Natural Gas and Biogas Mixtures in Smart Cities: A Mathematical Model of Its Proposal for Use with Biogas Produced by Biomass Plants and Mixture Density Control According to the Biogas Composition
Abstract
1. Introduction
2. Mathematical Model
2.1. Methodological Framework
2.2. Density of NG According to Its Composition
2.3. Control System for the Constant Density of the NG–BG Mix: A Descriptive Case of One BG Source and One NG Tank (NGST)
2.4. Case of Two BG Sources and One NG Tank
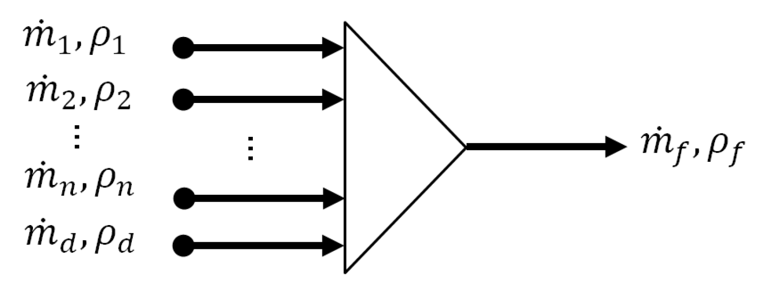
2.5. Case of n BG Sources and One NG Tank
2.6. Case of Two Mixers and Two NG Tanks (One to Each Mixer), Where Each Mixer Has n and m BG Sources and the Mixture from the FIRST mixer Is Also Input to the Second Mixer: NG Tanks Contain NG of Equal Composition
2.7. Case of an Arrangement of k Tanks and k Mixers, with the Last Mixer Receiving the Input from Mixers, Having Its Own BG Sources Connected: All NG Tanks Have the Same Density
2.8. Effect of Density Change on the Transport of the NG–BG Mix
3. Simulations and Analysis
- 1.
- 2.
- Using the combination of mixture components of [34], an experiment with randomly generated data is developed with methane between 80–100% (by volume) in accordance with [19,36,37,38], ethane between 0–15% (by volume), and propane between 0–20% (by volume). In this paper, in order to verify the operation of the control system and the quantification of random variables, Equations (46)–(51) are used with the command rand() in MATLAB, and m is the state number. The definition of the state number is the shortest possible time between reliable measurements, which may be a few seconds or a few minutes; therefore, there are no sudden variations in the composition of biogas between states. This is ensured both because it is possible to design an adequate measurement system and because of the design of biodigesters or similar equipment that process biomass (in future experiments, this will depend on the measurement system, equipment, sensor quality, and signal processing). These percentages are assumed considering that BG undergoes a purification and concentration process, given that its reported values in production are 51.5%, 38.9%, 1.0%, 8.9%, 350 ppm, and water 17.2 mg/L [39].
- 3.
- The properties of the BG components used are shown in Table 1, where is in psia, and is in °R.
- 4.
3.1. Normalisation of NG Composition
3.2. Volume of NG in the NGST
4. Discussion
5. Conclusions
Author Contributions
Funding
Data Availability Statement
Acknowledgments
Conflicts of Interest
Abbreviations
| APS | Announced Pledges Scenario |
| B | Buildings |
| BG | Biogas |
| BM | Biomethane |
| CSC | Control System Controller |
| DG | Distributed Generation |
| NG | Natural gas |
| NG–BG Mix | Natural Gas–Biogas Mix |
| NGST | NG Storage Tank |
| MG | Microgrid |
| NZE | Net-Zero Emissions by 2050 |
| SC | Smart Cities |
| SG | Smart Grids |
| STEPS | Stated Policies Scenario |
References
- Atofarati, E.O.; Adogbeji, V.O.; Enweremadu, C.C. Sustainable smart waste management solutions for rapidly urbanizing African Cities. Utilities Policy 2025, 95, 101961. [Google Scholar] [CrossRef]
- Oyadeyi, O.A.; Oyadeyi, O.O. Towards inclusive and sustainable strategies in smart cities: A comparative analysis of Zurich, Oslo, and Copenhagen. Res. Glob. 2025, 10, 100271. [Google Scholar] [CrossRef]
- Bandeiras, F.; Gomes, A.; Gomes, M.; Coelho, P. Multi-criteria sustainability assessment of energy resources in the energy supply chain of smart city ecosystems. Energy Nexus 2025, 18, 100441. [Google Scholar] [CrossRef]
- Rai, S.; Gurung, A.; Bhakta-Sharma, H.; Prakash-Ranjan, V. Sustainable solid waste management challenges in hill cities of developing Countries: Insights from eastern Himalayan smart cities of Sikkim, India. Waste Manag. Bull. 2024, 2, 1–18. [Google Scholar] [CrossRef]
- Hamdan, A.; Panda, S.; Shirish-Hain, M.; Raj, V. Assessing municipal solid waste in Indian smart cities: A path towards Waste-to-Energy. Heliyon 2025, 11, e42770. [Google Scholar] [CrossRef]
- Zeynali, R.; Asadi, M.; Ankley, P.; Esser, M.; Brinkmann, M.; Soltan, J.; Mcphedran, K. Sustainable enhancement of biogas production from a cold-region municipal wastewater anaerobic digestion process using optimized sludge-derived and commercial biochar additives. J. Clean. Prod. 2024, 478, 143948. [Google Scholar] [CrossRef]
- Pandiyan, P.; Saravanan, S.; Usha, K.; Kannadasan, R.; Alsharif, M.H.; Kim, M.K. Technological advancements toward smart energy management in smart cities. Energy Rep. 2023, 10, 648–677. [Google Scholar] [CrossRef]
- Christensen, T.B.K.; Lund, H.; Sorknaes, P. The role of thermal energy storage in future smart energy systems. Energy 2024, 313, 133948. [Google Scholar] [CrossRef]
- Abu-Rayash, A.; Dincer, I. Development and application of an integrated smart city model. Heliyon 2023, 9, e14347. [Google Scholar] [CrossRef]
- International Energy Agency—IEA. Empowering Urban Energy Transitions—Smart Cities and Smart Grids; IEA Publications. Available online: https://www.iea.org/reports/empowering-urban-energy-transitions (accessed on 10 June 2025).
- Kemfert, C.; Präger, F.; Braunger, I.; Hoffart, F.M.; Brauers, H. The expansion of natural gas infrastructure puts energy transitions at risk. Nat. Energy 2022, 7, 582–587. [Google Scholar] [CrossRef]
- International Energy Agency—IEA. Energy Statistics Data Browser; IEA Publications. Available online: https://www.iea.org/data-and-statistics/data-tools/energy-statistics-data-browser (accessed on 23 April 2025).
- International Energy Agency—IEA. Global Energy Review 2025; IEA Publications. Available online: https://www.iea.org/reports/global-energy-review-2025 (accessed on 5 June 2025).
- International Energy Agency—IEA. Gas Market Report, Q2-2025; IEA Publications. Available online: https://www.iea.org/reports/gas-market-report-q2-2025 (accessed on 3 June 2025).
- Calvillo, C.F.; Sánchez-Miralles, A.; Villar, J. Energy management and planning in smart cities. Renew. Sustain. Energy Rev. 2016, 55, 273–287. [Google Scholar] [CrossRef]
- Saeed, E.; Tayebi, S.; Byrne, J.; Taminiau, J.; Giyahchi, G.; Alavi, S.A. Smart Cities and Urban Energy Planning: An Advanced Review of Promises and Challenges. Smart Cities 2024, 7, 414–444. [Google Scholar] [CrossRef]
- Ramli, H.; Mokhtar, Z.; Thurairajah, N. Sustainable Smart City Technologies and Their Impact on User’s Energy Consumption Behaviour. Energies 2024, 17, 771. [Google Scholar] [CrossRef]
- Yadav, K.; Sincar, A. Fundamentals and developments of compressed biogas in city gas distribution network in India: A review. Pet. Res. 2022, 7, 409–418. [Google Scholar] [CrossRef]
- Saad-Mansour, M.; Kiriakos, M.; Hao, L.; Serag-Eldin, M.A. Improved combustion stability of biogas at different CO2 concentrations using inhomogeneous partially premixed stratified flames. Glob. Energy Interconnect. 2024, 7, 486–502. [Google Scholar] [CrossRef]
- International Energy Agency—IEA. Renewables 2020—Analysis and Forecast to 2025; International Energy Agency. Available online: https://www.iea.org/reports/renewables-2020 (accessed on 28 May 2025).
- International Renewable Energy Agency—IEA. IEA—Hydropower, Bioenergy, CSP and Geothermal. Available online: https://www.iea.org/reports/renewables-2020/hydropower-bioenergy-csp-and-geothermal#abstract (accessed on 10 March 2025).
- International Energy Agency—IEA. World Energy Outlook 2024, 1st ed.; IEA Publications: Paris, France, 2024; Available online: https://www.iea.org/reports/world-energy-outlook-2024 (accessed on 23 May 2025).
- United Nations—UN. 17 Sustainable Development Goals (SDGs). Available online: https://sdgs.un.org/goals (accessed on 15 June 2025).
- Satter, A.; Iqbal, G.M.; Buchwalter, J.L. Practical Enhanced Reservoir Engineering—Assisted with Simulation Software; PennWell Corporation: Tulsa, OK, USA, 2008. [Google Scholar]
- Craft, B.C.; Hawkins, M.F. Applied Petroleum Reservoir Engineering, 2nd ed.; Prentice Hall: Englewood Cliffs, NJ, USA, 1991. [Google Scholar]
- Abbott, D.J.; Bowers, J.P.; James, S.R. The Impact of Natural Gas Composition Variations on the Operation of Gas Turbines for Power Generation. In Proceedings of the 6th International Conference The Future of Gas Turbine Technology, Brussels, Belgium, 17–18 October 2012; Available online: https://api.semanticscholar.org/CorpusID:164213883 (accessed on 30 March 2025).
- Ripepi, N.; Louk, K.; Amante, J.; Schlosser, C.; Tang, X.; Gilliland, E. Determining coalbed methane production and composition from individual stacked coal seams in a multi-zone completed gas well. Energies 2017, 10, 1533. [Google Scholar] [CrossRef]
- MathWorks Inc. MATLAB % Simulink. Available online: http://www.mathworks.com (accessed on 23 February 2025).
- Bishop, R.H. Modern Control Systems Analysis and Design Using Matlab; Addison-Wesley Publishing Company: Reading, MA, USA, 1993. [Google Scholar]
- Shashi-Menon, E. Gas Pipeline Hydraulics; Taylor & Francis Group: Boca Raton, FL, USA, 2005. [Google Scholar]
- Dukkipati, R.V. Analysis and Design of Control Systems Using Matlab; New Age International Limited Publishers: New Delhi, India, 2006. [Google Scholar]
- Narváez, P.C. Solución de redes de flujo para gases usando el modelo de balance de nodos y el método de linealización de ecuaciones. Ing. Inv. 1999, 56–62. Available online: https://dialnet.unirioja.es/servlet/articulo?codigo=4902890 (accessed on 1 March 2025). [CrossRef]
- Forsthoffer, W. Forsthoffer’s Rotating Equipment Handbooks—Compressors, 1st ed.; Elsevier Inc.: New York, NY, USA, 2005; ISBN 1-85617-469-7. [Google Scholar]
- Flores, R.M.; McDonell, V.G.; Samuelsen, G.S. Impact of Ethane and Propane Variation in Natural Gas on the Performance of a Model Gas Turbine Combustor. J. Eng. Gas Turbines Power 2003, 125, 701–708. [Google Scholar] [CrossRef]
- Freeman, C.; Moridis, G.J.; Michael, G.E.; Alwin-Blasingame, T. Measurement, Modeling, and Diagnostics of Flowing Gas Composition Changes in Shale Gas Wells. In Proceedings of the 2012 SPE Latin America and Caribbean Petroleum Engineering Conference, Mexico City, Mexico, 16–18 April 2012. [Google Scholar] [CrossRef]
- Oliveira-Soares, L.; Ricardo-Sodre, J.; Mancebo-Boloy, R.A. Lifecycle assessment and environmental impacts of hybrid electric vehicles fuelled by bioethanol and biogas. Renew. Sustain. Energy Rev. 2025, 216, 115622. [Google Scholar] [CrossRef]
- Perez-Remedios, J.A.; Rodríguez-Espinoza, K.E.; Díaz-García, C.; Ayala, D.J.; Rodríguez, L.D. Assessing the biogas potential of slaughterhouse waste in Tenerife: A sustainable approach to waste management in an outermost European region. Results Eng. 2024, 24, 103389. [Google Scholar] [CrossRef]
- Ebrahim-Hashemi, S.; Wijnsma, S.; Hillestad, M.; Austbo, B. Direct vs indirect biogas methanation for liquefied biomethane production: A concept evaluation. Fuel 2024, 371, 131835. [Google Scholar] [CrossRef]
- Godoy, V.; Martín-Lara, M.A.; Garcia-Garcia, G.; Arjandas, S.; Calero, M. Environmental impact assessment of the production of biomethane from landfill biogas and its use as vehicle fuel. Renew. Energy 2024, 237, 121685. [Google Scholar] [CrossRef]
- Huang, B.; Hu, E.; Huang, Z.; Zheng, J.; Liu, B.; Jiang, D. Cycle-by-cycle variations in a spark ignition engine fueled with natural gas-hydrogen blends combined with EGR. Int. J. Hydrogen Energy 2009, 34, 8405–8414. [Google Scholar] [CrossRef]
- Flores, R.M.; Miyasato, M.M.; McDonell, V.G.; Samuelsen, G.S. Response of a Model Gas Turbine Combustor to Variation in Gaseous Fuel Composition. J. Eng. Gas Turbines Power. 2001, 123, 824–831. [Google Scholar] [CrossRef]
- Reyes, M.; Tinaut, F.V.; Melgar, A.; Pérez, A. Characterization of the combustion process and cycle-to-cycle variations in a spark ignition engine fuelled with natural gas/hydrogen mixtures. Int. J. Hydrogen Energy 2016, 41, 2064–2074. [Google Scholar] [CrossRef]
- Bera, S.; Justina, D.E.; Chatterjee, S.; Vairale, M.G.; Devi, R.R.; Acharya, S.; Pal, V.; Gupta, R.; Kamboj, D.V. Effect of varying volumes of anaerobic microbial inoculum on biodegradation and biogas production from black water. J. Indian Chem. Soc. 2024, 101, 101426. [Google Scholar] [CrossRef]
- Fazlina-Abu, N.; Yahida-Yahya, N.; Zafirah-Mansur, F.; Muhammad, N. Removal of ammonia from rubber wastewater using rubber-sludge-based biochar to enhance biogas production. Process. Saf. Environ. Prot. 2024, 192, 378–385. [Google Scholar] [CrossRef]
- Mawar-Ningsih, L.; Hasanudin, U.; Roubík, H. Acclimatisation process of biogas production from tofu industrial wastewater using biofilter in anaerobic baffled reactor (ABR). Renew. Energy 2024, 236, 121519. [Google Scholar] [CrossRef]
- El-Kolaly, W.; Saad, A.; Wang, Y.; Abd El Halim, H.; Li, M.; Fang, Y. Production of biogas from various types of spent mushroom substrate under different growth conditions. Bioresour. Technol. Rep. 2024, 28, 101964. [Google Scholar] [CrossRef]
- Joshi, J.; Bhatt, P.; Kandel, P.; Khadka, M.; Kathariya, S.; Thapa, S.; Jha, S.; Phaiju, S.; Bajracharya, S.; Yadav, A.P. Integrating microbial electrochemical cell in anaerobic digestion of vegetable wastes to enhance biogas production. Bioresour. Technol. Rep. 2024, 27, 101940. [Google Scholar] [CrossRef]












| Compound | |||
|---|---|---|---|
| Methane | 16.04 | 673.1 | 343.2 |
| Ethane | 30.07 | 708.3 | 549.9 |
| Propane | 44.09 | 617.4 | 666.0 |
| Butane | 58.12 | 529.1 | 734.6 |
| Pentane | 72.15 | 489.8 | 846.2 |
| Hexane | 86.17 | 440.1 | 914.2 |
Disclaimer/Publisher’s Note: The statements, opinions and data contained in all publications are solely those of the individual author(s) and contributor(s) and not of MDPI and/or the editor(s). MDPI and/or the editor(s) disclaim responsibility for any injury to people or property resulting from any ideas, methods, instructions or products referred to in the content. |
© 2025 by the authors. Licensee MDPI, Basel, Switzerland. This article is an open access article distributed under the terms and conditions of the Creative Commons Attribution (CC BY) license (https://creativecommons.org/licenses/by/4.0/).
Share and Cite
Mírez Tarrillo, J.L.; Hernandez, J.C. Natural Gas and Biogas Mixtures in Smart Cities: A Mathematical Model of Its Proposal for Use with Biogas Produced by Biomass Plants and Mixture Density Control According to the Biogas Composition. Energies 2025, 18, 4617. https://doi.org/10.3390/en18174617
Mírez Tarrillo JL, Hernandez JC. Natural Gas and Biogas Mixtures in Smart Cities: A Mathematical Model of Its Proposal for Use with Biogas Produced by Biomass Plants and Mixture Density Control According to the Biogas Composition. Energies. 2025; 18(17):4617. https://doi.org/10.3390/en18174617
Chicago/Turabian StyleMírez Tarrillo, Jorge Luis, and J. C. Hernandez. 2025. "Natural Gas and Biogas Mixtures in Smart Cities: A Mathematical Model of Its Proposal for Use with Biogas Produced by Biomass Plants and Mixture Density Control According to the Biogas Composition" Energies 18, no. 17: 4617. https://doi.org/10.3390/en18174617
APA StyleMírez Tarrillo, J. L., & Hernandez, J. C. (2025). Natural Gas and Biogas Mixtures in Smart Cities: A Mathematical Model of Its Proposal for Use with Biogas Produced by Biomass Plants and Mixture Density Control According to the Biogas Composition. Energies, 18(17), 4617. https://doi.org/10.3390/en18174617

