Digital Twin-Based Online Diagnosis Method for Inter-Turn Short Circuit Fault in Stator Windings of Induction Motors
Abstract
1. Introduction
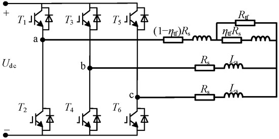
2. Digital-Twin Model of Inverter-Induction Motor System
3. Stator Inter-Turn Short Circuit Fault Diagnosis Method Based on Digital Twin Technology
3.1. Mathematical Model of Stator Inter-Turn Short Circuit Fault in Induction Motor
3.2. Current Residual-Based Fault Diagnosis Method
3.3. Digital Twin-Based Fault Detection and Fault Localization
4. Simulation Verification
4.1. Simulation Verification of Healthy Motor Digital Twin Model
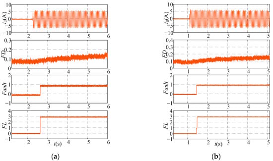
4.2. Validation of Fault Diagnosis Methods
4.3. Comparison of Current Predictive Methods
5. Experimental Verification
5.1. Experimental Platform
5.2. Experimental Validation of Healthy Motor Digital Twin Model
5.3. Validation of the Fault Diagnosis Methodology
6. Conclusions
- The fault index amplitude of the proposed method is about 20 times that of the traditional predictive method, yielding significantly enhanced diagnostic sensitivity due to more pronounced fault characteristics.
- The method maintains real-time fault diagnosis capability even under motor parameter mismatch conditions, exhibiting superior performance compared to the traditional predictive method.
- The approach is completely non-invasive, requiring no additional measurement instrumentation.
- The solution exhibits strong robustness across various motor speed operating conditions.
Author Contributions
Funding
Data Availability Statement
Conflicts of Interest
References
- Deng, L.; Chen, Y.; Wu, R.; Wang, Q.; Xu, Y. A two-dimensional clustering method for high-speed railway trains in China based on train characteristics and operational performance. IEEE Access 2020, 8, 81918–81931. [Google Scholar] [CrossRef]
- Wang, Y.; Zhu, S.; Li, S.; Yang, L.; De Schutter, B. Hierarchical model predictive control for on-line high-speed railway delay management and train control in a dynamic operations environment. IEEE Trans. Control Syst. Technol. 2022, 30, 2344–2359. [Google Scholar] [CrossRef]
- Surya, G.N.; Khan, Z.J.; Ballal, M.S.; Suryawanshi, H.M. A simplified frequency-domain detection of stator turn fault in squirrel-cage induction motors using an observer coil technique. IEEE Trans. Ind. Electron. 2017, 64, 1495–1506. [Google Scholar] [CrossRef]
- Almounajjed, A.; Sahoo, A.K.; Kumar, M.K.; Subudhi, S.K. Stator fault diagnosis of induction motor based on discrete wavelet analysis and neural network technique. Chin. J. Elect. Eng. 2023, 9, 142–157. [Google Scholar] [CrossRef]
- Nguyen, V.; Seshadrinath, J.; Wang, D.; Nadarajan, S.; Vaiyapuri, V. Model-based diagnosis and RUL estimation of induction machines under interturn fault. IEEE Trans. Ind. Appl. 2017, 53, 2690–2701. [Google Scholar] [CrossRef]
- Wolkiewicz, M.; Tarchała, G.; Orłowska-Kowalska, T.; Kowalski, C.T. Online stator interturn short circuits monitoring in the DFOC induction-motor drive. IEEE Trans. Ind. Electron. 2016, 63, 2517–2528. [Google Scholar] [CrossRef]
- Abdallah, H.; Benatman, K. Stator winding inter-turn short-circuit detection in induction motors by parameter identification. IET Elect. Power Appl. 2017, 11, 272–288. [Google Scholar] [CrossRef]
- Cheng, M.; Hang, J.; Zhang, J. Overview of fault diagnosis theory and method for permanent magnet machine. Chin. J. Electron. Eng. 2015, 1, 21–36. [Google Scholar]
- Mazzoletti, M.A.; Bossio, G.R.; De Angelo, C.H.; Espinoza-Trejo, D.R. A model-based strategy for interturn short-circuit fault diagnosis in PMSM. IEEE Trans. Ind. Electron. 2017, 64, 7218–7228. [Google Scholar] [CrossRef]
- Hu, R.; Wang, J.; Mills, A.R.; Chong, E.; Sun, Z. Current-Residual-Based Stator Interturn Fault Detection in Permanent Magnet Machines. IEEE Trans. Ind. Electron. 2021, 68, 59–69. [Google Scholar] [CrossRef]
- Ray, S.; Dey, D. Development of a comprehensive analytical model of induction motor under stator interturn faults incorporating rotor slot harmonics. IEEE Trans. Ind. Electron. 2023, 70, 2037–2047. [Google Scholar] [CrossRef]
- Babu, A.C.; Seshadrinath, J. Interacting multiple model framework for incipient diagnosis of interturn faults in induction motors. IEEE Trans. Artif. Intell. 2024, 5, 5120–5129. [Google Scholar] [CrossRef]
- Jeong, H.; Moon, S.; Kim, S.W. An early stage interturn fault diagnosis of PMSMs by using negative-sequence components. IEEE Trans. Ind. Electron. 2017, 64, 5701–5708. [Google Scholar] [CrossRef]
- Irhoumah, M.; Pusca, R.; Lefevre, E.; Mercier, D.; Romary, R. Detection of the stator winding inter-turn faults in asynchronous and synchronous machines through the correlation between harmonics of the voltage of two magnetic flux sensors. IEEE Trans. Ind. Appl. 2019, 55, 2682–2689. [Google Scholar] [CrossRef]
- Gan, C.; Wu, J.; Yang, S.; Hu, Y.; Cao, W. Wavelet Packet Decomposition-Based Fault Diagnosis Scheme for SRM Drives with a Single Current Sensor. IEEE Trans. Energy Convers. 2016, 31, 303–313. [Google Scholar] [CrossRef]
- Bakhri, S.; Ertugrul, N.; Soong, W.L. Negative sequence current compensation for stator shorted turn detection in induction motors. In Proceedings of the IECON 2012—38th Annual Conference on IEEE Industrial Electronics Society, Montreal, QC, Canada, 25–28 October 2012; pp. 1921–1926. [Google Scholar]
- Ebrahimi, B.M.; Faiz, J. Feature extraction for short-circuit fault detection in permanent-magnet synchronous motors using stator-current monitoring. IEEE Trans. Power Electron. 2010, 25, 2673–2682. [Google Scholar] [CrossRef]
- Wei, D.; Liu, K.; Hu, W.; Peng, X.; Chen, Y.; Ding, R. Short-time adaline based fault feature extraction for inter-turn short circuit diagnosis of PMSM via residual insulation monitoring. IEEE Trans. Ind. Electron. 2023, 70, 3103–3114. [Google Scholar] [CrossRef]
- Eftekhari, M.; Moallem, M.; Sadri, S.; Hsieh, M.-F. Online detection of induction motor’s stator winding short-circuit faults. IEEE Syst. J. 2014, 8, 1272–1282. [Google Scholar] [CrossRef]
- Ayas, S.; Ayas, M.S. A novel bearing fault diagnosis method using deep residual learning network. Multimed. Tools Appl. 2022, 81, 22407–22423. [Google Scholar] [CrossRef]
- Maraaba, L.S.; Milhem, A.S.; Nemer, I.A.; Al-Duwaish, H.; Abido, M.A. Convolutional neural network-based inter-turn fault diagnosis in LSPMSMs. IEEE Access 2020, 8, 81960–81970. [Google Scholar] [CrossRef]
- Abid, F.B.; Sallem, M.; Braham, A. Robust interpretable deep learning for intelligent fault diagnosis of induction motors. IEEE Trans. Instrum. Meas. 2020, 69, 3506–3515. [Google Scholar] [CrossRef]
- Husari, F.; Seshadrinath, J. Early stator fault detection and condition identification in induction motor using novel deep network. IEEE Trans. Artif. Intell. 2022, 3, 809–818. [Google Scholar] [CrossRef]
- Fang, Y.; Wang, M.; Wei, L. Deep transfer learning in inter-turn short circuit fault diagnosis of PMSM. In Proceedings of the 2021 IEEE International Conference on Mechatronics and Automation (ICMA), Takamatsu, Japan, 8–11 August 2021; pp. 489–494. [Google Scholar]
- Oner, M.U.; Şahin, İ.; Keysan, O. Neural networks detect inter-turn short circuit faults using inverter switching statistics for a closed-loop controlled motor drive. IEEE Trans. Energy Convers. 2023, 38, 2387–2395. [Google Scholar] [CrossRef]
- Guo, Z.; Yan, S.; Xu, X.; Chen, Z.; Ren, Z. Twin-model based on model order reduction for rotating motors. IEEE Trans. Magn. 2022, 58, 8206304. [Google Scholar] [CrossRef]
- Song, W.; Zou, Y.; Ma, C.; Zhang, S. Digital twin modeling method of three-phase inverter-driven PMSM systems for parameter estimation. IEEE Trans. Power Electron. 2024, 39, 2360–2371. [Google Scholar] [CrossRef]
- Jain, P.; Poon, J.; Singh, J.P.; Spanos, C.; Sanders, S.R.; Panda, S.K. A digital twin approach for fault diagnosis in distributed photovoltaic systems. IEEE Trans. Power Electron. 2020, 35, 940–956. [Google Scholar] [CrossRef]
- Zhang, S.; Song, W.; Cao, H.; Tang, T.; Zou, Y. A digital-twin-based health status monitoring method for single-phase PWM rectifiers. IEEE Trans. Power Electron. 2023, 38, 14075–14087. [Google Scholar] [CrossRef]
- Li, W.; Xu, Z.; Zhang, Y. Induction motor control system based on FOC algorithm. In Proceedings of the 2019 IEEE 8th Joint International Information Technology and Artificial Intelligence Conference (ITAIC), Chongqing, China, 24–26 May 2019; pp. 1544–1548. [Google Scholar]
- Castiglia, V.; Ciotta, P.; Di Tommaso, A.O.; Miceli, R.; Nevoloso, C. High performance FOC for induction motors with low cost ATSAM3X8E microcontroller. In Proceedings of the 2018 7th International Conference on Renewable Energy Research and Applications (ICRERA), Paris, France, 14–17 October 2018; pp. 1495–1500. [Google Scholar]
- Song, W.; Zhang, Z.; Zhang, S.; Ma, C.; Li, J. Digital twin modeling and multiparameter monitoring schemes of three-level ANPC inverters. IEEE Trans. Power Electron. 2024, 39, 16596–16608. [Google Scholar] [CrossRef]
- Yang, G.; Zhao, X.; Guan, T.; Eldeeb, H.H.; Kang, J.; Zhan, Y.; Cui, X.; Xu, G.; Zhao, H. Parameter Identification Based on Equivalent Impedance and Back-EMF during Shut-Down Process of Induction Motors. In Proceedings of the 2023 IEEE Energy Conversion Congress and Exposition (ECCE), Nashville, TN, USA, 29 October–2 November 2023; pp. 4949–4953. [Google Scholar]
- Li, B.X.; Low, K.S. Low sampling rate online parameters monitoring of DC-DC converters for predictive-maintenance using biogeography-based optimization. IEEE Trans. Power Electron. 2016, 31, 2870–2879. [Google Scholar] [CrossRef]
- Zhu, Y.; Zhao, Z.; Shi, B.; Yu, Z. Discrete state event-driven framework with a flexible adaptive algorithm for simulation of power electronic systems. IEEE Trans. Power Electron. 2019, 34, 11692–11705. [Google Scholar] [CrossRef]
- Lee, J.; Moon, S.; Jeong, H.; Kim, S.W. Robust Diagnosis Method Based on Parameter Estimation for an Interturn Short-Circuit Fault in Multipole PMSM under High-Speed Operation. Sensors 2015, 15, 29452–29466. [Google Scholar] [CrossRef] [PubMed]
- Urresty, J.-C.; Riba, J.-R.; Romeral, L. Diagnosis of interturn faults in PMSMs operating under nonstationary conditions by applying order tracking filtering. IEEE Trans. Power Electron. 2013, 28, 507–515. [Google Scholar] [CrossRef]
- Chen, Z.; Liang, D.; Jia, S.; Yang, L.; Yang, S. Incipient interturn short-circuit fault diagnosis of permanent magnet synchronous motors based on the data-driven digital twin model. IEEE J. Emerg. Sel. Top. Power Electron. 2023, 11, 3514–3524. [Google Scholar] [CrossRef]
- Jia, Z.; Song, W.; Ma, C.; Zhang, B.; Sun, N. An MPC-Based Online Interturn Fault Diagnosis Method for Induction Motors with Fault Localization. IEEE Trans. Transp. Electrific. 2025, 11, 75–85. [Google Scholar] [CrossRef]
- Hang, J.; Zhang, J.; Cheng, M.; Huang, J. Online Interturn Fault Diagnosis of Permanent Magnet Synchronous Machine Using Zero-Sequence Components. IEEE Trans. Power Electron. 2015, 30, 6731–6741. [Google Scholar] [CrossRef]
- Hu, J.; Wang, H.; Wei, F.; Li, C.; Li, Y. Simplified pre-analysis of fault severity for interturn short-circuit faults in fault-tolerant permanent magnet machines. IEEE Trans. Ind. Electron. 2025, 72, 2160–2164. [Google Scholar] [CrossRef]






















| Parameter | Value |
|---|---|
| Rated power | PN = 1.5 kW |
| Rated current | IN = 5.8 A |
| Rated rotational speed | nN = 1440 rpm |
| Rated torque | Te = 9.7 N·m |
| Moment of Inertia | J = 0.0048 kg·m2 |
| Stator resistance | Rs = 1.2 Ω |
| Rotor resistance | Rr = 0.69 Ω |
| Stator inductance | Lls = 126 mH |
| Rotor inductance | Llr = 126 mH |
| Excitation inductance | Lm = 115 mH |
| Number of pole pairs | np = 2 |
| Case | Shorted Turns | Short-Circuit Turn Ratio |
|---|---|---|
| 1 | 2 | 0.877% |
| 2 | 7 | 3.07% |
| 3 | 12 | 5.26% |
| 4 | 19 | 8.33% |
| Parameter | Value |
|---|---|
| Rated power | PN = 1.5 kW |
| Rated current | IN = 5.8 A |
| Rated rotational speed | nN = 1440 rpm |
| Rated torque | Te = 9.7 N·m |
| Moment of Inertia | J = 0.0048 kg·m2 |
| Stator resistance | Rs = 1.3 Ω |
| Rotor resistance | Rr = 0.65 Ω |
| Stator inductance | Lls = 126 mH |
| Rotor inductance | Llr = 126 mH |
| Excitation inductance | Lm = 110 mH |
| Number of pole pairs | np = 2 |
Disclaimer/Publisher’s Note: The statements, opinions and data contained in all publications are solely those of the individual author(s) and contributor(s) and not of MDPI and/or the editor(s). MDPI and/or the editor(s) disclaim responsibility for any injury to people or property resulting from any ideas, methods, instructions or products referred to in the content. |
© 2025 by the authors. Licensee MDPI, Basel, Switzerland. This article is an open access article distributed under the terms and conditions of the Creative Commons Attribution (CC BY) license (https://creativecommons.org/licenses/by/4.0/).
Share and Cite
Chen, Y.; Zhao, L.; Li, L.; Liu, K.; Ye, C. Digital Twin-Based Online Diagnosis Method for Inter-Turn Short Circuit Fault in Stator Windings of Induction Motors. Energies 2025, 18, 3063. https://doi.org/10.3390/en18123063
Chen Y, Zhao L, Li L, Liu K, Ye C. Digital Twin-Based Online Diagnosis Method for Inter-Turn Short Circuit Fault in Stator Windings of Induction Motors. Energies. 2025; 18(12):3063. https://doi.org/10.3390/en18123063
Chicago/Turabian StyleChen, Yujie, Leiting Zhao, Liran Li, Kan Liu, and Cunxin Ye. 2025. "Digital Twin-Based Online Diagnosis Method for Inter-Turn Short Circuit Fault in Stator Windings of Induction Motors" Energies 18, no. 12: 3063. https://doi.org/10.3390/en18123063
APA StyleChen, Y., Zhao, L., Li, L., Liu, K., & Ye, C. (2025). Digital Twin-Based Online Diagnosis Method for Inter-Turn Short Circuit Fault in Stator Windings of Induction Motors. Energies, 18(12), 3063. https://doi.org/10.3390/en18123063
