Next Article in Journal
From Fossil Dependence on Sustainability: The Effects of Energy Transition, Green Growth, and Financial Inclusion on Environmental Degradation in the MENA Region
Previous Article in Journal
GCT–CET Integrated Flexible Load Control Method for IES
 
 
Font Type:
Arial Georgia Verdana
Font Size:
Aa Aa Aa
Line Spacing:
Column Width:
Background:
Article

A Simulation Model for the Transient Characteristics of No-Insulation Superconducting Coils Based on T–A Formulation

1
School of Electrical Engineering and Automation, Harbin Institute of Technology, Harbin 150001, China
2
Shaanxi Aviation Electrical Co., Ltd., Xi’an 710065, China
*
Author to whom correspondence should be addressed.
Energies 2025, 18(14), 3669; https://doi.org/10.3390/en18143669
Submission received: 29 May 2025 / Revised: 28 June 2025 / Accepted: 5 July 2025 / Published: 11 July 2025
(This article belongs to the Section F: Electrical Engineering)

Abstract

The no-insulation (NI) technique improves the stability and defect-tolerance of high-temperature superconducting (HTS) coils by enabling current redistribution, thereby reducing the risk of quenching. NI–HTS coils are widely applied in DC systems such as high-field magnets and superconducting field coils for electric machines. However, the presence of turn-to-turn contact resistance makes current distribution uneven, rendering traditional simulation methods unsuitable. To address this, a finite element method (FEM) based on the T–A formulation is proposed. This model solves coupled equations for the magnetic vector potential (A) and current vector potential (T), incorporating turn-to-turn contact resistance and anisotropic conductivity. The thin-strip approximation simplifies second-generation HTS materials as one-dimensional conductors, and a homogenization technique further reduces computational time by averaging the properties between turns, although it may limit the resolution of localized inter-turn effects. To verify the model’s accuracy, simulation results are compared against the H formulation, distributed circuit network (DCN) model, and experimental data. The proposed T–A model accurately reproduces key transient characteristics, including magnetic field evolution and radial current distribution, in both circular and racetrack NI coils. These results confirm the model’s potential as an efficient and reliable tool for transient electromagnetic analysis of NI–HTS coils.

1. Introduction

The NI technique was first applied to HTS coils by Hahn [1]. When an NI–HTS coil carries a transport current, if an internal defect or local hotspot occurs, the current can be redistributed through turn-to-turn paths, allowing current bypass the defect region. Furthermore, the NI technique can significantly reduce the risk of local overheating and provide a new technology for quench suppression. Consequently, NI–HTS coils exhibit superior thermal stability compared to conventional insulated coils [2,3,4]. Moreover, by removing insulation, the engineering current density within NI–HTS coils can be increased, making them suitable for more compact designs in high-field applications [5,6]. Due to these advantages, many research projects have been conducted to explore the electromagnetic properties of NI–HTS coils. For instance, Hahn et al. [7] demonstrated the self-protecting behavior of NI–HTS coils during overcurrent events in high-field NMR magnets; Wang et al. [8] investigated the transient electromagnetic and thermal responses of NI pancake coils under sudden discharge and overcurrent using an equivalent circuit approach; and Bong et al. [9] numerically investigated how turn-to-turn contact resistivity affects the steady-state characteristics of NI-HTS field coils in synchronous motors, including leakage current, torque, and power loss. In particular, application of the NI technique to the field coils of HTS rotating machines [10,11,12] can enhance the reliability of superconducting coils by offering this intrinsic protection mechanism.
However, accurately simulating the transient characteristics of NI–HTS coils still remains a significant challenge. The main difficulties arise from the highly nonlinear E–J characteristics of second-generation HTS materials and the small aspect ratio of coated conductors (i.e., when tape thickness is much smaller than tape width). Furthermore, the presence of turn-to-turn currents due to the lack of insulation introduces additional complexities in electromagnetic modeling, because it requires simultaneously resolving both azimuthal and radial current paths, accounting for the nonlinear and anisotropic resistivity, and tracking dynamically varying current distributions across the turns. These factors significantly increase the computational complexity in electromagnetic simulations of NI–HTS coils. Currently, the electromagnetic behavior of NI–HTS coils is mainly analyzed using DCN models [13,14] or the H formulation finite element model [15,16]. However, each modeling approach has its own advantages and limitations. The DCN model enables fast simulation and is suitable for capturing the global electromagnetic behavior of NI–HTS coils, especially in large-scale systems. However, it cannot resolve the spatial distribution of current inside superconducting tapes, and it relies on simplified equivalent parameters that may not fully reflect transient local effects. In contrast, the H formulation finite element model offers much higher spatial resolution by directly solving the nonlinear E–J characteristics within superconducting domains. This enables accurate modeling of local electromagnetic phenomena, such as AC loss distributions and field penetration. To further improve its capability for modeling NI coils, Mataira et al. [17] introduced a rotated anisotropic resistivity tensor into the H formulation, implemented in COMSOL 5.4, which allows simultaneous resolution of both azimuthal and radial current components in REBCO tapes. Their model successfully reproduced experimental results from sudden discharge tests and captured current redistribution, shielding effects, and remnant magnetization, which are difficult to resolve with circuit-based models. However, despite these improvements, the H formulation remains computationally expensive due to the need for fine mesh and small time steps, and it is difficult to scale to large or multiphysics systems. Therefore, to achieve a better balance between modeling accuracy and computational efficiency, we adopt the T–A formulation in this work. By introducing the thin-strip approximation, the T–A method significantly reduces simulation complexity while preserving sufficient accuracy in modeling transient electromagnetic behavior in NI–HTS coils. Moreover, its compatibility with commercial finite element software makes it highly suitable for practical engineering analysis.
In order to overcome the high computational cost and limited scalability of the H formulation, we adopt the T–A formulation for modeling NI–HTS coils in this study. The T–A formulation was first introduced by Zhang et al. [18] to address the three-dimensional current distribution in 2G HTS materials. Compared to the H formulation, the T–A formulation can offer comparable accuracy and significantly improved computational efficiency in cases where the thin strip approximation is valid. However, it is not as generalizable as the H formulation and may not be suitable for modeling all types of electromagnetic phenomena [19]. A comprehensive review by Huber et al. [20] summarized the evolution, implementation, and application of the T–A formulation, highlighting its effectiveness in modeling large-scale HTS systems with reduced computational cost. To further enhance computational performance, we introduce a homogenization approach, in which a continuous anisotropic bulk domain replaces discretely stacked superconducting tapes. This approach maintains the electromagnetic properties of the system while substantially reducing computational complexity, thereby improving simulation efficiency.
Although the T–A formulation has become a widely used finite element method for modeling insulated HTS coils, its application to no-insulation (NI) coils remains limited. This is because traditional FEM approaches rely on the assumption that the azimuthal current in each turn is either predefined or can be directly derived from a known transport current. However, in NI coils, the existence of radial currents and turn-to-turn contact resistance results in an unknown and dynamically evolving current distribution, which breaks this assumption. Therefore, conventional FEM methods cannot impose appropriate current boundary conditions on a per-turn basis, making them difficult to apply directly to NI coils. To overcome these limitations, this study develops a two-dimensional (2D) electromagnetic finite element model based on the T–A formulation for NI–HTS coil modeling. This method first calculates turn current distribution based on electric field intensity and turn length, and then the currents are applied to the simulation of both circular pancake coils and racetrack coils. To validate the accuracy of the proposed model, we conducted comprehensive comparisons with the H formulation model, the DCN model, and experimental data for both pancake and racetrack NI coils. Specifically, the model’s predictions of central magnetic field, average spiral current, and average radial current under charge and sudden discharge conditions were compared with experimental measurements obtained via inverse calculation. Here, the term spiral current refers to the averaged azimuthal current flowing along the winding direction of the NI coil, which contributes to the magnetic field at the coil center. The results show strong agreement in all cases. Additionally, the spatial distributions of radial current at different coil turns and magnetic flux density were also validated against H formulation outputs, confirming the proposed model’s capability to capture key electromagnetic phenomena in NI coils.
The structure of this paper is organized as follows. Section 2 presents the governing equations and simplification techniques of the T–A formulation, including the treatment of radial currents for modeling NI–HTS coils. Section 3 validates the proposed model through comparative simulations and experiments conducted on both pancake and racetrack NI coils. Finally, Section 4 concludes the paper by summarizing the main findings and discussing future research directions.
To address the limitations of existing FEM-based models for NI–HTS coils, this study proposes a novel T–A formulation-based finite element model that explicitly incorporates turn-to-turn contact resistance and radial current paths. Unlike previous T–A implementations mainly focused on insulated coils or simplified geometries, the proposed model is tailored for transient analysis of NI coils with consideration of contact resistivity and radial current distribution. Furthermore, the model is validated through experimental results and benchmarked H-formulation and DCN models, demonstrating its accuracy and computational efficiency. This work represents the first comprehensive application of the T–A formulation to both circular and racetrack NI–HTS coils, making it a practical and scalable tool for analyzing complex transient behaviors in the application of superconducting coils.

2. Model Description

The simulation model based on the T–A formulation has several advantages: it can simulate complex geometries in commercial finite element software such as COMSOL with high flexibility and efficiency; it allows convenient boundary condition settings based on specific requirements; and by neglecting the thickness of high-temperature superconductors, it effectively reduces the number of mesh elements, leading to faster computation while maintaining relatively high accuracy.

2.1. Governing Equations of the T–A Formulation

The governing equations of the T–A formulation consist of the T formulation and the A formulation. The superconducting region is modeled using the T formulation, while the non-superconducting region is modeled using the A formulation.
The state variable in the superconducting region is the T, and the corresponding governing equation is expressed as Equation (5). As shown in [21], Under the quasi-static assumption, the microscopic form of the continuity equation states that the J satisfies
J = ρ t ,
where ρ is the charge density. Under the steady-state condition, the charge density variation is zero, thus J = 0 .
According to the vector identity × T 0 , the current vector potential T is defined as J = × T [18]. From Ohm’s law [21], the electric field in the superconducting region is given by E = ρ s c J . Applying Faraday’s law in differential form [21],
× E = B t ,
we obtain the governing equation for the T Formulation (5). Here, ρSC represents the resistivity of the superconducting region, which is expressed using the E–J power law as follows [22]:
ρ s c = E c J c ( B ) J J c ( B ) n 1 .
In the above formulation, the critical current density Jc(B) is magnetic field-dependent and determines the nonlinear behavior of the superconducting region. To account for the anisotropic nature of REBCO tapes under various magnetic field components, a modified version of Kim’s model is adopted [23], which expresses Jc(B) as
J c ( B ) = J c 0 1 + k 2 B 2 + B 2 B 0 α ,
where B and B are the components of the magnetic flux density parallel and perpendicular to the tape surface, respectively. The parameters Jc0, B0, k, and α are fitted to characterize the material’s anisotropic field response.
Substituting the electric field expression into (2) for the T formulation, we have
× ρ s c × T = B t
This completes the formulation for the superconducting region.
To solve for the magnetic field in the entire spatial domain, the state variable to be determined is A, and the corresponding governing Equation (6) is referred to as the A formulation. Since the magnetic field satisfies B = 0 , the magnetic vector potential A is defined such that B = × A . Substituting B = × A into Ampère’s law in differential form × H = J (neglecting the displacement current), we obtain the governing equation for the A formulation [21]:
× 1 μ × A = J
To clarify the connection between the two formulations, it is important to note that the T and A formulations are coupled through the electromagnetic field quantities. In the superconducting region, the current density J is calculated as the curl of T, i.e., J = ∇ × T, and it serves as the source term in the A Formulation (6). Conversely, the electric field E used in the T formulation is obtained from the time derivative of the magnetic vector potential A, as E = A t , assuming Coulomb gauge and neglecting the scalar potential. This reciprocal relationship ensures self-consistency between the two fields and enables accurate simulation of eddy currents and field diffusion in the entire domain.

2.2. Model Assumptions and Simplifications

Traditionally, modeling stacked superconducting tapes requires consideration of complex geometric and physical effects, such as current distribution and magnetization. Due to the extremely high aspect ratio of second-generation HTS tapes, the T–A formulation assumes that the thickness of each superconducting tape is infinitely thin during computation, allowing a two-dimensional problem to be approximated as a one-dimensional model [17]. Under this thin-strip approximation, as shown in the simulation example of a 2D superconducting coil, the geometry representation of the coil corresponds to its cross-sectional view, while the superconducting tapes are treated as 1D lines, as illustrated in Figure 1.
Since the current flows only within the tape’s plane, the J is thus confined to this sheet-like region, i.e., the xz plane. Consequently, the current vector potential at any point in the superconducting tape is strictly perpendicular to the tape width and has only components along the y-axis or its opposite direction. In the superconducting tape, the T is expressed as
T = 0 T y 0 .
For the 2D racetrack coil simulation, assuming the tape is uniform and infinitely long, the J has components only along the z-axis or its opposite direction, yielding
J = 0 0 J z ,
as commonly assumed in 2D T–A models [20].
When a transport current is applied to the coil, Stokes’ theorem leads to (9). Since the T in the superconducting material has only a component in the y-direction, its line integral along the width boundary is zero, resulting in (10). As shown in Figure 1, the scalar quantities T1 and T2 represent the magnitudes of the current vector potential at the edges of the superconducting tape. During modeling, the transport current can be imposed by modifying T1 and T2, leading to [20]
I = J d S = × T d S = T d l
which simplifies to [20]
I = T 1 T 2 δ .
where δ represents the actual thickness of the HTS tape.

2.3. Radial Current Calculation

The traditional T–A formulation is designed for simulating insulated coils, in which the current flows through each turn is the same as the supplied current. When applied to NI coils, additional consideration must be given to radial currents, since the current flow at each turn is the difference between the supplied current and radial current. Radial currents typically arise in the presence of local defects or thermal disturbances in the HTS layer, where the local resistivity becomes significantly higher than that of the metallic stabilizer. When the magnetic field is steady (i.e., no external variation in field and current), the radial current tends to be negligible. Additionally, for clarity, we note that in our coordinate system, the radial direction is aligned with the y-axis, and thus Jr = Jy. A simplified schematic of the NI coil model is shown in Figure 2 (a racetrack NI coil is shown as an example).
The induced electric field intensity Ei is given by
E i = d A z d t .
Solving the T formulation allows the computation of the homogenized engineering electric field intensity Ep, expressed as
E p = ρ s c J δ Λ
where Λ is the thickness of the equivalent superconducting tape in the homogenized model.
From an equivalent circuit perspective, each pair of adjacent turns in the NI coil can be regarded as a closed loop, in which the voltage across two neighboring turns is physically the same along both the azimuthal and radial paths. This allows the modeling of radial current flow through the contact resistance as part of a parallel loop network. The radial current density Jr can thus be expressed as
J r = E p E i l t u r n Λ ρ c
where lturn represents the length per turn at a given position, and ρc denotes the contact resistivity between turns.
By integrating Jr over the cross-sectional area, the radial current Ir at a given position in the coil can be computed. The external transport current I is related to the supplied current Iz by I z = I I r .
To implement this in the model, a Dirichlet boundary condition is applied, setting T 1 = I z Λ and T 2 = 0 , ensuring that the radial current is properly accounted for in the T–A formulation method.

3. Model Validation

To verify the accuracy of the proposed model, finite element simulations for both circular pancake and racetrack NI superconducting coils are conducted based on COMSOL 6.2. The simulation results were compared with those of existing H formulation model, DCN model, and experimental data.
The H-formulation finite element model used for comparison is based on the method proposed by Mataira et al. [17]. In this approach, a 2D axisymmetric model is constructed to simulate circular pancake NI coils. The key innovation lies in the application of the rotated anisotropic resistivity matrix to account for both azimuthal and radial current paths through the coil. The local resistivity matrix, defined in a tape-aligned coordinate system, includes three components: the superconducting layer resistivity ρSC, the turn-to-turn contact resistivity ρn, and the axial resistivity ρz. These local values are then transformed to the global cylindrical coordinates using a rotation matrix defined by the pitch angle of the spiral winding.
The resulting global resistivity matrix includes off-diagonal components ρrφ, which explicitly couple radial and spiral current flows. The superconducting layer is modeled using a nonlinear power law E–J relationship with a field-dependent critical current density Jc(B, θ). To avoid directly imposing current constraints, the coil is modeled with an external current source through copper leads. This allows self-consistent evolution of radial and spiral current distributions without predefining turn currents. The model is implemented in COMSOL Multiphysics using the standard H formulation.
The DCN model used in this study is derived from our previous work [25], where the NI coil is represented as a distributed circuit network. Each turn of the coil is divided into 16 azimuthal elements. Each element includes the self-inductance Mmm, mutual inductances Mmk with all other elements, and the nonlinear superconducting resistance Rθm. Turn-to-turn current paths are modeled by contact resistances Rrm, which represent the radial resistive paths between adjacent turns. The contact resistance is determined by the contact resistivity and the contact surface area. In this network, spiral currents im flow along the spiral winding direction, while radial currents jm flow between adjacent layers. The reference direction for azimuthal current is counterclockwise, and that for radial current is from inner to outer turns.
The governing equations are constructed based on Kirchhoff’s current and voltage laws. Figure 3 provides a schematic representation of the DCN topology and current paths. Note that the diagram is for illustration purposes only; each turn in the figure appears to contain 8 elements, whereas the actual simulation model uses 16 elements per turn.
In addition to the simulation models, experimental tests were conducted to validate the electromagnetic behavior of the NI–HTS coils. During testing, the coil was fully immersed in a liquid nitrogen bath at 77 K. A DC current source was used to provide the excitation current, while the terminal voltage was monitored by Nanovoltmeter. A Hall probe and current sensor were employed to obtain the center magnetic field and the transport current, respectively, in real time. This setup enables accurate capture of the coil’s transient response under charge and sudden discharge conditions. A schematic diagram of the experimental setup for the racetrack NI coil is shown in Figure 4.

3.1. Circular Pancake NI Coils

In this section, simulations were conducted on a circular pancake NI superconducting coil consisting of 157 turns, which is wound with a 4 mm wide REBCO tape as presented in our previous work [25]. The transient responses including a sudden discharge and charge process obtained by the T–A formulation model were compared with those from the H formulation model and the DCN model.
In the H formulation model, the NI coil is simplified as a 2D axisymmetric geometry, while the resistivity matrix of a practical spiral winding is transformed to the model by applying a coordinate system rotation with a rotation matrix. The DCN model discretizes each turn of the coil into 16 elements, and each element is equivalent to a circuit consisting of superconducting resistance, inductance, and contact resistance variables. Further details on the DCN model can be found in our previous work [25]. Table 1 illustrates the parameters of the circular pancake NI coil for simulation.
The validation process consists of two key scenarios: a sudden discharge process and a charge process. During the sudden discharge process, the coil transport current rapidly decreases from 30 A to 0 A. In the charge process, the coil current increases from 0 A to 31 A within 3 s and remains at 31 A for a certain period for stabilization. The validation metrics include radial and spiral current, normalized central magnetic field, and magnetic field distribution within the superconducting coil.
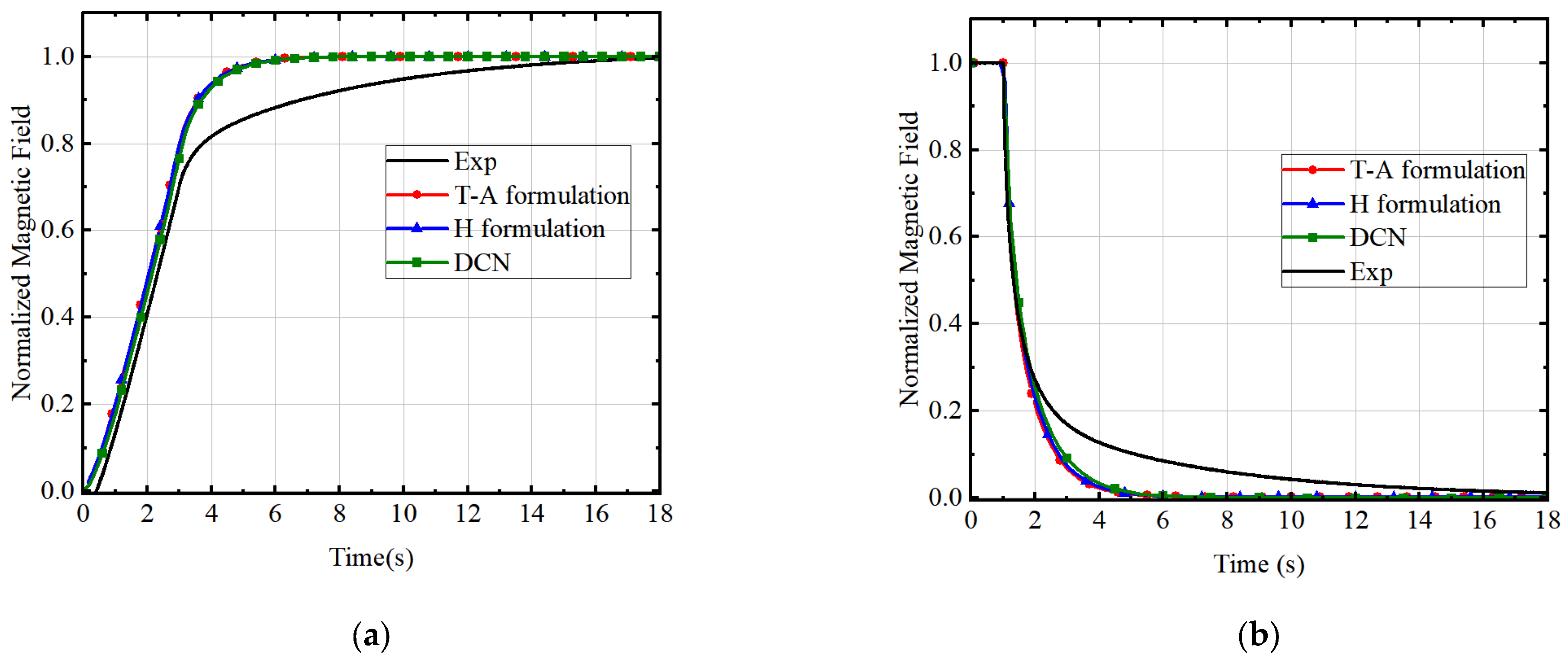
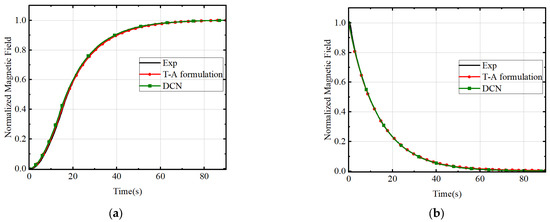
Figure 5 presents the time-dependent characteristics of the normalized central magnetic field of the circular pancake coil during the charge process and sudden discharge.
The results obtained from the T–A formulation model are compared with the H formulation model and the DCN model. The T–A model shows high consistency with the H formulation model and the DCN model, further verifying its accuracy.
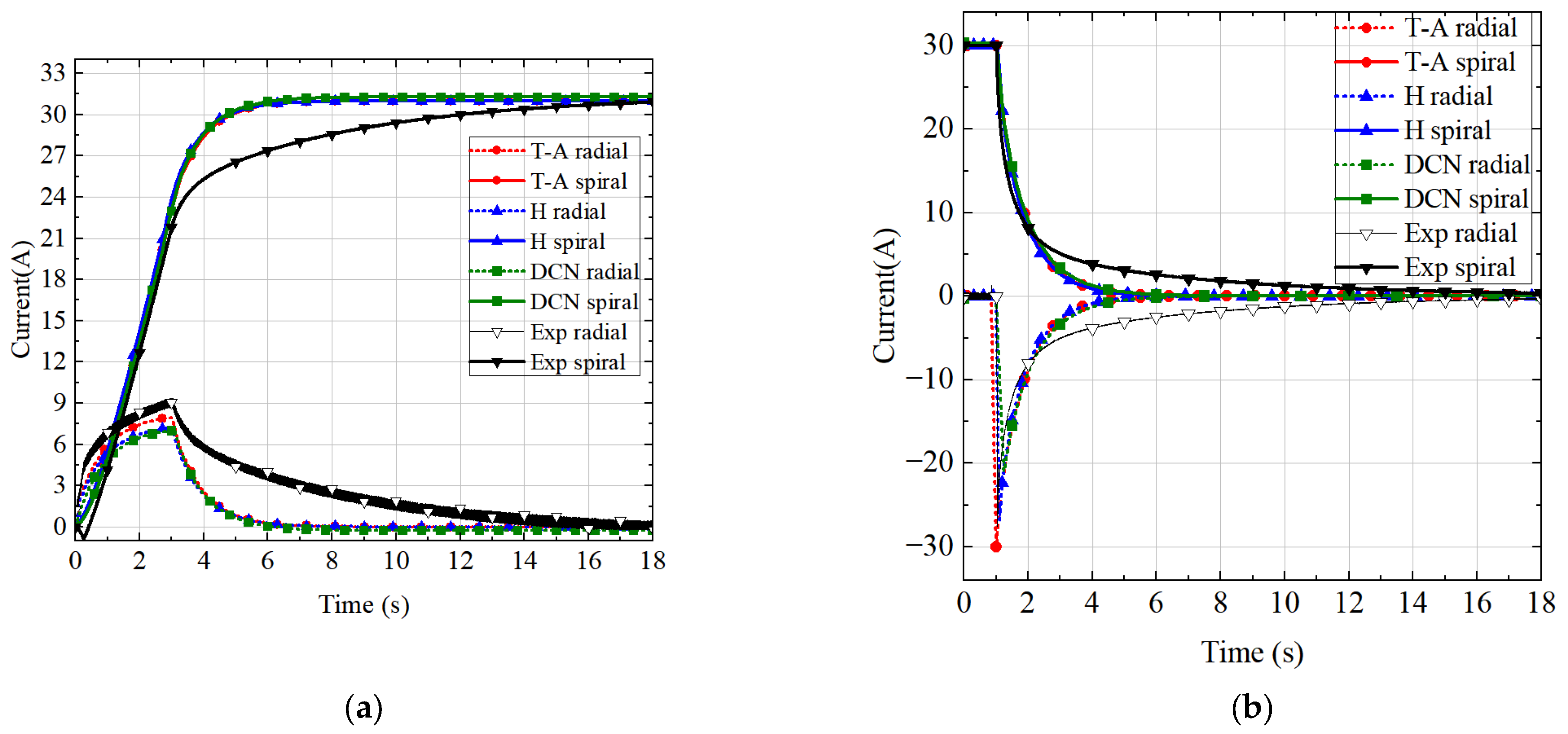
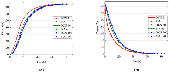
Figure 6 illustrates the evolution of the radial and spiral currents during the charge and sudden discharge processes, calculated using the T–A formulation model. The results are compared with the H formulation and DCN model. In the T–A formulation model, the calculated maximum radial current is slightly higher than that of H formulation model and the DCN model. All the results from the three models have the same trend with experimental results, but the absolute values are different, due to the inhomogeneous contact resistivity in the experiment coil [25]. Moreover, the computational efficiency was also compared during the charge simulation of the pancake coil. The T–A formulation model has more degrees of freedom, and it completed the simulation in 5 min and 30 s, while the H formulation model required 12 min and 17 s. Both simulations were performed using an AMD Ryzen 7 9700X processor (Advanced Micro Devices, Santa Clara, CA, USA), demonstrating the superior efficiency of the T–A formulation. The difference will be more notable when the number of turns and dimensions of the coils are larger.
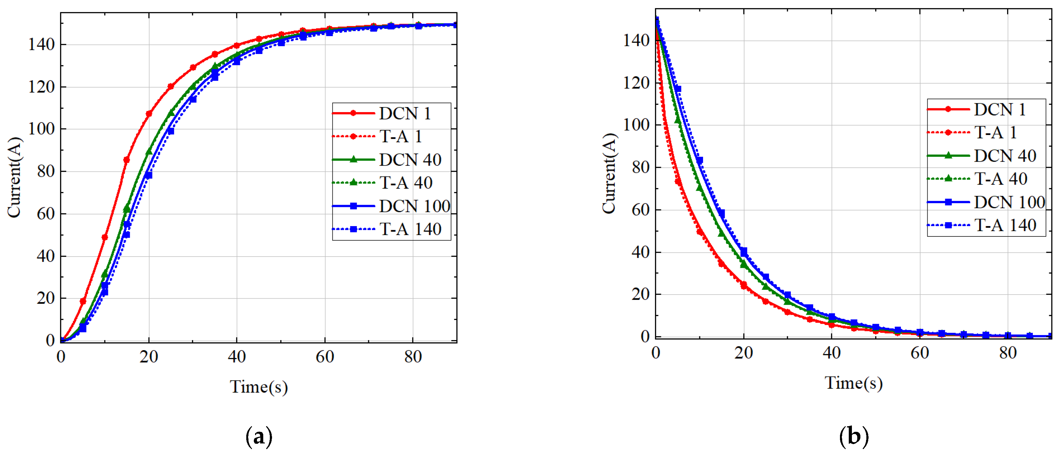
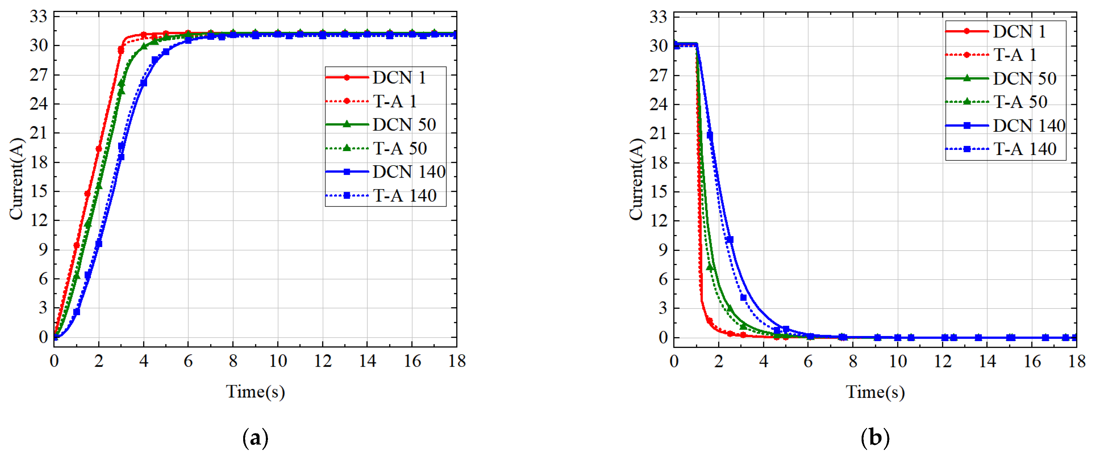
Furthermore, a comparison of average radial current for the 1st, 50th, and 140th turns of the T–A formulation model and the DCN model is illustrated in Figure 7.
The radial current at different turns calculated with T–A formulation is consistent with the DCN model. The comparative analysis confirms that the T–A formulation accurately describes the transient radial and spiral current variations in NI coils.
Figure 8 illustrates the evolution of the magnetic field distribution in the superconducting coils during the charging process. It can be observed that the magnetic flux density distribution calculated using the T–A formulation model is highly consistent with that of the H formulation model. Additionally, the results accurately capture the effects of non-uniform magnetic flux penetration and screening current effects, where the magnetic field first concentrates in the outer turns and gradually penetrates toward the inner region as charging progresses. This behavior is attributed to the turn-to-turn resistance and dynamic current redistribution in the NI coils.

3.2. Racetrack NI Coils

Then, we extended the model to the racetrack NI coils. Usually applied in motors and generators, racetrack superconducting NI coils are being more frequently used. Moreover, a test coil made from 2G HTS tape from Shanghai Superconductor company and with 115 turns was measured in liquid nitrogen for model validation. Figure 9 shows the test racetrack NI coil.
Table 2 shows the parameters of the racetrack NI coil for simulation. The experiments were conducted with two key processes: a sudden discharge process and charge process. During the charge process, the current ramps up from 0 A to 150 A at a rate of 10 A/s over 15 s, and the sudden discharge process is initiated when the coil reaches a steady-state current of 150 A.
The variation in the normalized central magnetic field in the racetrack NI coil during the charge and sudden discharge process is presented in Figure 10.
The results of the T–A formulation model are compared with experimental data and the DCN model. Both the T–A formulation model of the racetrack NI coil and DCN model agree well with experimental data.
Then, the average radial current and spiral current calculated from the T–A formulation are compared with the results from the DCN model and experiments, as shown in Figure 11. The results, which agree well with the experimental data, demonstrate the high accuracy of the proposed T–A method. Since we cannot directly measure the average radial and spiral current in the experiments, an inverse calculation methodology from our previous work [26] was employed to obtain both the average spiral and radial current from experiment data. In the experiment, the central magnetic field of the coil was recorded using a Hall sensor, with background noise subtracted from the measurement data. The computation assumes that only spiral current contributes to the magnetic field at the coil center. The relationship between the spiral current and the coil’s central magnetic field is approximately linear, expressed as
B z = γ i θ ,
where Bz represents the central magnetic field, and γ is the field constant of the NI coil when the current is below the critical current. As a result, the average spiral current can be calculated from the central magnetic field. Since the sum of the spiral and radial current is the supplied current, the average radial current can be obtained correspondingly.
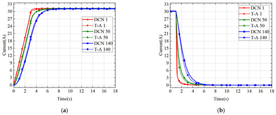
In addition, Figure 12 provides a comparison of average radial currents at the 1st, 40th, and 100th turns of the racetrack coil between the T–A formulation model and DCN model. Similar to the case of circular pancake NI coil, the proposed NI coil model based on the T–A formulation can provide the same radial current at different turns. Based on the simulation and experimental comparisons, we can conclude that the proposed model performs well in simulating the electromagnetic characteristics of NI coils.

4. Conclusions

This paper proposed a T–A formulation-based finite element model to simulate the transient electromagnetic behavior of NI–HTS coils. This model can be applied to both circular-shaped and racetrack-shaped pancake coils. To verify the effectiveness of the proposed method, this paper compares the results of the T–A model to the widely used H formulation model, DCN model, and experimental data. The good agreement demonstrates that the proposed method can accurately predict the electromagnetic response of transient current sharing evaluation in NI–HTS coils. In particular, the calculated spiral current and radial current as well as the magnetic field distribution trends are in good agreement with experimental data and the results from the H formulation model.
The slight discrepancy between the simulation and experimental results for the circular pancake NI–HTS coil is attributed to the non-uniform distribution of turn-to-turn contact resistivity in experiments, while we assumed uniform contact resistivity in the simulation model for simplification. As for the case of the racetrack NI coil, it showed more uniform contact resistivity and therefore better agreement between simulation and experiment results.
In summary, the proposed T–A formulation-based FEM modeling method provides a highly accurate and efficient alternative solution for simulating NI–HTS coils. This method can serve as a reliable tool for transient analysis of NI coil applications in high-field magnets, superconducting motors, and other HTS devices. Future research will extend the model to superconducting motors and further explore the AC loss mechanisms of NI coils under external magnetic fields.

Author Contributions

Data curation, Z.H. and Y.L.; formal analysis, Z.H.; project administration, Y.L. and M.Y.; resources, Y.L.; supervision, Y.L., J.O., C.Z., M.Y. and L.L.; visualization, Z.H.; writing—original draft, Z.H.; writing—review and editing, Y.L., C.Y., J.Y., J.O., C.Z., M.Y. and L.L. All authors have read and agreed to the published version of the manuscript.

Funding

This research was funded by the Aeronautical Science Foundation of China, grant number 20240040077002.

Data Availability Statement

The original contributions presented in the study are included in the article, further inquiries can be directed to the corresponding author.

Conflicts of Interest

Author Ming Yan was employed by the company Shaanxi Aviation Electrical Co., Ltd. The remaining authors declare that the research was conducted in the absence of any commercial or financial relationships that could be construed as a potential conflict of interest.

Abbreviations

The following abbreviations are used in this manuscript:
NINo-insulation
HTSHigh-temperature superconducting
FEMFinite element method
DCNDistribute circuit network

References

  1. Hahn, S.; Park, D.K.; Bascunan, J.; Iwasa, Y. HTS Pancake Coils Without Turn-to-Turn Insulation. IEEE Trans. Appl. Supercond. 2011, 21, 1592–1595. [Google Scholar] [CrossRef] [PubMed]
  2. Hahn, S.; Radcliff, K.; Kim, K.; Kim, S.; Hu, X.; Kim, K.; Abraimov, D.V.; Jaroszynski, J. ‘Defect-Irrelevant’ Behavior of a No-Insulation Pancake Coil Wound with REBCO Tapes Containing Multiple Defects. Supercond. Sci. Technol. 2016, 29, 105017. [Google Scholar] [CrossRef]
  3. Wang, Y.; Chan, W.K.; Schwartz, J. Self-Protection Mechanisms in No-Insulation (RE) Ba2Cu3Ox High Temperature Superconductor Pancake Coils. Supercond. Sci. Technol. 2016, 29, 045007. [Google Scholar] [CrossRef]
  4. Liu, D.; Zhang, W.; Yong, H.; Zhou, Y. Thermal Stability and Mechanical Behavior in No-Insulation High-Temperature Superconducting Pancake Coils. Supercond. Sci. Technol. 2018, 31, 085010. [Google Scholar] [CrossRef]
  5. Hartwig, Z.S.; Vieira, R.F.; Dunn, D.; Golfinopoulos, T.; LaBombard, B.; Lammi, C.J.; Michael, P.C.; Agabian, S.; Arsenault, D.; Barnett, R.; et al. The SPARC Toroidal Field Model Coil Program. IEEE Trans. Appl. Supercond. 2024, 34, 0600316. [Google Scholar] [CrossRef]
  6. Liu, J. World Record 32.35 Tesla Direct-Current Magnetic Field Generated with an All-Superconducting Magnet. Supercond. Sci. Technol. 2020, 33, 03LT01. [Google Scholar] [CrossRef]
  7. Hahn, S.; Park, D.K.; Voccio, J.; Bascunan, J.; Iwasa, Y. No-Insulation (NI) HTS Inserts for >1 GHz LTS/HTS NMR Magnets. IEEE Trans. Appl. Supercond. 2012, 22, 4302405. [Google Scholar] [CrossRef]
  8. Wang, T.; Noguchi, S.; Wang, X.; Arakawa, I.; Minami, K.; Monma, K.; Ishiyama, A.; Hahn, S.; Iwasa, Y. Analyses of Transient Behaviors of No-Insulation REBCO Pancake Coils During Sudden Discharging and Overcurrent. IEEE Trans. Appl. Supercond. 2015, 25, 4603409. [Google Scholar] [CrossRef]
  9. Bong, U.; Yoon, J.; Cha, J.; Kim, J.; Hahn, S. Effect of Contact Resistivity Difference on Steady-State Characteristics of Multi-Pole No-Insulation HTS Field Coils in Synchronous Motors. Supercond. Sci. Technol. 2025, 38, 045022. [Google Scholar] [CrossRef]
  10. Bong, U.; Balachandran, T.; Zhao, Y.; Haran, K.S. No-Insulation REBCO Field Winding Assembly for CRUISE Motor. IEEE Trans. Appl. Supercond. 2025, 35, 4600605. [Google Scholar] [CrossRef]
  11. Scheidler, J.; Tallerico, T. Methodology for Electromagnetic Optimization of a Partially Superconducting 1.4 MW Electric Machine for Electrified Aircraft Propulsion. IEEE Trans. Appl. Supercond. 2023, 33, 5202405. [Google Scholar] [CrossRef]
  12. Balachandran, T.; Salk, N.J.; Xiao, J.; Sirimanna, S.; Bong, U.; Zhao, Y.; Rautela, H.; Bauer, P.; Venkataraaman, R.; Santhanam, S.; et al. Advancements in Superconducting Electric Propulsion: Comparative Analysis and Progress Update of CHEETA and CRUISE Motors. IEEE Trans. Appl. Supercond. 2025, 35, 5203105. [Google Scholar] [CrossRef]
  13. Wang, Y.; Song, H.; Xu, D.; Li, Z.Y.; Jin, Z.; Hong, Z. An Equivalent Circuit Grid Model for No-Insulation HTS Pancake Coils. Supercond. Sci. Technol. 2015, 28, 045017. [Google Scholar] [CrossRef]
  14. Zhang, Y.; Tang, Y.; Xu, Y.; Xia, Z.; Ren, L. Numerical Simulation of a No-Insulation BSCCO Toroidal Magnet Applied in Magnetic Confinement Fusion. Sci. Technol. Nucl. Install. 2018, 2018, 2914036. [Google Scholar] [CrossRef]
  15. Shen, B.; Grilli, F.; Coombs, T. Review of the AC Loss Computation for HTS Using H Formulation. Supercond. Sci. Technol. 2020, 33, 033002. [Google Scholar] [CrossRef]
  16. Zhong, Z.; Wu, W.; Jin, Z. Fast and Accurate 3D FEM Model for Electromagnetic Simulations of No-Insulation HTS Coils Based on Polygon-Anisotropic-Resistivity. Supercond. Sci. Technol. 2024, 37, 09LT01. [Google Scholar] [CrossRef]
  17. Mataira, R.C.; Ainslie, M.D.; Badcock, R.A.; Bumby, C.W. Finite-Element Modelling of No-Insulation HTS Coils Using Rotated Anisotropic Resistivity. Supercond. Sci. Technol. 2020, 33, 08LT01. [Google Scholar] [CrossRef]
  18. Zhang, H.; Zhang, M.; Yuan, W. An Efficient 3D Finite Element Method Model Based on the T–A Formulation for Superconducting Coated Conductors. Supercond. Sci. Technol. 2017, 30, 024005. [Google Scholar] [CrossRef]
  19. Berrospe-Juarez, E.; Trillaud, F.; Zermeño, V.M.R.; Grilli, F. Advanced Electromagnetic Modeling of Large-Scale High-Temperature Superconductor Systems Based on H and T–A Formulations. Supercond. Sci. Technol. 2021, 34, 044002. [Google Scholar] [CrossRef]
  20. Huber, F.; Song, W.; Zhang, M.; Grilli, F. The T–A Formulation: An Efficient Approach to Model the Macroscopic Electromagnetic Behaviour of HTS Coated Conductor Applications. Supercond. Sci. Technol. 2022, 35, 043003. [Google Scholar] [CrossRef]
  21. Griffiths, D.J. Introduction to Electrodynamics, 5th ed.; Cambridge University Press: Cambridge, UK, 2023. [Google Scholar]
  22. Rhyner, J. Magnetic properties and AC-losses of superconductors with power law current–voltage characteristics. Physica C 1993, 212, 292–300. [Google Scholar] [CrossRef]
  23. Kim, Y.B.; Hempstead, C.F.; Strnad, A.R. Critical persistent currents in hard superconductors. Phys. Rev. Lett. 1962, 9, 306. [Google Scholar] [CrossRef]
  24. Berrospe-Juarez, E.; Zermeño, V.M.R.; Trillaud, F.; Grilli, F. Real-Time Simulation of Large-Scale HTS Systems: Multi-Scale and Homogeneous Models Using the T–A Formulation. Supercond. Sci. Technol. 2019, 32, 065003. [Google Scholar] [CrossRef]
  25. Liu, Y.; Ou, J.; Gyuraki, R.; Schreiner, F.; De Sousa, W.T.B.; Noe, M.; Grilli, F. Study of Contact Resistivity of a No-Insulation Superconducting Coil. Supercond. Sci. Technol. 2021, 34, 035009. [Google Scholar] [CrossRef]
  26. Liu, Y.; Li, L.; Lin, J.; Ou, J.; Liu, Y.; Wang, J.; Grilli, F. An Inverse Study of Transient Response of a No-Insulation Coil with AC Currents Based on Simplified Equivalent Circuit Models. In Proceedings of the 2024 IEEE 7th International Electrical and Energy Conference (CIEEC), Harbin, China, 10–12 May 2024; IEEE: Harbin, China, 2024; pp. 3014–3020. [Google Scholar]
Figure 1. Thin-strip approximation and solution domain [24].
Figure 1. Thin-strip approximation and solution domain [24].
Energies 18 03669 g001
Figure 2. Simplification of the T–A formulation-based NI coil model.
Figure 2. Simplification of the T–A formulation-based NI coil model.
Energies 18 03669 g002
Figure 3. DCN model of an NI coil.
Figure 3. DCN model of an NI coil.
Energies 18 03669 g003
Figure 4. Experimental setup for the racetrack NI–HTS coil.
Figure 4. Experimental setup for the racetrack NI–HTS coil.
Energies 18 03669 g004
Figure 5. Normalized central magnetic field in the circular pancake coil as a function of time: (a) charge process, and (b) sudden discharge process [25].
Figure 5. Normalized central magnetic field in the circular pancake coil as a function of time: (a) charge process, and (b) sudden discharge process [25].
Energies 18 03669 g005
Figure 6. Average radial and spiral current evolution in the circular pancake coil: (a) charge process, and (b) sudden discharge process [25].
Figure 6. Average radial and spiral current evolution in the circular pancake coil: (a) charge process, and (b) sudden discharge process [25].
Energies 18 03669 g006
Figure 7. Comparison of radial current at different turns in circular pancake NI coils: (a) charge process, and (b) sudden discharge process [25].
Figure 7. Comparison of radial current at different turns in circular pancake NI coils: (a) charge process, and (b) sudden discharge process [25].
Energies 18 03669 g007
Figure 8. Comparison of the magnitude of magnetic flux density (|B|) distribution in circular pancake NI coils during the charge process.
Figure 8. Comparison of the magnitude of magnetic flux density (|B|) distribution in circular pancake NI coils during the charge process.
Energies 18 03669 g008
Figure 9. View of the test racetrack NI coil.
Figure 9. View of the test racetrack NI coil.
Energies 18 03669 g009
Figure 10. Comparison of the normalized central magnetic field in the racetrack coil: (a) charge process, and (b) sudden discharge process.
Figure 10. Comparison of the normalized central magnetic field in the racetrack coil: (a) charge process, and (b) sudden discharge process.
Energies 18 03669 g010
Figure 11. Comparison of average radial and spiral currents in the racetrack coil: (a) charge process, and (b) sudden discharge process.
Figure 11. Comparison of average radial and spiral currents in the racetrack coil: (a) charge process, and (b) sudden discharge process.
Energies 18 03669 g011
Figure 12. Comparison of radial current at different turns in racetrack NI coils: (a) charge process, and (b) sudden discharge process.
Figure 12. Comparison of radial current at different turns in racetrack NI coils: (a) charge process, and (b) sudden discharge process.
Energies 18 03669 g012
Table 1. Main parameters of the circular pancake NI coil.
Table 1. Main parameters of the circular pancake NI coil.
ParameterValue
Tape thickness (mm)0.163
Tape width (mm)4
Number of turns157
Ic of coil (77 K, sf.) (A)67
Inner/outer radius (mm)30/85
Field constant (mT/A)3.98
Coil self-inductance (mH)1.38
Coil time constant from sudden discharge (s)0.61
Contact resistivity from sudden discharge (μΩ·cm2)90
Table 2. Main parameters of the racetrack NI coil.
Table 2. Main parameters of the racetrack NI coil.
ParameterValue
Tape thickness (mm)0.2
Tape width (mm)12
Number of turns115
Ic of coil (77 K, sf.) (A)190
Inner/outer radius (mm)49/73
Field constant (mT/A)0.81
Coil self-inductance (mH)3.05
Coil time constant from sudden discharge (s)13.53
Contact resistivity from sudden discharge (μΩ·cm2)399
Disclaimer/Publisher’s Note: The statements, opinions and data contained in all publications are solely those of the individual author(s) and contributor(s) and not of MDPI and/or the editor(s). MDPI and/or the editor(s) disclaim responsibility for any injury to people or property resulting from any ideas, methods, instructions or products referred to in the content.

Share and Cite

MDPI and ACS Style

He, Z.; Liu, Y.; Yang, C.; Yang, J.; Ou, J.; Zhang, C.; Yan, M.; Li, L. A Simulation Model for the Transient Characteristics of No-Insulation Superconducting Coils Based on T–A Formulation. Energies 2025, 18, 3669. https://doi.org/10.3390/en18143669

AMA Style

He Z, Liu Y, Yang C, Yang J, Ou J, Zhang C, Yan M, Li L. A Simulation Model for the Transient Characteristics of No-Insulation Superconducting Coils Based on T–A Formulation. Energies. 2025; 18(14):3669. https://doi.org/10.3390/en18143669

Chicago/Turabian Style

He, Zhihao, Yingzhen Liu, Chenyi Yang, Jiannan Yang, Jing Ou, Chengming Zhang, Ming Yan, and Liyi Li. 2025. "A Simulation Model for the Transient Characteristics of No-Insulation Superconducting Coils Based on T–A Formulation" Energies 18, no. 14: 3669. https://doi.org/10.3390/en18143669

APA Style

He, Z., Liu, Y., Yang, C., Yang, J., Ou, J., Zhang, C., Yan, M., & Li, L. (2025). A Simulation Model for the Transient Characteristics of No-Insulation Superconducting Coils Based on T–A Formulation. Energies, 18(14), 3669. https://doi.org/10.3390/en18143669

Note that from the first issue of 2016, this journal uses article numbers instead of page numbers. See further details here.

Article Metrics

Back to TopTop