Radiological Assessment of Coal Fly Ash from Polish Power and Cogeneration Plants: Implications for Energy Waste Management
Abstract
1. Introduction
2. Materials and Methods
2.1. Classification of Power Plants
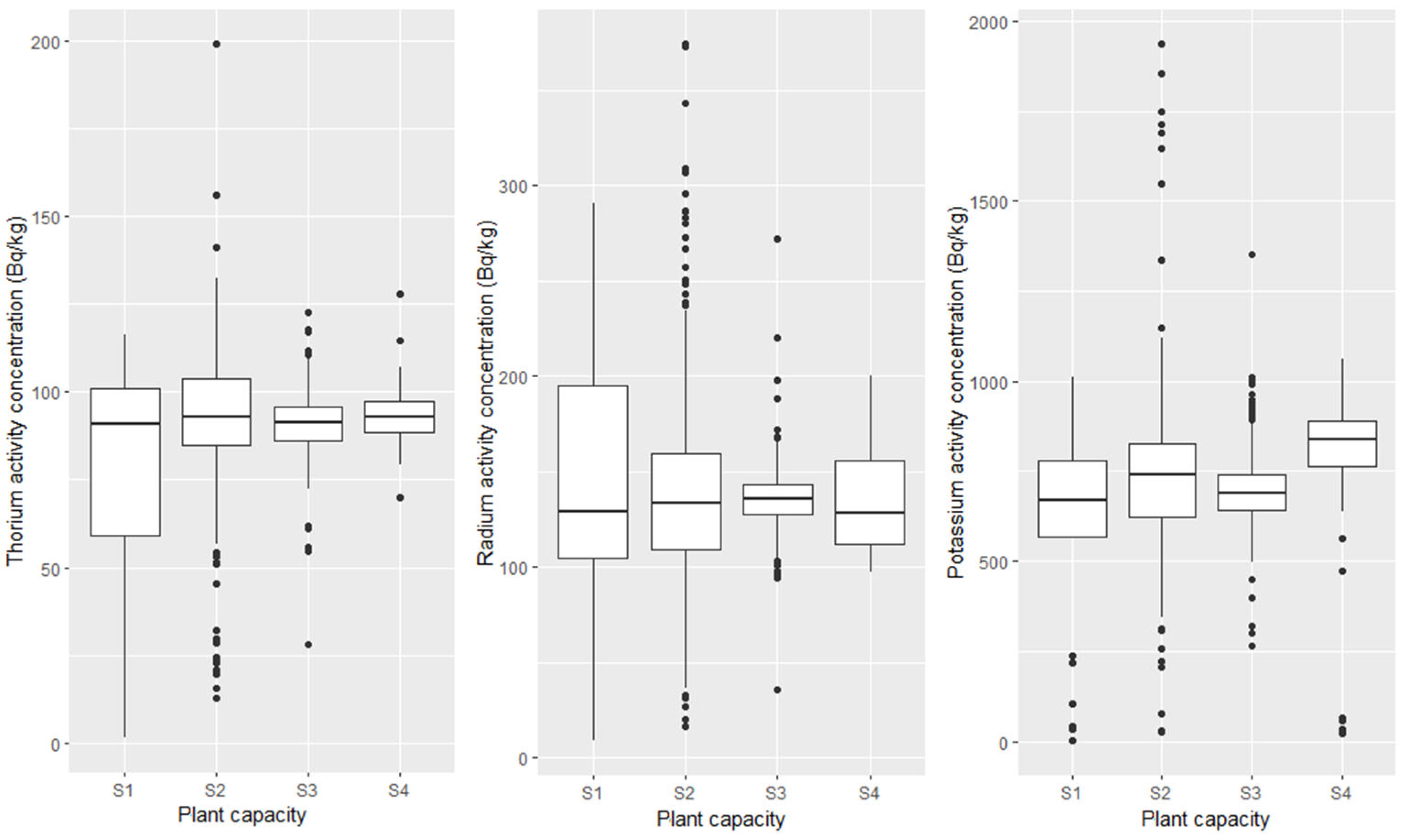
- S1—less than 300 MW (3 CHPs, 33 samples);
- S2—from 300 to 1000 MW (3 PPs and 4 CHPs, 252 samples);
- S3—from 1000 to 3000 MW (2 PPs and 3 CHPs, 538 samples);
- S4—more than 3000 MW (2 PPs, 83 samples).
2.2. Preparation of Samples for Gamma Spectrometry
2.3. Gamma Spectrometry
2.4. Radiological Hazard Assessment
2.4.1. Radiological Risks
2.4.2. Dose Rates, Activity Concentration Index, and Alpha Index
2.4.3. Excess Lifetime Cancer Risks
2.5. Statistical Methods
2.5.1. Tests Used for Analysis
2.5.2. Statistical Rationale and Methodological Justification
3. Results
3.1. Dependence of Radionuclide Concentration on Power Plant Capacity
3.2. Radiological Hazard Assessment
3.2.1. Radiological Risks
3.2.2. Dose Rates, Activity Concentration Index, and Alpha Index
3.2.3. Excess Lifetime Cancer Risks
4. Discussion
5. Conclusions
Author Contributions
Funding
Data Availability Statement
Conflicts of Interest
References
- Angaru, G.K.R.; Choi, Y.-L.; Lingamdinne, L.P.; Choi, J.-S.; Kim, D.-S.; Koduru, J.R.; Yang, J.-K.; Chang, Y.-Y. Facile Synthesis of Economical Feasible Fly Ash–Based Zeolite–Supported Nano Zerovalent Iron and Nickel Bimetallic Composite for the Potential Removal of Heavy Metals from Industrial Effluents. Chemosphere 2021, 267, 128889. [Google Scholar] [CrossRef] [PubMed]
- Arora, S.; Gosu, V.; Subbaramaiah, V.; Hameed, B.H. Lithium Loaded Coal Fly Ash as Sustainable and Effective Catalyst for the Synthesis of Glycerol Carbonate from Glycerol. J. Environ. Chem. Eng. 2021, 9, 105999. [Google Scholar] [CrossRef]
- Ahmaruzzaman, M. A Review on the Utilization of Fly Ash. Prog. Energy Combust. Sci. 2010, 36, 327–363. [Google Scholar] [CrossRef]
- Alterary, S.S.; Marei, N.H. Fly Ash Properties, Characterization, and Applications: A Review. J. King Saud Univ.-Sci. 2021, 33, 101536. [Google Scholar] [CrossRef]
- Doušová, B.; Pilař, L.; Koloušek, D.; Bedrnová, E.; Lhotka, M.; Maxová, K. Adsorption Properties of Fly Ash–Clay Composites from Central European Localities: Case Study. Appl. Clay Sci. 2024, 255, 107395. [Google Scholar] [CrossRef]
- Shi, Y.; Jiang, F.; Wang, R.; Yang, S.; Zhu, X.; Shen, Y. A mini review on the separation of Al, Fe and Ti elements from coal fly ash leachate. Int. J. Coal Sci. Technol. 2024, 11, 24. [Google Scholar] [CrossRef]
- Polowczyk, I.; Ulatowska, J.; Koźlecki, T.; Bastrzyk, A.; Sawiński, W. Studies on Removal of Boron from Aqueous Solution by Fly Ash Agglomerates. Desalination 2013, 310, 93–101. [Google Scholar] [CrossRef]
- Al-Ghouti, M.A.; Al-Degs, Y.S.; Ghrair, A.; Ziedan, M.; Khoury, H.; Abdelghani, J.I.; Khraisheh, M. Development of Industrially Viable Geopolymers from Treated Petroleum Fly Ash. J. Clean. Prod. 2021, 280, 124808. [Google Scholar] [CrossRef]
- Hussain, Z.; Chang, N.; Sun, J.; Xiang, S.; Ayaz, T.; Zhang, H.; Wang, H. Modification of Coal Fly Ash and Its Use as Low-Cost Adsorbent for the Removal of Directive, Acid and Reactive Dyes. J. Hazard. Mater. 2022, 422, 126778. [Google Scholar] [CrossRef]
- Li, Q.; Xiong, T.; Liao, J.; Zhang, Y. Explorations on Efficient Extraction of Uranium with Porous Coal Fly Ash Aerogels. Sci. Total Environ. 2022, 839, 156365. [Google Scholar] [CrossRef]
- Kravchenko, J.; Lyerly, H.K. The Impact of Coal-Powered Electrical Plants and Coal Ash Impoundments on the Health of Residential Communities. North Carol. Med. J. 2018, 79, 289–300. [Google Scholar] [CrossRef]
- Beig, G.; Chate, D.M.; Ghude, S.D.; Ali, K.; Satpute, T.; Sahu, S.K.; Parkhi, N.; Trimbake, H.K. Evaluating Population Exposure to Environmental Pollutants during Deepavali Fireworks Displays Using Air Quality Measurements of the SAFAR Network. Chemosphere 2013, 92, 116–124. [Google Scholar] [CrossRef] [PubMed]
- Asokan, P.; Saxena, M.; Asolekar, S.R. Coal Combustion Residues-Environmental Implications and Recycling Potentials. Resour. Conserv. Recycl. 2005, 43, 239–262. [Google Scholar] [CrossRef]
- Zacco, A.; Borgese, L.; Gianoncelli, A.; Struis, R.P.W.J.; Depero, L.E.; Bontempi, E. Review of Fly Ash Inertisation Treatments and Recycling. Environ. Chem. Lett. 2014, 12, 153–175. [Google Scholar] [CrossRef]
- Yao, Z.T.; Ji, X.S.; Sarker, P.K.; Tang, J.H.; Ge, L.Q.; Xia, M.S.; Xi, Y.Q. A Comprehensive Review on the Applications of Coal Fly Ash. Earth-Sci. Rev. 2015, 141, 105–121. [Google Scholar] [CrossRef]
- Temuujin, J.; Surenjav, E.; Ruescher, C.H.; Vahlbruch, J. Processing and Uses of Fly Ash Addressing Radioactivity (Critical Review). Chemosphere 2019, 216, 866–882. [Google Scholar] [CrossRef] [PubMed]
- Gupta, M.; Mahur, A.K.; Varshney, R.; Sonkawade, R.G.; Verma, K.D.; Prasad, R. Measurement of Natural Radioactivity and Radon Exhalation Rate in Fly Ash Samples from a Thermal Power Plant and Estimation of Radiation Doses. Radiat. Meas. 2013, 50, 160–165. [Google Scholar] [CrossRef]
- Vukanac, I.; Šešlak, B.; Kandić, A.; Čeliković, I.; Nikolić, N.M.; Milanović, T.; Obradović, Z.; Đurašević, M. A Comparison of Alpha-Particle and Gamma-Ray Spectrometry Methods for Determination of 235U, 238U and 226Ra Activity Concentration in Samples of Coal, Slag and Fly-Ash. Radiat. Phys. Chem. 2022, 193, 109933. [Google Scholar] [CrossRef]
- Zeevaert, T.; Sweeck, L.; Vanmarcke, H. The Radiological Impact from Airborne Routine Discharges of a Modern Coal-Fired Power Plant. J. Environ. Radioact. 2006, 85, 1–22. [Google Scholar] [CrossRef]
- Mondal, T.; Sengupta, D.; Mandal, A. Natural Radioactivity of Ash and Coal in Major Thermal Power Plants of West Bengal, India. Curr. Sci. 2006, 91, 1387–1393. [Google Scholar]
- Flues, M.; Camargo, I.M.C.; Silva, P.S.C.; Mazzilli, B.P. Radioactivity of Coal and Ashes from Figueira Coal Power Plant in Brazil. J. Radioanal. Nucl. Chem. 2006, 270, 597–602. [Google Scholar] [CrossRef]
- Bhangare, R.C.; Tiwari, M.; Ajmal, P.Y.; Sahu, S.K.; Pandit, G.G. Distribution of Natural Radioactivity in Coal and Combustion Residues of Thermal Power Plants. J. Radioanal. Nucl. Chem. 2014, 300, 17–22. [Google Scholar] [CrossRef]
- Almahayni, T.; Vanhoudt, N. Does Leaching of Naturally Occurring Radionuclides from Roadway Pavements Stabilised with Coal Fly Ash Have Negative Impacts on Groundwater Quality and Human Health? J. Hazard. Mater. 2018, 349, 128–134. [Google Scholar] [CrossRef] [PubMed]
- Lauer, N.; Hower, J.; Hsu-Kim, H.; Taggart, R.; Vengosh, A. Naturally Occurring Radioactive Materials in Coals and Coal Combustion Residuals in the United States. Environ. Sci. Technol. 2015, 49, 11227–11233. [Google Scholar] [CrossRef]
- Jamasali, Y.; Turhan, Ş. Measurement of Natural Radioactivity in Fly Ash from a Lignite-Fired Thermal Power Plant and Radiological Risk Assessment Using RESRAD Code. Environ. Forensics 2025, 26, 135–145. [Google Scholar] [CrossRef]
- Bem, H.; Wieczorkowski, P.; Budzanowski, M. Evaluation of Technologically Enhanced Natural Radiation near the Coal-Fired Power Plants in the Lodz Region of Poland. J. Environ. Radioact. 2002, 61, 191–201. [Google Scholar] [CrossRef]
- Dinis, M.L.; Fiúza, A.; Góis, J.; Carvalho, J.M.S.; Castro, A.C.M. Modeling Radionuclides Dispersion and Deposition Downwind of a Coal-Fired Power Plant. Procedia Earth Planet. Sci. 2014, 8, 59–63. [Google Scholar] [CrossRef]
- Flues, M.; Moraes, V.; Mazzilli, B.P. The Influence of a Coal-Fired Power Plant Operation on Radionuclide Concentrations in Soil. J. Environ. Radioact. 2002, 63, 285–294. [Google Scholar] [CrossRef]
- Hasani, F.; Shala, F.; Xhixha, G.; Xhixha, M.K.; Hodolli, G.; Kadiri, S.; Bylyku, E.; Cfarku, F. Naturally Occurring Radioactive Materials (NORMs) Generated from Lignite-Fired Power Plants in Kosovo. J. Environ. Radioact. 2014, 138, 156–161. [Google Scholar] [CrossRef]
- Papp, Z.; Dezso, Z.; Daróczy, S. Significant Radioactive Contamination of Soil around a Coal-Fired Thermal Power Plant. J. Environ. Radioact. 2002, 59, 191–205. [Google Scholar] [CrossRef]
- Sert, E.; Uğur, A.; Özden, B.; Saç, M.M.; Camgöz, B. Biomonitoring of 210Po and 210Pb Using Lichens and Mosses around Coal-Fired Power Plants in Western Turkey. J. Environ. Radioact. 2011, 102, 535–542. [Google Scholar] [CrossRef] [PubMed]
- Ugur, A.; Özden, B.; Saç, M.M.; Yener, G.; Altinbaş, Ü.; Kurucu, Y.; Bolca, M. Lichens and Mosses for Correlation between Trace Elements and 210Po in the Areas near Coal-Fired Power Plant at Yatağan, Turkey. J. Radioanal. Nucl. Chem. 2004, 259, 87–92. [Google Scholar] [CrossRef]
- Skoko, B.; Babić, D.; Marović, G.; Papić, S. Environmental Radiological Risk Assessment of a Coal Ash and Slag Disposal Site with the Use of the ERICA Tool. J. Environ. Radioact. 2019, 208–209, 106018. [Google Scholar] [CrossRef] [PubMed]
- Nowina-Konopka, M. Radiological Hazard from Coal-Fired Power Plants in Poland. Radiat. Prot. Dosim. 1993, 46, 171–180. [Google Scholar] [CrossRef]
- Sahu, S.K.; Tiwari, M.; Bhangare, R.C.; Pandit, G.G. Enrichment and Particle Size Dependence of Polonium and Other Naturally Occurring Radionuclides in Coal Ash. J. Environ. Radioact. 2014, 138, 421–426. [Google Scholar] [CrossRef]
- Vreček, P.; Benedik, L. 210Pb and 210Po in Fossil Fuel Combustion at the Šoštanj Thermal Power Plant (Slovenia). Czech. J. Phys. 2003, 53, A51–A55. [Google Scholar] [CrossRef]
- Pandit, G.G.; Sahu, S.K.; Puranik, V.D. Natural Radionuclides from Coal Fired Thermal Power Plants—Estimation of Atmospheric Release and Inhalation Risk. Radioprotection 2011, 46, S173–S179. [Google Scholar] [CrossRef]
- Zakaria, N.; Baan, R.; Kathiravale, S. Radiological Impact from Airborne Routine Discharges of Coal-Fired Power Plant. 2010. Available online: https://inis.iaea.org/records/dxn8a-6pa11 (accessed on 3 January 2025).
- Kovler, K.; Perevalov, A.; Steiner, V.; Metzger, L.A. Radon Exhalation of Cementitious Materials Made with Coal Fly Ash: Part 1—Scientific Background and Testing of the Cement and Fly Ash Emanation. J. Environ. Radioact. 2005, 82, 321–334. [Google Scholar] [CrossRef]
- Vaasma, T.; Kaasik, M.; Loosaar, J.; Kiisk, M.; Tkaczyk, A.H. Long-Term Modelling of Fly Ash and Radionuclide Emissions as Well as Deposition Fluxes Due to the Operation of Large Oil Shale-Fired Power Plants. J. Environ. Radioact. 2017, 178–179, 232–244. [Google Scholar] [CrossRef]
- Alliksaar, T.; Hörstedt, P.; Renberg, I. Characteristic Fly-Ash Particles from Oil-Shale Combustion Found in Lake Sediments. Water Air Soil Pollut. 1998, 104, 149–160. [Google Scholar] [CrossRef]
- Alliksaar, T. Application of Spherical Fly-Ash Particles to Study Spatial Deposition of Atmospheric Pollutants in North-Eastern Estonia. OS 2000, 17, 335. [Google Scholar] [CrossRef]
- Baig, K.S.; Yousaf, M. Coal Fired Power Plants: Emission Problems and Controlling Techniques. J. Earth Sci. Clim. Change 2017, 8, 404. [Google Scholar] [CrossRef]
- Aubert, J.E.; Husson, B.; Sarramone, N. Utilization of Municipal Solid Waste Incineration (MSWI) Fly Ash in Blended Cement: Part 1: Processing and Characterization of MSWI Fly Ash. J. Hazard. Mater. 2006, 136, 624–631. [Google Scholar] [CrossRef]
- Saikia, N.; Kato, S.; Kojima, T. Production of Cement Clinkers from Municipal Solid Waste Incineration (MSWI) Fly Ash. Waste Manag. 2007, 27, 1178–1189. [Google Scholar] [CrossRef] [PubMed]
- Qian, G.; Song, Y.; Zhang, C.; Xia, Y.; Zhang, H.; Chui, P. Diopside-Based Glass-Ceramics from MSW Fly Ash and Bottom Ash. Waste Manag. 2006, 26, 1462–1467. [Google Scholar] [CrossRef] [PubMed]
- Nishida, K.; Nagayoshi, Y.; Ota, H.; Nagasawa, H. Melting and Stone Production Using MSW Incinerated Ash. Waste Management 2001, 21, 443–449. [Google Scholar] [CrossRef] [PubMed]
- Fan, Y.; Zhang, F.-S.; Zhu, J.; Liu, Z. Effective Utilization of Waste Ash from MSW and Coal Co-Combustion Power Plant-Zeolite Synthesis. J. Hazard. Mater. 2008, 153, 382–388. [Google Scholar] [CrossRef]
- Ohbuchi, A.; Fujii, K.; Kasari, M.; Koike, Y. Characterization of Soluble and Insoluble Radioactive Cesium in Municipal Solid Waste Incineration Fly Ash. Chemosphere 2020, 248, 126007. [Google Scholar] [CrossRef]
- Qureshi, A.A.; Tariq, S.; Din, K.U.; Manzoor, S.; Calligaris, C.; Waheed, A. Evaluation of Excessive Lifetime Cancer Risk Due to Natural Radioactivity in the Rivers Sediments of Northern Pakistan. J. Radiat. Res. Appl. Sci. 2014, 7, 438–447. [Google Scholar] [CrossRef]
- Bulut, H.A.; Şahin, R. Radiological Characteristics of Self-Compacting Concretes Incorporating Fly Ash, Silica Fume, and Slag. J. Build. Eng. 2022, 58, 104987. [Google Scholar] [CrossRef]
- Taskin, H.; Karavus, M.; Ay, P.; Topuzoglu, A.; Hidiroglu, S.; Karahan, G. Radionuclide Concentrations in Soil and Lifetime Cancer Risk Due to Gamma Radioactivity in Kirklareli, Turkey. J. Environ. Radioact. 2009, 100, 49–53. [Google Scholar] [CrossRef]
- Alareqi, W.; Bobaker, A.; Alakili, I.; Majid, A.; Sarmani, S. Determination of Heavy Metals and Radionuclides in Coal and Industrial Fly Ash by Neutron Activation Analysis (NAA) and Gamma Spectrometry. Sains. Malays. 2019, 48, 1655–1660. [Google Scholar] [CrossRef]
- Mohamed, H.; Pauzi, A.M.; Ahmad, N.; Karim, N.A.; Wazir, M.N.U.I.; Zaiul Bahri, C.N.A.C.; Idris, M.I. Natural Radioactivity Analysis and Radiological Impact Assessment from a Coal Power Plant. Int. J. Radiat. Res. 2023, 21, 797–804. [Google Scholar] [CrossRef]
- Lim, S.M.; Choi, J.W.; Hong, M.H.; Jung, D.; Lee, C.Y.; Park, S.Y.; Shim, H.S.; Sheen, S.; Kwak, K.I.; Kang, D.R.; et al. Indoor Radon Exposure Increases Tumor Mutation Burden in Never-Smoker Patients with Lung Adenocarcinoma. Lung Cancer 2019, 131, 139–146. [Google Scholar] [CrossRef]
- Fuente, M.; Long, S.; Fenton, D.; Hung, L.C.; Goggins, J.; Foley, M. Review of Recent Radon Research in Ireland, OPTI-SDS Project and Its Impact on the National Radon Control Strategy. Appl. Radiat. Isot. 2020, 163, 109210. [Google Scholar] [CrossRef] [PubMed]
- Walczak, K.; Olszewski, J.; Politański, P.; Domeradzka-Gajda, K.; Kowalczyk, K.; Zmyślony, M.; Brodecki, M.; Stępnik, M. Residential Exposure to Radon and Levels of Histone γH2AX and DNA Damage in Peripheral Blood Lymphocytes of Residents of Kowary City Regions (Poland). Chemosphere 2020, 247, 125748. [Google Scholar] [CrossRef]
- Mishra, M.; Sahu, S.K.; Mangaraj, P.; Beig, G. Assessment of Hazardous Radionuclide Emission Due to Fly Ash from Fossil Fuel Combustion in Industrial Activities in India and Its Impact on Public. J. Environ. Manag. 2023, 328, 116908. [Google Scholar] [CrossRef] [PubMed]
- Łukaszek-Chmielewska, A.; Piotrowska, B.; Isajenko, K.; Lipiński, P.; Podleśna, A.; Lewicka, S.; Rachwał, M. A Study of Natural Radioactivity of Rock Meals Used for Soil Fertilization. CATENA 2024, 241, 107959. [Google Scholar] [CrossRef]
- Łukaszek-Chmielewska, A.; Girard, M.; Wojtkowski, K.; Isajenko, K.; Piotrowska, B. Analysis of Natural Radionuclide Concentrations in Selected Building Materials Available on the Domestic Market. SHS Web Conf. 2018, 57, 02003. [Google Scholar] [CrossRef]
- Kurek, K.; Isajenko, K.; Piotrowska, B.; Łukaszek-Chmielewska, A.; Lipiński, P. Impact of Legislative Change on the Classification of Raw Materials and Building Materials in Terms of Natural Radioactivity. ZN SGSP 2023, 1, 211–231. [Google Scholar] [CrossRef]
- Beretka, J.; Matthew, P.J. Natural Radioactivity of Australian Building Materials, Industrial Wastes and by-Products. Health Phys. 1985, 48, 87–95. [Google Scholar] [CrossRef]
- Feng, T.; Lu, X. Natural Radioactivity, Radon Exhalation Rate and Radiation Dose of Fly Ash Used as Building Materials in Xiangyang, China. Indoor Built Environ. 2015, 25, 626–634. [Google Scholar] [CrossRef]
- ISO 18589-1:2019; Measurement of Radioactivity in the Environment—Soil, Part 1: General Guidelines and Definitions. ISO: Geneva, Switzerland, 2019. Available online: https://www.iso.org/standard/71210.html (accessed on 3 January 2025).
- Abdullahi, S.; Ismail, A.F.; Samat, S. Determination of Indoor Doses and Excess Lifetime Cancer Risks Caused by Building Materials Containing Natural Radionuclides in Malaysia. Nucl. Eng. Technol. 2019, 51, 325–336. [Google Scholar] [CrossRef]
- Ahmed, R. Estimation of Excess Lifetime Cancer Risk and Radiation Hazard Indices in Southern Iraq. Environ. Earth Sci. 2017, 76, 303. [Google Scholar]
- Loan, T.T.H.; Ba, V.N.; Thien, B.N. Natural Radioactivity Level in Fly Ash Samples and Radiological Hazard at the Landfill Area of the Coal-Fired Power Plant Complex, Vietnam. Nucl. Eng. Technol. 2022, 54, 1431–1438. [Google Scholar] [CrossRef]
- Oladele, B.B.; Arogunjo, A.M.; Aladeniyi, K. Indoor and Outdoor Gamma Radiation Exposure Levels in Selected Residential Buildings across Ondo State, Nigeria. Int. J. Radiat. Res. 2018, 16, 363–370. [Google Scholar]
- Smetsers, R.C.G.M.; Tomas, J.M. A Practical Approach to Limit the Radiation Dose from Building Materials Applied in Dwellings, in Compliance with the Euratom Basic Safety Standards. J. Environ. Radioact. 2019, 196, 40–49. [Google Scholar] [CrossRef]
- Gezer, F.; Turhan, Ş.; Ufuktepe, Y. Radiometric Analysis of Micas Used in Many Industries and Evaluation of Radiological Hazards. Radiochim. Acta 2021, 109, 643–651. [Google Scholar] [CrossRef]
- Turhan, Ş.; Jamasali, Y. Evaluation of Radiological Health Risk Caused by the Use of Fly Ash in Cement and Concrete Production and Its Storage. Int. J. Environ. Health Res. 2024, 34, 3256–3271. [Google Scholar] [CrossRef]
- Kurnaz, A.; Turhan, Ş.; Metin, O.; Altıkulaç, A.; Duran, C. Evaluation of Terrestrial Radionuclide Levels and Concomitant Radiological Risks of Bentonites Used in Many Industries. Int. J. Environ. Health Res. 2023, 33, 1706–1715. [Google Scholar] [CrossRef]
- Righi, S.; Bruzzi, L. Natural Radioactivity and Radon Exhalation in Building Materials Used in Italian Dwellings. J. Environ. Radioact. 2006, 88, 158–170. [Google Scholar] [CrossRef] [PubMed]
- Loan, T.T.H.; Ba, V.N.; Van Thai Bang, N.; Thy, T.H.N.; Hong, H.T.Y.; Huy, N.Q. Natural Radioactivity and Radiological Health Hazard Assessment of Chemical Fertilizers in Viet Nam. J. Radioanal. Nucl. Chem. 2018, 316, 111–117. [Google Scholar] [CrossRef]
- Abojassim, A.; Mraity, H.; Husain, A.; Wood, M. Estimation of the Excess Lifetime Cancer Risk from Radon Exposure in Some Buildings of Kufa Technical Institute, Iraq. Nucl. Phys. At. Energy 2017, 18, 276–286. [Google Scholar] [CrossRef]
- Fardy, J.J.; McOrist, G.D.; Farrar, Y.J. Neutron Activation Analysis and Radioactivity Measurements of Australian Coals and Fly Ashes. J. Radioanal. Nucl. Chem. Artic. 1989, 133, 217–226. [Google Scholar] [CrossRef]
- Paul, D.; Haydar, M.A.; Hasan, M.; Ali, M.; Paul, D.; Haydar, M.; Islam, S. Natural Radioactivity and Assessment of Associated Radiation Hazards in Soil and Water Samples Collected from in and around of the Barapukuria 2 × 125 MW Coal Fired Thermal Power Plant, Dinajpur, Bangladesh. J. Nucl. Part. Phys. 2014, 4, 17–24. [Google Scholar] [CrossRef]
- Asaduzzaman, K.; Mannan, F.; Khandaker, M.; Farook, M.; Elkezza, A.; Amin, Y.; Sharma, S.; Abu Kassim, H. Assessment of Natural Radioactivity Levels and Potential Radiological Risks of Common Building Materials Used in Bangladeshi Dwellings. PLoS ONE 2015, 10, e0140667. [Google Scholar] [CrossRef]
- Fungaro, D.; Silva, P.; Campello, F.; Da Silva, C.; Izidoro, J. Evaluation of Radionuclide Contamination of Soil, Coal Ash and Zeolitic Materials from Figueira Thermoelectric Power Plant. Braz. J. Radiat. Sci. 2019, 7, 1–18. [Google Scholar] [CrossRef]
- Lu, X.; Jia, X.; Wang, F. Natural Radioactivity of Coal and Its By-Products in the Baoji Coal-Fired Power Plant, China. Curr. Sci. 2006, 91, 1508–1511. [Google Scholar]
- Lu, X.; Li, L.Y.; Wang, F.; Wang, L.; Zhang, X. Radiological Hazards of Coal and Ash Samples Collected from Xi’an Coal-Fired Power Plants of China. Environ. Earth Sci. 2012, 66, 1925–1932. [Google Scholar] [CrossRef]
- Sofilić, T.; Barišiae, D.; Sofiliae, U.; Ðurokoviae, M. Radioactivity of Some Building and Raw Materials Used in Croatia. Pol. J. Chem. Technol. 2011, 13, 23–27. [Google Scholar] [CrossRef]
- Vaasma, T.; Loosaar, J.; Gyakwaa, F.; Kiisk, M.; Özden, B.; Tkaczyk, A.H. Pb-210 and Po-210 Atmospheric Releases via Fly Ash from Oil Shale-Fired Power Plants. Environ. Pollut. 2017, 222, 210–218. [Google Scholar] [CrossRef]
- Vaasma, T.; Loosaar, J.; Kiisk, M.; Tkaczyk, A.H. Radionuclide Concentration Variations in the Fuel and Residues of Oil Shale-Fired Power Plants: Estimations of the Radiological Characteristics over a 2-Year Period. J. Environ. Radioact. 2017, 173, 25–33. [Google Scholar] [CrossRef] [PubMed]
- Vaasma, T.; Kiisk, M.; Meriste, T.; Tkaczyk, A.H. The Enrichment of Natural Radionuclides in Oil Shale-Fired Power Plants in Estonia—The Impact of New Circulating Fluidized Bed Technology. J. Environ. Radioact. 2014, 129, 133–139. [Google Scholar] [CrossRef] [PubMed]
- Smith, K.R.; Crockett, G.M.; Oatway, W.B. Radiological Impact on the UK Population of Industries Which Use or Produce Materials Containing Enhanced Levels of Naturally Occurring Radionuclides Part I: Coal-Fired Electricity Generation; NRBP: Chilton, UK, 2001; p. 87. [Google Scholar]
- Papastefanou, C. Radioactivity of Coals and Fly Ashes. J. Radioanal. Nucl. Chem. 2008, 275, 29–35. [Google Scholar] [CrossRef]
- Karangelos, D.J.; Petropoulos, N.P.; Anagnostakis, M.J.; Hinis, E.P.; Simopoulos, S.E. Radiological Characteristics and Investigation of the Radioactive Equilibrium in the Ashes Produced in Lignite-Fired Power Plants. J. Environ. Radioact. 2004, 77, 233–246. [Google Scholar] [CrossRef]
- Papastefanou, C. Radiological Impact from Atmospheric Releases of 226Ra from Coal-Fired Power Plants. J. Environ. Radioact. 1996, 32, 105–114. [Google Scholar] [CrossRef]
- Papaefthymiou, H.; Symeopoulos, B.; Soupioni, M. Neutron Activation Analysis and Natural Radioactivity Measurements of Lignite and Ashes from Megalopolis Basin, Greece. J. Radioanal. Nucl. Chem. 2007, 274, 123–130. [Google Scholar] [CrossRef]
- Papastefanou, C. Escaping Radioactivity from Coal-Fired Power Plants (CPPs) Due to Coal Burning and the Associated Hazards: A Review. J. Environ. Radioact. 2010, 101, 191–200. [Google Scholar] [CrossRef]
- Petropoulos, N.P.; Anagnostakis, M.J.; Simopoulos, S.E. Photon Attenuation, Natural Radioactivity Content and Radon Exhalation Rate of Building Materials. J. Environ. Radioact. 2002, 61, 257–269. [Google Scholar] [CrossRef]
- Kardos, R.; Sas, Z.; Hegedűs, M.; Shahrokhi, A.; Somlai, J.; Kovács, T. Radionuclide Content of NORM By-Products Originating from the Coal-Fired Power Plant in Oroszlány (Hungary). Radiat. Prot. Dosim. 2015, 167, 266–269. [Google Scholar] [CrossRef]
- Kumar, V.; Ramachandran, T.V.; Prasad, R. Natural Radioactivity of Indian Building Materials and By-Products. Appl. Radiat. Isot. 1999, 51, 93–96. [Google Scholar] [CrossRef] [PubMed]
- Mishra, U.C. Relative Radiation Hazards of Coal Based and Nuclear Power Plants; International Atomic Energy Agency (IAEA): Vienna, Austria, 1983; pp. 1–5. [Google Scholar]
- Singh, L.M.; Kumar, M.; Sahoo, B.K.; Sapra, B.K.; Kumar, R. Study of Natural Radioactivity, Radon Exhalation Rate and Radiation Doses in Coal and Flyash Samples from Thermal Power Plants, India. Phys. Procedia 2015, 80, 120–124. [Google Scholar] [CrossRef]
- Lalit, B.Y.; Ramachandran, T.V.; Mishra, U.C. Radiation Exposures Due to Coal-Fired Power Stations in India. Radiat. Prot. Dosim. 1986, 15, 197–202. [Google Scholar] [CrossRef]
- Vig, N.; Mor, S.; Khaiwal, R. The Multiple Value Characteristics of Fly Ash from Indian Coal Thermal Power Plants: A Review. Environ. Monit. Assess. 2022, 195, 33. [Google Scholar] [CrossRef]
- Jalil, S.; Rashid, M. Analysis of Natural Radioactivity in Coal and Ashes from a Coal Fired Power Plant. Chem. Eng. Trans. 2015, 45, 1549–1554. [Google Scholar] [CrossRef]
- Ademola, J.; Onyema, U. Assessment of Natural Radionuclides in Fly Ash Produced at Orji River Thermal Power Station, Nigeria and the Associated Radiological Impact. Nat. Sci. 2014, 6, 752–759. [Google Scholar] [CrossRef]
- Fidanchevski, E.; Angjusheva, B.; Jovanov, V.; Murtanovski, P.; Vladiceska, L.; Aluloska, N.S.; Nikolic, J.K.; Ipavec, A.; Šter, K.; Mrak, M.; et al. Technical and Radiological Characterisation of Fly Ash and Bottom Ash from Thermal Power Plant. J. Radioanal. Nucl. Chem. 2021, 330, 685–694. [Google Scholar] [CrossRef]
- Jankovic, M.; Todorovic, D.; Nikolic, J. Analysis of Natural Radionuclides in Coal, Slag and Ash in Coal-Fired Power Plants in Serbia. J. Min. Metall. Sect. B Metall. 2011, 47, 149–155. [Google Scholar] [CrossRef]
- Ignjatović, I.; Sas, Z.; Dragaš, J.; Somlai, J.; Kovács, T. Radiological and Material Characterization of High Volume Fly Ash Concrete. J. Environ. Radioact. 2017, 168, 38–45. [Google Scholar] [CrossRef]
- Charro, E.; Peña, V. Environmental Impact of Natural Radionuclides from a Coal-Fired Power Plant in Spain. Radiat. Prot. Dosim. 2013, 153, 485–495. [Google Scholar] [CrossRef]
- Turhan, Ş.; Parmaksız, A.; Köse, A.; Yüksel, A.; Arıkan, İ.H.; Yücel, B. Radiological Characteristics of Pulverized Fly Ashes Produced in Turkish Coal-Burning Thermal Power Plants. Fuel 2010, 89, 3892–3900. [Google Scholar] [CrossRef]
- Van Duong, P.; Thanh, V.T.; Dien, P.Q. Nguyen Thanh Binh Application of Nuclear Activation Analysis (NAA) and Low-Level Gamma Counting to Determine the Radionuclide and Trace Element-Pollutant Releases from Coal-Fired Power Plants in Vietnam. Sci. Total Environ. 1995, 173–174, 339–344. [Google Scholar] [CrossRef]
- Taylor-Lange, S.C.; Juenger, M.C.G.; Siegel, J.A. Radon Emanation Fractions from Concretes Containing Fly Ash and Metakaolin. Sci. Total Environ. 2014, 466–467, 1060–1065. [Google Scholar] [CrossRef] [PubMed]
- Nuccetelli, C.; Pontikes, Y.; Leonardi, F.; Trevisi, R. New Perspectives and Issues Arising from the Introduction of (NORM) Residues in Building Materials: A Critical Assessment on the Radiological Behaviour. Constr. Build. Mater. 2015, 82, 323–331. [Google Scholar] [CrossRef]
- Lauer, N.; Vengosh, A.; Dai, S. Naturally Occurring Radioactive Materials in Uranium-Rich Coals and Associated Coal Combustion Residues from China. Environ. Sci. Technol. 2017, 51, 13487–13493. [Google Scholar] [CrossRef]




| Plant Size | Total | ||||||||||||||
|---|---|---|---|---|---|---|---|---|---|---|---|---|---|---|---|
| S1 | S2 | S3 | S4 | ||||||||||||
| Min | Max | Med | Min | Max | Med | Min | Max | Med | Min | Max | Med | Min | Max | Med | |
| Raeq (Bq kg−1) | 20.9 | 503 | 326 | 44.7 | 575 | 330 | 180 | 448 | 320 | 262 | 420 | 324 | 20.9 | 548 | 321.2 |
| Hex | 0.07 | 1.7 | 1 | 0.14 | 1.9 | 1.02 | 0.52 | 1.5 | 1 | 0.84 | 1.3 | 1.01 | 0.07 | 1.93 | 1.002 |
| Hin | 0.08 | 2.1 | 1.22 | 0.17 | 2.6 | 1.25 | 0.58 | 2 | 1.23 | 1.04 | 1.6 | 1.23 | 0.8 | 2.56 | 1.23 |
| Size | D | Din | Dout | Eef | Ein | Eout | IAED | ACI | AI | |
|---|---|---|---|---|---|---|---|---|---|---|
| Unit | (nGy h−1) | (mSv y−1) | - | - | ||||||
| S1 | Min | 9.51 | 18.2 | 9.26 | 0.012 | 0.089 | 0.011 | 0.085 | 1.62 | 0.044 |
| Max | 231.0 | 448.0 | 224.0 | 0.284 | 2.20 | 0.274 | 2.10 | 34.3 | 1.45 | |
| Med | 149.0 | 285.0 | 146.0 | 0.183 | 1.40 | 0.179 | 1.33 | 14.6 | 0.644 | |
| SD | 64.0 | 123.0 | 62.0 | 0.079 | 0.606 | 0.076 | 0.578 | 10.1 | 0.389 | |
| S2 | Min | 19.9 | 38.0 | 19.2 | 0.024 | 0.186 | 0.024 | 0.177 | 8.66 | 0.082 |
| Max | 264.0 | 514.0 | 254.0 | 0.324 | 2.52 | 0.312 | 2.42 | 529.0 | 1.87 | |
| Med | 151.0 | 289.0 | 148.0 | 0.186 | 1.42 | 0.181 | 1.35 | 174.0 | 0.667 | |
| SD | 35.4 | 68.7 | 34.1 | 0.043 | 0.337 | 0.042 | 0.323 | 107.0 | 0.283 | |
| S3 | Min | 89.7 | 173.0 | 88.7 | 0.110 | 0.849 | 0.109 | 0.797 | 288.0 | 0.177 |
| Max | 203.0 | 392.0 | 195.0 | 0.249 | 1.92 | 0.240 | 1.84 | 1267.0 | 1.36 | |
| Med | 147.0 | 282.0 | 143.0 | 0.180 | 1.38 | 0.175 | 1.31 | 627.0 | 0.678 | |
| SD | 9.93 | 18.9 | 9.49 | 0.012 | 0.093 | 0.117 | 0.089 | 182.0 | 0.078 | |
| S4 | Min | 117.0 | 224.0 | 113.0 | 0.143 | 1.10 | 0.139 | 1.05 | 772.0 | 0.486 |
| Max | 194.0 | 372.0 | 188.0 | 0.237 | 1.82 | 0.231 | 1.73 | 1334.0 | 1.00 | |
| Med | 150.0 | 287.0 | 146.0 | 0.184 | 1.41 | 0.179 | 1.34 | 997.0 | 0.640 | |
| SD | 14.0 | 27.2 | 13.5 | 0.017 | 0.133 | 0.017 | 1.128 | 104.0 | 0.132 | |
| Total | Min | 9.51 | 18.21 | 9.26 | 0.012 | 0.089 | 0.011 | 0.085 | 1.62 | 0.044 |
| Max | 264.3 | 514.4 | 254.4 | 0.324 | 2.52 | 0.312 | 2.42 | 1334.0 | 1.87 | |
| Med | 147.5 | 282.9 | 143.6 | 0.181 | 1.39 | 0.176 | 1.32 | 508.0 | 0.672 | |
| SD | 24.0 | 46.5 | 23.18 | 0.029 | 0.233 | 0.028 | 0.218 | 306.0 | 0.182 | |
| S1 | S2 | S3 | S4 | Total | |||||||||||
|---|---|---|---|---|---|---|---|---|---|---|---|---|---|---|---|
| Min | Max | Med | Min | Max | Med | Min | Max | Med | Min | Max | Med | Min | Max | Med | |
| Unit | mSv−1 × 10−3 | ||||||||||||||
| ELCRin | 0.489 | 10.3 | 6.84 | 1.35 | 48.0 | 17.3 | 23.6 | 97.7 | 48.8 | 58.0 | 99.4 | 74.0 | 0.489 | 99.4 | 40.4 |
| ELCRout | 0.062 | 1.28 | 0.872 | 0.169 | 5.94 | 2.21 | 2.98 | 12.2 | 6.19 | 7.32 | 12.6 | 9.43 | 0.062 | 12.6 | 5.13 |
| ELCRext | 0.551 | 11.6 | 7.72 | 1.52 | 54.0 | 19.5 | 26.6 | 110.0 | 55.0 | 65.3 | 112.0 | 83.5 | 0.551 | 112.0 | 45.5 |
| Country [Reference] | Plant Capacity | Activity Concentration (Bq kg−1) | Remarks | |||
|---|---|---|---|---|---|---|
| 226Ra | 232Th | 40K | 238U | |||
| Australia [76] | - | 59–110 | 57–130 | 170–615 | 64–114 | - |
| Bangladesh [77] | 250 MW | 70.9 | 115.3 | 205.5 | - | - |
| Bangladesh [78] | - | 117.8 | 157.3 | 1463.3 | - | - |
| Belgium [19] | 2 units 500 MW total | 590–1100 | - | - | - | FA in chimney |
| 160–185 | FA caught by electro-filters | |||||
| Brazil [28] | 10 MW | 1442–3773 | 43–124 | 471–968 | 1459–5198 | - |
| Brazil [79] | 162 MW | 661 | 80 | 489 | 867.5 | 210Pb: 806; 228Ra: 67 |
| China [63] | 2000 MW | 90.3–165.6 | 83.9–145.6 | 309.0–593.2 | - | Exhalation rate (Eh) (Bqm−2 h−1): 4.7–20.5 |
| - | 136.5–189.9 | 123.6–202.4 | 176.5–278.6 | - | ||
| China [80] | 660 MW | 76.1–165.7 | 118.7–195.6 | 261.5–520.8 | - | |
| China [81] | 850 MW | 60.5–131.8 | 61.5–164.6 | 155.9–316.1 | - | Raeq: 169.3–384.0 |
| 900 MW | 46.4–148.0 | 59.3–153.9 | 123.3–343.0 | Raeq: 139.7–388.6 | ||
| Croatia [82] | - | 53.3 | 54.4 | 361.7 | - | Raeq: 158.9 |
| Estonia [83,84,85] | 2030 MW | - | 12–26 | 400 | 50 | 228Ra: 50 |
| Great Britain [86] | - | 40–70 | - | - | - | - |
| Greece [87] | - | 142–605 | - | 204–382 | 263–950 | 228Ra: 27–68 |
| 210Pb: 133–428 | ||||||
| Greece [88] | 4 units 850 MW total | 794–1028 | 50–55 | 403–516 | 899–1051 | 210Pb: 1028–1322 |
| Greece [89] | 600 MW | 142–165 | - | - | - | - |
| 620 MW | 193–299 | |||||
| 1200 MW | 430–495 | |||||
| 1200 MW | 570–605 | |||||
| Greece [90] | 550 MW | 1020 | 59.1 | 447 | 998 | |
| Greece [91] | - | 366 | 50 | 297 | ||
| Greece [92] | - | 273–1377 | 41–65 | 143–661 | ||
| Hungary [93] | 324 MW | 178 | 55 | 387 | - | I-index (activity index): 1.00 |
| India [17] | 2920 MW | 58.2 | 89.2 | 301.2 | - | - |
| 2100 MW | 84.1 | 98.8 | 297.1 | |||
| 1720 MW | 83.1 | 102.5 | 334.1 | |||
| 1320 MW | 78.4 | 89.1 | 362.7 | |||
| 1050 MW | 76.3 | 87.5 | 288.1 | |||
| 840 MW | 81.8–177.3 | 111.6–178.5 | 365.9–495.9 | |||
| 810 MW | 78.5 | 86.5 | 278.1 | |||
| 705 MW | 75.5 | 88.1 | 286.4 | |||
| 460 MW | 79.2 | 96.3 | 291.6 | |||
| India [22] | - | 60.7–105.7 | 19.8–125.1 | 43.6–199.8 | 67.3–116.2 | |
| India [94] | 1270 MW | 45.1 | 39.9 | 88.4 | Raeq: 109.2 | |
| India [95] | 480 MW | 150.0 | 133.2 | 340.4 | - | |
| India [95] | 600 MW | 865.8 | 107.3 | 55.5 | ||
| India [96] | 135 MW | 18.90–26.12 | 26.65–44.55 | 532.3–929.5 | - | Raeq: 95.23–136.19 |
| 705 MW | 19.33–48.56 | 18.89–87.60 | 419.2–695.0 | Raeq: 92.60–175.96 | ||
| India [97] | 4200 MW | 59.2 | 95.1 | 507.0 | - | - |
| 3390 MW | 64.0 | 126.9 | 370.0 | |||
| 1350 MW | 126.9 | 138.0 | 279.0 | |||
| 338 MW | 70.3 | 118.4 | 252.0 | |||
| 210 MW | 49.2 | 106.2 | 329.3 | |||
| 30 MW | 64 | 126.9 | 370.0 | |||
| India [20] | 1260 MW | 111.4 | 140.2 | 350.7 | - | - |
| 350 MW | 97.3 | 107.5 | 315.8 | |||
| 215 MW | 126.9 | 106.3 | 321.8 | |||
| India [98] | 1260 MW | 695 | 103 | 342 | - | |
| Kosovo [29] | 910 MW | 30 | 30 | 133 | - | |
| Malaysia [99] | 2100 MW | 48 | 44 | 299 | - | Raeq: 135; Hex: 0.40 |
| Malaysia [54] | 3100 MW | - | 50.2–134.57 | 327.54–1114.40 | 67.54–189.18 | Raeq (Bq kg−1): Th: 467.42 K: 429.09 U: 164.55 |
| Malaysia [53] | 2420 MW | 27.42 | 134.41 | 321.65 | 152.71 | 232U: 157.71 |
| Nigeria [100] | 30 MW | 41 | 49 | 321 | - | - |
| Pakistan [50] | - | 50.1 | 70.1 | 533 | - | |
| Poland [26] | - | 54.2–119.3 | 47.5–91.5 | 448.5–758.0 | 94.0–184.6 | 210Pb: 43.5–264.3 |
| Republic of North Macedonia [101] | 675 MW | 143 | 116 | 719 | - | - |
| Serbia [102] | 1650 MW | - | Raeq: 182–308; Hex: 0.68 | |||
| 1360 MW | Raeq: 105–152; Hex: 0.33 | |||||
| 1240 MW | Raeq: 102–325; Hex: 0.64 | |||||
| 299 MW | 120 | 72 | 360 | Raeq: 170–316; Hex: 0.63 | ||
| 120 MW | Raeq: 164–405; Hex: 0.68 | |||||
| Serbia [18] | 1650 MW | 114.4–118.8 | - | - | - | - |
| Serbia [103] | 1240 MW | 90 | 66 | 240 | - | |
| Spain [104] | 400 MW | 128 | 88 | 860 | - | - |
| Turkey [25] | 1355 MW | 291–853 | - | - | - | - |
| Turkey [51] | 457 MW | 24.6–899.7 | 18.2–47.2 | 270.2–436.5 | - | Raeq: 71.85–1000.76 Annual effective dose equivalent (mSv y−1): 42.02–532.12 |
| Turkey [105] | 190 MW | 47.2–186.0 | 10.4–138.6 | 123.0–815.0 | -- | Raeq: 72.5–400.6 |
| 210 MW | 87.0–575.9 | 75.0–212.0 | 28.0–2057.0 | Raeq: 269.1–812.1 | ||
| 300 MW | 20.0–229.0 | 50.0–217.0 | 90.0–2532.3 | Raeq: 158.4–665.4 | ||
| 320 MW | 103.4–248.0 | 55.3–113.0 | 84.7–342.6 | Raeq: 208.8–414.9 | ||
| 420 MW | 182.1–906.2 | 9.0–96.0 | 112.0–1244.0 | Raeq: 212.0–968.3 | ||
| 429 MW | 117.0–790.0 | 105.5–2740.0 | 25.3–2349.0 | Raeq: 374.4–1090.0 | ||
| 457 MW | 156.0–2720 | 16.0–158.0 | 98.0–1978.0 | Raeq: 259.8–2760.9 | ||
| 620 MW | 17.0–476.0 | 10.1–155.5 | 17.0–850.0 | Raeq: 51.9–684.2 | ||
| 630 MW | 341.0–1142.0 | 9.0–141.0 | 75.0–484.0 | Raeq: 376.1–1201.0 | ||
| 630 MW | 63.0–992.0 | 40.5–696.0 | 12.0–2062.0 | Raeq: 255.0–1710.5 | ||
| 1034 MW | 23.0–2398.0 | 38.0–279.0 | 13.4–2974.0 | Raeq: 187.6–2630.1 | ||
| 1320 MW | 70.0–166.0 | 48.0–204.0 | 195.0–695.0 | Raeq: 174.9–402.7 | ||
| 1360 MW | 234.0–1245.0 | 11.0–127.0 | 61.0–1613.0 | Raeq: 254.4–1382.5 | ||
| 1440 MW | 117.0–431.1 | 10.0–77.0 | 65.7–371.5 | Raeq: 143.3–518.9 | ||
| Vietnam [67] | 4244 MW | 77 | 92 | 938 | 93 | Radon dose: 5.27 Indoor external: 1.22 Internal: 0.16 Total effective dose equivalent: 6.65 mSv y−1 |
| Vietnam [106] | 1040 MW | 14.3–37.5 | 83–461 | 523–673 | - | - |
| 330 MW | 11.0–30.3 | 70–370 | 450–920 | |||
| USA [107] | - | 100–200 | 23–125 | 112–315 | - | - |
| EU average [108] | - | 207 | 80 | 564 | - | - |
| World aver. [51] | - | 32 | 45 | 420 | - | Raeq: 370 |
Disclaimer/Publisher’s Note: The statements, opinions and data contained in all publications are solely those of the individual author(s) and contributor(s) and not of MDPI and/or the editor(s). MDPI and/or the editor(s) disclaim responsibility for any injury to people or property resulting from any ideas, methods, instructions or products referred to in the content. |
© 2025 by the authors. Licensee MDPI, Basel, Switzerland. This article is an open access article distributed under the terms and conditions of the Creative Commons Attribution (CC BY) license (https://creativecommons.org/licenses/by/4.0/).
Share and Cite
Isajenko, K.; Piotrowska, B.; Szyłak-Szydłowski, M.; Reizer, M.; Maciejewska, K.; Kwestarz, M. Radiological Assessment of Coal Fly Ash from Polish Power and Cogeneration Plants: Implications for Energy Waste Management. Energies 2025, 18, 3010. https://doi.org/10.3390/en18123010
Isajenko K, Piotrowska B, Szyłak-Szydłowski M, Reizer M, Maciejewska K, Kwestarz M. Radiological Assessment of Coal Fly Ash from Polish Power and Cogeneration Plants: Implications for Energy Waste Management. Energies. 2025; 18(12):3010. https://doi.org/10.3390/en18123010
Chicago/Turabian StyleIsajenko, Krzysztof, Barbara Piotrowska, Mirosław Szyłak-Szydłowski, Magdalena Reizer, Katarzyna Maciejewska, and Małgorzata Kwestarz. 2025. "Radiological Assessment of Coal Fly Ash from Polish Power and Cogeneration Plants: Implications for Energy Waste Management" Energies 18, no. 12: 3010. https://doi.org/10.3390/en18123010
APA StyleIsajenko, K., Piotrowska, B., Szyłak-Szydłowski, M., Reizer, M., Maciejewska, K., & Kwestarz, M. (2025). Radiological Assessment of Coal Fly Ash from Polish Power and Cogeneration Plants: Implications for Energy Waste Management. Energies, 18(12), 3010. https://doi.org/10.3390/en18123010

