Abstract
This comprehensive review explores the application and impact of digital twin (DT) technology in bolstering the reliability of Floating Offshore Wind Turbines (FOWTs) and their supporting platforms. Within the burgeoning domain of offshore wind energy, this study contextualises the need for heightened reliability measures in FOWTs and elucidates how DT technology serves as a transformative tool to address these concerns. Analysing the existing scholarly literature, the review encompasses insights into the historical reliability landscape, DT deployment methodologies, and their influence on FOWT structures. Findings underscore the pivotal role of DT technology in enhancing FOWT reliability through real-time monitoring and predictive maintenance strategies, resulting in improved operational efficiency and reduced downtime. Highlighting the significance of DT technology as a potent mechanism for fortifying FOWT reliability, the review emphasises its potential to foster a robust operational framework while acknowledging the necessity for continued research to address technical intricacies and regulatory considerations in its integration within offshore wind energy systems. Challenges and opportunities related to the integration of DT technology in FOWTs are thoroughly analysed, providing valuable insights into the role of DTs in optimising FOWT reliability and performance, thereby offering a foundation for future research and industry implementation.
1. Introduction
The Kyoto Protocol and the Paris Agreement are committed to reducing Earth’s greenhouse gas emissions [1,2]. The commitment to reduce climate change effects and global warming has led to the use of more renewable sources of energy. In the offshore region, research and development are devoted to the use of offshore renewable energies, which contribute to the achievement of several Sustainable Development Goals (SDGs) by providing clean and affordable energy (SDG 7) and fostering innovation and infrastructure development (SDG 9). Among different types of renewable energies, wind technology is one of the most mature sectors. Despite the considerable power capacity provided by fixed wind platforms, the recent trend is towards bigger turbines to increase efficiency and the deployment of floating structures [3,4]. According to the International Renewable Energy Association (IRENA), the wind industry would need to be prepared for significant growth in the wind market over the next three decades. Compared to onshore wind, higher growth would be required in annual offshore wind capacity additions—around a ten-fold increase, to 45 GW per year by 2050 from 4.5 GW added in 2018 [5]. By 2024, the Global Wind Energy Council (GWEC) expects onshore wind to pass the 100 GW annual installations mark, while offshore wind will install more than 25 GW in a single year for the first time in 2025 [6].
The expansive oceanic expanse presents favourable conditions for the development of large-scale wind farms and turbines [7,8]. Offshore wind power benefits from faster wind speeds, greater uniformity, and extended operational availability compared to onshore counterparts [9,10,11,12]. While the upper tower components of an offshore wind turbine (OWT) resemble their onshore counterparts, the primary distinction lies in the design of the lower platforms [8,13]. These support structures for OWTs can be categorised into fixed and floating types [14,15,16], with the selection dependent on factors such as water depth, soil conditions, seabed characteristics, and environmental loads. Notably, the water depth plays a pivotal role in the design process, with floating offshore wind technology gaining prominence due to its capacity to access deeper waters, where wind resources are typically more abundant, reaching depths of up to 1000 m [17,18].
The OWTs and their support platforms, as they near the end of their service lives, typically possess structural integrity suitable for prolonged use, largely attributable to conservative design principles and operational protocols. Consequently, the offshore wind industry seeks a dependable certification framework to ensure that structural capacity exceeds permissible limits throughout the desired extended service life, while minimising operational costs [19]. Techno-economic analyses for lifecycle extension projects necessitate the incorporation of various factors, including structural health monitoring data, detailed structural integrity assessments, condition-based maintenance strategies, and comprehensive financial analyses. To facilitate smart maintenance planning and predictive maintenance for wind farm operations, the digital twin (DT) technique offers a valuable approach. By mirroring the life of the corresponding physical twin through the utilisation of advanced physical models, sensor updates, and other relevant data, DT enables more effective and informed decision-making in the management of wind farm assets [20,21,22].
This review seeks to provide a comprehensive exploration of how DT technology contributes to enhancing reliability in FOWTs. The foundation of our examination lies in contextualising the reliability challenges specific to floating offshore wind, tracing the historical evolution of reliability measures within the offshore wind sector, and subsequently delving into the intricacies of DT technology as a tailored solution for addressing these challenges. The results of our analysis will unveil the pivotal role played by DT technology in real-time monitoring, predictive maintenance, and reliability analysis within the context of FOWTs. Success stories and case studies will be examined to showcase instances where DT implementations have led to tangible improvements in reliability, operational efficiency, and overall performance. The subsequent sections of this paper delve into the historical overview of offshore energy asset safety and reliability, DT applications in the offshore wind industry, and challenges and opportunities associated with the integration of DT technology in FOWTs, offering a comprehensive and insightful exploration of this innovative approach.
2. Historical Overview of Offshore Energy Asset Safety and Reliability
The historical evolution of safety and reliability measures within the realm of offshore energy assets is a journey marked by continuous innovation and adaptation. The quest for robust safety protocols and reliable operational frameworks has been necessitated by the inherent challenges posed by offshore environments, where harsh weather conditions, complex engineering, and remote locations converge. This historical overview aims to trace the trajectory of safety and reliability considerations in offshore energy, laying the groundwork for understanding the contemporary landscape and the role of DT technology in mitigating risks.
2.1. Developments in Offshore Energy
The genesis of offshore energy exploration can be linked to the mid-20th century, when the pursuit of hydrocarbon resources led to the development of fixed-platform structures in shallow waters [23,24]. These early structures laid the foundation for safety standards, focusing primarily on structural integrity and fire prevention. Over subsequent decades, as offshore activities expanded into deeper and more remote waters, the industry faced heightened challenges. Tragic incidents, such as the Piper Alpha disaster in 1988 [25,26], served as wake-up calls, prompting a re-evaluation of safety practices and the establishment of regulatory frameworks.
The 1990s witnessed a paradigm shift in safety thinking, transitioning from a focus solely on hardware integrity to a holistic approach encompassing human factors, organisational culture, and risk management [27,28]. International standards such as the International Safety Management (ISM) Code were introduced [29,30], emphasising a systematic approach to safety management. This period also saw the emergence of advanced technologies for asset monitoring and risk assessment, setting the stage for a more proactive safety culture [31].
2.2. Offshore Wind Energy
In the 21st century, as the offshore energy sector diversified to include renewable sources like offshore wind [32,33,34,35], safety and reliability considerations evolved to encompass a broader spectrum of challenges. Offshore wind farms introduced novel structural configurations and operational dynamics, necessitating adaptations in safety protocols. The Deepwater Horizon incident in 2010 [36,37] highlighted the ongoing need for vigilance and spurred further advancements in safety technologies and regulatory oversight.
Offshore wind turbine structures represent a pioneering frontier in renewable energy, harnessing the power of wind over vast expanses of the ocean to generate clean and sustainable electricity [8,10,11,14,15,18,21]. These structures, typically consisting of towering masts anchored to the seabed, support massive turbine blades that capture wind energy and convert it into electricity through rotational motion. Engineered to withstand the harsh marine environment, offshore wind turbine structures feature robust designs capable of enduring high winds, turbulent seas, and corrosive saltwater. As a key component of offshore wind farms, these structures are strategically located in coastal waters to maximise wind resources and minimise visual impact on land. The OWT structure is comprised of several essential components, including the foundation, tower, nacelle, and rotor assembly. A towering structure is typically made of steel or concrete, which supports the nacelle and rotor assembly. The nacelle houses the turbine’s mechanical components, including the gearbox, generator, and control systems, while the rotor assembly comprises the blades and hub responsible for capturing wind energy. As for the foundations of OWTs, there are two primary types: fixed and floating foundations [4,21,38,39]. Figure 1 shows the main types of OWT foundations by different installation methods [8].
Figure 1.
Types of OWT platforms: (a) monopile, (b) gravity-based platform, (c) jacket, (d) tripod, (e) tripole, (f) spar, (g,h) tension-legged platform, and (i) semi-submersible. Reproduced from [8], with permission from Elsevier, 2024.
Fixed foundations, such as monopiles or jackets, are anchored directly to the seabed, providing stability and support for the turbine. These fixed foundations are suitable for shallow to moderate water depths and relatively stable seabed conditions. On the other hand, floating foundations are designed for deeper waters where fixed foundations are not feasible. Floating foundations utilise buoyant structures that are moored to the seabed using tethers or anchors, allowing the turbine to remain stable while floating on the water’s surface. These foundations enable the deployment of offshore wind turbines in deeper waters, expanding the potential sites for wind energy development.
A semi-submersible platform consists of buoyant pontoons or columns submerged below the waterline, which provide stability and buoyancy to the platform. The platform is partially submerged, with only a portion of the structure visible above the water surface. This design allows the platform to remain stable in rough sea conditions while providing a secure foundation for OWTs. The semi-submersible platform is often used in deepwater locations where fixed-bottom foundations are not feasible, offering flexibility and scalability for offshore wind energy projects [8,16,38]. Engineering applications of semi-submersible platforms include the WindFloat platforms by Principle Power, Saitec’s SATH (Swinging Around Twin Hull) platforms, BW Ideol’s Damping Pool floating foundation, the OC4-DeepCwind platform, and the W2Power Platform [39]. In addition to the semi-submersible platform, Spar and tension leg platforms (TLP) are also used in offshore wind projects [4,11,18].
The loads acting on the foundation of OWTs primarily include vertical loads from the weight of the turbine components, horizontal loads from wind and waves [40], and moments resulting from the dynamic behaviour of the structure. As the historical landscape unfolds, it becomes evident that safety and reliability in offshore energy have been shaped by a continuous dialogue between industry experiences, technological innovations, and regulatory responses [29,30,31,41,42,43,44].
2.3. Reliability Methods
In structural design, the reliability of a structural component is assessed concerning one or more limit states. The structure is characterised by a set of fundamental variables, denoted as X, which encompass its strength, stiffness, geometry, and loading, among other factors.
The failure probability can be expressed using the probability integral over the failure set:
where G(X) is the limit-state function for the failure mode considered, and fX(X) is the joint probability density function for X.
The complement 1—PF is accordingly referred to as the reliability of the structural component in question. The corresponding reliability index is determined by
where Φ is the standard normal distribution function.
The failure probability and reliability index can be determined using various reliability methods, which may include the first- and second-order reliability methods, i.e., FORM and SORM [45,46,47,48], as well as simulation methods. Analytical methods have an advantage in that they typically do not require significant computer resources. However, they may not provide exact results for the probabilities sought but rather approximations that may not always be accurate enough. The first step in these methods involves transforming the physical basic variables into a space of standard normal variables. This transformation leads to a corresponding limit-state surface in the standard normal space, replacing the limit-state surface of basic variables. The analytical methods for solving failure probability rely on approximations of the limit-state surface in the standard normal space by operational surfaces. These operational surfaces allow for the computation of the corresponding failure probability according to the probability integral defined above.
When dealing with larger failure probabilities, it is recommended to use simulation methods. Monte Carlo simulation (MCS) techniques are a useful tool for estimating failure probabilities [49,50,51,52]. One advantage of these methods is their simplicity, as they are easy to understand and execute. Additionally, when a sufficient number of simulations are carried out, the solutions provided by these methods converge towards exact results. However, one drawback is that these methods require a lot of computation time, particularly when estimating small failure probabilities with good confidence. It has been noted [53] that for simulations employing indicator-based Monte Carlo methods, a minimum of 100/PF simulation samples is required, where PF represents the failure probability.
In addition to the previously mentioned, widely utilised reliability analysis methods, the partial safety factor (PSF) specified in design standards is often aligned with target reliability, especially when the probability of failure is not explicitly computed [54,55]. In the first-order second-moment (FOSM) method, two parameters (mean and variance) are typically employed to characterise each uncertain variable [40,56]. The response surface method (RSM) is also an efficient and widely applicable method in structural reliability analysis, in which typical first- or second-order polynomials are chosen to replace the real limit-state function [57,58].
2.4. Discussion on Recent Developments
Recently, there has been an increasing trend in the utilisation of artificial intelligence (AI), machine learning (ML), and DT technologies to enhance reliability in engineering applications [8,59,60,61,62]. AI and ML algorithms offer powerful tools for analysing large datasets, identifying patterns, and making predictive assessments, thereby enabling more accurate risk assessments and proactive maintenance strategies. These technologies can leverage real-time data from sensors and monitoring systems to detect anomalies, predict equipment failures, and optimise operational performance. Additionally, DT technology has gained prominence for creating virtual replicas of physical assets, facilitating simulation-based reliability analysis, and enabling condition-based monitoring and maintenance. In the offshore wind sector, AI, ML, and DT are increasingly being integrated into asset management systems to improve reliability, reduce downtime, and enhance overall operational efficiency. In [60], artificial neural network (ANN) models were used for limit-state function approximation and combined with MCS and FORM for reliability assessment.
Incorporating structural health monitoring (SHM) and condition monitoring (CM) techniques into reliability assessments presents a significant advancement in ensuring the integrity and performance of engineering assets. By continuously monitoring the structural health and operational conditions of components in real time, SHM and CM provide invaluable data for assessing the reliability of critical systems. More specifically, SHM systems installed on offshore wind turbine structures continuously monitor structural integrity, detecting any signs of fatigue, corrosion, or damage that may compromise reliability. Similarly, CM technologies track the operational performance of critical components such as gearboxes, bearings, and blades, identifying potential faults or inefficiencies early on. By integrating SHM and CM data into reliability analyses, offshore wind farm operators can better predict component failures, optimise maintenance schedules, and minimise downtime.
3. Advances in DT Development for FOWTs
By learning from past incidents and evolving safety practices, the offshore wind industry is better poised to integrate DT solutions effectively, ensuring a resilient and secure future for offshore energy assets. The overview in this section sets the stage for the subsequent exploration of DT technology’s application in enhancing safety and reliability within offshore energy assets, providing valuable insights into the evolution of safety practices and the imperative for continuous improvement in the face of dynamic challenges.
3.1. Introduction to DT
A DT can be defined as a virtual representation of a system or asset that calculates system states and makes system information available, through integrated models and data, to provide decision support over its life cycle. The idea of using a twin model can be dated back to NASA’s Apollo program in the 1970s, where two identical space vehicles were built to allow mirroring of the conditions of the space vehicle during the mission [63]. While initially proposed in 1991, the DT made its debut in 2002 within the realm of product lifecycle management (PLM). Originally dubbed the mirrored spaces model (MSM) and information mirroring model (IMM), it was officially named Digital Twin in 2011 [64].
DT technology has found widespread applications across various industries, including aerospace [65], automotive [66], healthcare [67], manufacturing [68], and smart city [69] industries, etc. Initial applications of DTs are evident in NASA’s spacecraft and US Air Force jet fighters [70,71]. Major vendors like Siemens, PTC, and Dassault Systèmes have incorporated DT concepts into their PLM systems. The DT model has also been proposed to support the resilient implementation of the Internet of Things (IoT) [72]. Companies like TESLA are actively pursuing the development of DTs for all manufactured cars, facilitating synchronous data transmission between vehicles and the production facility. Between 2017 and 2019, Gartner, a prominent technology research and advisory company, included DT technology among the top 10 strategic trends. Their prediction foresaw that within 5 years, billions of objects would be represented by DTs [73].
While the concept of DT is not novel, initially, it remained largely descriptive and lacked auxiliary technologies in its early stages [74,75,76]. Figure 2 illustrates the surge in research interest in the DT concept, evident from the increasing amount of findings acquired through searching the topic ‘digital twin’ in the database of Web of Science (WoS). Especially since 2019, there has been a notable surge in interest from both industry and academia, as reflected in the increasing number of results obtained. According to data from WoS, China emerges as the leading country in DT publications, followed by the USA, Germany, Italy, the UK, and South Korea, among others, indicating global recognition and engagement with this evolving field.
Figure 2.
The number of publications with the topic ‘digital twin’ (source: Web of Science).
3.2. DT for Offshore Wind
The DT concept comprises three key components: (1) the physical asset itself, (2) its virtual representation, and (3) the interconnectedness between these two components. This connection encompasses the seamless exchange of information from the physical asset to its DT, and vice versa [77,78]. In more recent developments, an expanded five-dimensional DT model has emerged to address the evolving needs of various applications for Industry 4.0 [79]. This enhanced model builds upon the foundational concept of DTs by incorporating additional dimensions for data and services.
Figure 3 shows one example of a DT of a wind turbine, comprised of the physical entity, the virtual model, the data and services, and the transmissions between the DT components. The DT-enabling technologies include sensing technology, modelling technology, the data management method, DT service technology, data connection technology, etc.
Figure 3.
DT of a wind turbine with a variety of enabling technologies being implemented [80] (from an open-accessed journal article; permission is not required).
The integration of sensing technology is crucial for enabling physical objects to perceive and interact with the external environment. Once data have been collected, adjustments to the virtual model are necessary to accurately reflect changes in physical entities. This comprehensive approach requires the virtual model to encompass a wide array of features, including geometric, physical, behavioural, and rule-based information. Given the vast amount of data generated during the operation of physical objects, big data analytics technologies are indispensable for effectively collecting, transmitting, storing, and processing this information. Additionally, the functionality of DT services is dependent on the specific usage of the physical object, necessitating the implementation of data transmission technologies, such as various communication protocols and IoT technologies, to facilitate the exchange of original and processed data. Furthermore, data-driven technology plays a crucial role in enabling physical objects to respond to commands from higher-level systems. Environmental factors are also essential components of DT, providing critical information for maintaining consistency between physical entities and virtual models, integrating information on all elements, and accurately predicting changes in the environment. As a result, environment-coupling technology is essential for considering the impact of environmental factors on the DT model.
A DT for the power converter of offshore wind turbines was introduced in [81] with the aim of forecasting damage accumulation and estimating the remaining useful life (RUL). This DT model takes into consideration medium- and short-term thermal transient loadings, as well as long-term thermal loading. Figure 4 illustrates the 5 MW NREL wind turbine and the corresponding numerical turbine utilised within the virtual space framework of the DT. The details of the data and information transmission are revealed in the next section.
Figure 4.
DT of a 5 MW Wind turbine with a fully rated power converter for floating applications [78,81] (completely redrawn by the authors; permission is not required).
3.3. Data Acquisition and Integration
Data acquisition and integration play pivotal roles in the development and implementation of DT technology. Effective data acquisition is essential for capturing real-world information and transforming it into actionable insights. This involves collecting data from various sources, including sensors, IoT devices, historical records, and operational systems. With the proliferation of IoT devices and sensors in industrial environments, there is an abundance of data available for DT applications. Advanced data acquisition techniques such as edge computing and cloud-based data platforms enable real-time data processing and analysis, facilitating timely decision-making and predictive maintenance.
In the examination of the aforementioned 5 MW NREL virtual wind turbine [81], wind and ambient profiles were imported from supervisory control and data acquisition (SCADA) data. Subsequently, the loading profile was integrated into FAST (now OpenFAST) [11,12] or similar aero-elastic-servo-control models to generate inputs (e.g., torque and speed) for the generator. Within the DT framework, virtual sensors were generated for structural locations without strain gauges, utilising a blend of aeroelastic models and finite element methods (FEM). Power loss was estimated based on the power values obtained from SCADA data. Python programming was utilised to forecast the junction temperatures of insulated-gate bipolar transistors (IGBT) and diodes, in conjunction with overall junction temperature prediction.
However, the challenge lies in identifying relevant data sources, ensuring data quality, and establishing secure and efficient data transmission channels. The integration of disparate data sources is critical for creating a comprehensive DT ecosystem. This involves harmonising data formats, protocols, and standards to enable seamless interoperability across different systems and domains. Integration efforts may encompass data from multiple sources, including engineering design tools, simulation software, enterprise resource planning (ERP) systems, and supply chain management platforms. By integrating data from various sources, organisations can gain a holistic view of their assets and operations, enabling better-informed decision-making and the optimisation of processes. Additionally, data integration enables the creation of digital threads that link various stages of the product lifecycle, including the phases of design, manufacturing, operation, and maintenance.
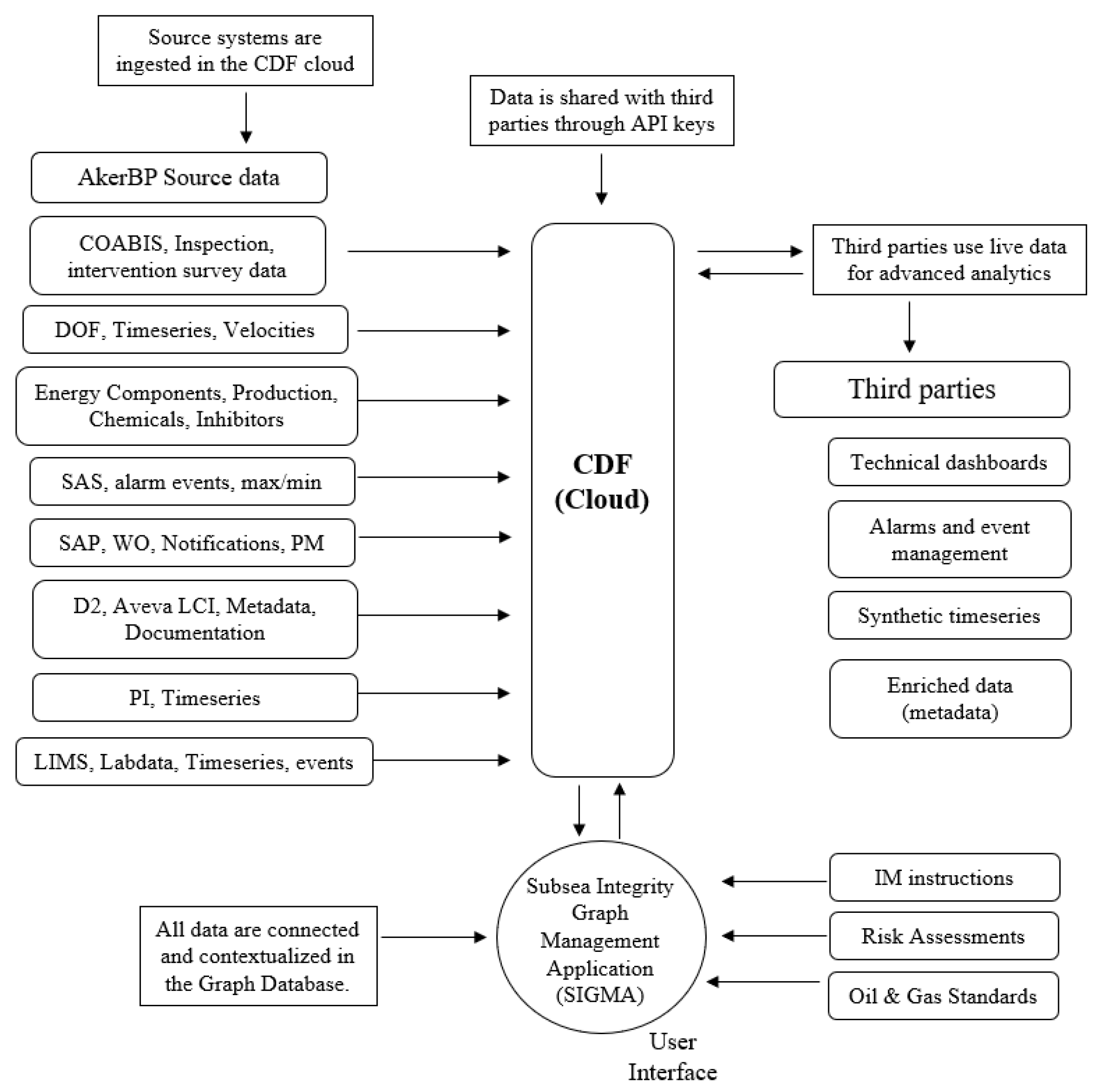
Enhanced alignment with data formats is deemed essential for the industry, facilitating cost savings and enabling data sharing for comparison, trend analysis, and learning purposes. Some operators are heavily investing in data integration efforts. Aker BP, for instance, is actively engaged in integrating and evaluating data within the context of its integrity management application, called SIGMA (Subsea Integrity Graph Management Application) [82]. Data from various source systems are aggregated and processed through Cognite Data Fusion (CDF), as depicted in Figure 5.
Figure 5.
Aker BP’s architecture and data flow for facilitating contextual data assessment within SIGMA for the presentation of technical conditions and risks [82] (completely redrawn by the authors; permission is not required).
The data format represents an inherent attribute of the data, and the existence of diverse data formats poses a significant challenge when integrating data. While data integration platforms are adept at handling various formats, direct comparisons of data, such as through conducting trend analyses over time, are often hindered by the disparate formats of the data. Operators have reported this challenge, particularly when transitioning between service providers, as data requirements are typically contractually defined. This contractual flexibility allows operators to align data requirements across service providers and assets. However, accommodating different data requirements across operators and assets demands time and resources from service providers. Ongoing industry initiatives, such as READI (REquirement Asset Digital lifecycle Information) [83] and PDEF (Pipeline Data Exchange Format) [84] joint industry projects [85], aim to address these challenges by focusing on standardising data formats.
In summary, the diversity of data formats poses a challenge to data integration efforts. While data integration platforms are capable of handling different formats, the direct comparison of data, particularly for trend analysis over time, is hindered by these format disparities. This challenge becomes more pronounced when operators switch service providers, as each may have distinct data requirements defined in contracts. Aligning these data requirements across service providers and assets is crucial but entails both time and cost.
3.4. Modelling and Simulation
Modelling encompasses the process of creating virtual replicas or models of physical assets, capturing their structural, operational, and environmental characteristics. In the case of FOWT platforms, modelling involves integrating data on turbine components, support structures, environmental conditions, and operational parameters into a cohesive digital representation. Various modelling techniques, ranging from finite element analysis (FEA) to computational fluid dynamics (CFD), are employed to simulate the behaviour of offshore energy assets under different operating conditions, loading scenarios, and environmental forces.
Qi et al. [86] categorised the typical tools for applications of DT services into four main groups, (1) platform tools, (2) simulation, (3) optimisation, and (4) diagnostic and prognosis service tools, which are summarised in Figure 6. For example, the commercial software ANSYS Twin Builder, built upon the ANSYS simulation platform, empowers users to develop highly accurate virtual replicas of physical assets, enabling real-time monitoring, predictive analytics, and performance optimisation. With its seamless integration with other ANSYS tools such as ANSYS Fluent, ANSYS Mechanical, and ANSYS SCADE, users can leverage a comprehensive suite of simulation capabilities to accurately capture the behaviour of complex systems and components.
Figure 6.
Groups of tools for DT applications. Reproduced from [86], with permission from Elsevier, 2024.
An instance of model updating is exemplified in [87], where a sequence of tests was conducted on an H-style vertical axis wind turbine to ensure the accuracy of the DT finite element (FE) models in replicating real-world conditions. Experimental modal analysis with impact testing was employed, involving the measurement of excitation and response across different degrees of freedom (DOF) within the structure. Six accelerometers were strategically positioned in the X, Y, and Z directions at the corner of the platform and at the bottom of the first blade to capture structural responses, yielding frequency response functions. Various techniques were employed to measure the blades, struts, and platform individually to validate the assumptions of the FE models. The entire system underwent in situ testing at the Open Jet Facility wind tunnel in Delft.
Simulation using the DT model involves running computational experiments or scenarios to predict the performance and response of the physical asset. Through simulation, engineers can assess the structural integrity, dynamic behaviour, and operational efficiency of FOWT platforms, identifying potential failure modes, optimising design parameters, and evaluating risk mitigation strategies. Advanced simulation tools enable real-time interaction with the DT, allowing operators to monitor asset health, predict maintenance needs, and make informed decisions to enhance reliability and safety [74,75,76,80,86,88].
Akselos’ reduced basis FE analysis (RB-FEA) technology is claimed to be faster than conventional FEA methods, boasting higher accuracy by leveraging posterior accuracy indicators and automated model enrichment processes [88]. The reduced basis (RB) method stands as a technique for creating reduced-order models of parametrised partial differential equations (PDE), necessitating the definition of a geometric domain (e.g., established by a mesh with different elements), a specific physics type, boundary conditions, and a model parameter (e.g., material properties) vector. In RB-FEA, the RB method is applied to the interiors of components, while a transfer eigenvalue technique, known as “optimal modes”, is employed for DOF reduction on component interfaces. In the context of a detailed DT for a floating platform, the RB-FEA model typically ranges from approximately 10,000 to 500,000 DOF, representing a reduction of around 1000 when compared to the DOFs in an equivalent FE model [89]. Akselos’ predictive DT technology has catalysed numerous wind foundation design projects in collaboration with industry leaders such as BEPA, Det Norske Veritas (DNV), Lamprell, ABS, Shell, and various other companies [89,90,91,92,93].
Furthermore, the integration of modelling and simulation with data-driven approaches, such as ML [94,95,96,97] and AI [98,99,100], enhances the predictive capabilities of DTs. By analysing vast amounts of operational data and historical performance metrics, ML algorithms can identify patterns, predict potential failures, and optimise asset performance in real time. This synergistic combination of modelling, simulation, and data analytics offers a holistic approach to ensuring the safety, reliability, and sustainability of offshore energy assets.
4. Application of DT on Safety and Reliability
The impact of DT technology on safety and reliability within the offshore energy sector is profound, revolutionising traditional approaches to asset management and maintenance practices. By creating virtual replicas of physical assets and continuously updating them with real-time data from sensors and monitoring systems, DTs provide operators with unprecedented visibility into asset health and performance. This real-time monitoring capability enables the early detection of potential failures, allowing operators to implement proactive maintenance interventions before issues escalate, thus enhancing overall safety and reliability. Ultimately, the impact of DT technology on safety and reliability in the offshore energy sector is transformative, driving continuous improvement and innovation in offshore operations.
4.1. Real-Time Monitoring and Predictive Analytics
Real-time monitoring is a cornerstone of DT technology, enabling operators to capture and analyse live data from sensors embedded throughout offshore energy assets. These sensors collect a plethora of information, including structural health metrics, environmental conditions, operational parameters, and performance indicators. By integrating this real-time data into the DT framework, operators gain immediate insights into asset performance, allowing them to detect anomalies, identify potential issues, and take proactive measures to ensure safety and reliability.
Leveraging the GE Predix platform as a foundation, GE developed a digital wind farm infrastructure, incorporating a DT for each wind turbine (see Figure 7). The platform is accomplished by varying the tower height, the rotor diameter, and the nameplate. This innovative approach aims to optimise maintenance strategies, enhance reliability, and boost energy production within wind farms. By harnessing the power of DT technology, operators gain unprecedented insight into the operational health and performance of each turbine, enabling proactive maintenance interventions, maximising reliability, and optimising energy output [86,101,102].
Figure 7.
GE’s digital infrastructure of a 3 MW wind farm [102] (from a public report; permission is not required).
DNV has also introduced WindGemini, a tool designed to assess the performance and health monitoring of OWTs by predicting failures and estimating their remaining lives [103]. It utilises various measurements such as temperatures and frequency analysis for health monitoring. The interface of the program, depicted in Figure 8, enables users to monitor the relative variation in production among turbines and over time. This functionality allows operators to identify performance outliers and track degradation in turbine performance effectively.
Figure 8.
Interface of WindGemini ‘Pattern of Production’ module for DTs for wind turbines developed by DNV [103] (from a public report; permission is not required).
Displayed in Figure 9 is the desktop interface of the DT visualisation tool RamView360, developed by RAMBOLL Group, specifically referencing the Wikinger Offshore Wind Farm situated in the Baltic Sea. This web-based building information modelling (BIM) model visualisation tool offers a plethora of functionalities to accommodate user preferences, including but not limited to BIM visualisation, CFD simulation modelling, computer-aided design (CAD) modelling, and point cloud modelling derived from LiDAR scanning data. The inspection information can be easily visualised by clicking on the annotation point integrated into the RamView360 model [104].
Figure 9.
Demonstration of the DT visualisation tool RamView360 in the ROMEO project (Horizon 2020) [104] (from a public report; permission is not required).
Furthermore, predictive analytics leverages historical data, ML algorithms, and advanced analytics techniques to forecast future behaviour and performance trends of offshore energy assets. By analysing patterns and correlations within the data, predictive analytics models can anticipate potential failures, predict maintenance needs, and optimise asset performance. For example, ML algorithms can identify early warning signs of equipment degradation or impending failures based on historical failure patterns and operational data, enabling operators to intervene before catastrophic events occur.
In the project on RaPiD (Reciprocal Physics and Data-driven) models [82,105], physics-based models with data-driven ML and probabilistic uncertainty analyses were integrated to enhance decision support for safety-critical systems. The project seeks to provide specific, timely, and accurate insights into the operation of such systems. Central to this approach is the fusion of well-established full-order models (FOM), optimised through reduced-order modelling (ROM), with the utilisation of probabilistic data-driven models.
4.2. Further Discussions
DTs empower operators with data-driven decision-making capabilities, enabling them to make informed choices regarding asset maintenance, optimisation, and risk mitigation strategies. By providing operators with actionable insights derived from real-time monitoring and predictive analytics, DTs facilitate optimised asset performance, extended asset lifespans, and improved operational efficiency.
In a study focused on the mooring line tension of an FOWT [106], two DTs were developed using data from the Hywind Pilot Park for validation. The first DT aimed to predict mooring line tension under normal conditions to monitor any deviations from expected behaviour, providing an effective solution for detecting long-term drifts in mechanical responses. The second DT incorporated past, present, and forecasted data to predict near-future mooring line tension, achieving promising results with an error margin of approximately 15 kN for a forecast horizon of 1–2 min. The DT’s predictions can serve as early safety warnings during FOWT operational maintenance activities.
A probabilistic framework was introduced in [107] for enhancing the structural reliability of OWT substructures by leveraging information from DTs. The data obtained from DTs played a crucial role in quantifying and revising the uncertainties linked to structural dynamics and load modelling parameters concerning fatigue damage accumulation. This framework was demonstrated through two numerical case studies featuring a typical OWT, utilising data from established DTs [108,109], as illustrated in Figure 10.
Figure 10.
Application of a DT for lifetime extension of OWTs. Reproduced from [108], with permission from Elsevier, 2024.
Depending on the scheduled lifetime extension, one can store structural response data or environmental data, or both, with higher-quality data leading to more precise estimates. Operational data are compared to predicted data generated by numerical models used in the design phase, with significant differences prompting model updates to better reflect the real structure. Updated uncertainties are then compared to initial assumptions, forming the basis for updating structural reliability. This process establishes a consistent reliability level for a given structure, with reduced uncertainties leading to an estimation of excess reliability used to extend the structure’s lifetime. Excess reliability is translated into extended lifetime through probabilistic models, predicting when reliability reaches its target value due to deterioration mechanisms like fatigue. Extending the monitoring campaign and utilising damage detection algorithms during operational stages provide further insights and optimisation for additional lifetime extension.
Xia and Zhou [110] conducted a recent comprehensive review of the latest advancements in DT technology, focused on optimising the operation and maintenance (O&M) of offshore wind farms (OWF). The review covered various aspects such as failure analysis, O&M objectives, strategies, and optimisation models, as well as the development and management of DT technology in the context of O&M. Furthermore, a novel DT-based optimisation framework tailored for OWF O&M was introduced, aiming to enhance operational efficiency and intelligence levels.
In addition, a method to quantify the value of a DT was proposed in [110]. It was suggested that the value of a DT could be assessed by considering the collective value of each wind turbine component’s DT. This is quantified by the following equation:
where V is the DT’s value, ΔVr signifies the reliability utility variation, ΔVc means the O&M cost variation, ΔVs reflects the variation in the security utility, and ΔVe represents the variation in terms of environmental protection.
The value of each sub-DT can be partitioned into the sum of the value of the corresponding monitoring system, of the data storage and processing system, and of the digital model construction.
Six requirements were outlined in [111] for implementing DT technology in the fatigue monitoring of bolted ring-flanges on OWT support structures, considering the broader context of the DT paradigm within the OWT industry. While each requirement addresses specific needs in the OWT context, they may also have applicability to other industries. The summarised requirements are as follows:
- (1)
- A well-defined objective for the DT to meaningfully support engineering decisions.
- (2)
- Strategically designed observations, considering associated costs.
- (3)
- Resolution of boundary conditions subject to parametric variability or uncertainty to allow the reconstruction of structural loads.
- (4)
- A simulator or surrogate model enabling uncertainty propagation in near real-time, feasible with desktop computational resources.
- (5)
- Updatability of the simulator form and parameters based on observations of the physical system.
- (6)
- Interpretability of the simulation model, with a preference for physics-informed simulators.
While the outlined requirements provide a structured approach to implementing DT technology in fatigue monitoring, their practical use may be influenced by various limitations such as resource constraints, data quality, computational feasibility, and the balance between complexity and interpretability.
5. Challenges and Future Directions
The challenge of conducting reliability analysis, health monitoring, and predictive maintenance for FOWTs persists because of their high O&M costs [8]. It was noted in [110] that the majority of current studies concentrate solely on monitoring certain components of OWFs, lacking systematic monitoring strategies for the entire facility. Existing DT models often exhibit poor performance, characterised by inadequate fidelity, attributed to incomplete data, sluggish data processing, and insufficient model integration. In this regard, investigating systematic monitoring, non-contact monitoring techniques, rapid data processing techniques, and model integration will be pivotal for the successful deployment of DT technology in OWFs.
A practical scheme for transferring data from the physical to the virtual space has been established, addressing data interconnection between the two realms. However, the absence of virtual-to-physical feedback, essential for the DT-informed decision-making process, is notable in the literature [112]. Moreover, while numerous studies on DT have been proposed, many remain conceptual or focus solely on subsystem development. A comprehensive, integrated framework for creating and applying DTs appears to be lacking.
Challenges and future directions in DT technology for offshore wind present a dynamic landscape shaped by both technological advancements and industry-specific complexities. Despite significant progress, several hurdles remain, necessitating innovative solutions and strategic focus.
Table 1 outlines the challenges encountered in DT applications for enhancing the reliability of FOWTs within the offshore wind industry, along with corresponding suggestions or comments for addressing each challenge. One of the foremost challenges lies in data integration and management. Offshore wind farms generate vast amounts of data from various sensors and monitoring systems, posing challenges in data collection, storage, and processing [113,114]. Ensuring the seamless integration of this diverse data into DT models remains critical for accurate and reliable performance monitoring and predictive analytics.
Table 1.
List of challenges in DT applications for offshore wind.
Another key challenge is model fidelity and validation. DT models must accurately represent the complex behaviour of offshore wind assets, including dynamic environmental conditions, structural loads, and system interactions [115]. Building high-fidelity models entails a foundation in FEA [15,87,88,120,121] and CFD [16,122,123], alongside the incorporation of innovative data-driven methodologies [94,95,96,97,98,99,100], all of which necessitate continuous validation against real-world data, thereby posing computational and analytical challenges [116].
Furthermore, interoperability and standardisation are essential for scaling DT solutions across the offshore wind industry. Establishing common data formats, communication protocols, and interoperable platforms will facilitate seamless collaboration and data exchange among stakeholders, ultimately enhancing efficiency and innovation. Additionally, concerns arise regarding the safeguarding of physical and virtual infrastructure against cyber-attacks [117,118], as well as potential social ramifications stemming from widespread DT applications in the future [119].
Looking ahead, future directions in DT for offshore wind will likely focus on enhancing predictive capabilities, enabling proactive maintenance and optimisation strategies. While the focus on enhancing predictive capabilities and enabling proactive maintenance and optimisation strategies is paramount, it is essential to address the inherent complexities and uncertainties within offshore wind operations. One significant challenge lies in the dynamic and harsh offshore environment, where unpredictable factors such as extreme weather conditions and environmental degradation can significantly impact asset performance and reliability. Therefore, developing robust predictive models that account for these uncertainties and accurately forecast equipment failures is crucial for effective maintenance planning and risk mitigation. Advanced analytics, ML, and AI will play a crucial role in developing predictive models capable of forecasting equipment failures, optimising performance, and maximising energy production.
Additionally, there is a growing emphasis on DT applications for holistic asset lifecycle management, spanning design, construction, operation, and decommissioning phases. Integrating DTs into a unified lifecycle management framework will enable comprehensive decision support and facilitate data-driven strategies for optimising asset performance and longevity. This approach requires the seamless integration of DTs into a unified lifecycle management framework, which presents technical and organisational challenges. Ensuring interoperability between various DT systems and data sources, as well as establishing standardised protocols for data exchange and analysis, will be essential for realising the full potential of DT in optimising asset performance and longevity. Furthermore, overcoming barriers related to data privacy, security, and ownership rights will be crucial for fostering collaboration and knowledge sharing across stakeholders in the offshore wind industry.
6. Summary
Amidst the ongoing digitalisation trend, the digital twin has emerged as powerful technology, with discussions spanning various industries, including offshore wind energy. The advent of DTs offers an effective avenue for achieving remote monitoring and control, predicting downtime, and mitigating risks for FOWTs. This paper delves into the recent literature concerning the myriad applications of DTs for the offshore wind industry, providing valuable insights into the role of DTs in optimising the reliability and performance of FOWTs.
Despite challenges associated with DT implementation in FOWTs, including data integration, data quality assurance, real-time modelling, and cybersecurity concerns, the potential benefits outweigh the obstacles. To harness the full potential of DT in offshore wind, several recommendations emerge.
- (1)
- First and foremost, there is a critical need to unify data and model standards, along with the development of universal platforms and tools. This standardisation will facilitate seamless data exchange and interoperability among different stakeholders and systems within the offshore wind sector.
- (2)
- Additionally, the establishment of an accessible database for data and model sharing is essential to promote collaboration, transparency, and innovation across the industry.
- (3)
- Furthermore, thorough examinations of data quality and dedicated validation campaigns are imperative to ensure the accuracy and reliability of DT models. Integrating IoT technologies and leveraging ROM techniques will enhance the efficiency and scalability of DT applications.
- (4)
- Investing in computational infrastructure, including fog, cloud, and edge computing, will provide the necessary computational power to support real-time analytics and decision-making processes.
- (5)
- Finally, advanced cyber-security protocols need to be implemented to safeguard DT systems and data from potential cyber threats, ensuring the integrity and confidentiality of sensitive information in the offshore wind environment. By embracing these recommendations, the offshore wind industry can unlock the transformative potential of DT technology, driving innovation, efficiency, and sustainability in wind energy operations.
As the offshore wind sector continues to evolve, embracing DT technology will offer a pathway to optimise reliability, mitigate risks, and drive innovation in FOWT operations and maintenance practices. Through collaborative efforts and strategic investments, the realisation of reliable and sustainable offshore wind energy is becoming increasingly attainable with the aid of digital twin solutions.
While efforts were made to provide a comprehensive overview, it should be noted that not every aspect of FOWT reliability enhancement or digital twin application may have been covered within the review’s scope. Further research is encouraged to delve deeper into specific limitations and future directions in this rapidly evolving field.
Author Contributions
Conceptualisation, B.-Q.C.; writing—original draft preparation, B.-Q.C.; writing—review and editing, K.L., T.Y. and R.L.; visualisation, B.-Q.C. All authors have read and agreed to the published version of the manuscript.
Funding
This study contributes to the Strategic Research Plan of the Centre for Marine Technology and Ocean Engineering, which is financed by the Portuguese Foundation for Science and Technology (FCT), under contract UIDB/UIDP/00134/2020.
Data Availability Statement
No new data were created or analysed in this study. Data sharing is not applicable to this article.
Conflicts of Interest
The authors declare no conflicts of interest.
Abbreviations
| ABS | American Bureau of Shipping |
| AI | Artificial Intelligence |
| API | American Petroleum Institute |
| ANN | Artificial Neural Network |
| BIM | Building Information Modelling |
| CAD | Computer-Aided Design |
| CDF | Cognite Data Fusion |
| CFD | Computational Fluid Dynamics |
| CM | Condition Monitoring |
| DNV | Det Norske Veritas |
| DOF | Degrees of Freedom |
| DT | Digital Twin |
| ERP | Enterprise Resource Planning |
| FE | Finite Element |
| FEA | Finite Element Analysis |
| FEM | Finite Element Method |
| FOM | Full Order Model |
| FORM | First Order Reliability Method |
| FOSM | First Order Second Moment |
| FOWT | Floating Offshore Wind Turbines |
| GWEC | Global Wind Energy Council |
| IGBT | Insulated-Gate Bipolar Transistor |
| IMM | Information Mirroring Model |
| IoT | Internet of Things |
| IRENA | International Renewable Energy Association |
| ISM | International Safety Management |
| LIMS | Laboratory Information Management System |
| MCS | Monte Carlo Simulation |
| ML | Machine Learning |
| MR | Mixed Reality |
| MSM | Mirrored Spaces Model |
| NASA | National Aeronautics and Space Administration |
| NFC | Near Field Communication |
| NREL | National Renewable Energy Laboratory |
| OC4 | Offshore Code Comparison Collaboration Continuation |
| O&M | Operation and Maintenance |
| OWF | Offshore Wind Farm |
| OWT | Offshore Wind Turbine |
| PDE | Partial Differential Equation |
| PDEF | Pipeline Data Exchange Format |
| PLM | Product Lifecycle Management |
| PM | Plant Maintenance |
| PSF | Partial Safety Factor |
| RB | Reduced Basis |
| ROM | Reduced Order Modelling |
| RSM | Response Surface Method |
| RUL | Remaining Useful Life |
| SATH | Swinging Around Twin Hull |
| SCADA | Supervisory Control and Data Acquisition |
| SDG | Sustainable Development Goals |
| SIGMA | Subsea Integrity Graph Management Application |
| SHM | Structural Health Monitoring |
| SORM | Second Order Reliability Method |
| TLP | Tension Leg Platform |
| UWB | Ultra Wideband |
| VR | Virtual Reality |
| WO | Work Order |
| WoS | Web of Science |
| XML | Extensible Markup Language |
References
- Voigt, C. The power of the Paris Agreement in international climate litigation. Rev. Eur. Comp. Int. Environ. Law 2023, 32, 237–249. [Google Scholar] [CrossRef]
- Miller, A.; Atakhanov, A.; Guliyev, M.; Azizov, T.; Huseynova, K.H. The economic effect of the measures provided for by the Kyoto Protocol by region (as of the 2020s). Sci. Horiz. 2023, 26, 136–145. [Google Scholar] [CrossRef]
- Jansen, M.; Staffell, I.; Kitzing, L.; Quoilin, S.; Wiggelinkhuizen, E.; Bulder, B.; Riepin, I.; Müsgens, F. Offshore wind competitiveness in mature markets without subsidy. Nat. Energy 2020, 5, 614–622. [Google Scholar] [CrossRef]
- Zavvar, E.; Abdelwahab, H.S.; Uzunoglu, E.; Chen, B.Q.; Guedes Soares, C. Stress distribution on the preliminary structural design of the CENTEC-TLP under still water and wave-induced loads. J. Mar. Sci. Eng. 2023, 11, 951. [Google Scholar] [CrossRef]
- Global Wind Energy Council. GWEC Global Wind Report 2023; GWEC: Brussels, Belgium, 2023. [Google Scholar]
- International Renewable Energy Association. Future of Wind: Deployment, Investment, Technology, Grid Integration and Socio-Economic Aspects (a Global Energy Transformation Paper); IRENA: Abu Dhabi, United Arab Emirates, 2019. [Google Scholar]
- Porté-Agel, F.; Bastankhah, M.; Shamsoddin, S. Wind-turbine and wind-farm flows: A review. Bound.-Layer Meteorol. 2020, 174, 1–59. [Google Scholar] [CrossRef] [PubMed]
- Wang, M.; Wang, C.; Hnydiuk-Stefan, A.; Feng, S.; Atilla, I.; Li, Z. Recent progress on reliability analysis of offshore wind turbine support structures considering digital twin solutions. Ocean Eng. 2021, 232, 109168. [Google Scholar] [CrossRef]
- Karlõševa, A.; Nõmmann, S.; Nõmmann, T.; Urbel-Piirsalu, E.; Budziński, W.; Czajkowski, M.; Hanley, N. Marine trade-offs: Comparing the benefits of offshore wind farms and marine protected areas. Energy Econ. 2016, 55, 127–134. [Google Scholar] [CrossRef]
- Kang, J.; Sun, L.; Guedes Soares, C. Fault Tree Analysis of floating offshore wind turbines. Renew. Energy 2019, 133, 1455–1467. [Google Scholar] [CrossRef]
- Branlard, E.; Jonkman, J.; Brown, C.; Zang, J. A digital-twin solution for floating offshore wind turbines validated using a full-scale prototype. Wind Energy Sci. 2023, 9, 1–24. [Google Scholar] [CrossRef]
- Liu, Y.; Fontanella, A.; Wu, P.; Ferrari, R.M.; van Wingerden, J.W. Fault detection of the mooring system in floating offshore wind turbines based on the wave-excited linear model. J. Phys. Conf. Ser. 2020, 1618, 022049. [Google Scholar] [CrossRef]
- Kumar, Y.; Ringenberg, J.; Depuru, S.S.; Devabhaktuni, V.K.; Lee, J.W.; Nikolaidis, E.; Andersen, B.; Afjeh, A. Wind energy: Trends and enabling technologies. Renew. Sustain. Energy Rev. 2016, 53, 209–224. [Google Scholar] [CrossRef]
- Jiang, Z.; Hu, W.; Dong, W.; Gao, Z.; Ren, Z. Structural reliability analysis of wind turbines: A review. Energies 2017, 10, 2099. [Google Scholar] [CrossRef]
- Gentils, T.; Wang, L.; Kolios, A. Integrated structural optimisation of offshore wind turbine support structures based on finite element analysis and genetic algorithm. Appl. Energy 2017, 199, 187–204. [Google Scholar] [CrossRef]
- Tran, T.T.; Kim, D.H. Fully coupled aero-hydrodynamic analysis of a semi-submersible FOWT using a dynamic fluid body interaction approach. Renew. Energy 2016, 92, 244–261. [Google Scholar] [CrossRef]
- Salvação, N.; Guedes Soares, C. Wind resource assessment offshore the Atlantic Iberian coast with the WRF model. Energy 2018, 145, 276–287. [Google Scholar] [CrossRef]
- Li, H.; Díaz, H.; Guedes Soares, C. A failure analysis of floating offshore wind turbines using AHP-FMEA methodology. Ocean Eng. 2021, 234, 109261. [Google Scholar] [CrossRef]
- Yeter, B.; Garbatov, Y. Optimal life extension management of offshore wind farms based on the modern portfolio theory. Oceans 2021, 2, 566–582. [Google Scholar] [CrossRef]
- Botín-Sanabria, D.M.; Mihaita, A.S.; Peimbert-García, R.E.; Ramírez-Moreno, M.A.; Ramírez-Mendoza, R.A.; Lozoya-Santos, J.D.J. Digital twin technology challenges and applications: A comprehensive review. Remote Sens. 2022, 14, 1335. [Google Scholar] [CrossRef]
- van der Tempel, J.; Diepeveen, N.F.B.; Salzmann, D.J.C.; de Vries, W.E. Design of support structures for offshore wind turbines. In Wind Power Generation and Wind Turbine Design; Tong, W., Ed.; WIT Press: Southampton, UK, 2010; Volume 44, pp. 559–591. [Google Scholar] [CrossRef]
- Chen, B.Q.; Videiro, P.M.; Guedes Soares, C. Opportunities and challenges to develop digital twins for subsea pipelines. J. Mar. Sci. Eng. 2022, 10, 739. [Google Scholar] [CrossRef]
- Bull, A.S.; Love, M.S. Worldwide oil and gas platform decommissioning: A review of practices and reefing options. Ocean Coast. Manag. 2019, 168, 274–306. [Google Scholar] [CrossRef]
- Parra, F. Oil Politics: A Modern History of Petroleum; I.B. Tauris: London, UK, 2003. [Google Scholar]
- Cullen, L. The public inquiry into the Piper Alpha disaster. Drill. Contract. 1993, 49, 43–190. [Google Scholar]
- Paté-Cornell, M.E. Learning from the Piper Alpha accident: A postmortem analysis of technical and organizational factors. Risk Anal. 1993, 13, 215–232. [Google Scholar] [CrossRef]
- Covello, V.T.; Mumpower, J. Risk analysis and risk management: An historical perspective. Risk Anal. 1985, 5, 103–120. [Google Scholar] [CrossRef]
- Dionne, G. Risk management: History, definition, and critique. Risk Manag. Insur. Rev. 2013, 16, 147–166. [Google Scholar] [CrossRef]
- Batalden, B.M.; Sydnes, A.K. Maritime safety and the ISM code: A study of investigated casualties and incidents. WMU J. Marit. Aff. 2014, 13, 3–25. [Google Scholar] [CrossRef]
- Bhattacharya, S. The effectiveness of the ISM Code: A qualitative enquiry. Mar. Policy 2012, 36, 528–535. [Google Scholar] [CrossRef]
- Moan, T. Reliability-based management of inspection, maintenance and repair of offshore structures. Struct. Infrastruct. Eng. 2005, 1, 33–62. [Google Scholar] [CrossRef]
- Snyder, B.; Kaiser, M.J. Ecological and economic cost-benefit analysis of offshore wind energy. Renew. Energy 2009, 34, 1567–1578. [Google Scholar] [CrossRef]
- Esteban, M.D.; Diez, J.J.; López, J.S.; Negro, V. Why offshore wind energy? Renew. Energy 2011, 36, 444–450. [Google Scholar] [CrossRef]
- Green, R.; Vasilakos, N. The economics of offshore wind. Energy Policy 2011, 39, 496–502. [Google Scholar] [CrossRef]
- Rodrigues, S.; Restrepo, C.; Kontos, E.; Pinto, R.T.; Bauer, P. Trends of offshore wind projects. Renew. Sustain. Energy Rev. 2015, 49, 1114–1135. [Google Scholar] [CrossRef]
- Beyer, J.; Trannum, H.C.; Bakke, T.; Hodson, P.V.; Collier, T.K. Environmental effects of the Deepwater Horizon oil spill: A review. Mar. Pollut. Bull. 2016, 110, 28–51. [Google Scholar] [CrossRef] [PubMed]
- Joye, S.B. Deepwater Horizon, 5 years on. Science 2015, 349, 592–593. [Google Scholar] [CrossRef] [PubMed]
- Wu, X.; Hu, Y.; Li, Y.; Yang, J.; Duan, L.; Wang, T.; Adcock, T.; Jiang, Z.; Gao, Z.; Lin, Z.; et al. Foundations of offshore wind turbines: A review. Renew. Sustain. Energy Rev. 2019, 104, 379–393. [Google Scholar] [CrossRef]
- Robertson, A.N.; Wendt, F.; Jonkman, J.M.; Popko, W.; Dagher, H.; Gueydon, S.; Qvist, J.; Vittori, F.; Azcona, J.; Uzunoglu, E.; et al. OC5 project phase II: Validation of global loads of the DeepCwind floating semisubmersible wind turbine. Energy Procedia 2017, 137, 38–57. [Google Scholar] [CrossRef]
- Tian, Z.; Huang, J.; Xiang, J.; Zhang, S. Suspension and transportation of sediments in submarine canyon induced by internal solitary waves. Phys. Fluids 2024, 36, 022112. [Google Scholar] [CrossRef]
- Wang, L.; Kolios, A.; Liu, X.; Venetsanos, D.; Cai, R. Reliability of offshore wind turbine support structures: A state-of-the-art review. Renew. Sustain. Energy Rev. 2022, 161, 112250. [Google Scholar] [CrossRef]
- American Petroleum Institute. API RP 2A-WSD: Recommended Practice for Planning, Designing and Constructing Fixed Offshore Platforms—Working Stress Design, 22nd ed.; API: Washington, DC, USA, 2014. [Google Scholar]
- Det Norske Veritas. DNV-ST-0126: Support Structures for Wind Turbines; DNV: Oslo, Norway, 2021. [Google Scholar]
- American Bureau of Shipping. Guide for Building and Classing Floating Offshore Wind Turbine Installations; ABS: Houston, TX, USA, 2020. [Google Scholar]
- Guedes Soares, C.; Garbatov, Y. Reliability of maintained, corrosion protected plates subjected to non-linear corrosion and compressive loads. Mar. Struct. 1999, 12, 425–445. [Google Scholar] [CrossRef]
- Teixeira, A.P.; Guedes Soares, C.; Netto, T.A.; Estefen, S.F. Reliability of pipelines with corrosion defects. Int. J. Press. Vessel. Pip. 2008, 85, 228–237. [Google Scholar] [CrossRef]
- Leimeister, M.; Kolios, A. A review of reliability-based methods for risk analysis and their application in the offshore wind industry. Renew. Sustain. Energy Rev. 2018, 91, 1065–1076. [Google Scholar] [CrossRef]
- Zhao, Y.G.; Ono, T. A general procedure for first/second-order reliability method (FORM/SORM). Struct. Saf. 1999, 21, 95–112. [Google Scholar] [CrossRef]
- Billinton, R.; Wang, P. Teaching distribution system reliability evaluation using Monte Carlo simulation. IEEE Trans. Power Syst. 1999, 14, 397–403. [Google Scholar] [CrossRef]
- Naess, A.; Leira, B.J.; Batsevych, O. System reliability analysis by enhanced Monte Carlo simulation. Struct. Saf. 2009, 31, 349–355. [Google Scholar] [CrossRef]
- Jang, D.; Kim, K.; Kim, K.H.; Kang, S. Techno-economic analysis and Monte Carlo simulation for green hydrogen production using offshore wind power plant. Energy Convers. Manag. 2022, 263, 115695. [Google Scholar] [CrossRef]
- Song, C.; Kawai, R. Monte Carlo and variance reduction methods for structural reliability analysis: A comprehensive review. Probab. Eng. Mech. 2023, 73, 103479. [Google Scholar] [CrossRef]
- Det Norske Veritas. Notes No. 30.6: Structural Reliability Analysis of Marine Structures; DNV: Oslo, Norway, 1992. [Google Scholar]
- Stacey, A.; Sharp, J.V. Safety factor requirements for the offshore industry. Eng. Fail. Anal. 2007, 14, 442–458. [Google Scholar] [CrossRef]
- Yoon, G.L.; Kim, S.B.; Kwon, O.S.; Yoo, M.S. Partial safety factor of offshore wind turbine pile foundation in West-South Mainland Sea. KSCE J. Civ. Environ. Eng. Res. 2014, 34, 1489–1504. [Google Scholar]
- Kar, S.S.; Roy, L.B. Probabilistic based reliability slope stability analysis using FOSM, FORM, and MCS. Eng. Technol. Appl. Sci. Res. 2022, 12, 8236–8240. [Google Scholar] [CrossRef]
- Youn, B.D.; Choi, K.K. A new response surface methodology for reliability-based design optimization. Comput. Struct. 2004, 82, 241–256. [Google Scholar] [CrossRef]
- Goswami, S.; Ghosh, S.; Chakraborty, S. Reliability analysis of structures by iterative improved response surface method. Struct. Saf. 2016, 60, 56–66. [Google Scholar] [CrossRef]
- Hurtado, J.E.; Alvarez, D.A. Neural-network-based reliability analysis: A comparative study. Comput. Methods Appl. Mech. Eng. 2001, 191, 113–132. [Google Scholar] [CrossRef]
- Chojaczyk, A.A.; Teixeira, A.P.; Neves, L.C.; Cardoso, J.B.; Guedes Soares, C. Review and application of Artificial Neural Networks models in reliability analysis of steel structures. Struct. Saf. 2015, 52, 78–89. [Google Scholar] [CrossRef]
- Afshari, S.S.; Enayatollahi, F.; Xu, X.; Liang, X. Machine learning-based methods in structural reliability analysis: A review. Reliab. Eng. Syst. Saf. 2022, 219, 108223. [Google Scholar] [CrossRef]
- Cai, B.; Sheng, C.; Gao, C.; Liu, Y.; Shi, M.; Liu, Z.; Feng, Q.; Liu, G. Artificial intelligence enhanced reliability assessment methodology with small samples. IEEE Trans. Neural Netw. Learn. Syst. 2023, 34, 6578–6590. [Google Scholar] [CrossRef] [PubMed]
- Rosen, R.; von Wichert, G.; Lo, G.; Bettenhausen, K.D. About the importance of autonomy and digital twins for the future of manufacturing. IFACPapersOnLine 2015, 48, 567–572. [Google Scholar] [CrossRef]
- Grieves, M. Virtually intelligent product systems: Digital and physical twins. In Complex Systems Engineering: Theory and Practice; Flumerfelt, S., Schwartz, K.G., Mavris, D., Briceno, S., Eds.; American Institute of Aeronautics and Astronautics: Reston, VA, USA, 2019; pp. 175–200. [Google Scholar]
- Mandolla, C.; Petruzzelli, A.M.; Percoco, G.; Urbinati, A. Building a digital twin for additive manufacturing through the exploitation of blockchain: A case analysis of the aircraft industry. Comput. Ind. 2019, 109, 134–152. [Google Scholar] [CrossRef]
- Damjanovic-Behrendt, V. A digital twin-based privacy enhancement mechanism for the automotive industry. In Proceedings of the 2018 International Conference on Intelligent Systems, Funchal, Portugal, 25–27 September 2018; IEEE: New York, NY, USA, 2018; pp. 272–279. [Google Scholar]
- Liu, Y.; Zhang, L.; Yang, Y.; Zhou, L.; Ren, L.; Wang, F.; Liu, R.; Pan, Z.; Deen, M.J. A novel cloud-based framework for the elderly healthcare services using digital twin. IEEE Access 2019, 7, 49088–49101. [Google Scholar] [CrossRef]
- Bilberg, A.; Malik, A.A. Digital twin driven human-robot collaborative assembly. CIRP Ann. 2019, 68, 499–502. [Google Scholar] [CrossRef]
- Ruohomäki, T.; Airaksinen, E.; Huuska, P.; Kesäniemi, O.; Martikka, M.; Suomisto, J. Smart city platform enabling digital twin. In Proceedings of the 2018 International Conference on Intelligent Systems, Funchal, Portugal, 25–27 September 2018; IEEE: New York, NY, USA, 2018; pp. 155–161. [Google Scholar]
- Glaessgen, E.; Stargel, D. The digital twin paradigm for future NASA and US Air Force vehicles. In Proceedings of the 53rd AIAA/ASME/ASCE/AHS/ASC Structures, Structural Dynamics and Materials Conference 20th AIAA/ASME/AHS Adaptive Structures Conference 14th AIAA, Honolulu, HI, USA, 23–26 April 2012. [Google Scholar]
- Tuegel, E. The airframe digital twin: Some challenges to realization. In Proceedings of the 53rd AIAA/ASME/ASCE/AHS/ASC Structures, Structural Dynamics and Materials Conference 20th AIAA/ASME/AHS Adaptive Structures Conference 14th AIAA, Honolulu, HI, USA, 23–26 April 2012. [Google Scholar]
- Maher, D. On software standards and solutions for a trusted Internet of Things. In Proceedings of the 51st Hawaii International Conference on System Sciences, Honolulu, HI, USA, 3–6 January 2018. [Google Scholar]
- Panetta, K. Gartner Top 10 Strategic Technology Trends for 2019. Available online: https://www.gartner.com/smarterwithgartner/gartner-top-10-strategic-technology-trends-for-2019/ (accessed on 17 April 2024).
- Son, Y.H.; Kim, G.Y.; Kim, H.C.; Jun, C.; Noh, S.D. Past, present, and future research of digital twin for smart manufacturing. J. Comput. Des. Eng. 2022, 9, 1–23. [Google Scholar] [CrossRef]
- Liu, M.; Fang, S.; Dong, H.; Xu, C. Review of digital twin about concepts, technologies, and industrial applications. J. Manuf. Syst. 2021, 58, 346–361. [Google Scholar] [CrossRef]
- Wang, J.; Li, X.; Wang, P.; Liu, Q. Bibliometric analysis of digital twin literature: A review of influencing factors and conceptual structure. Technol. Anal. Strateg. Manag. 2024, 36, 166–180. [Google Scholar] [CrossRef]
- Tao, F.; Cheng, J.; Qi, Q.; Zhang, M.; Zhang, H.; Sui, F. Digital twin-driven product design, manufacturing and service with big data. Int. J. Adv. Manuf. Technol. 2018, 94, 3563–3576. [Google Scholar] [CrossRef]
- Chen, B.Q.; Videiro, P.M.; Guedes Soares, C. Review of digital twin of ships and offshore structures. In Developments in Maritime Technology and Engineering; CRC Press: London, UK, 2021; pp. 445–451. [Google Scholar]
- Tao, F.; Zhang, M.; Nee, A.Y.C. Five-dimension digital twin modeling and its key technologies. Digit. Twin Driven Smart Manuf. 2019, 63–81. [Google Scholar] [CrossRef]
- Hu, W.; Zhang, T.; Deng, X.; Liu, Z.; Tan, J. Digital twin: A state-of-the-art review of its enabling technologies, applications and challenges. J. Intell. Manuf. Spec. Equip. 2021, 2, 1–34. [Google Scholar] [CrossRef]
- Sivalingam, K.; Sepulveda, M.; Spring, M.; Davies, P. A review and methodology development for remaining useful life prediction of offshore fixed and floating wind turbine power converter with digital twin technology perspective. In Proceedings of the 2nd International Conference on Green Energy and Applications, Singapore, 24–26 March 2018; pp. 197–204. [Google Scholar]
- DNV GL. 2020/1022: How Digital Tools and Solutions Can Improve Subsea Integrity Management; Report No. 2020-1137, Rev. 0; DNV GL: Oslo, Norway, 2020. [Google Scholar]
- Cameron, D.B.; Falk, K.; Kokkula, S.S. Towards Digital Requirements for Transformation in the Natural Resources Industries. White Paper from the DSYNE Network Workshop (Video Conference), 9th–10th February 2021. Available online: https://www.duo.uio.no/bitstream/handle/10852/89024/1/V2%2B2021-02-22%2BWhite%2BPaper%2BWorkshop%2BSummary.pdf (accessed on 17 April 2024).
- Laviron, I.; Montjean, T.; Cocault-Duverger, V.; Santos Holtman, M.; Sicilia Gaillard, C.; Hoj-Hansen, J.; Mélou, J.; Cooper, D.; Pomie, L. PDEF: A subsea pipeline data interchange format crafted by the industry for the industry. In Proceedings of the Offshore Technology Conference, Houston, TX, USA, 2–5 May 2022. [Google Scholar]
- Knezevic, D.; Fakas, E.; Riber, H.J. Predictive digital twins for structural integrity management and asset life extension—JIP concept and results. In Proceedings of the SPE Offshore Europe Conference and Exhibition, OE 2019, Aberdeen, UK, 3–6 September 2019; pp. 1–6. [Google Scholar]
- Qi, Q.; Tao, F.; Hu, T.; Anwer, N.; Liu, A.; Wei, Y.; Wang, L.; Nee, A.Y.C. Enabling technologies and tools for digital twin. J. Manuf. Syst. 2021, 58, 3–21. [Google Scholar] [CrossRef]
- LeBlanc, B.; Ferreira, C. Experimental characterization of H-VAWT turbine for development of a digital twin. J. Phys. Conf. Ser. 2020, 1452, 012057. [Google Scholar] [CrossRef]
- Rasheed, A.; San, O.; Kvamsdal, T. Digital twin: Values, challenges and enablers from a modeling perspective. IEEE Access 2020, 8, 21980–22012. [Google Scholar] [CrossRef]
- Sharma, P.; Knezevic, D.; Huynh, P.; Malinowski, G. RB-FEA based digital twin for structural integrity assessment of Offshore structures. In Proceedings of the Annual Offshore Technology Conference, Houston, TX, USA, 30 April–3 May 2018; Volume 4, pp. 2942–2947. [Google Scholar]
- Offshore Magazine. Shell Secures Digital Twin Needs. 2020. Available online: https://www.offshore-mag.com/production/article/14189087/shell-secures-digital-twin-needs-with-akselos-framework-agreement (accessed on 22 February 2024).
- Offshore Magazine. Akselos, BEPA form Offshore Wind Partnership. 2021. Available online: https://www.offshore-mag.com/renewable-energy/article/14203832/akselos-bepa-form-offshore-wind-partnership (accessed on 22 February 2024).
- Offshore Magazine. Digital Twin Technology Improves Offshore Wind Jacket Design. 2021. Available online: https://www.offshore-mag.com/renewable-energy/article/14206660/digital-twin-technology-improves-offshore-wind-jacket-design (accessed on 22 February 2024).
- Offshore Magazine. Akselos Gets $16.5 Million in Funding from Investors. 2022. Available online: https://www.offshore-mag.com/renewable-energy/article/14276432/akselos-gets-165-million-in-funding-from-investors (accessed on 22 February 2024).
- Stetco, A.; Dinmohammadi, F.; Zhao, X.; Robu, V.; Flynn, D.; Barnes, M.; Keane, J.; Nenadic, G. Machine learning methods for wind turbine condition monitoring: A review. Renew. Energy 2019, 133, 620–635. [Google Scholar] [CrossRef]
- Kane, M.B. Machine learning control for floating offshore wind turbine individual blade pitch control. In Proceedings of the 2020 American Control Conference (ACC), Denver, CO, USA, 1–3 July 2020; IEEE: New York, NY, USA, 2020; pp. 237–241. [Google Scholar]
- Jiménez, A.A.; Zhang, L.; Muñoz, C.Q.G.; Márquez, F.P.G. Maintenance management based on machine learning and nonlinear features in wind turbines. Renew. Energy 2020, 146, 316–328. [Google Scholar] [CrossRef]
- Xiao, C.; Liu, Z.; Zhang, T.; Zhang, X. Deep learning method for fault detection of wind turbine converter. Appl. Sci. 2021, 11, 1280. [Google Scholar] [CrossRef]
- Wu, Y.K.; Lee, C.Y.; Chen, C.R.; Hsu, K.W.; Tseng, H.T. Optimization of the wind turbine layout and transmission system planning for a large-scale offshore windfarm by AI technology. IEEE Trans. Ind. Appl. 2013, 50, 2071–2080. [Google Scholar] [CrossRef]
- Mitchell, D.; Blanche, J.; Harper, S.; Lim, T.; Gupta, R.; Zaki, O.; Tang, W.; Robu, V.; Watson, S.; Flynn, D. A review: Challenges and opportunities for artificial intelligence and robotics in the offshore wind sector. Energy AI 2022, 8, 100146. [Google Scholar] [CrossRef]
- Garcia Marquez, F.P.; Peinado Gonzalo, A. A comprehensive review of artificial intelligence and wind energy. Arch. Comput. Methods Eng. 2022, 29, 2935–2958. [Google Scholar] [CrossRef]
- Ciuriuc, A.; Rapha, J.I.; Guanche, R.; Domínguez-García, J.L. Digital tools for floating offshore wind turbines (FOWT): A state of the art. Energy Rep. 2022, 8, 1207–1228. [Google Scholar] [CrossRef]
- GE Renewable Energy. Digital Wind Farm: The Next Evolution of Wind Energy. 2016. Available online: https://docplayer.net/20878994-Ge-renewable-energy-digital-wind-farm-the-next-evolution-of-wind-energy-www-ge-com-wind.html (accessed on 22 February 2024).
- Det Norske Veritas. Windgemini Digital Twin for Wind Turbine Operations. 2019. Available online: https://www.dnv.com/power-renewables/services/data-analytics/windgemini/windgemini-service.html (accessed on 22 February 2024).
- Gambhava, D.; Gräfe, M. D6.5 Use-Case Demonstration into O&M Platform. 2021. Available online: https://www.romeoproject.eu/wp-content/uploads/2020/11/ROMEO_D6.5_Use-case-demonstration-into-OM-Platform.pdf (accessed on 22 February 2024).
- Det Norske Veritas. RaPiD—Models. 2020. Available online: https://rapid-models.dnv.com/ (accessed on 22 February 2024).
- Walker, J.; Coraddu, A.; Collu, M.; Oneto, L. Digital twins of the mooring line tension for floating offshore wind turbines to improve monitoring, lifespan, and safety. J. Ocean Eng. Mar. Energy 2022, 8, 1–16. [Google Scholar] [CrossRef]
- Augustyn, D.; Ulriksen, M.D.; Sørensen, J.D. Reliability updating of offshore wind substructures by use of digital twin information. Energies 2021, 14, 5859. [Google Scholar] [CrossRef]
- Augustyn, D.; Smolka, U.; Tygesen, U.T.; Ulriksen, M.D.; Sørensen, J.D. Data-driven model updating of an offshore wind jacket substructure. Appl. Ocean Res. 2020, 104, 102366. [Google Scholar] [CrossRef]
- Augustyn, D.; Pedersen, R.R.; Tygesen, U.T.; Ulriksen, M.D.; Sørensen, J.D. Feasibility of modal expansion for virtual sensing in offshore wind jacket substructures. Mar. Struct. 2021, 79, 103019. [Google Scholar] [CrossRef]
- Xia, J.; Zou, G. Operation and maintenance optimization of offshore wind farms based on digital twin: A review. Ocean Eng. 2023, 268, 113322. [Google Scholar] [CrossRef]
- Jorgensen, J.; Hodkiewicz, M.; Cripps, E.; Hassan, G.M. Requirements for the application of the Digital Twin Paradigm to offshore wind turbine structures for uncertain fatigue analysis. Comput. Ind. 2023, 145, 103806. [Google Scholar] [CrossRef]
- Li, S.; Brennan, F. Digital twin enabled structural integrity management: Critical review and framework development. Proc. Inst. Mech. Eng. Part M J. Eng. Marit. Environ. 2024; online first. [Google Scholar] [CrossRef]
- Haghshenas, A.; Hasan, A.; Osen, O.; Mikalsen, E.T. Predictive digital twin for offshore wind farms. Energy Inform. 2023, 6, 1. [Google Scholar] [CrossRef]
- Ambarita, E.E.; Karlsen, A.; Scibilia, F.; Hasan, A. Industrial digital twins in offshore wind farms. Energy Inform. 2024, 7, 5. [Google Scholar] [CrossRef]
- Li, S.; Brennan, F. Implementation of digital twin-enabled virtually monitored data in inspection planning. Appl. Ocean Res. 2024, 144, 103903. [Google Scholar] [CrossRef]
- Nezhad, M.M.; Neshat, M.; Sylaios, G.; Garcia, D.A. Marine energy digitalization digital twin’s approaches. Renew. Sustain. Energy Rev. 2024, 191, 114065. [Google Scholar] [CrossRef]
- Wanasinghe, T.R.; Wroblewski, L.; Petersen, B.K.; Gosine, R.G.; James, L.A.; de Silva, O.; Mann, G.K.I.; Warrian, P.J. Digital twin for the oil and gas industry: Overview, research trends, opportunities, and challenges. IEEE Access 2020, 8, 104175–104197. [Google Scholar] [CrossRef]
- Atalay, M.; Murat, U.; Oksuz, B.; Parlaktuna, A.M.; Pisirir, E.; Testik, M.C. Digital twins in manufacturing: Systematic literature review for physical-digital layer categorization and future research directions. Int. J. Comput. Integr. Manuf. 2022, 35, 679–705. [Google Scholar] [CrossRef]
- Bâra, A.; Oprea, S.V. Enabling coordination in energy communities: A digital twin model. Energy Policy 2024, 184, 113910. [Google Scholar] [CrossRef]
- Li, R.; Chen, B.Q.; Guedes Soares, C. Effect of ovality length on collapse strength of imperfect sandwich pipes due to local buckling. J. Mar. Sci. Eng. 2021, 10, 12. [Google Scholar] [CrossRef]
- Chen, B.Q.; Guedes Soares, C. A simplified model for the effect of weld-induced residual stresses on the axial ultimate strength of stiffened plates. J. Mar. Sci. Appl. 2018, 17, 57–67. [Google Scholar] [CrossRef]
- Wang, S.; Guedes Soares, C. Effects of compressibility, three-dimensionality and air cavity on a free-falling wedge cylinder. Ocean Eng. 2020, 217, 107589. [Google Scholar] [CrossRef]
- Wang, S.; Xiang, G.; Guedes Soares, C. Assessment of three-dimensional effects on slamming load predictions using OpenFoam. Appl. Ocean Res. 2021, 112, 102646. [Google Scholar] [CrossRef]
Disclaimer/Publisher’s Note: The statements, opinions and data contained in all publications are solely those of the individual author(s) and contributor(s) and not of MDPI and/or the editor(s). MDPI and/or the editor(s) disclaim responsibility for any injury to people or property resulting from any ideas, methods, instructions or products referred to in the content. |
© 2024 by the authors. Licensee MDPI, Basel, Switzerland. This article is an open access article distributed under the terms and conditions of the Creative Commons Attribution (CC BY) license (https://creativecommons.org/licenses/by/4.0/).









