Energy-Efficient Vacuum Sublimation Drying of Camel Milk: Numerical Simulation and Parametric Analysis
Abstract
1. Introduction
2. Materials and Methods
2.1. Experimental Study
2.2. Numerical Method
2.2.1. Governing Equations
2.2.2. Initial and Boundary Conditions
2.3. Parameters and Thermal Physical Properties
3. Results and Discussion
3.1. Analysis of the Movement of the Sublimation Front
3.2. Heat and Mass Transfer Analysis
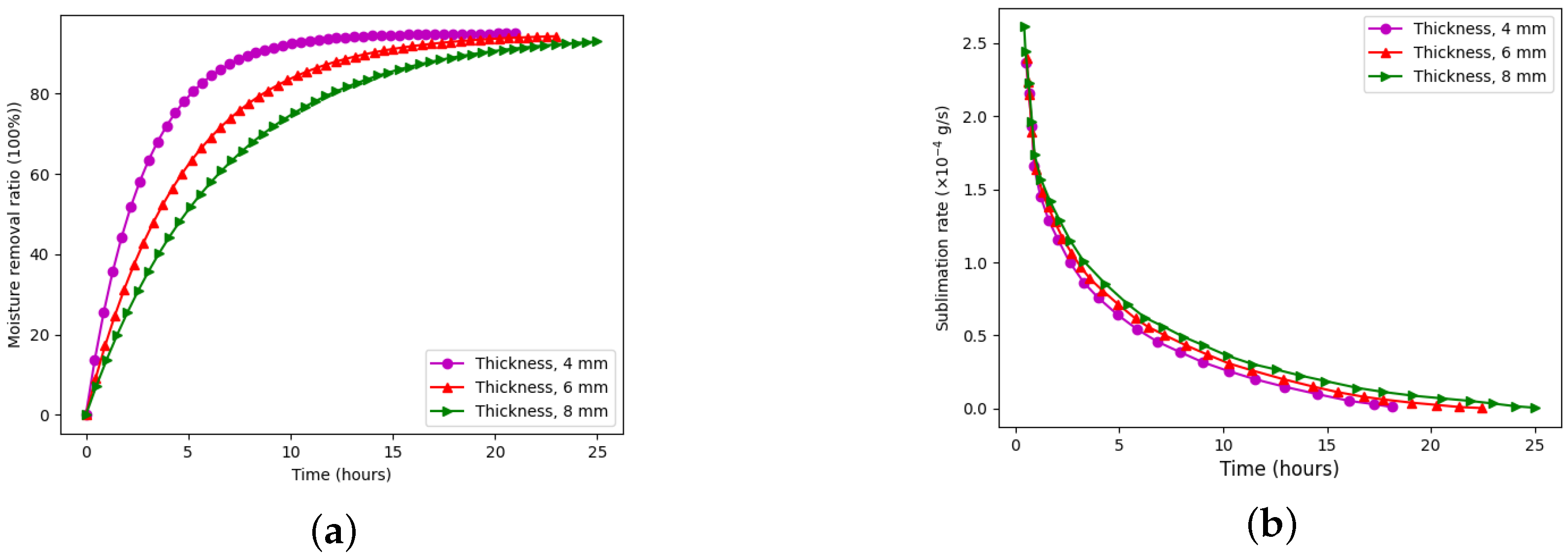
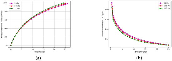
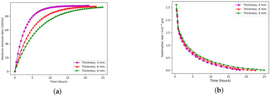
3.3. Parametric Study
3.4. Energy Performance Analysis
4. Conclusions
Author Contributions
Funding
Data Availability Statement
Conflicts of Interest
References
- Konuspayeva, G.; Faye, B. Recent Advances in Camel Milk Processing. Animals 2021, 11, 1045. [Google Scholar] [CrossRef]
- Ibrahim, A.H.; Khalifa, S.A. Effect of Freeze-Drying on Camel’s Milk Nutritional Properties. Int. Food Res. J. 2015, 22, 1438–1445. Available online: https://www.proquest.com/scholarly-journals/effect-freeze-drying-on-camels-milk-nutritional/docview/1698633458/se-2 (accessed on 12 June 2025).
- Zhang, B.Y.; Xu, S.; Villalobos-Santeli, J.A.; Huang, J.-Y. Fouling Characterization of Camel Milk with Comparison to Bovine Milk. J. Food Eng. 2020, 285, 110085. [Google Scholar] [CrossRef]
- Magjeed, N.A. Corrective Effect of Camel Milk on Some Cancer Biomarkers in Blood of Rats Intoxicated with Aflatoxin B1. J. Saudi Chem. Soc. 2005, 9, 253–263. [Google Scholar]
- Shabo, Y.; Barzel, R.; Margoulis, M.; Yagil, R. Camel Milk for Food Allergies in Children. Immunol. Allergy 2005, 7, 796–798. Available online: https://www.scopus.com/record/display.uri?eid=2-s2.0-29444443127&origin=inward&txGid=7821cbc3977fad9e47f6be0b138afb62 (accessed on 12 June 2025).
- Agrawal, R.P.; Swami, S.C.; Beniwal, R.; Kochar, D.K.; Sahani, M.S.; Tuteja, F.C.; Ghouri, S.K. Effect of Camel Milk on Glycemic Control, Risk Factors and Diabetes Quality of Life in Type-1 Diabetes: A Randomised Prospective Controlled Study. J. Camel Pract. Res. 2003, 10, 45–50. Available online: https://www.scopus.com/inward/record.uri?eid=2-s2.0-0345770643&partnerID=40&md5=92133790c8538142a2ad8a4699fd65a7 (accessed on 12 June 2025).
- Pikal, M.J. Freeze Drying. In Encyclopedia of Pharmaceutical Technology, 3rd ed.; Taylor and Francis: London, UK, 2006. [Google Scholar]
- Liapis, A.I.; Litchfield, R.J. Optimal Control of a Freeze Dryer-I: Theoretical Development and Quasi Steady State Analysis. Chem. Eng. Sci. 1979, 34, 975–981. [Google Scholar] [CrossRef]
- Liapsis, A.I.; Marchello, J.M. Advances in the Modelling and Control of Freeze Drying. In Advances in Drying; Mujumdar, A.S., Ed.; Hemisphere Publishing Corporation: Washington, DC, USA, 1984; Volume 3, pp. 217–244. [Google Scholar]
- Tang, M.M.; Liapis, A.I.; Marchello, J.M. A Multi-Dimensional Model Describing the Lyophilization of a Pharmaceutical Product in a Vial. In Proceedings of the 5th International Drying Symposium, Cambridge, MA, USA, 13–16 August 1986; Mujumdar, A.S., Ed.; Hemisphere Publishing Corporation: New York, NY, USA, 1986; pp. 57–64. [Google Scholar]
- Mascarenhas, W.J.; Akay, H.U.; Pikal, M.J. A Computational Model for Finite Element Analysis of the Freeze-Drying Process. Comput. Methods Appl. Mech. Eng. 1997, 148, 105–124. [Google Scholar] [CrossRef]
- Nastaj, J.F.; Witkiewicz, K. Mathematical Modeling of the Primary and Secondary Vacuum Freeze Drying of Random Solids at Microwave Heating. Int. J. Heat Mass Transf. 2009, 52, 4796–4806. [Google Scholar] [CrossRef]
- Georgiev, K.; Kosturski, N.; Margenov, S.; Starý, J. On Adaptive Time Stepping for Large-Scale Parabolic Problems: Computer Simulation of Heat and Mass Transfer in Vacuum Freeze-Drying. J. Comput. Appl. Math. 2009, 226, 268–274. [Google Scholar] [CrossRef]
- Zhang, H.; Zhang, J.; He, L. Effects of the Sample’s Porous Structure on the Process of Vacuum Freeze Drying. In Proceedings of the IEEE International Conference Bioinformatics and Biomedical Engineering, Chengdu, China, 18–20 June 2010; pp. 4244–4713. [Google Scholar] [CrossRef]
- Scutella, B.; Plana-Fattori, A.; Passot, S.; Bourles, E.; Fonseca, F.; Flick, D.; Trelea, I.C. 3D Mathematical Modelling to Understand a Typical Heat Transfer Observed in Vial Freeze Drying. Appl. Therm. Eng. 2017, 126, 226–236. [Google Scholar] [CrossRef]
- Srinivasan, G.; Muneeshwaran, M.; Raja, B. Numerical Investigation of Heat and Mass Transfer Behavior of Freeze Drying of Milk in Vial. Heat Mass Transf. 2019, 55, 2073–2081. [Google Scholar] [CrossRef]
- El-Maghlany, W.M.; Bedir, A.E.; Elhelw, M.; Attia, A. Freeze-Drying Modeling via Multi-Phase Porous Media Transport Model. Int. J. Therm. Sci. 2019, 135, 509–522. [Google Scholar] [CrossRef]
- Chen, B.-L.; Jang, J.-H.; Amani, M.; Yan, W.-M. Numerical and Experimental Study on the Heat and Mass Transfer of Kiwifruit during Vacuum Freeze-Drying Process. Alex. Eng. J. 2023, 73, 427–442. [Google Scholar] [CrossRef]
- Woo, S.-H.; Noh, J.-H.; Raza, H.; Kim, H. Numerical Modeling of Sublimation of Ammonium Carbamate Applied to Supply System of NOx Reductant. Energies 2021, 14, 3795. [Google Scholar] [CrossRef]
- Shao, J.; Jiao, F.; Nie, L.; Wang, Y.; Du, Y.; Liu, Z. Study on Sublimation Drying of Carrot and Simulation by Using Cellular Automata. Processes 2023, 11, 2507. [Google Scholar] [CrossRef]
- Rakhmatulina, A.; Altybay, A.; Imanbayeva, N.; Bagitova, S.; Baikonys, A. Numerical Simulation and Experimental Analysis of Mare’s Milk Sublimation Drying. Processes 2025, 13, 206. [Google Scholar] [CrossRef]
- Experimental Setup. Available online: http://www.yuxiang17.com/productshow_161.html (accessed on 17 May 2025).
- Lopez-Quiroga, E.; Antelo, L.T.; Alonso, A.A. Time-Scale Modeling and Optimal Control of Freeze–Drying. J. Food Eng. 2012, 111, 655–666. [Google Scholar] [CrossRef]
- Konuspayeva, G.; Faye, B.; Loiseau, G. The Composition of Camel Milk: A Meta-Analysis of the Literature Data. J. Food Compos. Anal. 2009, 22, 95–101. [Google Scholar] [CrossRef]
- Song, C.S.; Nam, J.H.; Kim, C.-J.; Ro, S.T. Temperature Distribution in a Vial during Freeze-Drying of Skim Milk. J. Food Eng. 2005, 67, 467–475. [Google Scholar] [CrossRef]
- Nam, J.H.; Song, C.S. Numerical Simulation of Conjugate Heat and Mass Transfer during Multi-Dimensional Freeze Drying of Slab-Shaped Food Products. Int. J. Heat Mass Transf. 2007, 50, 4891–4900. [Google Scholar] [CrossRef]
- Warning, A.D.; Arquiza, J.M.R.; Datta, A.K. A Multiphase Porous Medium Transport Model with Distributed Sublimation Front to Simulate Vacuum Freeze Drying. Food Bioprod. Process. 2015, 94, 637–648. [Google Scholar] [CrossRef]










| Parameter | Value | Unit | Source |
|---|---|---|---|
| 0.705 | - | [25] | |
| 1399.3 | kg/m3 | ||
| 1610.7 | k· J/kg · K | ||
| 0.2757 | W/m · K | ||
| 913 | kg/m3 | [26] | |
| 2.090 | kJ/kg · K | [26] | |
| 2.22 | W/m · K | [26] | |
| kg/m3 | [18] | ||
| 1.866 | kJ/kg · K | [26] | |
| 0.0022 | W/m · K | [26] | |
| kg/m · s | [26] | ||
| 0.018 | kg/mol | [17] | |
| R | 8.314 | J/mol · K | [17] |
| m2 | [27] | ||
| 2821 | kJ/kg | [26] |
| Thickness (mm) | Drying Time (h) | Energy (kWh) | SEC (kWh/kg) |
|---|---|---|---|
| 4 | 10 | 145.0 | 149 |
| 6 | 15 | 217.5 | 224 |
| 8 | 24 | 348.0 | 358 |
Disclaimer/Publisher’s Note: The statements, opinions and data contained in all publications are solely those of the individual author(s) and contributor(s) and not of MDPI and/or the editor(s). MDPI and/or the editor(s) disclaim responsibility for any injury to people or property resulting from any ideas, methods, instructions or products referred to in the content. |
© 2025 by the authors. Licensee MDPI, Basel, Switzerland. This article is an open access article distributed under the terms and conditions of the Creative Commons Attribution (CC BY) license (https://creativecommons.org/licenses/by/4.0/).
Share and Cite
Altybay, A.; Rakhmatulina, A.; Darkenbayev, D.; Satybaldy, S. Energy-Efficient Vacuum Sublimation Drying of Camel Milk: Numerical Simulation and Parametric Analysis. Energies 2025, 18, 3665. https://doi.org/10.3390/en18143665
Altybay A, Rakhmatulina A, Darkenbayev D, Satybaldy S. Energy-Efficient Vacuum Sublimation Drying of Camel Milk: Numerical Simulation and Parametric Analysis. Energies. 2025; 18(14):3665. https://doi.org/10.3390/en18143665
Chicago/Turabian StyleAltybay, Arshyn, Ayaulym Rakhmatulina, Dauren Darkenbayev, and Symbat Satybaldy. 2025. "Energy-Efficient Vacuum Sublimation Drying of Camel Milk: Numerical Simulation and Parametric Analysis" Energies 18, no. 14: 3665. https://doi.org/10.3390/en18143665
APA StyleAltybay, A., Rakhmatulina, A., Darkenbayev, D., & Satybaldy, S. (2025). Energy-Efficient Vacuum Sublimation Drying of Camel Milk: Numerical Simulation and Parametric Analysis. Energies, 18(14), 3665. https://doi.org/10.3390/en18143665

