You are currently viewing a new version of our website. To view the old version click .
Energies
  • Article
  • Open Access

29 December 2024

Reliability of Insulation Systems and Its Impact on Electric Machine Design for Automotive and Aviation Applications

,
,
,
,
,
and
1
Cluster of Excellence SE2A—Sustainable and Energy-Efficient Aviation, Technische Universität Braunschweig, 38106 Braunschweig, Germany
2
Institute for Electrical Machines, Traction and Drives, Technische Universität Braunschweig, 38106 Braunschweig, Germany
3
Elenia Institute for High Voltage Technology and Power Systems, Technische Universität Braunschweig, 38106 Braunschweig, Germany
*
Author to whom correspondence should be addressed.
This article belongs to the Section F: Electrical Engineering

Abstract

The growing use of electric machines in safety-critical applications, such as electromobility and electrified aviation, underscores the importance of ensuring their reliability. The reliability of electric machines will increasingly depend on the electrical insulation system (EIS), as they face higher voltage levels, faster switching semiconductors, and more demanding environmental conditions. The influence that the dimensioning of the enameled copper wire and the slot insulation material has on the reliability of the EIS and how different impregnation resins and novel high-thermal-conductivity (HTC) configurations of the slot insulation materials affect it will be demonstrated. This is because in addition to increased reliability, the performance of electrical machines is to be improved at the same time. A case study for an aviation application is used to show how the EIS influences the machine design. Depending on the EIS, the copper and iron losses and the conductor temperature have been investigated with the aim of keeping them as low as possible while simultaneously minimizing the risk of PD.

1. Introduction

Optimizing the most fault-prone component of an electrical machine is crucial, as it determines the machine’s overall lifespan. One of the most comprehensive studies on the identification of weak points in electrical machines was carried out by the Electric Power Research Insitute (ERPI) in 1982 [] and supplemented by [] in 1985. These studies showed that the bearings were the most failure-prone components of the electrical machine, accounting for 44% of the total failures. In comparison, stator winding was responsible for only 26% of the failures. Mechanical failure was held responsible for 33% of the failures. Thermal faults accounted for only 13%, and insulation failure was the cause of failure in 12% of cases. A similar evaluation of the two studies can be found in []. Decades later, bearing damage was also identified as the dominant cause of failure in [], accounting for over 50%. Quality standards for high-quality reliable electrical machines have therefore been achieved in the past through optimized lubrication procedures, reduced particle contamination, and the improved surface quality of the bearings.
The adoption of fast-switching wide-bandgap (WBG) semiconductors, such as silicon carbide or gallium nitride (GaN) [] along with higher DC link voltages, as discussed in [] for aviation applications up to 4 kV and as discussed in [] for the automotive sector up to 800 V, has significantly altered failure patterns in electrical machines. In [], it is shown that increased voltage stresses can increase the percentage of failures in stator windings to 66% of total failures. The reason for increased failure in time (FIT) rates at higher voltage stresses is the increased occurrence of PDs, which damage the EIS and finally lead to failure []. These conditions have led to a significant increase in research activities regarding the lifetime of EISs and PDs in electrical machines in recent years []. In summary, the use of SiC semiconductors favors non-uniform voltage distribution in the machine winding and transient overvoltages [,]. According to [,], the maximum voltage amplitude is again the dominant factor for the occurrence of PDs, whereas the voltage slope and the clock frequency of the SiC semiconductors only have a less significant influence. With regard to the clock frequency, it should be noted that although this does not increase the probability of PDs occurring in a single voltage pulse, higher clock frequencies increase the number of impulses and thus also the number of possible PDs per time interval [].
To ensure reliable operation under high voltage amplitudes caused by transient overvoltages, the EIS of the electrical machine must be optimized, and a deep understanding of the failure mechanisms must be achieved. Therefore, in [], the influence of environmental factors such as humidity, temperature, contamination and pressure on the partial discharge inception voltage (PDIV) was investigated. The experimental results of this work showed a great influence of pressure and temperature on the PD activity. In addition, an interaction between temperature and humidity was explored, with insulation lifetime decreasing at high temperature and high humidity and increasing at low temperature and high humidity. Since the exponential relationship between the lifetime and temperature was described very early by Arrhenius [] and Dakin [], many studies are concerned with novel cooling systems used to lower the temperature and increase the lifetime of electrical machines. In [], the effect of an end winding cooling system on the lifetime of the machine is investigated. The experiments on motorettes showed that the lifetime of the reference machine could be extended significantly. In addition to research on significant factors influencing PDs, other studies investigate the EIS, which is designed to separate elements of different potentials and resist PDs. The conductor and the slot liner are two other important components of the EIS of electrical machines besides the resin. The individual consideration of these components is carried out in [,] for the conductor and in [] for the slot liner material. In all three studies, an exponential relationship between the lifetime and the temperature was found. PD measurements were additionally performed to verify the reliability of the components. In [], PDs were measured at lower voltages as temperatures increased.
This paper examines the overall EIS of motorettes. Reliability is assessed by means of PD measurements at different temperatures, since temperature has been shown to affect PDIV in many literature references. In addition to various common materials, novel HTC slot liners with increased thermal conductivity will also be investigated. In addition to the materials, the dimensions (thickness of the slot liner and diameter of the enameled copper wire) of the components of the EIS are also varied. The variation of the EIS directly affects the performance of the electrical machine []. To complete the holistic element of this paper, performance studies for an electrical machine with aviation purposes are referenced in addition to reliability studies, in which the impact of a slot liner with different thicknesses on the copper and iron losses and on the temperature of the conductor for a DC bus voltage of 1600 V is investigated. In order to keep the PD activity as low as possible, the impact of wider slots and thicker slot liners on the losses and temperature is discussed in detail.

2. PD Measurement and Comparison of Different DUTs

2.1. PD Measurement

Figure 1a shows one of the constructed DUTs, and Figure 1b presents the result of a PD measurement, as indicated in []. The DUT is fed with several voltage pulses. If more than 50% of the voltage pulses lead to a PD, this voltage level is defined as repetitive partial discharge inception voltage (RPDIV). Similarly, the voltage level from which 50% or less of the voltage pulses again cause PDs is the repetitive partial discharge extinction voltage (RPDEV). The threshold value above which the signal received by the microwave measurement antenna is assigned to a PD was chosen to be 15 and can be read on the right axis in Figure 1b. This decimal scaling of the PD intensity is mentally easier to grasp and clearer to visualize than the measured logarithmic PD level of the leakage field of the DUT. The decimal scaling is calculated by the difference between the zero level of the background noise (−90 dBm) and the measured maximum value.
Figure 1. Motorette and PD measurement results. (a) Motorette used to simulate the PDs of the real stator. (b) PD measurement point with five surge voltage pulses.
It is noticeable that in Figure 1b, the highest PD activity occurs at the beginning of the surge pulse. This has also been observed in the majority of the other measurements in this study and in other research works [,,]. To determine the RPDIV and RPDEV values, the voltage level is increased stepwise from 1000 V to a maximum value and then decreased linearly. At each voltage level, the DUT is loaded with 10 voltage pulses as shown in Figure 1b, and the PD activity is measured. From 6 of 10 PD pulses, the RPDIV is reached. Figure 2a, as shown in [], shows the pyramidal RPDIV-RPDEV test. The left axis indicates the amplitude of the voltage pulse and the right axis the number of PD pulses. The RPDIV and RPDEV values are marked with red circles. Typically, the RPDIV is higher than the RPDEV. The PD intensity, shown on the right axis in Figure 1b, is shown in Figure 2b []. An analysis of Figure 2a,b shows that in measuring points 20 to 25, pulses already exceeding the limit value of 15 and PDs are detected. However, it is not until measuring point 26 at a voltage of 3378 V that more than five pulses lead to PDs. This is therefore the RPDIV. With the RPDEV, this is reversed. Figure 2b additionally shows that with increasing voltage amplitude, the intensity of PDs also increases.
Figure 2. RPDIV-RPDEV measurement after pyramidal surge voltage excitation. (a) RPDIV-RPDEV test with the maximum surge voltage and number of PD measurements. (b) Maximum PD intensity in the RPDIV-RPDEV test.

2.2. Different DUTs

In the choice of the DUT, there is a conflict of objectives between DUTs that are as close to reality as possible on the one hand and DUTs that are as cost-effective as possible on the other. It should be considered that several DUTs should be used for each measurement to allow additional statistical analysis. Depending on the research question, a large number of DUTs may therefore be required. The research question also influences the choice of the DUT. If the reliability of a particular electrical machine is to be investigated, or if it is to be certified, the real machine should also be investigated. As shown in Figure 3 and according to [], unconnected stators are suitable for measuring PDs between the different phases of the machine winding. The stator housing can be connected to ground potential, allowing PD measurements between the winding and the stator. If the research question addresses statements on the significance of certain aging factors on the EIS or a comparison of different EISs and no specific electrical machine is considered, the EIS can be represented by a model as a motorette, according to []. Motorettes, as shown in Figure 1a, represent the design and the EIS of a real machine, as illustrated in []. However, they are simplified so that more motorettes than stators can be manufactured with the same budget. This allows the determination of the reliability of the EIS with an increased statistical confidence, or the investigation of multiple aging factors. When investigating individual EIMs instead of the entire EIS, the DUT can be further simplified. When investigating the insulation layer of enameled copper wires, the twisted pair DUT proposed in [] is often used [,,,]. Alternatively, coils can also be used as a DUT to represent the winding. A comparison of accelerated lifetime tests between motorettes, twisted pairs, and coils can be found in [,]. The studies show that the lifetimes of the different DUTs vary, raising the question of the comparability of PD measurements of a motorette with a real reference machine. Therefore, in this paper, before evaluating different EISs, the influence of simplification from the real stator to the motorette is described in Section 2.3. In addition to the enameled copper wire, the slot liner and the impregnating resin are also primary insulation components. In the literature, these EIMs are rarely examined individually. The test voltage can be applied to the top and bottom copper electrodes and the EIM is clamped between the electrodes []. In the case of impregnating resins, thin slices can be made by curing the resin in small shells. The two electrodes are insulated from each other by a base plate made of polyetheretherketone (PEEK). A similar spherical plate design with which PD measurements on insulating papers have been carried out can be found in [].
Figure 3. Unconnected stator with open neutral point and extraction of the individual phases for PD measurements.

2.3. Comparison of PD Measurements Between Real Stator and Motorettes

In order to transfer the condition assessment of the EIS of a motorette by PD measurements to a real machine, it must be verified that the geometric changes do not influence the PD measurements (or only influence them to an acceptable extent). This is particularly important, since previous studies have found differences in the lifetime measurements of different simplified DUTs [,]. The stator from Figure 3 was chosen as a reference. Table 1 lists the properties and materials of the stator. The enamelled copper wire is grade 2-insulated, has an insulation coating with Tris (2-Hydroxyethyl) isocyanurate (THEIC)-modified polyesterimide, is overcoated with polyamideimide, and is temperature-resistant up to 200 °C (thermal class N) according to []. The slot liner has the three-layer design typical for power-dense machines, which will be discussed in Section 3. According to the manufacturer, it is temperature-resistant up to 180 °C (thermal class H). The reference machine was impregnated with a high-performance polyesterimid resin with a temperature resistance of up to 220 °C (heat class R). The same EIMs of the reference machine were also used for the motorettes.
Table 1. Parameters of the reference stator.
The simplification steps from the reference stator to the motorette are listed below.
1.
Variation of geometry: The first step was to investigate whether the linear design of the motorette compared to the round stator affects the PD measurements. The three coils of a pair of poles of the reference stator were considered and unwound linearly. The axial length, the shape of the slots, the wire, and the EIMs were not changed. The motorette was also impregnated using a trickle method by storing it at an angle, preheating the wires, and trickling the impregnating resin into one side of the end winding. After the impregnating resin had completely impregnated the motorette, the resin was cured at 140 °C for two hours. In order to reproduce the stator laminations, the iron body of the motorette was made of iron sheets. The iron sheets can be seen in [] and Figure 4a.
Figure 4. Simplification steps from the reference stator to the motorettes. (a) Iron sheets for the manufacture of the motorette. (b) Simplification of the slot geometry. (c) Simplified motorettes with two coils and reduced axial length.
2.
Influence of laminations: In order to investigate the influence of the laminations, a motorette with an iron body made of solid material was manufactured in the second step. This motorette is shown in Figure 1a. It is identical to the first motorette, with the exception of the laminations. A wirecutting process was used to mill the complex slot geometry into the iron.
3.
Adaptation of the winding: In order to save material and to be able to manufacture more DUTs, the winding was adapted in the third step. Instead of the winding scheme of the real motorette with three coils distributed over 12 slots, only two coils overlapping in the end winding were manufactured. All other dimensions, the solid material of the iron body and the EIMs correspond to the second motorette.
4.
Reduction of the axial length: The fourth motorette was manufactured to be axially shorter. The advantage of a reduced axial length is particularly apparent in combination with the fifth simplification step, in which the wirecutting process is replaced by milling. The reduced axial length saves time during milling and speeds up production. In this fourth step, however, the wirecutting process with complex slot geometry was still used. Figure 4c, adapted from [], shows two of these motorettes.
5.
Simplification of the slot geometry: In the last simplification step, the real slot geometry of the reference stator is simplified to a simple rectangular shape. The rectangular shape allows the use of a milling cutter instead of the more complex wirecutting process. The adaptation of the slot geometry, as shown in Figure 4b, is adapted from [].
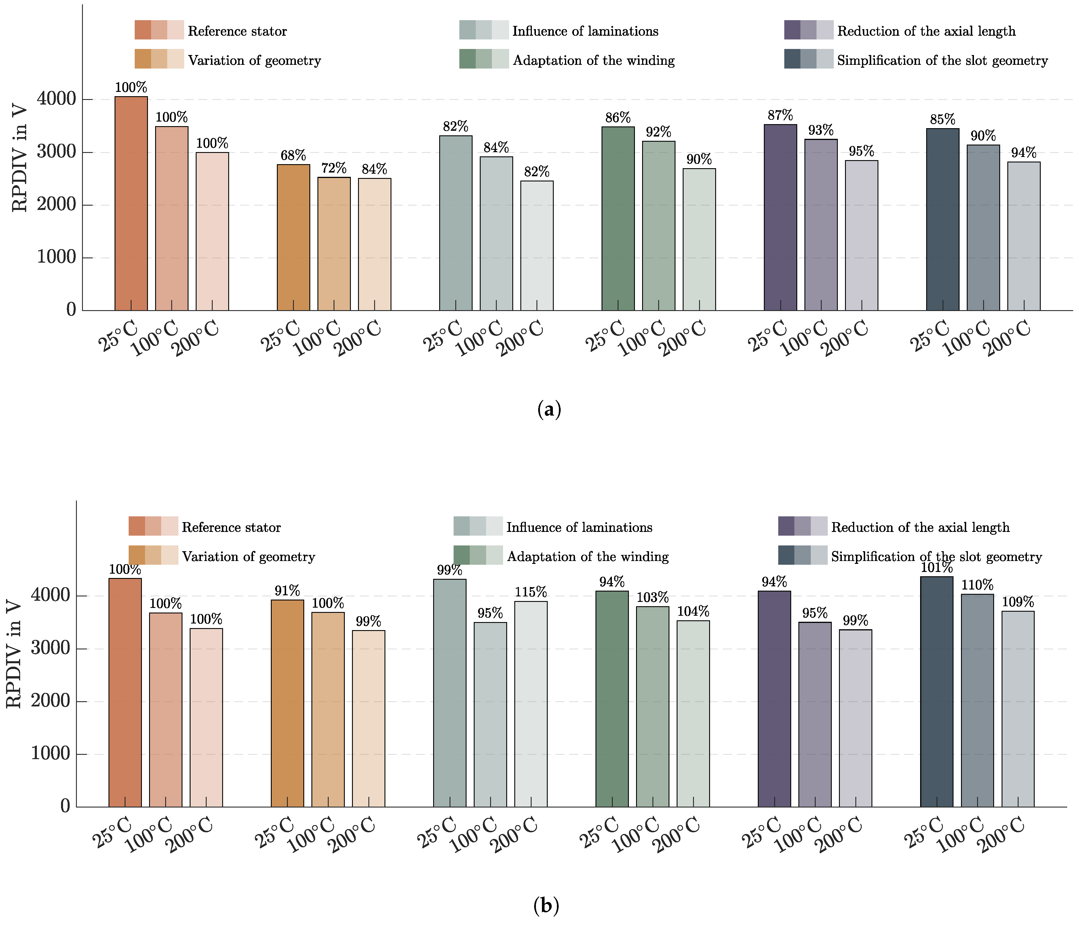
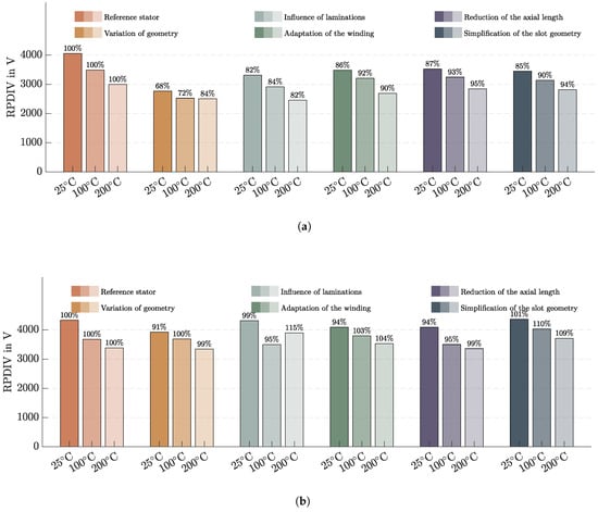
The PD measurements were carried out using a measurement system with surge voltage excitation. Figure 5 compares the RPDIV values of the reference stator and the previously described simplified motorettes, as shown in []. Figure 5a shows the PD measurements between the winding and the iron body, and Figure 5b shows the PD measurements between the windings.
Figure 5. Comparison of the RPDIV values of the reference stator with the stepwise simplified motorettes. (a) RPDIV measurements between the winding and the iron body. (b) RPDIV measurements between the different phases/windings.
The PD measurements were performed at 25 °C, 100 °C, and 200 °C, respectively, since temperature affects the partial discharge behavior [,]. This could be caused by temperature-related changes in the material properties as well as increased mechanical stresses due to different thermal expansion of the EIMs. The latter affect the microscopic cavities in which PDs preferentially ignite. In the investigated temperature range up to 200 °C, the properties of the gases and thus of the ionization processes changing is rather unlikely. First, the PD measurements between the winding and the iron body reflect the behavior of partial discharges in the active regions of the electrical machine. The percentage values above the bars in Figure 5a indicate the deviation of the RPDIV values from the reference stator. The RPDIV values of all motorettes are below the RPDIV values of the reference stator. In particular, the laminated motorette shows very strong deviations from the stator at 25 °C (68% of the RPDIV value of the reference stator). Since the RPDIV values of the other motorettes are more similar to the reference stator, manufacturing influences cannot be excluded in the case of the laminated motorette. The deviations of the other simplified motorettes from the reference stator range from 95% to 82% and can be read in Figure 5a. Although the motorettes were simplified step by step and differ more from the reference stator at each step, the differences between the RPDIV values of the motorettes whose iron body was made of solid material are not significant. The results show that varying the winding, dimensions, or slot geometry does not significantly affect the PD measurements as long as the same EIS is used. Manufacturing influences, especially in the impregnation process, on the other hand, could rather explain variations in PD behavior between the motorettes and the reference stator. The simplification from the stator to the motorettes affects the end winding only in step one and step three. In the other simplification steps, the end winding remains unaffected. For completeness, the PD measurements between the windings or coils of all DUTs are given in Figure 5b. Compared with the measurements in Figure 5a, the RPDIV values of the motorettes are in some cases even higher than those of the reference stator. The RPDIV values vary between 91% and 115% with respect to the respective reference value. The absolute RPDIV values of all motorettes are higher than in Figure 5a. One reason for this could be that in the PD measurements between the winding and the iron body, the potentials are separated from the slot liner and the enamel layer of the copper wire. In the PD measurements between the windings and coils, the potentials are separated from the slot liner and the enamel layers of the copper wires of both phases (Figure 1a). Thus, the insulation between the windings is thicker by the enamel layer of one wire. The same material was used for the end winding as for the slot liner. From the PD measurements in Figure 5b, it can be concluded that the behavior of the RPDIV values between the reference stator and the simplified motorettes is similar, and no significant differences can be seen. Thus, the choice of motorette is based on the PD measurements in Figure 5a. One research objective of this paper is to compare multiple EISs. Since manufacturing whole stators in large numbers would require excessive effort and cost, and when comparing the RPDIV values in Figure 5a, no motorette clearly resembles the reference stator in PD behavior more than the others. The most simplified motorette is used for the subsequent investigations in Section 3. The conclusion of the PD measurements between the winding and the iron body is that PD investigations on simplified motorettes lead to a rather pessimistic assessment of the reliability of the EIS. This must be taken into account in the subsequent investigations in Section 3. It is recommended [] to choose more conservative DUT configurations rather than optimistic ones.

3. Evaluation of the Reliability of the Motorettes

The entire EISs consisting of the three individual components will be examined in this chapter. For this purpose, the motorettes that proved to be the most suitable in Section 2.3 in terms of realism and effort will be used and equipped with the insulation materials from Table 2.
Table 2. Investigated EIM and dimensions of the primary insulation components.
The enameled copper wires used were manufactured by the same manufacturer and are grade 2-insulated. They are temperature-resistant up to 210 °C according to [] and are assigned to thermal class N. The slot liners are manufactured in three layers. The aramid of the first five slot liners is comparable with the aramid of the company “DuPont” known under the commercial name “Nomex”. The following slot liner has two modified aramid layers. The two lowest slot liners are HTC configurations. The two HTC papers have a thermal conductivity of 0.38 W mK , while the thermal conductivity of the other papers is 0.2 W mK . In the lowest slot liner, the aramid layers have been replaced by glass fiber modified layers. The thickness of the individual layers is given in the third column. Since the manufacturing tolerances are between 10% and 15%, the sum of the individual layers may differ from the total thickness. For the impregnating resins, three single-component resins were selected from the three most common impregnating materials: epoxy, polyesterimide and polyester. The individual insulation components interact with each other and influence each other. For example, due to impregnation, the slot liner absorbs the impregnation resin and changes its properties. The impregnation method used for all motorettes was trickle impregnation, which has already been described in Section 2.3. Only the temperatures during preheating of the motorettes and the curing temperatures vary depending on the material and are listed in Table 3.
Table 3. Temperatures and curing times for trickling impregnation.
The evaluation of the overall EIS is based on PD measurements with surge voltage excitation. This allows the categorization of the resistance of the different EISs to impulsive stresses in IVIC []. In Section 4, the effects of the EISs on the performance of the electrical machine can then be assigned to the respective IVIC. First, the influence of the dimensions on the EIS is investigated. For this purpose, several DUTs are compared with each other, which differ in the enameled copper wire and slot liner used. All DUTs in this comparison are impregnated with the same epoxy impregnating resin listed in Table 3. The dimensions that are varied are the diameter of the enameled copper wire and the thickness of the slot liner. The diameter of the enameled copper wire has a direct influence on the absolute thickness of the enamel layer of the copper wire []. Figure 6, adapted from [], visualizes the ranges tabulated in [] and identifies the three copper wires used in this paper. To ensure that the absolute enamel layer thicknesses are comparable for the different wire diameters, all enameled copper wires were procured from the same manufacturer. Since there is some overlap in the ranges for the different wire diameters, when comparing wires from different manufacturers, the absolute enamel layer thickness of a 0.71 mm diameter copper wire could be thicker than a 3 mm diameter copper wire. This would not correspond to the general reality but would represent an exceptional case.
Figure 6. Range of insulation thickness of the enamel layer for the three insulation degrees due to [].
In addition, the thickness of the slot liner is varied. Since the slot liners studied in this paper are 3-ply, either the outer plies or the inner ply can be changed according to Table 2. Since the inner polyimide layer is responsible for the high dielectric strength and PD strength of the slot liner, which is investigated with the PD measurements, the variation of this layer is focused. The different DUTs in this comparison have the first four slot liners from Table 2, from which the absolute values can also be read. The PD measurements are performed at 25 °C, 100 °C and 200 °C, as in Section 2.3. The measurement results are shown in Figure 7 for different temperatures []. In each plot, measurements were made at 12 measurement points representing the 12 possible combinations of EIMs for this comparison. Linear interpolation was performed between the measurement points. The results show that the RPDIV increases with both larger diameter and thicker slot liner. In addition, the result from Figure 5 that the RPDIV decreases with increasing temperature could be confirmed. The question of whether the thickness of the polyimid layer of the slot liner or the wire diameter, respectively, or the thickness of the enamel layer of the copper wire influences the PD behavior more significantly cannot be determined unambiguously from these measurements. At 25 °C and 100 °C, the differences in RPDIV values between the maxima and minima are similar. Only a slight tendency towards a greater influence of the slot liner can be seen. At 200 °C, the differences between the 0.22 mm and 0.35 mm thick slot liner are negligible, especially for a wire diameter of 3 mm. Here, the influence of the wire diameter is more significant. For the design of electrical machines, it should be noted that both the choice of wire diameter and the choice of slot liner thickness can influence the reliability of the electrical machine.
Figure 7. Scaled color plots of RPDIV measurements with variations of wire diameter and slot liner thickness. (a) RPDIV measurements at 25 °C. (b) RPDIV measurements at 100 °C. (c) RPDIV measurements at 200 °C.
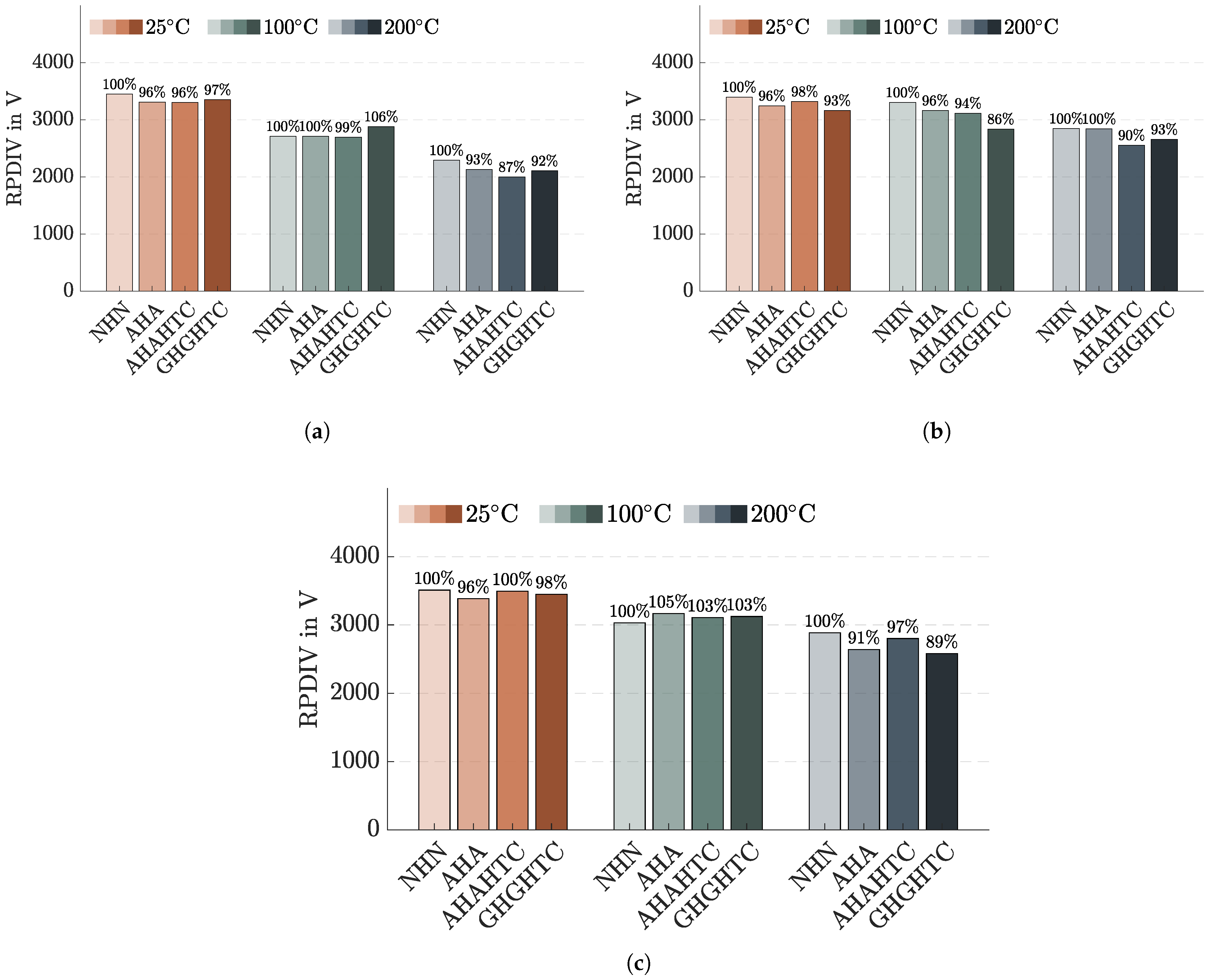
Another way of varying the dimensions of the EISs is to vary the thickness of the outer aramid layers of the 3-ply slot liner. Although the aramid layers are mainly intended to improve the processability and the absorption of the impregnating resin, a question arises about the influence of these layer thicknesses on the PD behavior. In this comparison, the DUTs were again impregnated with epoxy resin. The enameled copper wire selected was the 0.71 mm diameter wire. The slot liners NHN 3/2/3 and NHN 2/2/2 were compared. Their aramid layers have a total thickness of 160 µm (NHN 3/2/3) and 100 µm NHN (2/2/2). The PD measurement results are shown in Figure 8, as described in []. The influence of the aramid layer thickness is visibly small. At 100 °C, the RPDIV results were even identical. In contrast, the difference between the DUTs with the NHN 3/1/3 and NHN 3/3/3 from Figure 7 can be used as a comparison to the results in Figure 8, since here, the middle aramid layer is varied by similar 55 µm. On average, the difference between the RPDIV values of the NHN 3/1/3 and NHN 3/3/3 DUTs at 25 °C is 88%. At 100 °C, the RPDIV values vary by an average of 89% and at 200 °C even by 85%. This comparison confirms that the average polyimid layer is mainly responsible for the dielectric strength and PD strength. Particularly when designing PD-free electrical machines with type I EIS, slot liners with thick polyimid layers should therefore be used.
Figure 8. Comparison of RPDIV values when varying the aramid layer thickness between 160 µm (NHN 3/2/3) and 100 µm (NHN 2/2/2).
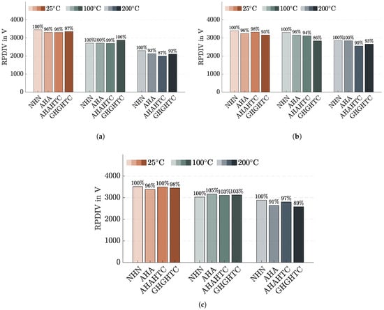
In addition to the dimensions, different materials for slot liners and impregnating resins are examined in this paper. The material comparison starts with the lower four slot liners from Table 2. The DUTs for this comparison again consist of an enameled copper wire with a diameter of 0.71 mm. Since the outer aramid layers improve the absorption of the impregnating resin, the comparison of the four slot liners is carried out for each of the three different impregnating resins. The measurement results can be seen in Figure 9, as shown in []. The plot with the percentage deviation of the slot liners compared to the NHN 2/2/2 and the different temperatures corresponds to the structure in Figure 8. Regardless of the impregnating resin, the results at 25 °C show very little variation in the RPDIV values. The previous measurement results from Figure 7 and Figure 8 have already shown that the middle polyimid layer is mainly responsible for the PD strength. Since this is identical for all slot liners, the result seems plausible. At the same time, this result shows that no combination of materials between the slot liners and the impregnating resins leads to insufficient resin absorption and consequently to a weakened EIS. At higher temperatures, there are occasional differences between the slot liners. In the case of the polyester in Figure 9b, the RPDIV value of the GHG HTC 2/2/2 is only 86% of the reference value of the NHN 2/2/2. However, since the measurements at 25 °C and 200 °C are 93%, it cannot be clearly assumed that the insulation is weakened at higher temperatures. The RPDIV values of the GHG HTC 2/2/2 are even higher than those of the reference paper for the other impregnating resins at 100 °C (Figure 9a,c). This excludes a weaker insulation due to the glass fiber layers. A similar effect can be seen with the AHA HTC 2/2/2 in Figure 9a at 200 °C. The RPDIV value of only 87% compared to the reference initially indicates a weakened EIS. However, the measurements at the other temperatures do not confirm this, so that an outlier can also be assumed here. The conclusion remains that the variation of the outer aramid layers has little effect on the dielectric strength and PD strength. Since the HTC configurations have an increased thermal conductivity, they could be an excellent alternative to conventional slot liners. The effects of the HTC configurations will be examined in more detail in Section 4.
Figure 9. Comparison of different EIMs for slot liners including HTC configurations. (a) Comparison of EIMs between DUTs with 1C epoxy resin. (b) Comparison of EIMs between DUTs with 1C next gen. polyester resin. (c) Comparison of EIMs between DUTs with 1C polyesterimid resin.
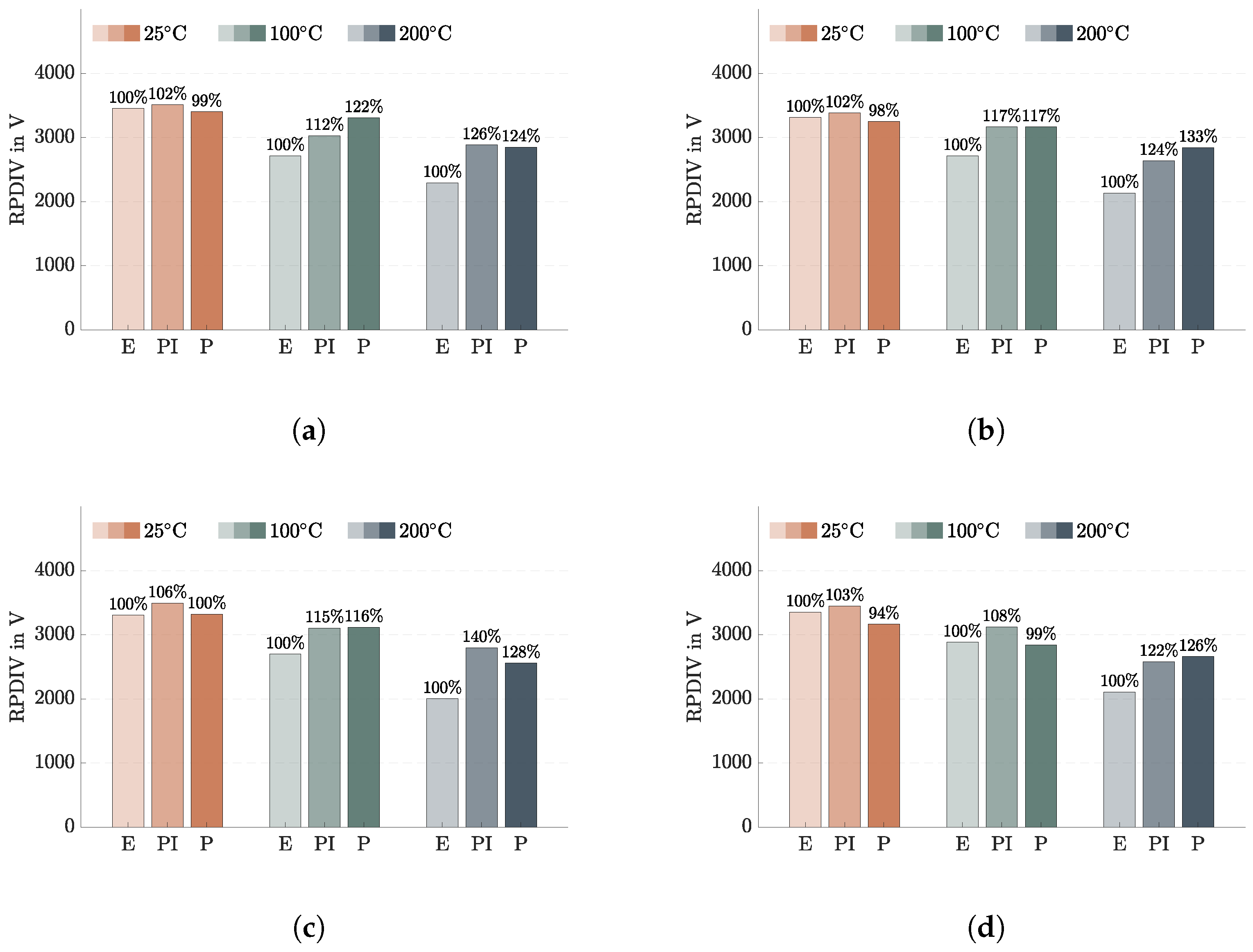
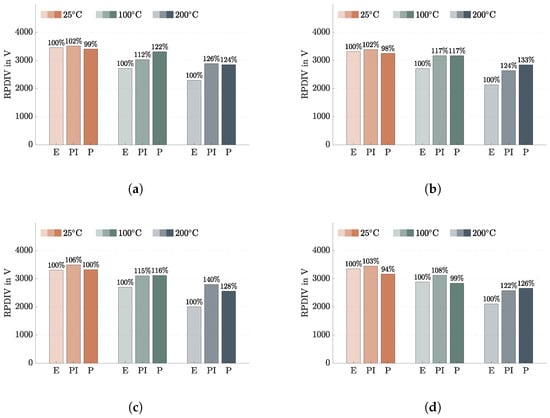
The next material comparison concerns the three impregnating resins from Table 3. As before, when the comparison of the slot liners was carried out for each of the three impregnating resins, the comparison of the impregnating resins was carried out in the same way for the four slot liners in order to be able to identify interactions between the slot liners and the impregnating resins. Figure 10 shows the measurement results, as presented in []. The epoxy resin is abbreviated with (E), the polyesterimide with (PI), and the polyester with (P).
Figure 10. Comparison of the three impregnating resins made of epoxy (E), polyesterimide (PI), and polyester (P). (a) Comparison of the impregnating resins when using the NHN 2/2/2 as slot liner. (b) Comparison of the impregnating resins when using the AHA 2/2/2 as slot liner. (c) Comparison of the impregnating resins when using the AHA HTC 2/2/2 as slot liner. (d) Comparison of the impregnating resins when using the GHG HTC 2/2/2 as slot liner.
A comparison of the RPDIV values at 25 °C shows no significant differences in any of the four figures. At higher temperatures, however, significant differences can be seen. At 100 °C, higher RPDIV values were measured for the polyesterimide and polyester in Figure 10a–c compared to the epoxy resin. Only in Figure 10d are no significant differences observed. In Figure 10a, the polyester shows higher RPDIV values compared to the polyesterimide. However, this cannot be confirmed in the other diagrams. A similar result can be seen at 200 °C. Here, the RPDIV values of the DUTs with polyesterimide and polyester are also higher than those of the epoxy. At 200 °C, this effect is also clearly visible in Figure 10d. The results allow the conclusion that the polyesterimide and the polyester have better breakdown strengths and PD strengths at higher temperatures compared to the epoxy. Moreover, the high RPDIV values for the polyester in Figure 10d cannot confirm that the material combination of polyester and the slot liner with outer glass fiber layers weakens the EIS, which the PD measurements from Figure 9b seemed to suggest.
As an interim conclusion of the PD measurements on the system level, it can be determined that the variation of the insulation thicknesses significantly affects the RPDIV values and thus the dielectric strength and PD strength of the EIS. For the enameled copper wire, this can be achieved by varying the wire diameter. Another possibility would be to choose an enameled copper wire with grade 3 insulation instead of grade 2. In [], significantly increasing PDIV values were measured with increasing insulation grade, which confirms the results of this study. In the case of the slot liner, the thickness of the middle polyimide layer has a large influence on the PD behavior, whereas no influence was found for the variation of the outer aramid layer. Also, the use of other materials in the outer insulation layers did not significantly affect the PD behavior. In comparison, the choice of impregnation resin influenced the dielectric strength and PD strength at high temperatures. Here, higher RPDIV values were measured for the polyesterimide and polyester compared to the epoxy. For the design of electrical machines, this means that polyester or polyesterimide resins should be used especially to improve performance in the overload range. In addition, machine designers can influence the dielectric strength and PD strength most strongly by varying the insulation thicknesses. Furthermore, the HTC configurations showed no significant weaknesses compared to normal EIS. The use of these slot liners therefore seems reasonable. The effects of the choice of EIS on the performance of the electrical machine will be investigated in more detail in Section 4.

4. Effects of EISs on Electric Machines for Aviation Applications

Increasing reliability is one of the most important aspects in the aviation industry. Therefore, an electrical machine designed for aviation application will be investigated in this chapter. However, increasing reliability is often not the sole objective in the development of electrical machines. This chapter therefore addresses the research question of the effects of the use of different EISs on the performance and design of electrical machines. The existing studies [,] make clear that there is a conflict of objectives between the reliability and the performance of electrical machines. Ref. [] focuses on the influence of the EIS on the performance of electrical machines and additionally considers thermal effects. It is shown that, at constant temperature, the maximum possible current density changes with the thickness of the slot liner on the one hand and with the EIM on the other, since the EIMs differ in their thermal conductivity. Again, the machine performance is finally justified by a torque loss resulting from current reduction due to a thicker EIS. Since the objectives of reliability and performance are conflicting, a structured design methodology is required to develop the optimal machine design. Ref. [] shows that in the common performance-oriented design methodology, isolation coordination is based on rules of thumb and experience. This method favors over-engineering and reaches its limits when using entirely new EIMs. Ref. [] proposes a reliability-oriented design methodology in which reliability requirements and performance requirements are equalized and physics of failure (PoF) methods are used in an early development phase to optimize the EIS and avoid over-engineering or later unnecessary iteration steps. In the case study presented here, a reliability-oriented approach is therefore chosen, which first considers the thermal boundary conditions of the EIMs, and in the second step, the electromagnetic design of the machine is performed. The isolation coordination is part of the electromagnetic design and shows the effects of the EIS on the performance of the machine. Table 4 shows the machine data, which are derived from an anlytical rough design. The machine consists of two-layer hair pin windigs. According to [], PMSMs with spoke magnets can provide higher power than PMSMs with surface magnets due to their flux concentration property for each magnet pair. Therefore, a PMSM with spoke magnets was chosen for this study.
Table 4. Machine data for the presented case study.

4.1. Thermal Boundary Conditions for the Use of the EIS

The machine used in this case study has the EIMs from Table 2. The EIS determines the maximum continuous temperature of the electrical machine. According to the manufacturer, the conductor is designed for a maximum continuous temperature of 210 °C. According to [], the slot liners and the impregnating resins belonging to thermal class R are designed for 220 °C. Since the conductor determines the maximum continuous temperature here, a coupled electromagnetic and thermal network model is used to calculate the copper and iron losses that may occur without exceeding the maximum continuous temperature. Exceeding the maximum continuous temperature would accelerate aging, so that achieving the failure time τ C calculated in [] is no longer guaranteed. Based on the thermal boundary conditions for the EIS, the electromagnetic design can be carried out in the second step.

4.2. Electromagnetic Design of the Electric Machine for an Aviation Application

The aim of the electromagnetic design is to achieve the performance-related specifications of the electrical machine while complying with the thermal boundary conditions from Section 4.1. At the same time, the effects of the EIS on the performance of the machine are described here. The maximum current for the machine shown in Figure 11, with the data listed in Table 4 and at which both a power output of 550 kW is achieved and the thermal boundary conditions remain fulfilled, was calculated to be 500 A. The machine is controlled according to Figure 12 in the basic control range with the Maximum Torque per Ampere (MTPA) method and in the field weakening range with the Maximum Torque per Volt (MTPV) method.
Figure 11. Cross-section of the machine with spoke magnets. Blue: magnets, brown: conductors, dark grey: steel sheets.
Figure 12. Control of the electric machine using the MTPA and MTPV method.
Accordingly, the maximum copper losses occur in the knee point of the map at 1656 rpm and 2939 Nm. Figure 13a shows the characteristic diagram of the copper losses. The iron losses are the sum of the hysteresis losses and the eddy current losses. Both losses are strongly frequency-dependent and therefore increase with the speed of the machine. The characteristic diagram of the iron losses can be seen in Figure 13b. While the copper losses decrease in the field weakening range due to the lower current, the iron losses increase up to 13.6 kW at 2200 rpm. Based on the losses, the temperature map can be calculated using the coupled electromagnetic and thermal models in JMAG. Figure 13c shows the average temperature of the conductors for each operating point.
Figure 13. Loss maps and resulting steady-state temperature map. (a) Torque–speed diagram with operating point-dependent copper losses. (b) Torque–speed diagram with operating point-dependent iron losses. (c) Torque–speed diagram with operating point-dependent steady-state temperature.
The maximum total losses from the sum of the maps in Figure 13a,b occur at the working operating point of maximum torque by maximum speed, meaning 2200 rpm and 2397 Nm, which also corresponds to the hottest operating point. However, it should be noted that the hot point may shift depending on the control, so this point may not necessarily be the design point of the EIS. As an example, due to the low thermal conductivity of the slot liner and the resulting high influence of the copper losses on the slot temperature, the hottest operating point of the machine can also be the knee point of the temperature map. This is something which is not desired for machines with water jacket cooling technology. With this type of machine cooling, the aim is to keep the copper losses as low as possible, since it is much more difficult for the copper losses to be dissipated (than the iron losses) due to the lower heat flow from the conductors to the heat sink than from the steel sheets to the heat sink. For a 0.17 mm thick slot liner with a thermal conductivity of 0.2 W mK , the temperature limit of 210 °C is reached here.
As mentioned earlier, Figure 13 shows the result of the design process in terms of performance and the EIS. The NHN 3/2/3 from Table 2 meets the slot insulation requirements. The slot liner thickness is changed, and the impact on the losses and the conductor temperature is investigated. Figure 14 shows how the thickness of the insulation changed from 0.17 mm to 0.35 mm. This will have an impact on the slot fill factor and current density and hence on the copper, iron losses, and the temperature in the conductors and other parts of the electrical machine.
Figure 14. Comparison of the sizes of different insulation thicknesses. Green: slot liner, brown: conductors, dark grey: steel sheets. (a) Insulation thickness = 0.17 mm. (b) Insulation thickness = 0.35 mm.
Table 5 shows how the average conductor temperature T avg changes as a function of the insulation thickness d iso . The average conductor temperature was calculated using a thermal equivalent circuit and consisted of the conductor temperatures at the beginning and end of the axial length of the machine.
Table 5. Average conductor temperature T avg depending on the slot insulation for the same slot width.
As can be seen in Table 5, the thickness of the slot liner influences the thermal behavior negligibly. Figure 7 shows that a thinner slot liner also lowers the RPDIV, and the machine will be assigned to a lower IVIC. Therefore, it is desirable to choose the thicker slot liner in order to obtain a more reliable electrical machine. However, two minor positive effects of using a thinner slot liner can be mentioned here. First, with a thinner EIS and thus a higher copper fill factor, a smaller slot area is required for the maximum permissible current. For an internal rotor, this leads to a reduction in the depth of the stator slots and, consequently, to a smaller outer diameter. Secondly, the smaller slot and the higher copper content increase the heat dissipation, which in turn increases the maximum permissible current. Figure 14a shows the different copper losses for the slot liner thicknesses of 0.17 mm and 0.35 mm and with the same slot width. The reason for the slightly higher temperature of the thicker slot liner, as shown in Table 5, can also be observed in this figure, which indicates that the copper losses are 70 W greater with an insulation thickness of 0.35 mm compared to 0.17 mm at takeoff. Given the total copper loss of 4.6 kW at the takeoff operating point, a 70 W difference in copper losses is negligible. The takeoff point corresponds to the working operating point with the maximum speed and the maximum torque. The electrical machine works at this operating point with its maximum possible output power. The negligible iron loss differences shown in Figure 14b are due to the fact that the supply voltage, inverter, and therefore resulting phase currents are the same for both cases. The sum of the difference copper and iron losses at takeoff is −75 W, compared with the sum of copper and iron losses from Figure 13a,b; this difference is also clearly negligible in practice. By considering 0.17 mm as the default value for the insulation thickness, a negative value indicates that a worse case has been developed.
In order to achieve a more reliable electrical machine while the temperature remains in the defined boundary condition from Section 4.1, the slot width of the electrical machine was increased by 0.36 mm for the thicker slot liner with the thickness d iso = 0.35 mm. This will help to prevent the current density in the slots from increasing and hence contribute to decreasing the difference in copper losses shown in Figure 14a. Regarding the iron losses, two effects of increasing the teeth width can be mentioned. First, in the linear magnetization part of the B-H curve of the used steel sheets, the flux density will increase proportionally by decreasing the teeth width. According to Figure 12, at the takeoff operating point, the longitudinal current is at its maximum value, which causes saturation in the stator yoke of the investigated machine. This saturation means that the flux density in the stator yoke will no longer increase proportionally by decreasing the teeth width, and hence the iron losses increase slightly. Secondly, by decreasing the teeth width, the volume of the iron will decrease simultaneously, which means that when considering these two phenomena, it is expected that the iron losses will decrease, leading to a better case and hence the positive values at the takeoff point of the difference iron losses, as shown in Figure 15 and Figure 16b. The sum of the differences in copper and iron losses is −10 W, which is practically negligible. The resulting temperature for the developed machine with wider slots and thicker insulation is 209.9 °C, compared with Table 5, which is the same as the machine with 0.17 mm. This indicates that by increasing the slot width and using the thicker insulation material, a more reliable EIS (due to the attainment of a higher RPDIV value) can be developed, while remaining in the defined boundary condition from Section 4.1.
Figure 15. (a) Difference in copper losses: P V , Cu , W ins = 0.17 mm , W Slot = 37.5 mm P V , Cu , W ins = 0.35 mm , W Slot = 37.5 mm . (b) Difference in iron losses: P V , Fe , W ins = 0.17 mm , W Slot = 37.5 mm P V , Fe , W ins = 0.35 mm , W Slot = 37.5 mm .
Figure 16. (a) Difference in copper losses: P V , Cu , W ins = 0.17 mm , W Slot = 37.5 mm P V , Cu , W ins = 0.35 mm , W Slot = 37.86 mm . (b) Difference in iron losses: P V , Fe , W ins = 0.17 mm , W Slot = 37.5 mm P V , Fe , W ins = 0.35 mm , W Slot = 37.86 mm .

5. Conclusions

In this study, a comprehensive investigation of the reliability of EISs and their influence on the design of electrical machines is presented. Since low-voltage machines are preferably inverter-controlled and surge voltage-fed PD measurements are useful for classification into the IVIC, these are described in more detail. Section 2 is devoted to the research question as to which DUTs are suitable for reliability studies and whether measurement results on simplified DUTs can be applied to real applications. After the DUTs and measurement methodology are determined, the individual EIMs and whole EISs are examined in Section 3. The PD measurements showed that the dimensioning of the EIS particularly influences the RPDIV. In the case of the slot liner, it was additionally shown that the polyimide layer influences the PD behavior more significantly than the aramid layers. In addition, novel HTC configurations were investigated, which showed no significant disadvantages with respect to the RPDIV but improved the thermal conductivity. In Section 4, the influence of the choice of EIS on the performance and design of the electrical machine was investigated. Combined thermal–electrical effects were investigated. A case study of an electrical machine for the electrified aviation application was used to discuss the dependency of the EIS on the hotspot of the electrical machine. It has been shown that using thicker slot liner and simultaneously increasing the slot width will lead to the development of a more reliable EIS. Indeed, the sum of copper and iron losses will not change, resulting in the same conductor temperature.

Author Contributions

Conceptualization, A.A. and L.V.H.; methodology, A.A., L.V.H., J.A., J.F. and M.K. (Maik Kahn); software, A.A.; writing—original draft preparation, A.A. and L.V.H.; funding acquisition, M.H. and M.K. (Michael Kurrat). All authors have read and agreed to the published version of the manuscript.

Funding

We would like to acknowledge funding from the Deutsche Forschungsgemeinschaft (DFG, German Research Foundation) under Germany’s Excellence Strategy—EXC 2163/1-Sustainable and Energy Efficient Aviation—Project-ID 390881007. Furthermore, we acknowledge support from the Open Access Publication Funds of the Technische Universität Braunschweig/Leibniz Universität Hannover.

Data Availability Statement

The original contributions presented in this study are included in the article. Further inquiries can be directed to the corresponding author.

Conflicts of Interest

The authors declare no conflicts of interest.

Abbreviations

The following abbreviations are used in this manuscript:
ERPIElectric Power Research Institute
WBGWide Bandgap
SiCSilicon Carbide
GaNGallium Nitride
FITFailure in Time
PDPartial Discharge
PDIVPartial Discharge Inception Voltage
RPDIVRepetitive Partial Discharge Inception Voltage
RPDEVRepetitive Partial Discharge Extinction Voltage
EISElectrical Insulation System
EIMElectrical Insulation Material
HTCHigh Thermal Conductivity
DUTDevice under Test
IVICImpulse Voltage Insulation Class
PMSMPermanent Magnet Synchronous motor
PWMPulse Width Modulation
PEEKPolyetheretherketone
THEICTris (2-Hydroxyethyl) isocyanurate
PIPolarization Index
MTPAMaximum Torque per Ampere
MTPVMaximum Torque per Volt
PoFPhysics of Failure

References

  1. Cornell, E.P.; Owen, E.L.; Appiarius, J.C.; McCoy, R.M.; Albrecht, P.F.; Houghtaling, D.W. Improved Motors for Utility Applications; Final Report; General Electric Company: Schenectady, NY, USA, 1982. [Google Scholar] [CrossRef]
  2. Group, M.R.W. Report of Large Motor Reliability Survey of Industrial and Commercial Installations, Part I. IEEE Trans. Ind. Appl. 1985, IA-21, 853–864. [Google Scholar] [CrossRef]
  3. Foitzik, S. Fehlertolerante Regelung Drei- und Sechsphasiger Permanenterregter Synchronmaschinen mit Windungsschlüssen. Ph.D. Thesis, Karlsruher Institut für Technologie (KIT), Karlsruhe, Germany, 2021. [Google Scholar] [CrossRef]
  4. Bonnett, A.H.; Yung, C. Increased Efficiency Versus Increased Reliability. IEEE Ind. Appl. Mag. 2008, 14, 29–36. [Google Scholar] [CrossRef]
  5. Langmaack, N.; Balasubramanian, S.; Mallwitz, R.; Henke, M. Comparative Analysis of High Speed Drive Inverter Designs using different Wide-Band-Gap Power Devices. In Proceedings of the 2021 23rd European Conference on Power Electronics and Applications (EPE’21 ECCE Europe), Ghent, Belgium, 6–10 September 2021; pp. 1–10. [Google Scholar] [CrossRef]
  6. Filipenko, M.; Biser, S.; Boll, M.; Corduan, M.; Noe, M.; Rostek, P. Comparative Analysis and Optimization of Technical and Weight Parameters of Turbo-Electric Propulsion Systems. Aerospace 2020, 7, 107. [Google Scholar] [CrossRef]
  7. Moghadam, D.E.; Herold, C.; Zbinden, R. Electrical Insulation at 800 V Electric Vehicles. In Proceedings of the 2020 International Symposium on Electrical Insulating Materials (ISEIM), Tokyo, Japan, 13–17 September 2020; pp. 115–119. [Google Scholar]
  8. He, J.; Somogyi, C.; Strandt, A.; Demerdash, N.A.O. Diagnosis of stator winding short-circuit faults in an interior permanent magnet synchronous machine. In Proceedings of the 2014 IEEE Energy Conversion Congress and Exposition (ECCE), Pittsburgh, PA, USA, 14–18 September 2014; pp. 3125–3130. [Google Scholar] [CrossRef]
  9. Hanisch, L.V.; Dietrich, T.H.; Henke, M. Analysis of Partial Discharges and Failure Mechanism in Electrical Machines with Hairpin Winding. In Proceedings of the 2021 IEEE 13th International Symposium on Diagnostics for Electrical Machines, Power Electronics and Drives (SDEMPED), Dallas, TX, USA, 22–25 August 2021; Volume 1, pp. 1–7. [Google Scholar] [CrossRef]
  10. Höpner, V.N.; Wilhelm, V.E. Insulation Life Span of Low-Voltage Electric Motors—A Survey. Energies 2021, 14, 1738. [Google Scholar] [CrossRef]
  11. Diab, M.; Zhou, W.; Emersic, C.; Yuan, X.; Cotton, I. Impact of PWM Voltage Waveforms on Magnet Wire Insulation Partial Discharge in SiC-Based Motor Drives. IEEE Access 2021, 9, 156599–156612. [Google Scholar] [CrossRef]
  12. Hanisch, L.; Sun, M.; Henke, M. Novel Modeling Approach for Voltage Distribution within Automotive Electrical Machines. In Proceedings of the 2020 International Conference on Electrical Machines (ICEM), Gothenburg, Sweden, 23–26 August 2020; Volume 1, pp. 2196–2201. [Google Scholar] [CrossRef]
  13. Lusuardi, L.; Rumi, A.; Cavallini, A.; Barater, D.; Nuzzo, S. Partial Discharge Phenomena in Electrical Machines for the More Electrical Aircraft. Part II: Impact of Reduced Pressures and Wide Bandgap Devices. IEEE Access 2021, 9, 27485–27495. [Google Scholar] [CrossRef]
  14. Schefer, H.; Hanisch, L.; Dietrich, T.H.; Mallwitz, R.; Henke, M. Design of a High-Dynamic Test Bench for Accelerated Dielectric Lifetime Testing with Adjustable Voltage Slopes and Temperatures. In Proceedings of the 2022 24th European Conference on Power Electronics and Applications (EPE’22 ECCE Europe), Hanover, Germany, 5–9 September 2022; pp. 1–10. [Google Scholar]
  15. Liu, T.; Li, Q.; Huang, X.; Lu, Y.; Asif, M.; Wang, Z. Partial discharge behavior and ground insulation life expectancy under different voltage frequencies. IEEE Trans. Dielectr. Electr. Insul. 2018, 25, 603–613. [Google Scholar] [CrossRef]
  16. Hassan, W.; Hussain, G.A.; Mahmood, F.; Amin, S.; Lehtonen, M. Effects of Environmental Factors on Partial Discharge Activity and Estimation of Insulation Lifetime in Electrical Machines. IEEE Access 2020, 8, 108491–108502. [Google Scholar] [CrossRef]
  17. Arrhenius, S. Über die Reaktionsgeschwindigkeit bei der Inversion von Rohrzucker durch Säuren. Z. Für Phys. Chem. 1889, 4U, 226–248. [Google Scholar] [CrossRef]
  18. Dakin, T.W. Electrical Insulation Deterioration Treated as a Chemical Rate Phenomenon. Trans. Am. Inst. Electr. Eng. 1948, 67, 113–122. [Google Scholar] [CrossRef]
  19. Madonna, V.; Spagnolo, C.; Giangrande, P.; Galea, M. Improving Performance and Extending Lifetime of PMSMs via Advanced End-Winding Cooling. In Proceedings of the 2020 IEEE 29th International Symposium on Industrial Electronics (ISIE), Delft, The Netherlands, 17–19 June 2020; pp. 319–325. [Google Scholar] [CrossRef]
  20. Khowja, M.R.; Turabee, G.; Giangrande, P.; Madonna, V.; Cosma, G.; Vakil, G.; Gerada, C.; Galea, M. Lifetime Estimation of Enameled Wires Under Accelerated Thermal Aging Using Curve Fitting Methods. IEEE Access 2021, 9, 18993–19003. [Google Scholar] [CrossRef]
  21. Hanisch, L.V.; Balasubramanian, S.; Sander, M.; Henke, M.; Henze, R.; Küçükay, F. Influence of Driving Behavior on Thermal and Lifetime Characteristics of Electric Machines for Automotive Applications. SAE Int. J. Electrified Veh. 2023, 12, 247–261. [Google Scholar] [CrossRef]
  22. Bae, K.; Plikat, R.; Besch, C.; Neuschl, Z.; Gaussens, B.; Bailoni, M.; Litinsky, A.; Saborowski, F.; Kurrat, M. Current State and Development Trends of Insulation Systems in BEV Traction Motors Steered by Electric Powertrain Innovation. In Proceedings of the PCIM Europe Digital Days 2021—International Exhibition and Conference for Power Electronics, Intelligent Motion, Renewable Energy and Energy Management, Online, 3–7 May 2021. [Google Scholar]
  23. Madonna, V.; Giangrande, P.; Zhao, W.; Buticchi, G.; Zhang, H.; Gerada, C.; Galea, M. Reliability vs. Performances of Electrical Machines: Partial Discharges Issue. In Proceedings of the 2019 IEEE Workshop on Electrical Machines Design, Control and Diagnosis (WEMDCD), Athens, Greece, 22–23 April 2019; Volume 1, pp. 77–82. [Google Scholar] [CrossRef]
  24. Hanisch, L.V. Zuverlässigkeitsorientierte Auslegungsmethodik Elektrischer Maschinen Unter Berücksichtigung der Ausfallwahrscheinlichkeit von Isolationssystemen. Ph.D. Thesis, Technische Universität Braunschweig, Braunschweig, Germany, 2023. [Google Scholar]
  25. Grau, V.C. Development of a Test Bench to Investigate the Impact of Steep Voltage Slopes on the Lifetime of Insulation Systems for Coil Windings. Ph.D. Dissertation, Rheinisch-Westfälische Technische Hochschule Aachen, Aachen, Germany, 2021. [Google Scholar]
  26. Driendl, N.; Pauli, F.; Hameyer, K. Modeling of Partial Discharge Processes in Winding Insulation of Low-Voltage Electrical Machines Supplied by High du/dt Inverters. In Proceedings of the IECON 2019—45th Annual Conference of the IEEE Industrial Electronics Society, Lisbon, Portugal, 14–17 October 2019; Volume 1, pp. 7102–7107. [Google Scholar] [CrossRef]
  27. Billard, T.; Lebey, T.; Fresnet, F. Partial discharge in electric motor fed by a PWM inverter: Off-line and on-line detection. IEEE Trans. Dielectr. Electr. Insul. 2014, 21, 1235–1242. [Google Scholar] [CrossRef]
  28. IEC 60034-18-21:2013; Rotating Electrical Machines—Part 18–21: Functional Evaluation of Insulation Systems—Test Procedures for Wire-Wound Windings—Thermal Evaluation and Classification. IEC: Geneva, Switzerland, 2013.
  29. IEC60172:2022; Test Procedure for the Determination of the Temperature Index of Enamelled and Tape Wrapped Winding Wires. IEC: Geneva, Switzerland, 2022.
  30. Wei, Z.; You, H.; Fu, P.; Hu, B.; Wang, J. Partial Discharge Inception Characteristics of Twisted Pairs Under Single Voltage Pulses Generated by Silicon-Carbide Devices. IEEE Trans. Transp. Electrif. 2022, 8, 1674–1683. [Google Scholar] [CrossRef]
  31. Wei, Z.; You, H.; Hu, B.; Na, R.; Wang, J. Partial Discharge Behavior on Twisted Pair under Ultra-short Rise Time Square-wave Excitations. In Proceedings of the 2019 IEEE Electrical Insulation Conference (EIC), Calgary, AB, Canada, 16–19 June 2019; pp. 493–496. [Google Scholar] [CrossRef]
  32. Kodama, S.; Zenda, Y.; Kozako, M.; Hikita, M.; Hayashizaka, N.; Fujimoto, N.; Kikuchi, H. Life Estimation of Enamel Twisted Pair Suffering Partial Discharge under Repetitive Impulse Voltage. In Proceedings of the 2022 IEEE Electrical Insulation Conference (EIC), Knoxville, TN, USA, 19–23 June 2022; pp. 225–228. [Google Scholar] [CrossRef]
  33. Madonna, V.; Giangrande, P.; Galea, M. On specimens choice for thermal lifetime assessment of low voltage electrical machines insulation. In Proceedings of the The 10th International Conference on Power Electronics, Machines and Drives (PEMD 2020), Online, 15–17 December 2020; Volume 2020, pp. 38–43. [Google Scholar] [CrossRef]
  34. Madonna, V.; Giangrande, P.; Lusuardi, L.; Cavallini, A.; Gerada, C.; Galea, M. Thermal Overload and Insulation Aging of Short Duty Cycle, Aerospace Motors. IEEE Trans. Ind. Electron. 2020, 67, 2618–2629. [Google Scholar] [CrossRef]
  35. IEC60085:2008; Electrical Insulation—Thermal Evaluation and Designation. IEC: Geneva, Switzerland, 2008.
  36. Wang, Y.; Yi, X.; Wang, Y.; Zhang, X.; Yin, Y.; Han, T.; Haran, K.S. Partial Discharge Investigation of Form-Wound Electric Machine Winding for Electric Aircraft Propulsion. IEEE Trans. Transp. Electrif. 2021, 7, 78–90. [Google Scholar] [CrossRef]
  37. Pauli, F.; Driendl, N.; Hameyer, K. Study on Temperature Dependence of Partial Discharge in Low Voltage Traction Drives. In Proceedings of the 2019 IEEE Workshop on Electrical Machines Design, Control and Diagnosis (WEMDCD), Athens, Greece, 22–23 April 2019; Volume 1, pp. 209–214. [Google Scholar] [CrossRef]
  38. IEC 60034-18-41:2021; Rotating Electrical Machines—Part 18–41: Partial Discharge Free Electrical Insulation Systems (Type I) Used in Rotating Electrical Machines Fed from Voltage Converters—Qualification and Quality Control Tests. IEC: Geneva, Switzerland, 2021.
  39. IEC 60317-0-1:2020; Specifications for Particular Types of Winding Wires—Part 0–1: General Requirements—Enamelled Round Copper Wire. IEC: Geneva, Switzerland, 2020.
  40. Sell-Le Blanc, F.; Halwas, M.; Jäger, D.; Weiße, L.; Jovanoski, J.; Kehl, N.; Hofmann, J.; Fleischer, J. Feasibility Study for Enameled Round Copper Wire Compression within Slots of Electrical Machines. In Proceedings of the 2019 9th International Electric Drives Production Conference (EDPC), Esslingen, Germany, 3–4 December 2019; pp. 1–9. [Google Scholar] [CrossRef]
  41. Hanisch, L.V.; Franzki, J.; Henke, M. Impact of Insulation and Cooling on Performance due to Reliability-Oriented Design of Electrical Machines. In Proceedings of the 2022 24th European Conference on Power Electronics and Applications (EPE’22 ECCE Europe), Hanover, Germany, 5–9 September 2022; pp. 1–7. [Google Scholar]
  42. Giangrande, P.; Madonna, V.; Nuzzo, S.; Galea, M. Moving Toward a Reliability-Oriented Design Approach of Low-Voltage Electrical Machines by Including Insulation Thermal Aging Considerations. IEEE Trans. Transp. Electrif. 2020, 6, 16–27. [Google Scholar] [CrossRef]
  43. Asgari, A.; Henke, M. Topology Analysis of Electric Machines for a Specific Mission Profile in Aviation Applications. In Proceedings of the 2024 International Conference on Electrical Machines (ICEM), Torino, Italy, 1–4 September 2024; pp. 1–7. [Google Scholar] [CrossRef]
  44. IEC60216-5:2009; Electrical Insulating Materials—Thermal Endurance Properties—Part 5: Determination of Relative Thermal Endurance Index (RTE) of an Insulating Material. IEC: Geneva, Switzerland, 2009.
Disclaimer/Publisher’s Note: The statements, opinions and data contained in all publications are solely those of the individual author(s) and contributor(s) and not of MDPI and/or the editor(s). MDPI and/or the editor(s) disclaim responsibility for any injury to people or property resulting from any ideas, methods, instructions or products referred to in the content.

Article Metrics

Citations

Article Access Statistics

Multiple requests from the same IP address are counted as one view.