Reserve Planning Method for High-Penetration Wind Power Systems Considering Typhoon Weather
Abstract
1. Introduction
- A typhoon path reconstruction method based on the multivariate Markov chain Monte Carlo (MMCMC) algorithm is proposed to generate a diverse set of spatiotemporally coherent typhoon paths. By integrating these paths with a composite wind field model that incorporates translational velocity, the source-load scenarios are constructed, thus providing a solid foundation for subsequent N − 1 security verification and reserve planning;
 - An innovative two-stage reserve planning framework is developed. In the first stage, a cost-benefit analysis is conducted to identify the economically optimal reserve capacity. In the second stage, rigorous N − 1 security verification is performed under extreme typhoon scenarios using hourly time-series production simulation (HTSPS), thereby achieving an effective balance between economy and security.
 
2. Materials and Methods
- (1)
 - Generation of source-load scenario under typhoon weather for the planning year: Firstly, historical typhoon path data and load data are collected at an hourly resolution. Then, to reflect the spatiotemporal characteristics of typhoons, the MMCMC algorithm is employed to reconstruct typhoon paths for the planning year. A typhoon wind field model is established by jointly considering both rotational wind field and the translational velocity of the typhoon. After this, the impact of the typhoon on individual wind farms is identified. Subsequently, wind speed and output data for the wind farms are obtained, and corresponding source-load scenarios under typhoon weather are then generated.
 - (2)
 - Two-stage reserve capacity determination for the planning year: Based on the generating units and load data for the planning year, reserve capacity r is set in an incremental manner. Then, a cost-benefit analysis is performed, incorporating sequential Monte Carlo simulation (SMCS), stochastic production simulation (SPS), and the uniform annual value method. This process yields both the reliability benefit and reserve-related cost. Subsequently, an N − 1 security verification for generating units is performed on the source-load scenarios under typhoon weather, based on HTSPS. Ultimately, this framework establishes the final reserve capacity that is not only economically justified by the cost-benefit analysis but also confirmed to be secure through N − 1 verification under typhoon scenarios.
 
2.1. Source-Load Scenario Generation Under Typhoon Weather for the Planning Year
2.1.1. Typhoon Path Reconstruction Based on MMCMC Algorithm
2.1.2. Typhoon Wind Field Model with Rotational and Translational Components
2.1.3. Typhoon Impact Assessment Based on Geometric Circle Judgment Method
2.1.4. Wind Power and Load Scenario Model
2.2. Two-Stage Reserve Planning Framework Considering Typhoon Weather
2.2.1. Investment Decision Model for Reserve Planning Based on Cost-Benefit Analysis
2.2.2. N − 1 Security Verification Under Typhoon Scenarios Based on HTSPS
- System power balance constraint
 
- Conventional generating unit constraints
 
- Wind power output constraint
 
- N − 1 power balance constraint
 
3. Test Results
3.1. Case Study Description
3.2. Typhoon Scenario Generation
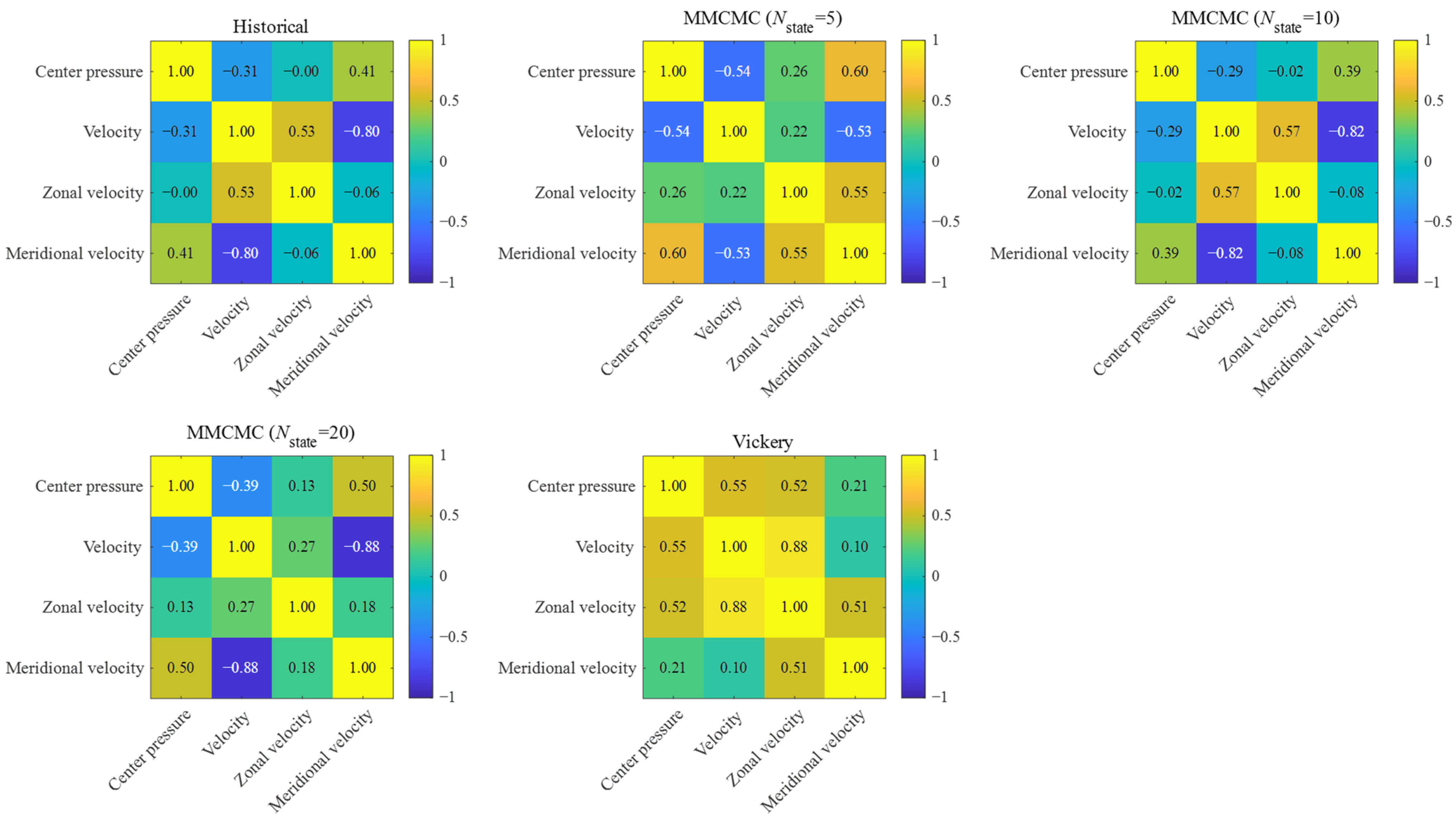
3.2.1. Reconstructed Typhoon Paths
3.2.2. Generated Source-Load Scenarios
- Initial ramp-up phase (0–15 h): As the typhoon approaches from a distance, wind speeds gradually increase, leading to a steady rise in the power output of the wind farms;
 - High volatility phase (15–22 h): During this phase, the wind speeds fluctuate around the 25 m/s cut-out threshold. This results in highly unstable output, with the wind farms shifting between full power output and zero;
 - Sustained shutdown phase (22–27 h): As the center of typhoon passes near to the wind farms, wind speeds consistently exceed the cut-out threshold. As a result, the wind farms are forced into complete shutdown, leading to a total loss of 1400 MW of generation capacity;
 - Stable output phase (27–43 h): As the typhoon moves away, wind speeds fall below the cut-out threshold but remain high, enabling the wind farms to operate at their rated capacity;
 - Low output phase (43–96 h): After the typhoon has completely passed, wind speeds drop to very low levels. Consequently, wind power generation becomes minimal, reflecting the calm atmospheric conditions that typically follow a typhoon event.
 
3.3. Two-Stage Reserve Planning
3.3.1. Cost-Benefit Analysis for Reserve Planning
3.3.2. N − 1 Security Verification
4. Conclusions
- The proposed MMCMC-based method successfully reconstructs a diverse set of spatiotemporally coherent typhoon paths. Compared with conventional empirical models, this method explicitly captures the dynamic evolution of key meteorological variables, such as central pressure and translational velocity. As a result, it generates high-impact and physically plausible source-load scenarios, which provide a solid foundation for rigorous security verification;
 - The proposed two-stage planning framework also proves effective for reserve decision-making under extreme weather conditions. While the cost-benefit analysis identifies 480 MW as the economically optimal reserve capacity, the subsequent N − 1 security verification under typhoon scenarios shows that this level is insufficient to prevent load shedding. A reserve of 520 MW is needed to ensure system reliability. Although this adjustment leads to a minor 0.44% reduction in terms of economic benefit, it significantly enhances system resilience. These findings highlight the value of combining economic optimization with scenario-based security assessment to support robust reserve planning under extreme typhoon weather.
 
Author Contributions
Funding
Data Availability Statement
Conflicts of Interest
References
- Li, D.; Zhao, X.; Xu, W.; Ge, C.; Li, C. A Novel Renewable Energy Scenario Generation Method Based on Multi-Resolution Denoising Diffusion Probabilistic Models. Energies 2025, 18, 3781. [Google Scholar] [CrossRef]
 - National Energy Administration. National Energy Administration Releases 2024 National Power Industry Statistics. 2025. Available online: https://www.nea.gov.cn/20250121/097bfd7c1cd3498897639857d86d5dac/c.html (accessed on 24 July 2025).
 - National Energy Administration. China’s Offshore Wind Power Capacity Reaches 39.1 GW. 2024. Available online: https://www.nea.gov.cn/2024-11/22/c_1212407828.htm (accessed on 24 July 2025).
 - Banzo, M.; Ramos, A. Stochastic Optimization Model for Electric Power System Planning of Offshore Wind Farms. IEEE Trans. Power Syst. 2011, 26, 1338–1348. [Google Scholar] [CrossRef]
 - Liang, Z.; Chung, C.Y.; Zhang, W.; Wang, Q.; Lin, W.; Wang, C. Enabling High-Efficiency Economic Dispatch of Hybrid AC/DC Networked Microgrids: Steady-State Convex Bi-Directional Converter Models. IEEE Trans. Smart Grid 2025, 16, 45–61. [Google Scholar] [CrossRef]
 - Ti, B.; Li, G.; Zhou, M.; Wang, J. Resilience Assessment and Improvement for Cyber-Physical Power Systems Under Typhoon Disasters. IEEE Trans. Smart Grid 2022, 13, 783–794. [Google Scholar] [CrossRef]
 - He, J.; Hu, Z.; Liu, Y.; Bao, Z.; Zhu, Y. Dispatch Strategy for the Power System with Large Offshore Wind Power Integration under a Typhoon: A Two-Stage Sample Robust Optimization Approach. IEEE Trans. Ind. Appl. 2025, 61, 4636–4648. [Google Scholar] [CrossRef]
 - Qian, M.; Chen, N.; Chen, Y.; Chen, C.; Qiu, W.; Zhao, D.; Lin, Z. Optimal Coordinated Dispatching Strategy of Multi-Sources Power System with Wind, Hydro and Thermal Power Based on CVaR in Typhoon Environment. Energies 2021, 14, 3735. [Google Scholar] [CrossRef]
 - Wang, Q.; McCalley, J.D. Risk and “N-1” Criteria Coordination for Real-Time Operations. IEEE Trans. Power Syst. 2013, 28, 3505–3506. [Google Scholar] [CrossRef]
 - Lin, Z.; Hu, Z.; Song, Y. Distribution Network Expansion Planning Considering N−1 Criterion. IEEE Trans. Power Syst. 2019, 34, 2476–2478. [Google Scholar] [CrossRef]
 - Younesi, A.; Shayeghi, H.; Safari, A.; Siano, P. A Quantitative Resilience Measure Framework for Power Systems Against Wide-Area Extreme Events. IEEE Syst. J. 2021, 15, 915–922. [Google Scholar] [CrossRef]
 - Panteli, M.; Mancarella, P. Modeling and Evaluating the Resilience of Critical Electrical Power Infrastructure to Extreme Weather Events. IEEE Syst. J. 2017, 11, 1733–1742. [Google Scholar] [CrossRef]
 - Li, Z.; Li, W.; Samson, S.Y.; Zhang, X.; Huang, L. Fast Frequency Response Reserve Planning for Power Systems Considering Homogeneous Extreme Risks. IEEE Trans. Ind. Appl. 2023, 59, 2314–2325. [Google Scholar] [CrossRef]
 - Ding, Y.; Wang, P.; Goel, L.; Loh, P.C.; Wu, Q. Long-Term Reserve Expansion of Power Systems with High Wind Power Penetration Using Universal Generating Function Methods. IEEE Trans. Power Syst. 2011, 26, 766–774. [Google Scholar] [CrossRef]
 - Ortega-Vazquez, M.A.; Kirschen, D.S. Optimizing the Spinning Reserve Requirements Using a Cost/Benefit Analysis. IEEE Trans. Power Syst. 2007, 22, 24–33. [Google Scholar] [CrossRef]
 - Leite, D.S.A.M.; Sales, W.S.; Manso, L.A.F.; Vieira, L.C. Long-Term Probabilistic Evaluation of Operating Reserve Requirements with Renewable Sources. IEEE Trans. Power Syst. 2010, 25, 106–116. [Google Scholar] [CrossRef]
 - Huang, Z.; Rosowsky, D.V.; Sparks, P.R. Hurricane Simulation Techniques for the Evaluation of Wind Speeds and Expected Insurance Losses. J. Wind Eng. Ind. Aerodyn. 2001, 89, 605–617. [Google Scholar] [CrossRef]
 - Emanuel, K. Climate and Tropical Cyclone Activity: A New Model Downscaling Approach. J. Clim. 2006, 19, 4797–4802. [Google Scholar] [CrossRef]
 - Hu, B.; Li, M.; Niu, T.; Zhou, P.; Li, Y.; Xie, K.; Li, C. Hardening planning of overhead distribution lines in typhoon-prone areas by considering the typhoon motion paths and the line load reliability. Int. J. Electr. Power Energy Syst. 2021, 129, 106836. [Google Scholar] [CrossRef]
 - Huang, M.; Wang, Q.; Li, Q.; Jing, R.; Lin, N.; Wang, L. Typhoon wind hazard estimation by full-track simulation with various wind intensity models. J. Wind Eng. Ind. Aerodyn. 2021, 218, 104792. [Google Scholar] [CrossRef]
 - Tu, S.; Chan, J.C.L.; Xu, J.; Zhong, Q.; Zhou, W.; Zhang, Y. Increase in tropical cyclone rain rate with translation speed. Nat. Commun. 2022, 13, 7325. [Google Scholar] [CrossRef]
 - Yang, H.; Li, Y.; Lu, L.; Qi, R. First order multivariate Markov chain model for generating annual weather data for Hong Kong. Energy Build. 2011, 43, 1153–1162. [Google Scholar] [CrossRef]
 - Liu, X.; Hou, K.; Jia, H.; Zhao, J.; Mili, L.; Jin, X. A Planning-Oriented Resilience Assessment Framework for Transmission Systems Under Typhoon Disasters. IEEE Trans. Smart Grid 2020, 11, 5431–5441. [Google Scholar] [CrossRef]
 - Vickery, P.J.; Twisdale, L.A. Prediction of Hurricane Wind Speeds in the United States. J. Struct. Eng. 1995, 121, 1691–1699. [Google Scholar] [CrossRef]
 - CMA Typhoon Real-Time Tracking System. Available online: http://typhoon.nmc.cn/web.html (accessed on 24 July 2025).
 - Xie, K.; Jiang, Z.; Li, W. Effect of wind speed on wind turbine power converter reliability. IEEE Trans. Energy Convers. 2012, 27, 96–104. [Google Scholar] [CrossRef]
 - Laudani, A.; Lozito, G.M.; Riganti Fulginei, F.; Salvini, A. On Training Efficiency and Computational Costs of a Feed Forward Neural Network: A Review. Comput. Intell. Neurosci. 2015, 2015, 818243. [Google Scholar] [CrossRef]
 - Wang, X. Fundamentals of Power System Planning; China Electric Power Press: Beijing, China, 1994; pp. 61–83. [Google Scholar]
 - Billinton, R.; Li, W. Reliability Assessment of Electric Power Systems Using Monte Carlo Methods; Springer Science+Business Media: New York, NY, USA, 1994. [Google Scholar]
 - Probability Methods Subcommittee. IEEE Reliability Test System. IEEE Trans. Power Appar. Syst. 1979, PAS-98, 2047–2054. [CrossRef]
 - Tapetado, P.; Usaola, J. Capacity credits of wind and solar generation: The Spanish case. Renew. Energy 2019, 143, 164–175. [Google Scholar] [CrossRef]
 - Guangdong Provincial Department of Natural Resources Website. Available online: https://nr.gd.gov.cn/gkmlpt/content/4/4298/post_4298962.html (accessed on 24 July 2025).
 - Guangdong Provincial Department of Natural Resources Website. Public Notice on Proposed Change of Sea Use for Yangxi Shapa Phase 5 Offshore Wind Farm Project (300 MW), Yangjiang, Guangdong Province. Available online: https://nr.gd.gov.cn/gkmlpt/content/4/4298/post_4298964.html (accessed on 24 July 2025).
 - Qu, C.; Wang, X.; Zeng, P.; Xie, S. Long-term Reserve Planning and Decision Based on Conditional Cost-benefit Analysis. Proc. CSEE 2014, 34, 5642–5650. [Google Scholar] [CrossRef]
 - Vickery, P.J.; Skerlj, P.F.; Twisdale, L.A. Simulation of hurricane risk in the US using empirical track model. Nat. Hazards Rev. 2000, 126, 1222–1237. [Google Scholar]
 








| Wind Farm | Capacity (MW) | Latitude (° N) | Longitude (° E) | 
|---|---|---|---|
| 1 | 300 | 21.31 | 111.66 | 
| 2 | 300 | 21.33 | 111.66 | 
| 3 | 400 | 21.50 | 112.28 | 
| 4 | 400 | 21.46 | 112.17 | 
| Parameter | Rated Power (MW) | Hub Height (m) | Cut-In Wind Speed (m/s) | Rated Wind Speed (m/s) | Cut-Out Wind Speed (m/s) | 
|---|---|---|---|---|---|
| Value | 14 | 150 | 3 | 10 | 25 | 
| Parameter | Capital Cost ($/MW) | Equipment Lifetime (Year) | Discount Rate (%) | VOLL ($/kWh) | 
|---|---|---|---|---|
| Value | 6 × 105 | 30 | 10 | 5.27 | 
| Reserve (MW) | 400 | 420 | 440 | 460 | 480 | 500 | 520 | 540 | 
| Reserve-related cost (USD 107) | 2.7118 | 2.8411 | 2.9701 | 3.0990 | 3.2277 | 3.3562 | 3.4846 | 3.6128 | 
| Reliability benefit (USD 108) | 1.6947 | 1.7135 | 1.7329 | 1.7480 | 1.7640 | 1.7767 | 1.7835 | 1.7962 | 
| Comprehensive benefit (USD 108) | 1.4236 | 1.4294 | 1.4359 | 1.4381 | 1.4413 | 1.4411 | 1.4350 | 1.4349 | 
| Reserve (MW) | 560 | 580 | 600 | 620 | 640 | 660 | 680 | 700 | 
| Reserve-related cost (USD 107) | 3.7409 | 3.8689 | 3.9968 | 4.1246 | 4.2524 | 4.3801 | 4.5077 | 4.6353 | 
| Reliability benefit (USD 108) | 1.8065 | 1.8118 | 1.8167 | 1.8239 | 1.8281 | 1.8328 | 1.8354 | 1.8389 | 
| Comprehensive benefit (USD 108) | 1.4324 | 1.4249 | 1.4170 | 1.4114 | 1.4029 | 1.3948 | 1.3847 | 1.3753 | 
| Metric | Deterministic Method | Single-Stage | Two-Stage | 
|---|---|---|---|
| Reserve capacity (MW) | 400 | 480 | 516 | 
| Comprehensive benefit (USD 108) | 1.4236 | 1.4413 | 1.4387 | 
| Total load shedding under typhoon scenarios (MW) | 4937.66 | 1920.39 | 0 | 
Disclaimer/Publisher’s Note: The statements, opinions and data contained in all publications are solely those of the individual author(s) and contributor(s) and not of MDPI and/or the editor(s). MDPI and/or the editor(s) disclaim responsibility for any injury to people or property resulting from any ideas, methods, instructions or products referred to in the content.  | 
© 2025 by the authors. Licensee MDPI, Basel, Switzerland. This article is an open access article distributed under the terms and conditions of the Creative Commons Attribution (CC BY) license (https://creativecommons.org/licenses/by/4.0/).
Share and Cite
Cao, H.; Wang, J.; Peng, S.; Pan, W.; Sun, Q.; Tang, J. Reserve Planning Method for High-Penetration Wind Power Systems Considering Typhoon Weather. Energies 2025, 18, 4737. https://doi.org/10.3390/en18174737
Cao H, Wang J, Peng S, Pan W, Sun Q, Tang J. Reserve Planning Method for High-Penetration Wind Power Systems Considering Typhoon Weather. Energies. 2025; 18(17):4737. https://doi.org/10.3390/en18174737
Chicago/Turabian StyleCao, Huiying, Junzhou Wang, Sui Peng, Wenxuan Pan, Qing Sun, and Junjie Tang. 2025. "Reserve Planning Method for High-Penetration Wind Power Systems Considering Typhoon Weather" Energies 18, no. 17: 4737. https://doi.org/10.3390/en18174737
APA StyleCao, H., Wang, J., Peng, S., Pan, W., Sun, Q., & Tang, J. (2025). Reserve Planning Method for High-Penetration Wind Power Systems Considering Typhoon Weather. Energies, 18(17), 4737. https://doi.org/10.3390/en18174737
        
