Bi-Level Planning of Grid-Forming Energy Storage–Hydrogen Storage System Considering Inertia Response and Frequency Parameter Optimization
Abstract
1. Introduction
2. Framework of the Planning and Configuration Model for Grid-Forming Electrochemical and HESS in Renewable Energy Bases
2.1. Inertia Model of the HESS
2.2. Comparison of Electrochemical and Hydrogen Energy Storage in Grid-Forming Control of Renewable Energy Bases
2.3. Inertia and Frequency Response of HESS in Renewable Energy Bases
2.4. Modeling and Operational Constraints of the HESS
- (1)
- Modeling and Operational Constraints of HESS:where and represent the electrical input power and hydrogen production power; denotes the electrolyzer efficiency; and are the minimum and maximum allowable input powers; and and denote the maximum permissible power increase and decrease, respectively.
- (2)
- The hydrogen storage tank model encompasses three operational constraints: storage capacity limits, hydrogen inflow/outflow rate constraints, and output power boundaries, formulated as follows:where is the hydrogen storage level of the tank at time t; and are the hydrogen input and output powers of the tank at time t; and are the charging and discharging efficiencies of the hydrogen tank; and denote the minimum and maximum hydrogen storage capacity; and represent the minimum and maximum hydrogen charging power; and represent the minimum and maximum hydrogen discharging power; and is a binary variable indicating the tank’s operational mode, where 1 corresponds to charging mode and 0 to discharging mode.
- (3)
- The hydrogen fuel cell model includes power conversion constraints, input power constraints, and ramping constraints:where and represent the output electrical power and input hydrogen power of the HFC; denotes the conversion efficiency of the HFC; and are the upper and lower limits of the HFC’s input power; and and are the upper and lower limits of the HFC’s ramping power.
2.5. Virtual Inertia Model of the Hydrogen Energy Storage System
2.6. Frequency Indicator and Frequency Regulation Parameter Optimization
2.6.1. Frequency Indicators
- (1)
- RoCoFwhere represents the security thresholds for the RoCoF at time ’ represents the system nominal frequency; represents the disturbance power imposed at time t; and represents the minimum inertia requirement.
- (2)
- Maximum Frequency Deviationwhere is the frequency deviation at the g-th time step within time interval t.
- (3)
- Quasi-Steady-State Frequency Deviation
2.6.2. Frequency Regulation Parameter Optimization
- (1)
- Constraint on primary frequency coefficient of the HESSwhere is the primary frequency regulation coefficient of the hydrogen energy storage system at time t, and and are its lower and upper bounds, respectively.
- (2)
- Constraint on Virtual Inertia Time Constant of the HESSwhere and are the corresponding bounds.
- (3)
- Constraint on Primary Frequency Coefficient of Grid-Forming EESwhere and are its lower and upper bounds.
- (4)
- Constraint on Virtual Inertia Time Constant of Grid-Forming EESwhere and are the corresponding bounds.
3. Planning of Grid-Forming Electrochemical and Hydrogen Energy Storage Systems Considering Inertia Response and Parameter Optimization
3.1. Configuration Model of Grid-Forming Electrochemical and HESS
3.1.1. Planning Objective Function
3.1.2. Modeling of DC Operation Mode
- (1)
- DC Operation Constraints
- (2)
- Adjacent Time-Step Ramping Power Constraints for DC Lines
- (3)
- Minimum Duration Constraint for Constant DC Power Operation
- (4)
- Maximum Daily Adjustment Count Constraint for DC Power
3.1.3. Typical Scenario-Based Operational
- (1)
- Power Balance Constraint
- (2)
- Weak AC Grid Support Power Constraint
- (3)
- Renewable Energy Output Constraints
- (4)
- The operational constraints of the grid-forming EES include discharging/charging power constraints (33) and (34); charging/discharging state variable constraint (35); and capacity constraints (36)–(39).
- (5)
- Constraints of electrolyzer, hydrogen tank, and fuel cell (see Equations (4)–(6)).
3.1.4. Inertia Support from Renewable Energy Base
3.1.5. Power and Capacity Constraints of Transient Process Equipment
3.2. Frequency Response Layer Model of Renewable Energy Base Considering Inertia Response and Primary Frequency Regulation Optimization
3.2.1. Modeling of Frequency Response Layer for Renewable Energy Base
3.2.2. Objective Function of Frequency Response Layer
3.2.3. Primary Frequency Regulation Power Support
- (1)
- Constraints of Grid-Forming Wind Farm
- (2)
- Grid-Forming Electrochemical Energy Storage Station
- (3)
- HESS
3.2.4. Discretized Frequency Security Indicators
- (1)
- RoCoF
- (2)
- Frequency Deviation
- (3)
- Quasi-Steady-State Frequency Deviation
- (4)
- Frequency Indicator Constraints
4. Model Solution
- Step 1:
- System parameters and initial data setup: Set various economic parameters, frequency modulation control parameters, and raw data for wind and solar power generation.
- Step 2:
- Setting optimization variable increments: This includes the boundary for the rated power of energy storage, rated capacity of energy storage, rated power of electrolyzers, rated capacity of hydrogen storage tanks, and rated power of hydrogen fuel cells, as well as the boundaries for virtual inertia time constants of energy storage and hydrogen storage, and primary frequency modulation coefficients.
- Step 3:
- Assigning transmission algorithm parameters: This includes population size, maximum generations, crossover rate, elite individual count, mutation rate, and convergence precision.
- Step 4:
- Transmitting algorithm initialization: Randomly generate an initial population and convert the frequency regulation index objective function at the operation level into an economic index, then add it to the planning-level objective function and penalty terms to set the genetic algorithm’s fitness function.
- Step 5:
- Generation of Typical Scenarios for the New Energy Base: Typical wind and solar power output scenarios were generated for new energy bases in the Northwest region. Initial parameters were configured, including algorithm parameters, economic parameters, and control parameters.
- Step 6:
- Optimization of New Energy Base-Planning Scheme: Based on this, the configurations for grid-forming-type battery energy storage systems and HESS were determined.
- Step 7:
- Virtual Inertia Modeling of the New Energy Base: Virtual inertia models were developed for grid-forming battery storage, grid-forming wind farms, and hydrogen storage systems based on Equations (7), (38), and (39). The total virtual inertia of the new energy base was then calculated using the previously determined configuration results.
- Step 8:
- Power Deficiency Caused by Short-Term Large Disturbances: To simulate a major disturbance, 10% of the historical forecasted output of new energy was used as the disturbance value.
- Step 9:
- Inertia Support and Frequency Response: To enhance grid stability, the response characteristics of grid-forming battery systems, wind farms, and hydrogen-based storage were configured. This step aimed to fine-tune key performance indicators, ensuring each technology contributed effectively to overall frequency regulation.
- Step 10:
- Convergence Check: If the difference between the current fitness function value and the optimal value was smaller than the set convergence threshold, the planning configuration results of the new energy base and its frequency response curves were output. If the difference exceeded the threshold, the process returned to Step 2 to continue the optimization.
5. Case Analysis
5.1. Planning Configuration Results
5.1.1. Comparative Analysis of Configuration Results and Economic Performance
5.1.2. Operation Mode of Electrochemical and HESS
5.1.3. Inertia Support Capability of the Renewable Energy Base
5.2. Frequency Regulation Performance Analysis
5.2.1. Analysis of Frequency Regulation Parameter Optimization
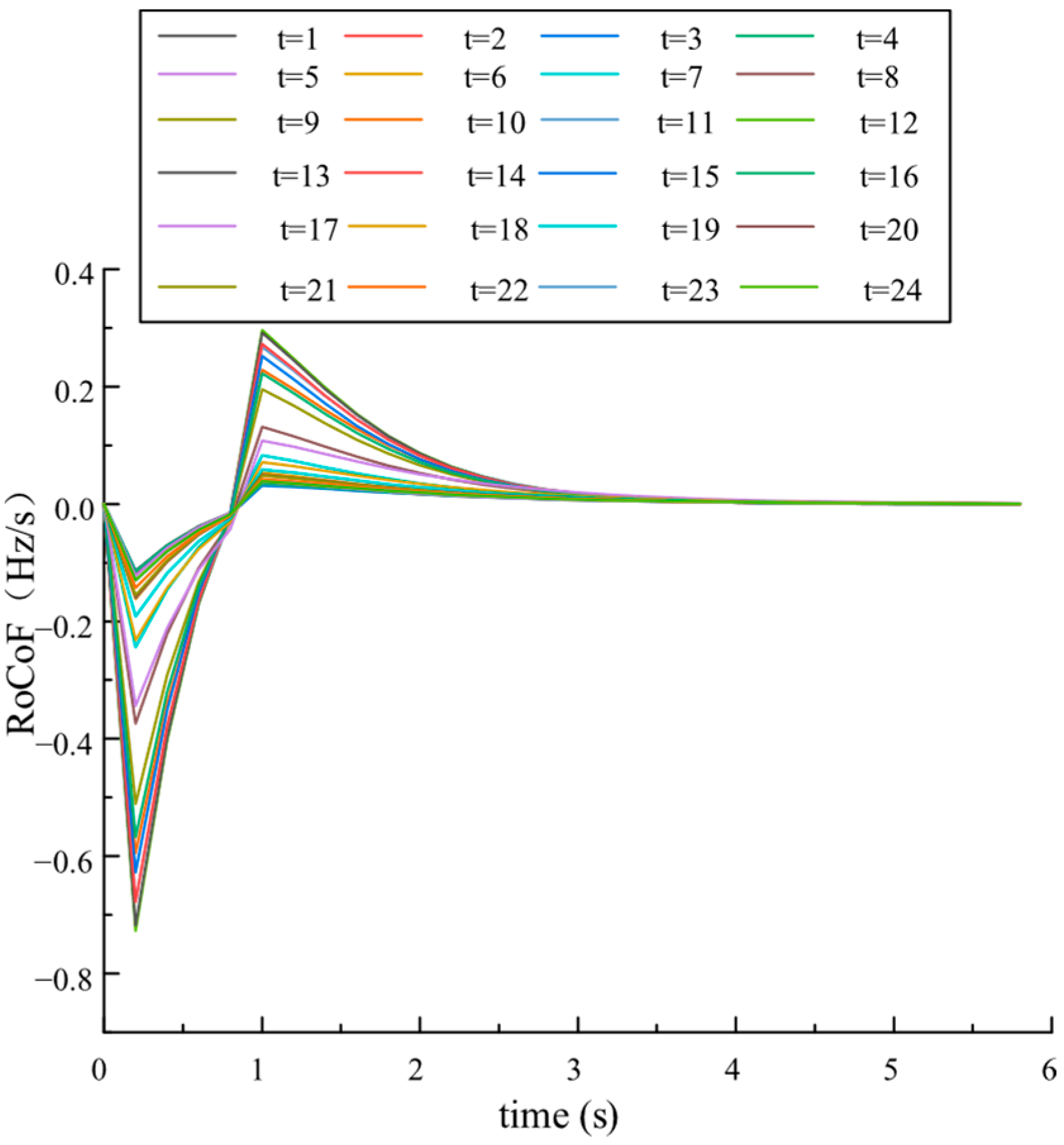
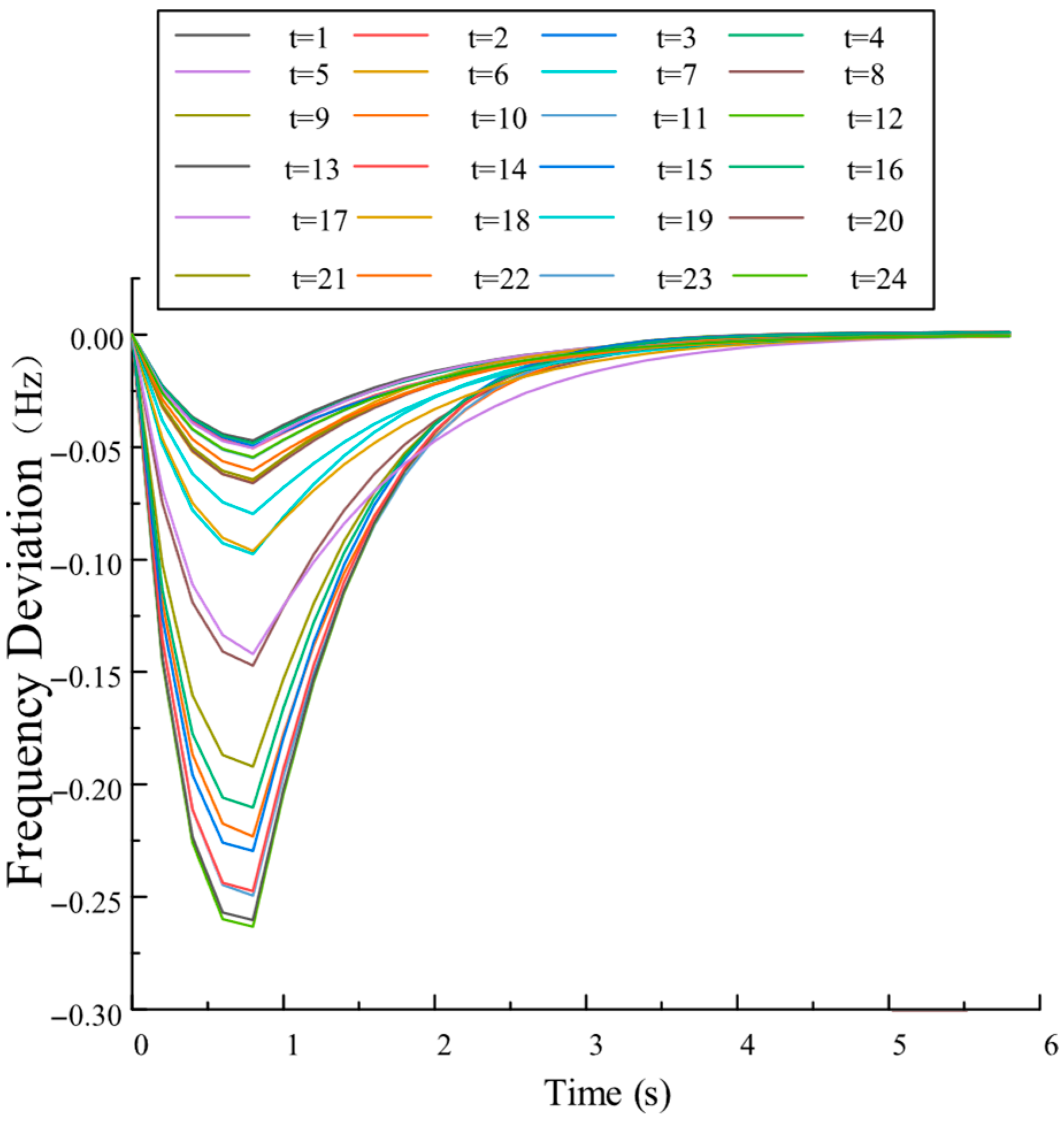
5.2.2. Frequency Performance Analysis


6. Conclusions
- (1)
- The proposed bi-level optimization model effectively balances frequency security and economic efficiency. By dynamically adjusting primary frequency regulation parameters for both EES and HES under various operating scenarios, it optimizes system configuration and reduces investment costs while maintaining frequency stability.
- (2)
- Compared to schemes using fixed regulation parameters, the optimized configuration improves both frequency safety and system cost-effectiveness. Particularly, the collaborative use of grid-forming EES and HES under optimized control ensures reliable operation while lowering capital expenditures.
- (3)
- Compared with single-source schemes using only EES or HES, the hybrid configuration significantly enhances frequency indicators, reduces the risk of frequency excursions, and improves both frequency stability and economic performance.
Author Contributions
Funding
Data Availability Statement
Conflicts of Interest
References
- Li, Z.; Xu, Y.; Wang, P.; Xiao, G. Restoration of Multi Energy Distribution Systems with Joint District Network Recon Figureuration by a Distributed Stochastic Programming Approach. IEEE Trans. Smart Grid 2023, 15, 2667–2680. [Google Scholar] [CrossRef]
- Saleem, M.I.; Saha, S.; Roy, T.K. A frequency stability assessment framework for renewable energy rich power grids. Sust. Energy Grids Netw. 2024, 38, 101380. [Google Scholar] [CrossRef]
- Qin, B.; Wang, M.; Zhang, G.; Zhang, Z. Impact of renewable energy penetration rate on power system frequency stability. Energy Rep. 2022, 8, 997–1003. [Google Scholar] [CrossRef]
- Xue, X.; Ai, X.; Fang, J.; Cui, S.; Jiang, Y.; Yao, W.; Chen, Z.; Wen, J. Real-time Schedule of Microgrid for Maximizing Battery Energy Storage Utilization. IEEE Trans. Sustain. Energy 2022, 13, 1356–1369. [Google Scholar] [CrossRef]
- Zhang, R.; Chen, Y.; Li, Z.; Jiang, T.; Li, X. Two-stage robust operation of electricity-gas-heat integrated multi-energy microgrids considerin g heterogeneous uncertainties. Appl. Energy 2024, 371, 123690. [Google Scholar] [CrossRef]
- Elsaied, M.M.; Abdel Hameed, W.H.; Hasanien, H.M. Frequency stabilization of a hybrid three-area power system equipped with energy storage units and renewable energy sources. IET Renew. Power Gen. 2022, 16, 3267–3286. [Google Scholar] [CrossRef]
- González-Inostroza, P.; Rahmann, C.; Álvarez, R.; Haas, J.; Nowak, W.; Rehtanz, C. The role of fast frequency response of energy storage systems and renewables for ensuring frequency stability in future low-inertia power systems. Sustainability 2021, 13, 5656. [Google Scholar] [CrossRef]
- Kerdphol, T.; Rahman, F.S.; Mitani, Y. Virtual inertia control application to enhance frequency stability of interconnected power systems with high renewable energy penetration. Energies 2018, 11, 981. [Google Scholar] [CrossRef]
- Shu, Y.; Tang, Y. Analysis and recommendations for the adaptableility of China’s power system security and stability relevant standards. CSEE J. Power Energy Syst. 2017, 3, 334–339. [Google Scholar] [CrossRef]
- Du, W.; Fu, Q.; Wang, H.F. Power System Small-Signal Angular Stability Affected by Virtual Synchronous Generators. IEEE Trans. Power Syst. 2019, 34, 3209–3219. [Google Scholar] [CrossRef]
- Wang, K.; Wang, C.; Yao, W.; Zhang, Z.; Liu, C.; Dong, X.; Yang, M.; Wang, Y. Embedding P2P transaction into demand response exchange: A cooperative demand response management framework for IES. Appl. Energy 2024, 367, 123319. [Google Scholar] [CrossRef]
- Liu, J.; Yang, D.; Yao, W.; Fang, R.; Zhao, H.; Wang, B. PV-Based Virtual Synchronous Generator with Variable Inertia to Enhance Power System Transient Stability Utilizing the Energy Storage System. Prot. Control Mod. Power Syst. 2017, 2, 1–8. [Google Scholar] [CrossRef]
- Aghdam, S.A.; Agamy, M. Virtual oscillator-based methods for grid-forming inverter control: A review. IET Renew. Power Gener. 2022, 16, 835–855. [Google Scholar] [CrossRef]
- Meng, X.; Liu, J.; Liu, Z. A generalized droop control for grid-supporting inverter based on comparison between traditional droop control and virtual synchronous generator control. IEEE Trans. Power Electron. 2018, 34, 5416–5438. [Google Scholar] [CrossRef]
- Shi, T.; Sun, J.; Han, X.; Tang, C. Research on adaptive optimal control strategy of virtual synchronous generator inertia and damping parameters. IET Power Electron. 2024, 17, 121–133. [Google Scholar] [CrossRef]
- Rathnayake, D.B. Control Design of Inverter-based Resources in Power Systems. Ph.D. Thesis, Monash University, Clayton, Australia, 2023. [Google Scholar]
- Dedeoglu, S.; Konstantopoulos, G.C.; Komurcugil, H. Current-Limiting Virtual Synchronous Control and Stability Analysis Considering DC-Link Dynamics Under Normal and Faulty Grid Conditions. IEEE J. Emerg. Sel. Top. Power Electron. 2022, 10, 2516–2527. [Google Scholar] [CrossRef]
- Magdy, G.; Shabib, G.; Elbaset, A.A.; Mitani, Y. Renewable power systems dynamic security using a new coordination of frequency control strategy based on virtual synchronous generator and digital frequency protection. Int. J. Electr. Power Energy Syst. 2019, 109, 351–368. [Google Scholar] [CrossRef]
- Li, D.; Zhu, Q.; Lin, S.; Bian, X.Y. A Self-Adaptive Inertia and Damping Combination Control of VSG to Support Frequency Stability. IEEE Trans. Energy Convers. 2017, 32, 397–398. [Google Scholar] [CrossRef]
- Zhang, X.; Mao, F.; Xu, H.; Liu, F.; Li, M. An optimal coordination control strategy of micro-grid inverter and energy storage based on variable virtual inertia and damping of vsg. Chin. J. Electr. Eng. 2017, 3, 25–33. [Google Scholar]
- Li, C.; Yang, Y.; Mijatovic, N.; Dragicevic, T. Frequency Stability Assessment of Grid-Forming VSG in Framework of MPME with Feedforward Decoupling Control Strategy. IEEE Trans. Ind. Electron. 2022, 69, 6903–6913. [Google Scholar] [CrossRef]
- Liu, C.; Chu, Z.; Duan, Z.; Zhang, Y. VSG-Based Adaptive Optimal Frequency Regulation for AC Microgrids With Nonlinear Dynamics. IEEE Trans. Autom. Sci. Eng. 2024, 22, 1471–1482. [Google Scholar] [CrossRef]
- Ge, L.; Zhang, B.; Huang, W.; Li, Y.; Hou, L.; Xiao, J.; Mao, Z.; Li, X. A review of hydrogen generation, storage, and applications in power system. J. Energy Storage 2024, 75, 109307. [Google Scholar] [CrossRef]
- Allahham, A.; Greenwood, D.; Patsios, C.; Walker, S.L.; Taylor, P. Primary frequency response from hydrogen-based bidirectional vector coupling storage: Modelling and demonstration using power-hardware-in-the-loop simulation. Front. Energy Res. 2023, 11, 1217070. [Google Scholar] [CrossRef]
- Jeong, Y.; Kim, G.; Lee, J.; Han, S. Hydrogen-Based Solutions for Enhancing Frequency Stability in Renewable Energy-Integrated Power Systems. Energies 2025, 18, 1562. [Google Scholar] [CrossRef]
- Li, J.; Hu, J.; Xin, D. Cooperative control of hydrogen-energy storage microgrid system based on disturbance-rejection model predictive control. J. Energy Storage 2025, 118, 116242. [Google Scholar] [CrossRef]
- Lee, G.-H.; Kim, Y.-J. Frequency Regulation of an Islanded Microgrid Using Hydrogen Energy Storage Systems: A Data-Driven Control Approach. Energies 2022, 15, 8887. [Google Scholar] [CrossRef]
- Xu, C.; Zhao, D.; Liu, H.; Bai, J.; Du, Z.; Tao, R.; Liu, C. An ESS planning approach for new energy bases without on-site conventional unit support. CSEE J. Power Energy Syst. 2025, 1–14. Available online: https://ieeexplore.ieee.org/stamp/stamp.jsp?arnumber=10838250 (accessed on 15 June 2025).
- Liu, Y.; Chen, Y.; Xin, H.; Tu, J.; Zhang, L.; Song, M. System Strength Constrained Grid-Forming Energy Storage Planning in Renewable Power Systems. IEEE Trans. Sustain. Energy 2025, 16, 981–994. [Google Scholar] [CrossRef]











| Attribute | EES | HESS |
|---|---|---|
| Advantage | Strong frequency regulation capability; provides substantial inertia support; small land footprint. | Suitable for large-capacity storage; long service life. |
| Disadvantage | Frequent charging/discharging reduces battery life; high unit energy storage cost. | Large land footprint; relatively weak frequency regulation capability. |
| Parameter Name | Value | Parameter Name | Value |
|---|---|---|---|
| (Hz) | 0.1 | (Hz/s) | 1 |
| 70–140 | (Hz) | 0.5 | |
| 20 | 6% | ||
| 15–40 | (Hz) | 0.03 | |
| 2–14 | 0–4 | ||
| (s) | 0.2 | (Hz) | 50 |
| (s) | 0.3 | (s) | 0.3 |
| (USD/MW) | 120,000 | (USD/MW·h) | 100,000 |
| (USD/MW) | 120 | (year) | 10 |
| (USD/MW) | 52,100 | (USD/MW·h) | 72,000 |
| (USD/MW) | 55,500 | (USD/MW) | 120 |
| (USD/MW·h) | 100 | (USD/MW·h) | 100 |
| (USD/MW·h) | 45 | (USD/MW) | 50 |
| Index | Scheme 1 | Scheme 2 | Scheme 3 | Scheme 4 | ||||
|---|---|---|---|---|---|---|---|---|
| Configuration Result | Daily Cost (USD) | Configuration Result | Daily Cost (USD) | Configuration Result | Daily Cost (USD) | Configuration Result | Daily Cost (USD) | |
| EES Power | 524.68 MW | 60,298.18 | 1040.86 MW | 133,432.41 | -- | -- | 513.65 MW | 46,328.68 |
| EES Capacity | 862.37 MW·h | 2108.97 MW·h | -- | 802.34 MW·h | ||||
| Electrolyzer | 706.04 MW | 11,837.18 | -- | -- | 1642.59 MW | 27,392.11 | 689.47 MW | 10,328.35 |
| Hydrogen Storage Tank | 1498.91 MW·h | 2695.32 | -- | -- | 2304.41 MW·h | 42,583.51 | 1456.00 MW·h | 24,598.79 |
| Hydrogen Fuel Cell | 987.09 MW | 22,369.34 | -- | -- | 2492.83 MW | 56,489.04 | 946.00 MW | 21,436.97 |
Disclaimer/Publisher’s Note: The statements, opinions and data contained in all publications are solely those of the individual author(s) and contributor(s) and not of MDPI and/or the editor(s). MDPI and/or the editor(s) disclaim responsibility for any injury to people or property resulting from any ideas, methods, instructions or products referred to in the content. |
© 2025 by the authors. Licensee MDPI, Basel, Switzerland. This article is an open access article distributed under the terms and conditions of the Creative Commons Attribution (CC BY) license (https://creativecommons.org/licenses/by/4.0/).
Share and Cite
Huang, D.; Sun, P.; Yao, W.; Liu, C.; Zhai, H.; Gao, Y. Bi-Level Planning of Grid-Forming Energy Storage–Hydrogen Storage System Considering Inertia Response and Frequency Parameter Optimization. Energies 2025, 18, 3915. https://doi.org/10.3390/en18153915
Huang D, Sun P, Yao W, Liu C, Zhai H, Gao Y. Bi-Level Planning of Grid-Forming Energy Storage–Hydrogen Storage System Considering Inertia Response and Frequency Parameter Optimization. Energies. 2025; 18(15):3915. https://doi.org/10.3390/en18153915
Chicago/Turabian StyleHuang, Dongqi, Pengwei Sun, Wenfeng Yao, Chang Liu, Hefeng Zhai, and Yehao Gao. 2025. "Bi-Level Planning of Grid-Forming Energy Storage–Hydrogen Storage System Considering Inertia Response and Frequency Parameter Optimization" Energies 18, no. 15: 3915. https://doi.org/10.3390/en18153915
APA StyleHuang, D., Sun, P., Yao, W., Liu, C., Zhai, H., & Gao, Y. (2025). Bi-Level Planning of Grid-Forming Energy Storage–Hydrogen Storage System Considering Inertia Response and Frequency Parameter Optimization. Energies, 18(15), 3915. https://doi.org/10.3390/en18153915

