Research on Capacity Configuration for Green Power Substitution in an Isolated Grid Containing Electrolytic Aluminum
Abstract
1. Introduction
2. Topology and Operation Strategy of Green Power Substitution Isolated Grids
2.1. Topology of Green Power Substitution Isolated Grids
- Scenario 1: photovoltaic power + flexibility modified thermal unit;
- Scenario 2: wind power + flexibility modified thermal unit;
- Scenario 3: wind power + photovoltaic power + flexibility modified thermal unit.
2.1.1. Wind Power Model
2.1.2. Photovoltaic Power Generation Model
2.1.3. Energy Storage Model
2.1.4. Peak Shaving Cost Model of Thermal Power Units
2.1.5. Controllable Load Characteristics of Electrolytic Aluminum
2.2. Operation Strategy
- (1)
- When , when the sum of new energy generation and thermal power output is considered, if it exceeds aluminum demand at minimum thermal power output, energy storage systems should charge. If the storage cannot absorb the surplus power, the system must discard it. Conversely, if the combined output of new energy generation and thermal power is less than the aluminum demand, the strategy should prioritize discharging from storage and increasing the thermal power output. If these measures cannot meet the demand, it is assumed that the load of the electrolytic aluminum will be correspondingly reduced.
- (2)
- If the sum of new energy and the thermal power output from the previous moment exceeds the demand for electrolytic aluminum and the state of charge of the energy storage is below maximum, the thermal power unit should reduce its output, and the energy storage should be charged. If neither can absorb the excess, the system discards the surplus power to achieve equilibrium. If the energy storage charge level is at or above the maximum, the thermal power output should be reduced to absorb the excess energy, discarding any surplus to maintain balance. On the other hand, if the output from new energy and thermal power units from the previous moment is less than the electrolytic aluminum demand and the energy storage charge level is above the minimum, the storage should discharge, and thermal power should increase its output to reach equilibrium. If the charge level is at or below the minimum, thermal power should increase its output to achieve balance. If it is not possible to meet the shortfall, it is assumed that the electrolytic aluminum load will decrease accordingly to maintain system power balance.
3. Alternative Grid Capacity Allocation Model for Green Electricity
3.1. Industrial Grid System Model
3.1.1. Total System Cost
3.1.2. System Curtailment Rate
3.1.3. System Power Supply Reliability
3.2. Capacity Configuration Constraints
4. Improvement of the Gray Wolf Algorithm and Solution Flow
4.1. Gray Wolf Colonies and Their Predatory Behavior
- (1)
- Searching for, tracking, and approaching the prey;
- (2)
- Encircling the prey;
- (3)
- Attacking the prey.
4.2. Gray Wolf Optimizer Model
4.3. Improved Gray Wolf Optimizer
- (1)
- A dynamic weighting strategy is introduced to expedite the convergence of the gray wolf optimizer. Proportional weighting based on step Euclidean distance has proven to be effective. Therefore, this paper implements a proportional weighting approach premised on step Euclidean distance [36].
- (2)
- Nonlinearization of the convergence factor. To prevent the gray wolf optimizer from succumbing to local optima, the parameter is adjusted to be larger in the initial phase and smaller in the latter phase. This paper introduces a convergence factor modeled after the normal distribution density function’s decay pattern. By altering the value of , the decay rate of the normal distribution density function can be modified. The improved convergence factor is expressed in Equation (24).
4.4. A Configuration Solution Method Based on the Improved Gray Wolf Optimizer
- (1)
- Enter the data of wind speed, light intensity, temperature and load data for 8760 h of the year;
- (2)
- Set the parameters of the power supply, initialize the wolf pack size , the maximum number of iterations , the value in the convergence factor, and the upper and lower limits of the optimization variables to generate the initial wolf pack;
- (3)
- Based on the wind and solar data, the output of a single wind turbine and photovoltaic is obtained. The objective function value is solved based on the scheduling strategy and relevant parameters, and it is used as the fitness of the gray wolf. The top three fitness values are denoted as wolves , and their positions are denoted as , , and ;
- (4)
- When , the optimal value is output, and when the solution is completed, if , then step (3) is executed;
- (5)
- According to Equation (25), the nonlinear convergence factor is updated, and are updated according to Equations (22) and (23), the position of the gray wolf is updated according to Equation (21), the individual fitness is recalculated until the termination condition is satisfied, and the optimal capacity configuration result is output.
5. Parameter and Result Analysis
5.1. Parameters
5.2. Analysis of Results
- (1)
- Analysis of the economics of total investment
- (2)
- Renewable energy utilization analysis
- (3)
- System power supply reliability analysis
6. Conclusions
- (1)
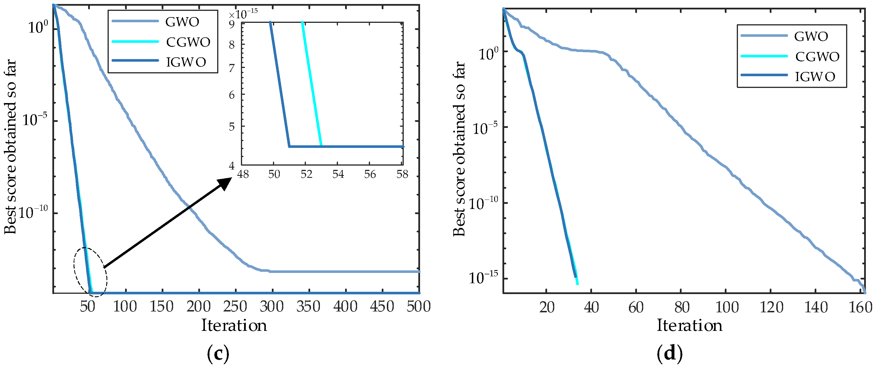
- The nonlinearized convergence factor of the GWO has been tested using both single-peak and multi-peak functions. The results show that the GWO proposed in this paper is substantially improved in terms of search capability. This confirms that nonlinearizing the convergence factor achieves a balance between the initial and final phases of the search.
- (2)
- Utilizing the controllable load characteristics of aluminum electrolysis, when the green power alternative isolated grid cannot entirely satisfy the aluminum electrolysis energy demand, reducing part of the power operation stabilizes and enhances system reliability.
- (3)
- Within the green power alternative isolated grid, a combination of “multiple renewable energy generation + thermal power unit” proves more stable and reliable than the other two scenarios, albeit at the expense of some economic and renewable energy utilization aspects.
- (4)
- Through the flexibility of thermal power units, the green power substitution isolated grid can partially replace the energy consumption of aluminum electrolysis with green power while ensuring the normal operation of the electrolysis process.
Author Contributions
Funding
Data Availability Statement
Acknowledgments
Conflicts of Interest
Appendix A
| Parameters | Items | Numerical Value/Unit |
|---|---|---|
| Wind Power Generation | Stand-alone capacity | 3 MW |
| The cost of a single machine | CNY 11.34 M | |
| O&M costs | CNY 376,500/year | |
| Cut into the wind speed | 3 m/s | |
| Rated wind speed | 14 m/s | |
| Cut out the wind speed | 25 m/s | |
| service life | 20 year | |
| Photovoltaic Power Generation Modules | Stand-alone capacity | 1.0791 MW [30] |
| The cost of a single machine | 8.10 m [30] | |
| Unit O&M costs | CNY 70,000/year | |
| Rated operating temperature | 25 °C | |
| Spectral irradiance | 1000 W/m2 | |
| Temperature coefficient | −0.0047 | |
| service life | 20 year | |
| Energy Storage Batteries | Stand-alone capacity | 2 MWh/0.25 MW [37] |
| The cost of a single machine | CNY 36,000 [37] | |
| Unit O&M costs | CNY 1800/year [37] | |
| Charge efficiency | 0.9 | |
| Discharge efficiency | 0.9 | |
| service life | 10 year [37] | |
| Thermal Power Units | Stand-alone capacity | 300 MW |
| The cost of a single machine | CNY 1241.535 M [30] | |
| Unit O&M costs | CNY 600/year [30] | |
| Flexibility retrofit costs | 120/MW | |
| Climb cap | 90 MW/h | |
| Lower limit of climbing | 90 MW/h | |
| Peak oil shaving and oil consumption | 2.3 t/h | |
| Oil prices | CNY 11,000/t | |
| Coal consumption coefficient a | 0.000381 | |
| Coal consumption coefficient b | 0.1586 | |
| Coal consumption coefficient c | 20.32 | |
| Coal prices | CNY 500/t [30] | |
| Service life | 20 years |

Appendix B
| Scenarios | Unit Costs /CNY | O&M Cost /CNY | Peak Shaving Life Cost /CNY | Coal Cost /CNY | Fuel Costs /CNY | Environmental Costs /CNY |
|---|---|---|---|---|---|---|
| 1 | 622.70684 M | 31.304 M | 42.59063 M | 802.51658 M | 11.638 M | 319.54766 M |
| 2 | 471.99814 M | 63.9696 M | 133.84066 M | 684.12261 M | 40.9607 M | 272.40531 M |
| 3 | 578.78718 M | 62.8324 M | 105.66714 M | 696.48729 M | 13.5102 M | 277.3287 M |
Appendix C


Appendix D
| Types of Exhaust Gases | Emission Factor/t | Emissions Reduction Income per Unit/CNY |
|---|---|---|
| CO2 | 0.726 | 208.5 |
| SO2 | 0.022 | 1260 |
| NOx | 0.010 | 2000 |
References
- Liao, S. Research on Frequency Control Method of High Energy-Consuming Loads Participating in High Penetration Wind Power Isolated Grid; Wuhan University: Wuhan, China, 2016. [Google Scholar]
- Yury, I.; Martirosyan, A. The development of the soderberg electrolyzer electromagnetic field’s state monitoring system. Sci. Rep. 2024, 14, 3501. [Google Scholar] [CrossRef] [PubMed]
- Zhang, S.; Zhang, Z. Evaluation of the potential of railroad and new energy integration based on photovoltaic power generation. China Railw. 2023, 64–71. [Google Scholar] [CrossRef]
- He, J.; Yan, N.; Zhang, J.; Chen, L.; Tang, T. Optimization of capacity allocation of photovoltaic energy storage system for electric bus charging station. J. Cent. South Univ. 2023, 30, 4268–4284. [Google Scholar] [CrossRef]
- Wang, Y.; Liu, D.; Xue, H.; Yu, A.; Tu, Y.; Mi, Y. Multi-objective optimal configuration strategy of optical storage charging station coupled with hydrogen energy. Power Autom. Equip. 2023, 43, 101–108. [Google Scholar]
- Yao, L.; Bai, C.; Fu, H.; Lou, S.; Fu, Y. Optimization of Expressway Microgrid Construction Mode and Capacity Configuration Considering Carbon Trading. Energies 2023, 16, 6720. [Google Scholar] [CrossRef]
- Wu, H.; Huang, F. Distributed Microgrid Power Planning Based on Hybrid Particle Swarm Algorithm. East China Electr. Power 2012, 40, 4. [Google Scholar]
- Zhang, L.; Xiao, W.; Jiang, C.; Liu, Y.; Li, S.; Zhang, J. Capacity allocation method of key equipment for photovoltaic office buildings. China Electr. Power 2024, 57, 152–159+169. [Google Scholar]
- Zhang, C.; Ran, T.; Li, Z.; Fan, C.; Xia, T.; Yang, Z.; Ding, W. Optimal allocation of independent microgrid capacity based on typical meteorological year and oxygen production time-shiftable load. Electr. Power Big Data 2023, 26, 13–23. [Google Scholar]
- Meng, J.; Lin, Y.; Sun, D.; Qi, Y.; Ma, X.; Guan, Z.; Xie, J. Optimization of wind-hydrogen storage integrated power supply system configuration based on improved SSA. J. Shanghai Electr. Power Univ. 2023, 39, 557–562. [Google Scholar]
- Tian, Y.; Yin, C. Research on capacity optimization of grid-connected microgrid based on improved gray wolf algorithm. J. Shenyang Eng. Inst. (Nat. Sci. Ed.) 2023, 19, 56–63. [Google Scholar]
- Chen, Y.; He, S.; Xie, S.; Hu, B.; Chen, J.; Yuan, Z. Capacity allocation of wind-photovoltaic-hydrogen microgrid based on cooperative game. J. Sol. Energy 2024, 45, 395–405. [Google Scholar]
- Ding, W.; Su, X.; Liao, S.; Tang, Q.; Yang, J. Optimization of photovoltaic energy storage capacity allocation based on Harris Hawk optimization algorithm. Electron. Des. Eng. 2024, 32, 96–101. [Google Scholar]
- Li, C. Optimal allocation of photovoltaic microgrid energy storage capacity based on discrete particle swarm algorithm. Electro Technol. 2023, 93–96. [Google Scholar] [CrossRef]
- Liu, M.; Huo, H.; Han, Z.; Wu, Z. A planning and design method for rural energy systems based on two-layer stochastic optimization. Renew. Energy 2023, 41, 1675–1684. [Google Scholar]
- Wang, Y.; Lu, F.; Li, J.; Tan, Z.; Sun, Z.; Xu, W.; Song, Z.; Liu, Z. Research on planning and allocation of energy system in low carbon park based on comprehensive optimization objective. China Electric Power. 2023, 1–12. Available online: https://kns.cnki.net/kcms/detail/11.3265.TM.20231121.0931.002.html (accessed on 21 November 2023).
- Lu, L.; Yuan, T.; Wang, M.; Li, X.; Li, M.; Pu, Q.; Zhang, X. Configuration and scheduling dual optimization of regional integrated energy systems considering efficiency. Renew. Energy 2024, 1–9. [Google Scholar] [CrossRef]
- Xu, L.; Yang, M.; Wang, X.; Jiang, Q.; Zhang, Z.; Zhu, Y. Two-stage capacity optimization allocation for renewable energy multi-energy complementary system. J. Nanjing Univ. Technol. (Nat. Sci. Ed.) 2024, 46, 198–204+234. [Google Scholar]
- Wang, X.; Chen, Z.; Bian, Z.; Wang, Y.; Wu, Y. Optimal allocation of wind-generation and storage capacity for smart microgrid based on particle swarm optimization algorithm. Integr. Smart Energy 2022, 44, 7. [Google Scholar]
- Abduwaiti, X.; Lv, H.; Chao, Q. Optimal allocation of wind-photovoltaic-hydrogen microgrid capacity based on non-cooperative game. Jiangsu Electr. Eng. 2022, 41, 110–118. [Google Scholar]
- Jin, S.; Fang, F.; Zhu, Z.; Liu, J. Game analysis of microgrid capacity allocation under different investment models taking into account the shortage rate constraint. China Electr. Power 2020, 53, 9. [Google Scholar]
- Engin, M.; Engin, D. Sizing PV-wind hybrid energy system for lighting. Int. J. Dev. Sustain. 2012, 1, 85–98. [Google Scholar]
- Ding, M.; Wang, B.; Zhao, B.; Chen, Z. Optimal capacity allocation of independent wind-diesel-diesel storage microgrid system. Grid Technol. 2013, 37, 7. [Google Scholar]
- Ma, X.; Wu, Y.; Fang, H.; Sun, Y. Optimal allocation of wind/photovoltaic/storage hybrid microgrid power supply using improved bacterial foraging algorithm. Chin. J. Electr. Eng. 2011, 31, 9. [Google Scholar]
- Zhou, J.; Weng, Z.; Song, X. Capacity allocation method for islanded photovoltaic-storage microgrids taking into account reliability and economy. Power Syst. Autom. 2021, 45, 166–174. [Google Scholar]
- Xu, L.; Ruan, X.; Zhang, B.; Mao, C. Improved optimal allocation method for the capacity of wind-solar-storage complementary power generation system. Chin. J. Electr. Eng. 2012, 32, 11. [Google Scholar]
- He, S. Research on the Optimal Configuration of Industrial Photovoltaic Storage Microgrid Power Capacity and Its photovoltaic Array; Nanjing Normal University: Nanjing, China, 2018. [Google Scholar]
- Xu, J.; Liu, N.; Yu, L.; Lei, J.; Zhang, J. Optimal allocation of industrial photovoltaic microgrid energy storage taking into account important loads. Power Syst. Prot. Control 2016, 44, 29–37. [Google Scholar]
- Jian, X. Optimal Configuration Method of Battery Energy Storage System for Industrial User-Based Photovoltaic Microgrid; North China Electric Power University (Beijing): Beijing, China, 2016. [Google Scholar]
- Chu, T.; Jiang, M.; Yang, M.; Yan, Z.; Wang, T. Capacity optimization design of wind-solar complementary self-power plant for electrolytic aluminum. Light Met. 2022, 58–62. [Google Scholar] [CrossRef]
- Xu, J.; Liao, S.; Sun, Y.; Ma, X.; Gao, W.; Li, X.; Gu, J.; Dong, J.; Zhou, M. An Isolated Industrial Power System Driven by Wind-Coal Power for Aluminum Productions: A Case Study of Frequency Control. IEEE Trans. Power Syst. 2015, 30, 471–483. [Google Scholar] [CrossRef]
- Mohan, N.; Undeland, T. Power Electronics: Converters, Applications, and Design; John Wiley& Sons: Hoboken, NJ, USA, 2007. [Google Scholar]
- Bao, Y. Research on Leveraging the Flexibility of Industrial Loads for Power System Frequency Operation; Wuhan University: Wuhan, China, 2019. [Google Scholar]
- Zhao, C.; Wang, B.; Sun, Z.; Wang, X. Optimal allocation of independent microgrid capacity based on improved gray wolf algorithm. J. Sol. Energy 2022, 43, 256–262. [Google Scholar]
- Mirjalili, S.; Mirjalili, S.M.; Lewis, A. Grey Wolf Optimizer. Adv. Eng. Softw. 2014, 69, 46–61. [Google Scholar] [CrossRef]
- Guo, Z.; Liu, R.; Gong, C.; Zhao, L. Improvement research based on gray wolf optimizer. Comput. Appl. Res. 2017, 34, 3603–3606+3610. [Google Scholar]
- Wu, X.; He, M.; He, W.; Li, X.; Wang, P.; Wu, Y. Optimized capacity allocation of wind-photovoltaic-fire-storage bundled outgoing system considering storage lifetime. Power Syst. Prot. Control 2023, 51, 66–75. [Google Scholar]











| Scenarios | Number of Wind Turbines | Number of PV Modules | Number of Thermal Power Units | Number of Energy Storage Components |
|---|---|---|---|---|
| 1 | 0 | 437 | 2 | 198 |
| 2 | 168 | 0 | 2 | 199 |
| 3 | 122 | 199 | 2 | 197 |
| Scenarios | Objective Function /CNY | Objective Function /% | Objective Function /% |
|---|---|---|---|
| 1 | 1830.30371 M | 0.541 | 6.647 |
| 2 | 1667.29702 M | 0.220 | 2.826 |
| 3 | 1734.61290 M | 0.701 | 1.970 |
| Scenarios | Average Amount of Electricity Curtailed/(MWh) | Total Curtailment/(MWh) | Total Power Generation from Renewable Energy/(MWh) | Green Energy Substitution Rate/% |
|---|---|---|---|---|
| 1 | 0.558 | 4884.824 | 901,629.849 | 15.054 |
| 2 | 0.471 | 4126.762 | 1,871,769.262 | 31.353 |
| 3 | 1.470 | 12,881.044 | 1,836,691.928 | 30.617 |
Disclaimer/Publisher’s Note: The statements, opinions and data contained in all publications are solely those of the individual author(s) and contributor(s) and not of MDPI and/or the editor(s). MDPI and/or the editor(s) disclaim responsibility for any injury to people or property resulting from any ideas, methods, instructions or products referred to in the content. |
© 2024 by the authors. Licensee MDPI, Basel, Switzerland. This article is an open access article distributed under the terms and conditions of the Creative Commons Attribution (CC BY) license (https://creativecommons.org/licenses/by/4.0/).
Share and Cite
You, M.; Wang, Y.; Wang, H.; Wusiman, A.; Lv, L. Research on Capacity Configuration for Green Power Substitution in an Isolated Grid Containing Electrolytic Aluminum. Energies 2024, 17, 2136. https://doi.org/10.3390/en17092136
You M, Wang Y, Wang H, Wusiman A, Lv L. Research on Capacity Configuration for Green Power Substitution in an Isolated Grid Containing Electrolytic Aluminum. Energies. 2024; 17(9):2136. https://doi.org/10.3390/en17092136
Chicago/Turabian StyleYou, Min, Yunguang Wang, Haiyun Wang, Aisikaer Wusiman, and Liangnian Lv. 2024. "Research on Capacity Configuration for Green Power Substitution in an Isolated Grid Containing Electrolytic Aluminum" Energies 17, no. 9: 2136. https://doi.org/10.3390/en17092136
APA StyleYou, M., Wang, Y., Wang, H., Wusiman, A., & Lv, L. (2024). Research on Capacity Configuration for Green Power Substitution in an Isolated Grid Containing Electrolytic Aluminum. Energies, 17(9), 2136. https://doi.org/10.3390/en17092136
