Research on an Algorithm of Power System Node Importance Assessment Based on Topology–Parameter Co-Analysis
Abstract
1. Introduction
2. Local Link Similarity Algorithm (LLS)
2.1. Node Similarity
2.1.1. Jaccard Index
2.1.2. Salton Index
2.1.3. Sørensen Index
2.1.4. Hub Promoted Index (HPI)
2.1.5. Hub Depressed Index (HDI)
2.2. Local Link Similarity
2.3. Electrical Parameter
2.3.1. Node Power Flow
2.3.2. Electrical Coupling Connectivity
3. Electrical Local Link Similarity Algorithm (ELLS)
3.1. ILLS
3.2. ELLS
- Power flow W,
- Electrical coupling connectivity De,
- The product of both (W·DeW·De).
3.3. Evaluation Metrics for Algorithms
4. Case Study
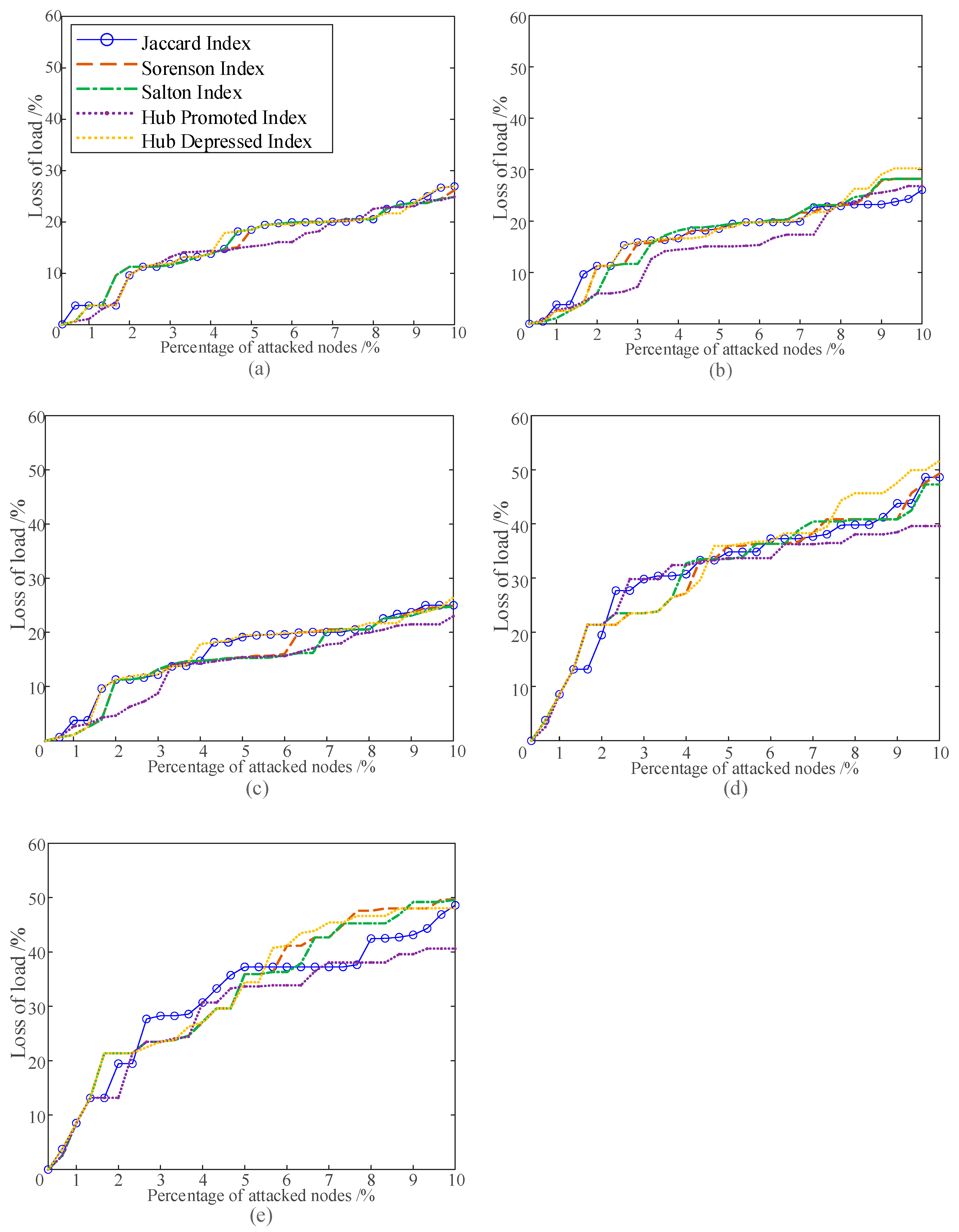
4.1. Comparative Analysis of Algorithms Using Different Metrics
- Algorithms using the HDI yield the largest loss of load size when the top 10% of nodes are attacked.
- The Jaccard index consistently achieves the best performance in evaluating the top 1% critical nodes.
- For nodes beyond the top 1%, the performance differences among the Jaccard, Salton, Sørensen, and HDI indices are negligible.
- The HPI generally underperforms, except for a segment between 2% and 5% in Figure 4d.
4.2. Comparative Analysis of Algorithms with Different Improvements
- ELLS with W and ELLS with W·De demonstrate significant improvements over classical algorithms, while improved algorithms and ELLS with De show only marginal gains.
- It can be seen from the two lines of ELLS with W and ELLS with W·De in Figure 5 that there is a demarcation point at about 5%. ELLS with W achieves optimal performance in evaluating the top 5% critical nodes, whereas ELLS with W·De excels in assessing nodes ranked 5–10% in importance.
4.3. Comparative Analysis of the Proposed Algorithm and Classical Algorithms
5. Conclusions
- The Jaccard index-based algorithm achieves optimal performance in evaluating the top 1% critical nodes, highlighting its reliability in assessing topological redundancy.
- The electrically augmented ELLS algorithms (e.g., ELLS with W and ELLS with W·De) significantly outperform traditional topology-only methods. Specifically, ELLS with W exhibits the highest accuracy for the top 5% nodes, while ELLS with W·De excels in evaluating nodes ranked 5–10%.
- Compared to classical methods such as electrical betweenness and HITS, the proposed hybrid strategy (combining W and W·De) demonstrates comprehensive superiority in global node importance ranking. The loss-of-load-size curves further validate its effectiveness in cascading failure prevention.
- As shown in Figure 6, the top 10% of nodes identified by our method demonstrate superior loss-of-load metrics compared to the electrical betweenness (EB) algorithm. This indicates that our approach more accurately assesses critical nodes in power systems than EB. Furthermore, excluding the top 7 most critical nodes, our method outperforms the HITS algorithm in evaluating significant nodes, as evidenced by its improved loss-of-load-metrics performance across the remaining top 10%.
Author Contributions
Funding
Data Availability Statement
Conflicts of Interest
Abbreviations
| LLS | Local Link Similarity Algorithm |
| ILLS | Improved Local Link Similarity Algorithm |
| ELLS | Electrical Local Link Similarity Algorithm |
References
- Sun, H.; Xu, T.; Guo, Q.; Li, Y.; Lin, W.; Yi, J.; Li, W. Analysis on blackout in Great Britain power grid on August 9th, 2019 and its enlightenment to power grid in China. Proc. CSEE 2019, 39, 6183–6192. [Google Scholar]
- Wang, W.; Lin, W.; He, G.; Shi, W.; Feng, S. Enlightenment of 2021 Texas blackout to the renewable energy development in China. Proc. CSEE 2021, 41, 4033–4043. [Google Scholar]
- Chen, S.; Liang, S.; Li, S.; Zhou, Y.; Yu, X. Power grid vulnerability evaluation based on electrical centrality indicators. Distrib. Util. 2021, 38, 70–76. [Google Scholar]
- Li, Q.; Li, T.; Lin, D. Planning method of measurement terminals in active distribution networks based on node vulnerability. Distrib. Util. 2021, 38, 35–40. [Google Scholar]
- Feng, H.; Li, H.; Wang, Y. Comprehensive Vulnerability Assessment Method for Nodes Considering Anti-interference Ability and Influence. Proc. CSU-EPSA 2017, 29, 91–96. [Google Scholar]
- Albert, R.; Albert, I.; Nakarado, G.I. Structural vulnerability of the North American power grid. Phys. Rev. E 2004, 69, 025103. [Google Scholar] [CrossRef] [PubMed]
- Dai, J.; Wang, W. Importance Evaluation of Complex Power Network Nodes Based on TOPSIS. J. Univ. South China (Sci. Technol.) 2022, 36, 94–100. [Google Scholar]
- Wang, K.; Zhang, B.; Zhang, Z.; Yin, X.; Wang, B. An electrical betweenness approach for vulnerability assessment of power grids considering the capacity of generators and load. Phys. A Stat. Mech. Appl. 2011, 390, 4692–4701. [Google Scholar] [CrossRef]
- Liu, H.; Niu, J.; Liu, B.; Zhang, S. Research on identification method of critical node and countermeasures inlarge scale interconnected power grids. J. Electr. Power Sci. Technol. 2020, 35, 115–121. [Google Scholar]
- Geng, J.; Sun, X.; Song, H.; Qu, Y. Important node evaluation algorithm for electrical power systeminspired by internet thinking. J. Natl. Univ. Def. Technol. 2023, 45, 211–218. [Google Scholar]
- Zhu, G.; Wang, X.; He, R.; Tian, M.; Dai, D.; Zhang, Q. Identification of Vital Node in Power Grid Based on Importance Evaluation Matrix. High Volt. 2016, 42, 3347–3353. [Google Scholar]
- Guo, L.; Liu, Y.; Lin, S.; Liu, Y.; Zhang, M.; Hu, J. Distribution grid evaluation system and control strategy based on power supply reliability. Electr. Eng. 2023, 11, 79–82+87. [Google Scholar]
- Ruan, Y.; Lao, S.; Wang, J. Node importance measurement based on neighborhood similarity in complex network. Acta Phys. Sin. 2017, 66, 038902. [Google Scholar] [CrossRef]
- Zhou, T.; Lv, L.; Zhang, Y.-C. Predicting missing links via local information. Eur. Phys. J. B 2009, 71, 623–630. [Google Scholar] [CrossRef]
- Hua, H.E.; Jun, L.; Yanan, S.; Fan, C.; Ganyun, L.; Xiaolian, Z. Heuristic Method Island Partition of Distribution Network Based on Node Electrical Coupling Connectivity. Electrotech. Electric. 2017, 10, 7–11. [Google Scholar]
- Sheng, J.; Dai, J.; Wang, B.; Duan, G.; Long, J.; Zhang, J.; Guan, K.; Hu, S.; Chen, L.; Guan, W. Identifying influential nodes in complex networks based on global and local structure. Physical A 2020, 541, 123262. [Google Scholar] [CrossRef]






| Classical Algorithm | Proposed Algorithm |
|---|---|
| 1. Select the Jaccard index as the node similarity index. | 1. Comparing a variety of node similarity indexes, from which the best performance is selected. |
| 2. Evaluation of node importance only from the perspective of topology. | 2. Considering both the network topology and different electrical parameters and selecting the better one. |
| Loss of Load Size | Jaccard | Sorenson | Salton | HPI | HDI |
|---|---|---|---|---|---|
| Classical algorithm | 26.933 | 26.205 | 24.853 | 24.912 | 26.933 |
| Improved algorithm | 25.007 | 24.904 | 24.739 | 23.011 | 26.463 |
| Electrical algorithm with W | 48.617 | 49.308 | 47.288 | 39.596 | 51.646 |
| Electrical algorithm with De | 26.052 | 28.206 | 28.206 | 26.805 | 30.247 |
| Electrical algorithm with W and De | 48.603 | 49.626 | 49.626 | 40.618 | 48.054 |
| Loss of Load Size | Classical | Improved | With W | With De | With W and De |
|---|---|---|---|---|---|
| Jaccard | 26.933 | 25.007 | 48.617 | 26.052 | 48.603 |
| Sorenson | 26.205 | 24.904 | 49.308 | 28.206 | 49.626 |
| Salton | 24.853 | 24.739 | 47.288 | 28.206 | 49.626 |
| HPI | 24.912 | 23.011 | 39.596 | 26.805 | 40.618 |
| HDI | 26.933 | 26.463 | 51.646 | 30.247 | 48.054 |
Disclaimer/Publisher’s Note: The statements, opinions and data contained in all publications are solely those of the individual author(s) and contributor(s) and not of MDPI and/or the editor(s). MDPI and/or the editor(s) disclaim responsibility for any injury to people or property resulting from any ideas, methods, instructions or products referred to in the content. |
© 2025 by the authors. Licensee MDPI, Basel, Switzerland. This article is an open access article distributed under the terms and conditions of the Creative Commons Attribution (CC BY) license (https://creativecommons.org/licenses/by/4.0/).
Share and Cite
Sun, G.; Sun, X.; Geng, J.; Han, G. Research on an Algorithm of Power System Node Importance Assessment Based on Topology–Parameter Co-Analysis. Energies 2025, 18, 3778. https://doi.org/10.3390/en18143778
Sun G, Sun X, Geng J, Han G. Research on an Algorithm of Power System Node Importance Assessment Based on Topology–Parameter Co-Analysis. Energies. 2025; 18(14):3778. https://doi.org/10.3390/en18143778
Chicago/Turabian StyleSun, Guowei, Xianming Sun, Junqi Geng, and Guangyang Han. 2025. "Research on an Algorithm of Power System Node Importance Assessment Based on Topology–Parameter Co-Analysis" Energies 18, no. 14: 3778. https://doi.org/10.3390/en18143778
APA StyleSun, G., Sun, X., Geng, J., & Han, G. (2025). Research on an Algorithm of Power System Node Importance Assessment Based on Topology–Parameter Co-Analysis. Energies, 18(14), 3778. https://doi.org/10.3390/en18143778
