Cooperative Optimization Analysis of Variable-Speed and Fixed-Speed Pumped-Storage Units Under Large Disturbances in the Power System
Abstract
1. Introduction
- This paper delves into the strategy for VSPS to supply large-scale fast power to power systems when new energy is off-grid. Through a practical-case analysis, it thoroughly explores the full-range characteristics of variable-speed pumped-storage.
- A collaborative optimization strategy for pumped-storage clusters, based on the consistency algorithm and applicable during large power-system disturbances, is proposed and its stability is analyzed. This strategy improves the stability of power systems with a high proportion of new energy clusters after they are off-grid from multiple time-scale perspectives. Specifically, it enhances the recovery frequency of large-disturbance faults, elevating it from 49.56 Hz to 49.8 Hz.
2. Power Control Principle Analysis
2.1. Frequency Drop Characteristics of New Energy Disturbance Source When Off-Grid
2.2. Rapid Control Strategy of Large Power of Variable-Speed Pumping and Storage Unit
2.3. Power Control Strategy of Constant-Speed Pumping and Storage Unit
3. Methods
3.1. Analysis of Cooperative Optimization Strategy of Variable-Speed and Constant-Speed Pumped-Storage Units Based on Consistency Algorithm
3.2. Collaborative Optimization of Variable-Speed and Fixed-Speed Pumped-Storage Units, Considering Timing
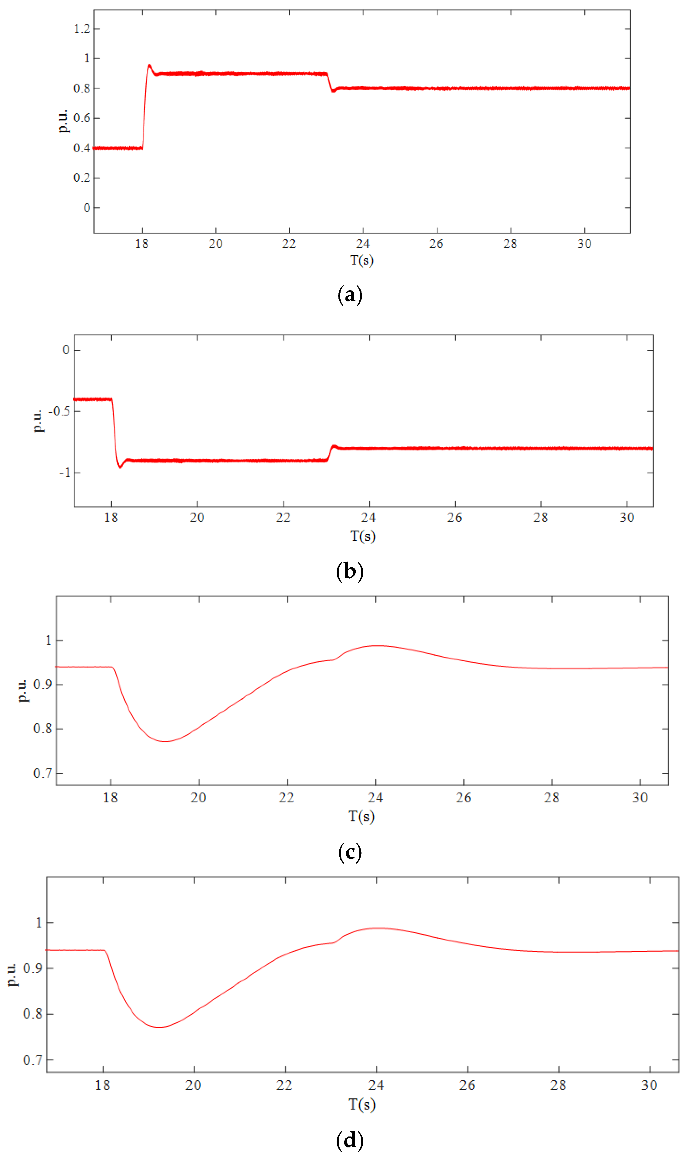
4. Analysis of Numerical Examples
4.1. Coordinated Control of Pumping and Storage Unit Cluster
4.2. Frequency Change of the Joint System
5. Conclusions
Author Contributions
Funding
Data Availability Statement
Acknowledgments
Conflicts of Interest
References
- Ma, L.; Kong, X.; Liu, X.; Abdelbaky, M.A.; Besheer, A.H.; Wang, M.; Lee, K.Y. Offshore wind power generation system control using robust economic MPC scheme. Ocean Eng. 2023, 283, 115178. [Google Scholar] [CrossRef]
- Deng, J.; Cheng, F.; Yao, L.; Xu, J.; Mao, B.; Li, X.; Chen, R. A review of system topologies, key operation, and control technologies for offshore wind power transmission based on HVDC. IET Gener. Transm. Distrib. 2023, 17, 3345–3363. [Google Scholar] [CrossRef]
- Wang, G.; Dong, Y.; Xu, T.; He, J.; He, J.; Zhang, Y. Analysis and implications of the Brazil “8.15” black—Out accident. Proc. CSEE 2023, 43, 9461–9470. [Google Scholar] [CrossRef]
- Appendices to the Technical Report on the Events of 9 August 2019. Available online: https://www.neso.energy/document/152346/download (accessed on 1 March 2025).
- Xu, J.; Wang, X.; Zhu, L.; Shen, Y.; Guo, W.; Hu, X.; Ma, Y.; Huang, R. Stochastic optimal allocation of grid-side independent energy storage considering energy storage participating in the multi-market trading operation. AIP Adv. 2024, 14, 105223. [Google Scholar] [CrossRef]
- Karthik, D.; Raghu, S.; Raj, C.T. Effective Utilization of Parallel-Connected Megawatt Three-Level Back-to-Back Power Converters in Variable Speed Pumped Storage Units. IEEE Trans. Ind. Appl. 2019, 55, 6414–6426. [Google Scholar]
- Gao, C.; Yu, X.; Nan, H.; Guo, P.; Fan, G.; Meng, Z.; Ge, Y.; Cai, Q. Rotating speed pulling-back control and adaptive strategy of doubly-fed variable speed pumped storage unit. Renew. Energy 2024, 232, 121044. [Google Scholar] [CrossRef]
- Lu, Q.; Qiao, J.; Yin, X.; Yin, X.; Liu, Z.; Wang, Y.; Wang, K. A rotor open-phase imbalance protection for variable speed pumped storage unit based on rotation transformation fault component ratio. Int. J. Electr. Power Energy Syst. 2024, 160, 110105. [Google Scholar] [CrossRef]
- Liu, Y.; Yang, W.; Yang, J.; Huang, Y.; Zhao, Z. Quantifying power regulation characteristics in pump mode of variable-speed pumped storage unit with DFIM. Energy Sci. Eng. 2024, 12, 2837–2851. [Google Scholar] [CrossRef]
- Jukić, D.-K.; Kugi, A.; Kemmetmüller, W. Optimal operation of pumped storage power plants with fixed- and variable-speed generators in multiple electricity markets considering overload operation. J. Energy Storage 2024, 88, 111601. [Google Scholar] [CrossRef]
- Wang, H.; Li, C.; Tan, X.; Lu, X.; Zhu, Z.; Xu, R.; Liu, X.; Wang, Z. Multi-timescale analysis and quantification of dynamic regulation characteristics of DFIM-based variable-speed pumped storage units in alleviating wind power fluctuations. J. Energy Storage 2024, 88, 111482. [Google Scholar] [CrossRef]
- Gao, C.; Yu, X.; Nan, H.; Guo, P.; Meng, Z.; Ge, Y. The impact of hump characteristics on variable speed pumped storage units under pump mode and improvement measures. J. Energy Storage 2024, 87, 111416. [Google Scholar] [CrossRef]
- Tan, X.; Li, C.; Liu, D.; Wang, H.; Lu, X.; Zhu, Z.; Xu, R. Stability analysis and singular perturbation model reduction of DFIG-based variable-speed pumped storage unit adopting the fast speed control strategy. J. Energy Storage 2024, 87, 111340. [Google Scholar] [CrossRef]
- Malathy, N.; Sukhi, Y. Improved start-up strategy for a doubly fed induction machine fed large rated variable speed pumped storage unit in pumping mode operation. Electr. Eng. 2023, 106, 615–629. [Google Scholar] [CrossRef]
- Cao, R.; Guo, W.; Qu, F. Hydraulic disturbance characteristics and power control of pumped storage power plant with fixed and variable speed units under generating mode. J. Energy Storage 2023, 72, 108298. [Google Scholar] [CrossRef]
- Domagoj-Krešimir, J.; Andreas, K. Optimal dynamic operation of pumped storage power plants with variable and fixed speed generators. Control Eng. Pract. 2023, 138, 105601. [Google Scholar]
- Narayanasamy, M.; Sukhi, Y. Rotor short-circuited start-up strategy for a doubly fed induction machine-fed large-rated variable-speed pumped storage unit operating in pumping mode. J. Power Electron. 2023, 23, 1733–1744. [Google Scholar] [CrossRef]
- Sun, S.; Wang, X.; Lei, Y.; Lu, Y.; Song, P.; Zhang, J.; Liang, S.; Wang, B. Equilibrium analysis of doubly fed-based variable-speed pumped storage unit under remote grid fault. Energy Rep. 2023, 9, 172–177. [Google Scholar] [CrossRef]
- Tan, X.; Li, C.; Liu, D.; Wang, H.; Xu, R.; Lu, X.; Zhu, Z. Multi-time scale model reduction strategy of variable-speed pumped storage unit grid-connected system for small-signal oscillation stability analysis. Renew. Energy 2023, 211, 985–1009. [Google Scholar] [CrossRef]
- Huang, Y.; Yang, W.; Zhao, Z.; Han, W.; Li, Y.; Yang, J. Dynamic modeling and favorable speed command of variable-speed pumped-storage unit during power regulation. Renew. Energy 2023, 206, 769–783. [Google Scholar] [CrossRef]
- Zhao, C.; Wang, L.; Ma, Y.; Xiang, P.; Jiang, S.; Chen, W.; Zhang, Y.; Li, M. Transient Stability Simulation Analysis of Multi-Node Power Network with Variable Speed Pumped Storage Units. J. Electr. Eng. Technol. 2023, 18, 2811–2822. [Google Scholar] [CrossRef]
- Xu, Z.; Deng, C.; Yang, Q. Flexibility of variable-speed pumped-storage unit during primary frequency control and corresponding assessment method. Int. J. Electr. Power Energy Syst. 2023, 145, 108691. [Google Scholar] [CrossRef]
- Li, S.; Xie, H.; Yan, Y.; Wu, T.; Huang, T.; Liu, Y.; Li, C.; Liang, H.; Cao, T. Excitation control of variable speed pumped storage unit for electromechanical transient modeling. Energy Rep. 2022, 8, 818–825. [Google Scholar] [CrossRef]
- Yan, Y.; Wu, T.; Li, S.; Xie, H.; Li, Y.; Liu, M.; Zhao, Y.; Liang, H.; Zhang, G.; Xin, H. Optimal operation strategies of pumped storage hydropower plant considering the integrated AC grids and new energy utilization. Energy Rep. 2022, 8, 545–554. [Google Scholar] [CrossRef]
- Feng, C.; Zheng, Y.; Li, C.; Mai, Z.; Wu, W.; Chen, H. The cost advantage of adjustable-speed pumped storage unit for daily operation in distributed hybrid system. Renew. Energy 2021, 176, 1–10. [Google Scholar] [CrossRef]
- Feng, C.; Li, C.; Chang, L.; Ding, T.; Mai, Z. Advantage analysis of variable-speed pumped storage units in renewable energy power grid: Mechanism of avoiding S-shaped region. Int. J. Electr. Power Energy Syst. 2020, 120, 105976. [Google Scholar] [CrossRef]
- Liu, X.-K.; Wang, Y.-W.; Liu, Z.-W.; Huang, Y. Synergistic Operation Framework for the Energy Hub Merging Stochastic Distributionally Robust Chance-Constrained Optimization and Stackelberg Game. IEEE Trans. Energy Convers. 2024, 39, 10666779. [Google Scholar]
- Zhang, H.; Li, H.; Wang, Z.; Chen, G.; Wen, C. Distributed Hybrid-Triggered Observer-Based Secondary Control of Multi-Bus DC Microgrids Over Directed Networks. IEEE Trans. Ind. Inform. 2025, 20, 10945–10954. [Google Scholar]
- Lee, S.J.; Choi, J.Y.; Lee, H.J.; Won, D.J. Distributed coordination control strategy for a multi-microgrid based on a consensus algorithm. Energies 2017, 10, 1107. [Google Scholar] [CrossRef]
- Yang, J.; Hou, J.; Liu, Y.; Zhang, H. Distributed cooperative control method and application in power system. Trans. China Electrotech. Soc. 2021, 36, 4035–4049. [Google Scholar]
- Xu, B.; Yu, X.; Yang, Y. Distributed wind-storage coordinate frequency control strategy based on a multi-agent system. Power Syst. Prot. Control 2022, 50, 13–24. [Google Scholar]
- Tang, M.; Qu, X.; Yao, R.; Zhang, Y.; Chen, W.; Jia, K. Multi-photovoltaic coordinated control strategy in DC distribution network based on discrete consensus algorithm. Autom. Electr. Power Syst. 2020, 44, 89–95. [Google Scholar]












| Electric Power Parameters | Numerical | Electric Power Parameters | Numerical |
|---|---|---|---|
| New energy disturbance source | 1500 MW | Simultaneous rate of offshore wind cluster | 80% |
| Variable-speed pumping and storage unit power | 300 MW | Load active power Initial demand power | 1200 MW |
| Constant-speed pumping and storage unit 1 power | 300 MW | Load active power Initial demand power for off-grid fans | 1200 MW |
| Constant-speed pumping and storage unit 2 power | 300 MW | The new energy disturbance source cluster can generate power after failure | 600 MW |
| Initial state of VSPS | 120 MW | Multiple power after a variable-speed pumping cluster failure | 600 MW |
Disclaimer/Publisher’s Note: The statements, opinions and data contained in all publications are solely those of the individual author(s) and contributor(s) and not of MDPI and/or the editor(s). MDPI and/or the editor(s) disclaim responsibility for any injury to people or property resulting from any ideas, methods, instructions or products referred to in the content. |
© 2025 by the authors. Licensee MDPI, Basel, Switzerland. This article is an open access article distributed under the terms and conditions of the Creative Commons Attribution (CC BY) license (https://creativecommons.org/licenses/by/4.0/).
Share and Cite
Chen, W.; Xu, J. Cooperative Optimization Analysis of Variable-Speed and Fixed-Speed Pumped-Storage Units Under Large Disturbances in the Power System. Energies 2025, 18, 2441. https://doi.org/10.3390/en18102441
Chen W, Xu J. Cooperative Optimization Analysis of Variable-Speed and Fixed-Speed Pumped-Storage Units Under Large Disturbances in the Power System. Energies. 2025; 18(10):2441. https://doi.org/10.3390/en18102441
Chicago/Turabian StyleChen, Weidong, and Jianyuan Xu. 2025. "Cooperative Optimization Analysis of Variable-Speed and Fixed-Speed Pumped-Storage Units Under Large Disturbances in the Power System" Energies 18, no. 10: 2441. https://doi.org/10.3390/en18102441
APA StyleChen, W., & Xu, J. (2025). Cooperative Optimization Analysis of Variable-Speed and Fixed-Speed Pumped-Storage Units Under Large Disturbances in the Power System. Energies, 18(10), 2441. https://doi.org/10.3390/en18102441
