveness characteristics maps for additively manufactured TPMS compact heat exchangers. Energy Storage Sav. 2022, 1, 153–161. [Google Scholar] [CrossRef]
- Samson, S.; Tran, P.; Marzocca, P. Design and CHT modelling of cellular material heatsinks: A parametric study on TPMS structures. In Proceedings of the AIAC 2023: 20th Australian International Aerospace Congress, Melbourne, Australia, 27 February–2 March 2023. [Google Scholar]
- Attarzadeh, R.; Rovira, M.; Duwig, C. Design analysis of the “Schwartz D” based heat exchanger: A numerical study. Int. J. Heat Mass Transf. 2021, 177, 121415. [Google Scholar] [CrossRef]
- Yeranee, K.; Rao, Y. A review of recent investigations on flow and heat transfer enhancement in cooling channels embedded with triply periodic minimal surfaces (TPMS). Energies 2022, 15, 8994. [Google Scholar] [CrossRef]
- Qureshi, Z.A.; Al-Omari, S.A.B.; Elnajjar, E.; Al-Ketan, O.; Al-Rub, R.A. On the effect of porosity and functional grading of 3D printable triply periodic minimal surface (TPMS) based architected lattices embedded with a phase change material. Int. J. Heat Mass Transf. 2022, 183, 122111. [Google Scholar] [CrossRef]
- Iyer, J.; Moore, T.; Nguyen, D.; Roy, P.; Stolaroff, J. Heat transfer and pressure drop characteristics of heat exchangers based on triply periodic minimal and periodic nodal surfaces. Appl. Therm. Eng. 2022, 209, 118192. [Google Scholar] [CrossRef]
- Kaur, I.; Singh, P. Flow and thermal transport characteristics of Triply-Periodic Minimal Surface (TPMS)-based gyroid and Schwarz-P cellular materials. Numer. Heat Transf. Part A Appl. 2021, 79, 553–569. [Google Scholar] [CrossRef]
- Saghir, M.Z.; Kilic, G.A. Experimental Forced Convection Study Using a Triply Periodic Minimal Surface Porous Structure with a Nanofluid: Comparison with Numerical Modeling. Appl. Sci. 2024, 14, 7594. [Google Scholar] [CrossRef]
- Saghir, M.Z.; Rahman, M.M. Effectiveness in Cooling a Heat Sink in the Presence of a TPMS Porous Structure Comparing Two Different Flow Directions. Fluids 2024, 9, 297. [Google Scholar] [CrossRef]
- Shahid, M.U.; Khan, M.M.; Shahid, M.N. Numerical Investigation of the Heat Transfer Rate and Fluid Flow Characteristics of Conventional and Triply Periodic Minimal Surface (TPMS)-Based Heat Sinks. Eng. Proc. 2024, 75, 35. [Google Scholar] [CrossRef]
- Qureshi, Z.A.; Al-Omari, S.A.B.; Elnajjar, E.; Al-Ketan, O.; Al-Rub, R.A. Architected lattices embedded with phase change materials for thermal management of high-power electronics: A numerical study. Appl. Therm. Eng. 2023, 219, 119420. [Google Scholar] [CrossRef]
- Ansari, D.; Duwig, C. A gyroid TPMS heat sink for electronic cooling. Energy Convers. Manag. 2024, 319, 118918. [Google Scholar] [CrossRef]
- Modrek, M.; Viswanath, A.; Khan, K.A.; Ali, M.I.H.; Al-Rub, R.K.A. An optimization case study to design additively manufacturable porous heat sinks based on triply periodic minimal surface (TPMS) lattices. Case Stud. Therm. Eng. 2022, 36, 102161. [Google Scholar] [CrossRef]
- Wang, J.; Pu, W.; Zhao, H.; Qiao, L.; Song, N.; Yue, C. Experimental and numerical investigations on the intermittent heat transfer performance of phase change material (PCM)-based heat sink with triply periodic minimal surfaces (TPMS). Appl. Therm. Eng. 2024, 254, 123864. [Google Scholar] [CrossRef]
- Gado, M.G. Thermal management and heat transfer enhancement of electronic devices using integrative phase change material (PCM) and triply periodic minimal surface (TPMS) heat sinks. Appl. Therm. Eng. 2025, 258, 124504. [Google Scholar] [CrossRef]
- Mian, S.H.; Nirala, C.K.; Kant, R.; Umer, U. Computational Evaluation based Case Study of Schwarz-P TPMS Lattice Architectures for Heat Sink Thermal Performance. Case Stud. Therm. Eng. 2025, 72, 106273. [Google Scholar] [CrossRef]
- Men, Z.; Chen, W.; Li, Q.; Liu, S. Topology optimization of the IWP triply periodic minimal surfaces (TPMS) heat sink based on porous media effective model. Int. J. Heat Mass Transf. 2025, 240, 126657. [Google Scholar] [CrossRef]
- Wang, S.; Jiang, Y.; Hu, J.; Fan, X.; Luo, Z.; Liu, Y.; Liu, L. Efficient representation and optimization of TPMS-based porous structures for 3D heat dissipation. Comput. Aided Des. 2022, 142, 103123. [Google Scholar] [CrossRef]
- Tang, W.; Guo, J.; Yang, F.; Zeng, L.; Wang, X.; Liu, W.; Zhang, J.; Zou, C.; Sun, L.; Zeng, Y.; et al. Performance analysis and optimization of the Gyroid-type triply periodic minimal surface heat sink incorporated with fin structures. Appl. Therm. Eng. 2024, 255, 123950. [Google Scholar] [CrossRef]
- Arqam, M.; Raffa, L.S.; Spisiak, S.; Clemon, L.; Luo, Z.; Ryall, M.; Islam, M.S.; Bennett, N.S. Computational and experimental analysis of a novel triply periodic minimal surface heat sink with phase change material. J. Energy Storage 2025, 117, 116121. [Google Scholar] [CrossRef]
- Modrek, M.; Viswanath, A.; Khan, K.A.; Ali, M.I.H.; Al-Rub, R.K.A. Multi-objective topology optimization of passive heat sinks including self-weight based on triply periodic minimal surface lattices. Case Stud. Therm. Eng. 2023, 42, 102684. [Google Scholar] [CrossRef]
- Samson, S.; Tran, P.; Marzocca, P. Design and modelling of porous gyroid heatsinks: Influences of cell size, porosity and material variation. Appl. Therm. Eng. 2023, 235, 121296. [Google Scholar] [CrossRef]
- Li, J.; Yang, L. Recent development of heat sink and related design methods. Energies 2023, 16, 7133. [Google Scholar] [CrossRef]
- El Khadiri, I.; Abouelmajd, M.; Zemzami, M.; Hmina, N.; Lagache, M.; Al Mangour, B.; Bahlaoui, A.; Arroub, I.; Belhouideg, S. Heat Transfer Performance of a Heat Sink Using Triply Periodic Minimal Surfaces (TPMS) Structures. In Proceedings of the 2023 9th International Conference on Control, Decision and Information Technologies (CoDIT), Rome, Italy, 25 October 2023; pp. 1729–1732. [Google Scholar]
- Raafat, A.; Alteneiji, M.; Kamra, M.; Al Nuaimi, S. Hydrothermal performance of microchannel heat sink integrating pin fins based on triply periodic minimal surfaces. Case Stud. Therm. Eng. 2025, 66, 105773. [Google Scholar] [CrossRef]
- Saghir, M.Z.; Yahya, M. Convection Heat Transfer and Performance Analysis of a Triply Periodic Minimal Surface (TPMS) for a Novel Heat Exchanger. Energies 2024, 17, 427. [Google Scholar] [CrossRef]
- Zhang, Z.; Gao, T.; Zhang, B.; Zhou, L.; Yang, P.; Gong, J.; Li, J. Conjugate thermo-hydraulic evaluation of triply periodic minimal surfaces and pin fins. Appl. Therm. Eng. 2025, 274, 126667. [Google Scholar] [CrossRef]
- Chi, Z.P.; Yang, G.H.; Wang, Q.H. 2025 Multi-morphological design of TPMS-based microchannels for thermal performance optimization. Appl. Therm. Eng. 2024, 255, 124050. [Google Scholar] [CrossRef]
- Chouhan, G.; Bidare, P. Manufacturability of A20X Printed Lattice Heat Sinks. Prog. Addit. Manuf. 2024, 10, 5541–5556. [Google Scholar] [CrossRef]
- Yeranee, K.; Xu, C.; Rao, Y.; Zhang, Y. Experimental and numerical study of improving flow and heat transfer in a serpentine cooling channel with topology-optimized TPMS porous structures. Int. J. Heat Mass Transf. 2024, 231, 125873. [Google Scholar] [CrossRef]
- Modrek, M.; Khan, K.A.; Ali, M.I.H.; Al-Rub, R.K.A. Multi-objective topology optimization and numerical investigation of heat sinks based on triply periodic minimal surface lattices. Case Stud. Therm. Eng. 2024, 63, 105255. [Google Scholar] [CrossRef]
- Liu, Z.; Gao, Z.; Dai, M.; Song, B.; Yang, B.; Zhang, T.; Yuan, S.; Liu, G.; Zhao, M. Fluid Flow and Heat Transfer Performances of Aluminum Alloy Lattices with Triply Periodic Minimal Surfaces. Materials 2025, 18, 1407. [Google Scholar] [CrossRef]
- Zhang, Y.; Yang, Y.; Chen, G.; Jiang, Q.; Hao, B. Analysis of the convective heat transfer performance of multi-morphology lattice structures in thermal management of high-speed aircraft. Phys. Fluids 2025, 37, 015101. [Google Scholar] [CrossRef]
- Kilic, G.A. Performance Evaluation of Triply Periodic Minimal Surface Heat Exchangers Using Nanofluids at High Flow Rates for Enhanced Energy Efficiency. Appl. Sci. 2025, 15, 4140. [Google Scholar] [CrossRef]
- Choong, Y.H.; Krishnan, M.; Gupta, M. Recent advances in the 3D printing of pure copper functional structures for thermal management devices. Technologies 2023, 11, 141. [Google Scholar] [CrossRef]
- Saghir, M.Z.; So, J.; Rasheed, H.; Ilesaliev, D. Forced convection in porous medium using triply periodical minimum surfaces. Fluids 2023, 8, 311. [Google Scholar] [CrossRef]
- Xu, H.; Zhang, Y.; Mei, Y.; Wu, Z.; Zhang, Y.; Ma, M.; Liu, X. Hierarchical sheet triply periodic minimal surface lattices: Design, performance and optimization. Appl. Therm. Eng. 2025, 261, 125187. [Google Scholar] [CrossRef]
- Cheng, Z.; Xu, R.; Jiang, P.X. Morphology, flow and heat transfer in triply periodic minimal surface based porous structures. Int. J. Heat Mass Transf. 2021, 170, 120902. [Google Scholar] [CrossRef]
- El Khadiri, I.; Abouelmajd, M.; Zemzami, M.; Hmina, N.; Lagache, M.; Belhouideg, S. Comprehensive analysis of flow and heat transfer performance in triply periodic minimal surface (TPMS) heat exchangers based on Fischer-Koch S, PMY, FRD, and Gyroid structures. Int. Commun. Heat Mass Transf. 2024, 156, 107617. [Google Scholar] [CrossRef]
- Qin, K.; Zhuang, N.; Shao, C.; Zhao, H.; Tang, X. Gyroid-type TPMS structure optimization based on mathematical function control and its convective heat transfer performance study. Int. Commun. Heat Mass Transf. 2025, 162, 108682. [Google Scholar] [CrossRef]
- Luo, J.W.; Chen, L.; Xia, Y.; Zheng, X.; Tao, W.Q. Three-dimensional multi-scale topology optimization of porous heat sink with predetermined unit cells for natural convection heat transfer. Int. J. Heat Mass Transf. 2024, 225, 125398. [Google Scholar] [CrossRef]
- Silva, E.C.; Sampaio, Á.M.; Pontes, A.J. Evaluation of active heat sinks design under forced convection—Effect of geometric and boundary parameters. Materials 2021, 14, 2041. [Google Scholar] [CrossRef] [PubMed]
- Passos, A.G.P. Laminar Flow and Heat Transfer in Triply Periodic Minimal Surfaces. Master’s Thesis, Lund University, Lund, Sweden, 2019. [Google Scholar]









| Reference | Additive Manufacturing Method | Material Used | TPMS Type | Comments/Benefits |
|---|---|---|---|---|
| Saghir et al. [7] | FDM (Fused Deposition Modeling) | Polymer | Gyroid | Suitable for visualization and cold testing; resolution limit for microstructures |
| Kilic [6] | SLM (Selective Laser Melting) | Aluminum, Silver | Gyroid, Diamond | High precision, high thermal conductivity, high cost |
| Al-Omari et al. [15] | SLM/DMLS | Aluminum | Schwarz-P, Primitive | Excellent thermal performance; good PCM integration |
| Beer et al. [16] | SLA (Sterelithogrphy) | Photopolymer resin | Gyroid | High resolution for complex geometries; proper for rapid prototyping |
| Barakat et al. [18] | SLA/SLS (Selective Laser Sintering) | PhotopolymerCeramic | Diamond, Gyroid | Suitable for small scales; allow complex structures with controlled porosity |
| Liu et al. [17] | DMLS (Direct Metal Laser Sintering) | Stainless steel, Alloys | Gyroid, Diamond | Good mechanical and thermal resistance; ideal for functional exchangers |
| Author | Year | Contribution |
|---|---|---|
| Saghir et al. [7] | 2024 | Experimental study of cooling by water-glycol mixture; good thermal homogeneity in TPMS. |
| Kilic et al. [6] | 2023 | Use of nanofluids in Al and Ag TPMS; 8–12% gain in Nu; thermal uniformity. |
| Al-Omari et al. [16] | 2023 | Comparison of TPMS geometries (Schwarz-P, Diamond); good Nu and low thermal gradient. |
| Beer et al. [15] | 2024 | Thermal simulation on TPMS for electronics; reduction of hot spots, stable distribution. |
| Barakat et al. [18] | 2024 | Study of the morphological parameter α; spatial control of temperature via evolving Gyroid geometry. |
| Liu et al. [17] | 2023 | Analysis of hybrid TPMS structures; Nu optimization and efficient thermal distribution. |
| References | TPMS (Gyroid, Diamond, Etc.) | Conventional Fins | Metal Foams | Criteria |
|---|---|---|---|---|
| Saghir et al. [7], Kilic [6], Kerme et al. [5] | Very homogeneous, no Distinct boundary layer formation | Inhomogeneous, frequent hot spots | Non-uniform heat accumulation near the outlet | Temperature distribution |
| Saghir et al. [9], Kilic [6], Ibha-dode [4] | High, especially with nanofluids or optimized structures | Moderate to low, Depending on fin geometry | Moderate, strongly dependent on porosity | Nusselt number (Nu) |
| Saghir et al. [9], Ibhadode [4] | Medium to high (but can be reduced via cell stretching or topological optimization) | Low to moderate | Low (due to high porosity), but sensitive to clogging | Pressure drop (ΔP) |
| Ibhadode [4], Kerme et al. [5] | Varies with geometry; stretching cells reduces tortu- osity | Low tortuosity | Very high, which may hinder laminar flow | Fluid tortuosity |
| Saghir et al. [9], Kilic [6], Beer et al. [15] | Isotropic (especially Gyroid), allows uniform cooling | Anisotropic | Random, depends on the fabrication process | Structural homogeneity |
| Al-Omari [16], Barakat [18], Liu [17] | Yes, via SLM, FDM, EBM, DMLS | Limited to certain designs | Difficult to fabricate with high precision | Additive manufacturing possible |
| Kilic [6], Kerme et al. [5], Ibhadode [4] | Very high, especially with topological optimization or nanofluid used | Moderate | Moderate to good if porosity is well-designed | Overall thermal efficiency |
| Author(s) | Use of Reynolds Number (Re) |
| Rathore et al. [22] | Studied a wide range of Reynolds numbers (0.01 to 100) to analyze thermal behavior in TPMS mini-channels. |
| Ibhadode [4] | Focused on laminar flow regime; assessed the impact of cell stretching under low Reynolds number conditions. |
| Saghir et al. [7] | Evaluated the impact of coolant type under various flow rates, implicitly involving Reynolds number variation. |
| Kilic [6] | Investigated turbulent flow regimes; tested performance under varying flow rates and Reynolds numbers. |
| Saghir et al. [9] | Compared metallic foam and TPMS (Gyroid) structures under different flow conditions influenced by Re values. |
| Kerme et al. [5] | Examined TPMS structures under various flow rates; Nusselt number and pressure drop correlated with Re. |
| Author(s) | Year | TPMS Type(s) | Porosity Studied | Key Findings |
|---|---|---|---|---|
| Kerme et al. [5] | 2023 | Gyroid, Diamond | Multiple porosities (e.g., G1P7) | Higher porosity = lower pressure drops, but reduced heat transfer. G1P7 shows the best overall balance. |
| Rathore et al. [22] | 2023 | Diamond, Gyroid, Primitive, IWP | Implicit via secondary domain | Impact of solid vs microporous zones on local thermal equilibrium and heat transfer rate. |
| Orakwe et al. [23] | 2022 | TPMS (Gyroid-like) | Porosity optimized topologies | Porosity distribution controlled via conformal and field-driven designs for enhanced performance. |
| Tang et al. [21] | 2023 | Multiple TPMS | Uniform vs non-uniform porosity | Non-uniform porosity enhances local cooling without incurring a significant penalty in pressure drop. |
| Cheng et al. [19] | 2023 | Multiscale TPMS | Varying hierarchical porosity | Hierarchical porosity facilitates improved heat transfer in the natural convection regime. |
| Chen et al. [8] | 2022 | Gyroid | Variable porosity (α parameter) | Geometric tuning of porosity enhances thermal-hydraulic balance. |
| TPMS & Fins | Heat Exchange ) | Porosity (%) | Hydraulic Diameter (m) | The Perforation Area Ratio, P (%) |
|---|---|---|---|---|
| Gyroid | 1.11 × | 82.0 | 9.44 × | 10.78 |
| Diamond | 1.33 × | 77.9 | 7.48 × | / |
| IWP | 1.25 × | 80.0 | 8.20 × | 15.15 |
| Primitive | 8.91 × | 86.2 | 1.24 × | 22.28 |
| Fischer-Koch-S | 1.81 × | 70.6 | 5.00 × | / |
| Fins | 1.09 × | 82.0 | 9.62 × | 82.00 |
| Parameters | SAMPLES | |||||
|---|---|---|---|---|---|---|
| Gyroid | Diamond | |||||
| G3P6 | G3P7 | G3P8 | G1P7 | D1P7 | D3P7 | |
| Porosity | 0.60 | 0.70 | 0.80 | 0.70 | 0.70 | 0.70 |
| Unit Cell Size (mm) | 12.5 | 12.5 | 12.5 | 15 | 15 | 12.5 |
| Sample dimensions | ||||||
| Length | 37.5 | 37.5 | 37.5 | 37.5 | 37.5 | 37.5 |
| Width | 37.5 | 37.5 | 37.5 | 37.5 | 37.5 | 37.5 |
| Height | 12.7 | 12.7 | 12.7 | 12.7 | 12.7 | 12.7 |
| Surface Area (mm2) | 6228.4 | 5584.3 | 4622.4 | 4727.6 | 5611 | 6203.1 |
| Specific SurfaceArea () | 3487.4 | 3126.8 | 2588.2 | 2645.5 | 3141.8 | 3473.3 |
| Reference | TPMS Geometry | Method | Flow Conditions | Significant Findings |
|---|---|---|---|---|
| Saghir et al. [9] | Gyroid vs Metal Foam | Numerical (Navie—Stokes & Energy), Experimental | Laminar, various heat fluxes and flow rate. | Gyroid showed more uniform temperature and better cooling, despite an 18% higher pressure drops |
| Kerme et al. [5] | Diamond, Gyroid | Numerical & Experimental | Varying flow rates, constant heat flux | Diamond outperformed Gyroid; G1P7 Gyroid balanced heat transfer and pressure drop well |
| Attarzadeh et al. [28] | Schwarz D | 3D Steady-State CHT Simulations (Numerical) | Laminar, various gas velocities | One geometry with a specific wall thickness yielded optimal heat recovery performance |
| Qureshi et al. [30] | Primitive, Gyroid, IWP | Numerical (Porosity & Grading Study) | Latent Heat Storage, varied porosities | Lower porosity and positive grading reduced melting time; topology significantly impacts heat transfer |
| Feng et al. [14] (review) | Multiple (General TPMS) | Literature Review + Design Framework | General (laminar/turbulent applications) | TPMS is functional across fields; AM and design methods remain key challenge |
Disclaimer/Publisher’s Note: The statements, opinions and data contained in all publications are solely those of the individual author(s) and contributor(s) and not of MDPI and/or the editor(s). MDPI and/or the editor(s) disclaim responsibility for any injury to people or property resulting from any ideas, methods, instructions or products referred to in the content. |
© 2025 by the authors. Licensee MDPI, Basel, Switzerland. This article is an open access article distributed under the terms and conditions of the Creative Commons Attribution (CC BY) license (https://creativecommons.org/licenses/by/4.0/).
Share and Cite
Amara, K.; Saghir, M.Z.; Abdeljabar, R. Review of Triply Periodic Minimal Surface (TPMS) Structures for Cooling Heat Sinks. Energies 2025, 18, 4920. https://doi.org/10.3390/en18184920
Amara K, Saghir MZ, Abdeljabar R. Review of Triply Periodic Minimal Surface (TPMS) Structures for Cooling Heat Sinks. Energies. 2025; 18(18):4920. https://doi.org/10.3390/en18184920
Chicago/Turabian StyleAmara, Khaoula, Mohamad Ziad Saghir, and Ridha Abdeljabar. 2025. "Review of Triply Periodic Minimal Surface (TPMS) Structures for Cooling Heat Sinks" Energies 18, no. 18: 4920. https://doi.org/10.3390/en18184920
APA StyleAmara, K., Saghir, M. Z., & Abdeljabar, R. (2025). Review of Triply Periodic Minimal Surface (TPMS) Structures for Cooling Heat Sinks. Energies, 18(18), 4920. https://doi.org/10.3390/en18184920

