Collaborative Optimization Scheduling of Multi-Microgrids Incorporating Hydrogen-Doped Natural Gas and P2G–CCS Coupling under Carbon Trading and Carbon Emission Constraints
Abstract
1. Introduction
2. Multi-Microgrids Model
3. Modeling of Hydrogen-Doped Natural Gas and P2G–CCS Coupling
3.1. Modeling of P2G–CCS Coupling
- (1)
- Carbon Capture System model
- (2)
- Two-stage Power-to-Gas model
3.2. Modeling of Hydrogen Blending in Combined Heat and Power Units and Gas Boilers
- (1)
- Hydrogen blending in combined heat and power units
- (2)
- Hydrogen blending in gas boilers
4. Staircase Carbon Trading Mechanism and Carbon Emission Constraints
4.1. Carbon Trading Costs
4.2. Carbon Emission Constraints
5. The Optimization Strategy for Multi-Microgrids
5.1. Day-Ahead Optimization Scheduling
5.1.1. The Objective Function
- (1)
- The cost of reducing renewable energy output
- (2)
- Carbon emission cost
- (3)
- Energy storage cost
- (4)
- Cost of the load demand
- (5)
- External interaction costs
5.1.2. Constraints
- (1)
- Electrical power balance constraint
- (2)
- Heat power balance constraint
- (3)
- Gas power balance constraint
- (4)
- Hydrogen power balance constraint
- (5)
- Renewable energy supply constraint
- (6)
- Hydrogen energy storage system constraint
- (7)
- Electrical energy storage system constraint
- (8)
- Heat energy storage constraint
- (9)
- Heat pump constraint
- (10)
- The constraints between the microgrid and power grid
- (11)
- Electrical and heat load constraints
- (12)
- Constraint of energy transfer between microgrids
5.1.3. Model Linearization and Solution
5.1.4. Model Solution
- (1)
- Introduce auxiliary variables, , to construct auxiliary expressions, as follows:
- (2)
- Formulate the augmented Lagrangian function expression for the day-ahead issue, as follows:
- (3)
- Initialize the iteration number k = 1 and iterate through the following steps:
- (4)
- Update the Lagrange multiplier parameters after each iteration, as follows:
- (5)
- Determine the convergence of the algorithm, as follows:
5.2. Intraday Optimization Scheduling
6. Experimental Verification
6.1. Parameter Settings
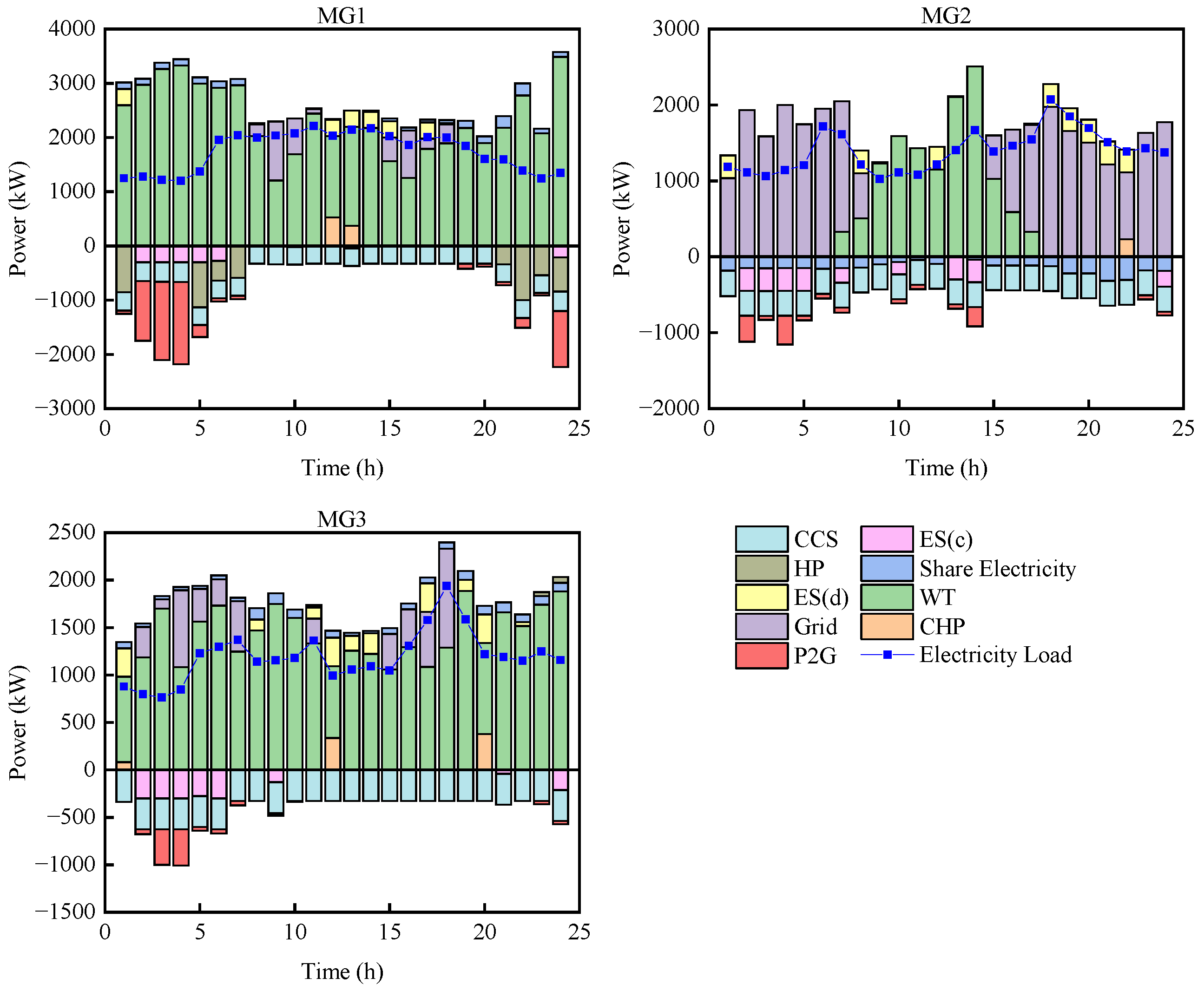
6.2. Analysis of Day-Ahead Results
6.3. Analysis of Carbon Trading Mechanism
6.4. Analysis of Low-Carbon Technologies
6.5. Synergistic Optimization Results of Intraday Low-Carbon Technologies and Low-Carbon Policies
7. Conclusions
- The introduced carbon trading mechanism is validated. Compared to fixed carbon trading, carbon emissions decrease by 7.51% and total costs decrease by 8.57%. Compared to no carbon trading mechanism, carbon emissions decrease by 18.41% and total costs decrease by 10.32%. Regarding the establishment of P2G–CCS coupling and hydrogen-doped natural gas units, carbon emissions decrease by 17.23% and total costs decrease by 9.17%, compared to scenarios without low-carbon equipment, effectively reducing carbon emissions and operating costs.
- The introduced P2G–CCS coupling operation and hydrogen-doped natural gas unit models are validated. Compared to conventional models, the costs of the microgrid decrease by 1176.09 (CNY), 4337.84 (CNY), and −251.4 (CNY), respectively, with carbon emissions also decreasing by 3201.24 kg, 2767.25 kg, and 1802.57 kg, respectively, reducing the costs and carbon emissions of multi-microgrids.
- This article proposes an optimization strategy, incorporating carbon emission constraints on the above basis. Through day-ahead and intraday scheduling, the experimental results show that, compared to the day-ahead stage, the total operating costs of intraday stage scheduling under this strategy decrease by 5.32%, and carbon emissions decrease by 17.61%, verifying the effectiveness of the strategy. Compared to scenarios that do not consider carbon emission constraints, the total operating costs of intraday stage scheduling under this strategy decrease by 2.46% and carbon emissions decrease by 5.00%. Therefore, the synergistic effect of low-carbon policies and low-carbon technologies on multi-microgrid optimization scheduling can further tap into the emission reduction potential of microgrids, reducing the costs and carbon emissions of multi-microgrid systems, and providing a pathway for the low-carbon transformation of the power system.
Author Contributions
Funding
Data Availability Statement
Conflicts of Interest
Nomenclature
| Indices | |
| t | index of time slots. |
| i | index of multi-microgrids. |
| T | set of time slots. |
| set of microgrids. | |
| intraday optimization scheduling horizon. | |
| index of intraday time slots. | |
| k | index of iterations of ADMM. |
| Parameters | |
| maximum operating power of the CCS in microgrid i. | |
| minimum/maximum total power of the CCS in microgrid i. | |
| efficiency of the carbon capture equipment in microgrid i. | |
| maximum carbon emissions to the atmosphere by the units in microgrid i. | |
| flue gas partition coefficients for CCS unit. | |
| / | minimum/maximum volume of carbon dioxide provided by the liquid storage unit in microgrid i. |
| molar mass of monoethanolamine. | |
| conversion coefficient of the liquid storage unit in microgrid i. | |
| concentration of monoethanolamine solution. | |
| density of the monoethanolamine solution. | |
| molar mass of carbon dioxide. | |
| conversion efficiencies of P2H processes in microgrid i. | |
| conversion efficiencies of methanation processes in microgrid i. | |
| minimum/maximum electric power for electrolysis in the P2H process in microgrid i. | |
| minimum/maximum climbing power in the P2H process in microgrid i. | |
| maximum amount of carbon sequestration in microgrid i. | |
| maximum electrical/heat power output of the hydrogen-blended CHP in microgrid i. | |
| minimum/maximum ramp rate of the hydrogen-blended CHP in microgrid i. | |
| heating value of CH4/H2. | |
| maximum heat power output of the GB in microgrid i. | |
| minimum/maximum ramp rate of the GB in microgrid i. | |
| the density of H2/CH4. | |
| the molar mass of H2/CH4. | |
| carbon quota coefficient for CHP/GB/renewable energy. | |
| carbon emission coefficient for CHP/GB. | |
| carbon emission constant. | |
| carbon emission conversion coefficient for purchased electricity. | |
| base carbon emission price. | |
| L/ | carbon emission interval/carbon emission price growth rate. |
| carbon emission constraint coefficient. | |
| maximum carbon emissions in the day-ahead stage in microgrid i, without considering carbon emission constraints. | |
| reduction in the cost of renewable energy. | |
| natural gas unit price in period t. | |
| electricity purchase price/electricity selling price from the grid in period t. | |
| the electrical-to-heat conversion efficiency of the HP in the microgrid. | |
| minimum/maximum electric power consumption of the HP in the microgrid i. | |
| maximum power purchase/sold from the main grid in microgrid i. | |
| transfer load coefficient/reducible load coefficient. | |
| maximum power transfer between microgrid i and j. | |
| penalty cost coefficient. | |
| density of carbon dioxide. | |
| charging/discharging efficiency of the HSS in the microgrid i. | |
| minimum/maximum storage capacity of the HSS in the microgrid i. | |
| minimum/maximum storage capacity of the ES in microgrid i. | |
| maximum charging/discharging power of the ES in microgrid i. | |
| maximum charging/discharging power of the HS in microgrid i. | |
| charging/discharging efficiency of the HS in microgrid i. | |
| primal/dual residuals. | |
| Lagrange multiplier. | |
| day-ahead/intraday variables. | |
| Variables | |
| operating power of the CCS unit in microgrid i at time t. | |
| fixed power of the CCS unit in microgrid i at time t. | |
| total power of the CCS unit in microgrid i at time t. | |
| amount of carbon dioxide absorbed by the CCS unit in microgrid i at time t. | |
| total carbon emissions from the units in microgrid i at time t. | |
| amount of carbon dioxide emitted into the atmosphere by the units in microgrid i at time t. | |
| amount of carbon dioxide provided by the liquid storage unit in microgrid i at time t. | |
| amount of carbon dioxide utilized for methanation from the CCS in microgrid i at time t. | |
| amount of carbon dioxide storage from the CCS in microgrid i at time t. | |
| volume of carbon dioxide provided by the liquid storage unit installed in microgrid i at time t. | |
| liquid storage unit capacity in microgrid i. | |
| reserves of the liquid storage units for storing rich/lean liquid in microgrid i. | |
| initial reserves of the liquid storage units for storing rich liquid/lean liquid in microgrid i. | |
| final reserves of the liquid storage units storing rich liquid/lean liquid in microgrid i. | |
| electric power consumed by electrolysis in microgrid i at time t. | |
| hydrogen production power consumed by electrolysis in microgrid i at time t. | |
| methane production power of the methanation equipment in microgrid i at time t. | |
| hydrogen consumption power of the methanation equipment in microgrid i at time t. | |
| amount of carbon dioxide consumed by P2G in microgrid i at time t. | |
| power generated by the CHP unit for electricity/heat in microgrid i at time t. | |
| power consumption of natural gas/hydrogen by the CHP unit in microgrid i at time t. | |
| volume of natural gas/hydrogen consumed by the CHP unit in microgrid i at time t. | |
| hydrogen blending ratio in microgrid i at time t. | |
| power generated by the GB unit for heat in microgrid i at time t. | |
| power consumption of natural gas/hydrogen by the GB unit in microgrid i at time t. | |
| volume of natural gas/hydrogen consumed by the GB in microgrid i at time t. | |
| hydrogen blending ratio (by molar mass) in microgrid i at time t. | |
| amount of carbon dioxide involved in carbon trading in microgrid i at time t. | |
| carbon emission quota in microgrid i at time t. | |
| carbon emissions of the microgrids in microgrid i at time t. | |
| carbon trading cost in microgrid i at time t. | |
| total carbon emissions of microgrid i. | |
| operating cost of microgrid i. | |
| reduction in the cost of renewable energy generation in microgrid i. | |
| carbon emission cost of microgrid i. | |
| energy storage cost of microgrid i. | |
| load demand of cost microgrid i. | |
| external interaction costs of microgrid i. | |
| reduction power of renewable energy in microgrid i at time t. | |
| natural gas purchase quantity in microgrid i at time t. | |
| natural gas purchase quantity of microgrid i in period t. | |
| purchased/sold power from the grid in microgrid i at time t. | |
| output power of renewable energy. | |
| amount of electrical energy exchanged between microgrid i and j/microgrid j and i in time period t. | |
| electrical load of microgrid i in the t-th time period. | |
| charging/discharging power of the electrical energy storage system in microgrid i in the t-th time period. | |
| electric power consumed by the heat pump in the i-th time period of the microgrid i. | |
| heat load of microgrid i at time t. | |
| heat power generated by the heat pump in microgrid i at time t. | |
| charging/discharging power of the heat energy storage system in microgrid i at time t. | |
| power of gas purchased externally in microgrid i at time t. | |
| actual renewable energy generation power. | |
| predicted renewable energy generation power. | |
| variance of renewable energy generation. | |
| energy storage capacity of the HSS in the i-th microgrid in the t-th time period. | |
| binary variables in HSS. | |
| energy storage capacity in the ES of microgrid i in the t-th time period. | |
| charging/discharging efficiency of the ES in microgrid i. | |
| binary variables in ES. | |
| energy storage capacity in the HS of microgrid i in the t-th time period. | |
| fixed/transferable/reducible electrical load in microgrid i at time t. | |
| fixed/transferable/reducible heat load in microgrid i at time t. | |
| deviation between the actual and predicted electrical load values of microgrid i at time t. | |
| deviation between the actual and predicted heat load values of microgrid i at time t. | |
| penalty parameter at the k-th iteration. | |
| Acronyms | |
| ADMM | alternating direction method of multipliers. |
| CHP | combined heat and power. |
| GB | gas boiler. |
| HP | heat pump. |
| ES/HS | electric/heat energy storage. |
| HSS | hydrogen energy storage. |
| MMG | multi-microgrids. |
| P2G | power-to-gas. |
| CCS | carbon capture system. |
| P2H | power-to-hydrogen. |
References
- Zhang, J.; Liu, Z. Low Carbon Economic Scheduling Model for a Park Integrated Energy System Considering Integrated Demand Response, Ladder-Type Carbon Trading and Fine Utilization of Hydrogen. Energy 2024, 290, 130311. [Google Scholar] [CrossRef]
- Wang, R.; Wen, X.; Wang, X.; Fu, Y.; Zhang, Y. Low Carbon Optimal Operation of Integrated Energy System Based on Carbon Capture Technology, LCA Carbon Emissions and Ladder-Type Carbon Trading. Appl. Energy 2022, 311, 118664. [Google Scholar] [CrossRef]
- Gao, L.; Fei, F.; Jia, Y.; Wen, P.; Zhao, X.; Shao, H.; Feng, T.; Huo, L. Optimal Dispatching of Integrated Agricultural Energy System Considering Ladder-Type Carbon Trading Mechanism and Demand Response. Int. J. Electr. Power Energy Syst. 2024, 156, 109693. [Google Scholar] [CrossRef]
- Wang, L.; Shi, Z.; Dai, W.; Zhu, L.; Wang, X.; Cong, H.; Shi, T.; Liu, Q. Two-Stage Stochastic Planning for Integrated Energy Systems Accounting for Carbon Trading Price Uncertainty. Int. J. Electr. Power Energy Syst. 2022, 143, 108452. [Google Scholar] [CrossRef]
- Liu, R.; Bao, Z.; Yu, Z.; Zhang, C. Distributed Interactive Optimization of Integrated Electricity-Heat Energy Systems Considering Hierarchical Energy-Carbon Pricing in Carbon Markets. Int. J. Electr. Power Energy Syst. 2024, 155, 109628. [Google Scholar] [CrossRef]
- Shi, Z.; Yang, Y.; Xu, Q.; Wu, C.; Hua, K. A Low-Carbon Economic Dispatch for Integrated Energy Systems with CCUS Considering Multi-Time-Scale Allocation of Carbon Allowance. Appl. Energy 2023, 351, 121841. [Google Scholar] [CrossRef]
- Lei, D.; Zhang, Z.; Wang, Z.; Zhang, L.; Liao, W. Long-Term, Multi-Stage Low-Carbon Planning Model of Electricity-Gas-Heat Integrated Energy System Considering Ladder-Type Carbon Trading Mechanism and CCS. Energy 2023, 280, 128113. [Google Scholar] [CrossRef]
- Dong, W.; Lu, Z.; He, L.; Geng, L.; Guo, X.; Zhang, J. Low-Carbon Optimal Planning of an Integrated Energy Station Considering Combined Power-to-Gas and Gas-Fired Units Equipped with Carbon Capture Systems. Int. J. Electr. Power Energy Syst. 2022, 138, 107966. [Google Scholar] [CrossRef]
- Wang, S.; Wang, S.; Zhao, Q.; Dong, S.; Li, H. Optimal Dispatch of Integrated Energy Station Considering Carbon Capture and Hydrogen Demand. Energy 2023, 269, 126981. [Google Scholar] [CrossRef]
- Gao, J.; Meng, Q.; Liu, J.; Wang, Z. Thermoelectric Optimization of Integrated Energy System Considering Wind-Photovoltaic Uncertainty, Two-Stage Power-to-Gas and Ladder-Type Carbon Trading. Renew. Energy 2024, 221, 119806. [Google Scholar] [CrossRef]
- Bao, H.; Sun, Y.; Zheng, S. A Collaborative Training Approach for Multi Energy Systems in Low-Carbon Parks Accounting for Response Characteristics. IET Renew. Power Gener. 2024, 18, 456–475. [Google Scholar] [CrossRef]
- Chen, J.; Tang, Z.; Huang, Y.; Qiao, A.; Liu, J. Asymmetric Nash Bargaining-Based Cooperative Energy Trading of Multi-Park Integrated Energy System under Carbon Trading Mechanism. Electr. Power Syst. Res. 2024, 228, 110033. [Google Scholar]
- Wang, R.; Cheng, S.; Zuo, X.; Liu, Y. Optimal Management of Multi Stakeholder Integrated Energy System Considering Dual Incentive Demand Response and Carbon Trading Mechanism. Int. J. Energy Res. 2022, 46, 6246–6263. [Google Scholar] [CrossRef]
- Zhang, M.; Yang, J.; Yu, P.; Tinajero, G.D.A.; Guan, Y.; Yan, Q.; Zhang, X.; Guo, H. Dual-Stackelberg Game-Based Trading in Community Integrated Energy System Considering Uncertain Demand Response and Carbon Trading. Sustain. Cities Soc. 2024, 101, 105088. [Google Scholar]
- Li, Y.; Zhang, X.; Wang, Y.; Qiao, X.; Jiao, S.; Cao, Y.; Xu, Y.; Shahidehpour, M.; Shan, Z. Carbon-Oriented Optimal Operation Strategy Based on Stackelberg Game for Multiple Integrated Energy Microgrids. Electr. Power Syst. Res. 2023, 224, 109778. [Google Scholar] [CrossRef]
- Lyu, Z.; Lai, Y.; Yi, J.; Liu, Q. Low Carbon and Economic Dispatch of the Multi-microgrids Integrated Energy System Using CCS-P2G Integrated Flexible Operation Method. Energy Sources Part Recovery Util. Environ. Eff. 2023, 45, 3617–3638. [Google Scholar] [CrossRef]
- Liu, Y.; Li, X.; Liu, Y. A Low-Carbon and Economic Dispatch Strategy for a Multi-microgrids Based on a Meteorological Classification to Handle the Uncertainty of Wind Power. Sensors 2023, 23, 5350. [Google Scholar] [CrossRef]
- Chen, P.; Qian, C.; Lan, L.; Guo, M.; Wu, Q.; Ren, H.; Zhang, Y. Shared Trading Strategy of Multiple Microgrids Considering Joint Carbon and Green Certificate Mechanism. Sustainability 2023, 15, 10287. [Google Scholar] [CrossRef]
- Wang, H.; Wang, C.; Zhao, L.; Ji, X.; Yang, C.; Wang, J. Multi-Micro-Grid Main Body Electric Heating Double-Layer Sharing Strategy Based on Nash Game. Electronics 2023, 12, 214. [Google Scholar] [CrossRef]
- Zhong, X.; Liu, Y.; Xie, K.; Xie, S. A Local Electricity and Carbon Trading Method for Multi-Energy Microgrids Considering Cross-Chain Interaction. Sensors 2022, 22, 6935. [Google Scholar] [CrossRef]
- Zhang, Z.; Du, J.; Fedorovich, K.S.; Li, M.; Guo, J.; Xu, Z. Optimization Strategy for Power Sharing and Low-Carbon Operation of Multi-microgrids IES Based on Asymmetric Nash Bargaining. Energy Strategy Rev. 2022, 44, 100981. [Google Scholar] [CrossRef]
- Zhang, K.; Gao, C.; Zhang, G.; Xie, T.; Li, H. Electricity and Heat Sharing Strategy of Regional Comprehensive Energy Multi-microgrids Based on Double-Layer Game. Energy 2024, 293, 130655. [Google Scholar] [CrossRef]
- Duan, P.; Zhao, B.; Zhang, X.; Fen, M. A Day-Ahead Optimal Operation Strategy for Integrated Energy Systems in Multi-Public Buildings Based on Cooperative Game. Energy 2023, 275, 127395. [Google Scholar] [CrossRef]
- Xu, J.; Yi, Y. Multi-microgrids Low-Carbon Economy Operation Strategy Considering Both Source and Load Uncertainty: A Nash Bargaining Approach. Energy 2023, 263, 125712. [Google Scholar] [CrossRef]
- Lyu, Z.; Liu, Q.; Liu, B.; Zheng, L.; Yi, J.; Lai, Y. Optimal Dispatch of Regional Integrated Energy System Group Including Power to Gas Based on Energy Hub. Energies 2022, 15, 9401. [Google Scholar] [CrossRef]
- Hu, Q.; Zhou, Y.; Ding, H.; Qin, P.; Long, Y. Optimal Scheduling of Multi-microgrids with Power to Hydrogen Considering Federated Demand Response. Front. Energy Res. 2022, 10, 1002045. [Google Scholar] [CrossRef]
- Cui, Y.; Deng, G.; Zeng, P.; Zhong, W.; Zhao, Y.; Liu, X. Multi-Time Scale Source-Load Dispatch Method of Power System with Wind Power Considering Low-Carbon Characteristics of Carbon Capture Power Plant. Proc. CSEE 2022, 42, 5869–5886. [Google Scholar]
- Chen, D.; Liu, F.; Liu, S. Optimization of Virtual Power Plant Scheduling Coupling with P2G-CCS and Doped with Gas Hydrogen Based on Stepped Carbon Trading. Power Syst. Technol. 2022, 46, 2042–2054. [Google Scholar]
- Wang, K.; Liang, Y.; Jia, R.; Wu, X.; Wang, X.; Dang, P. Two-Stage Stochastic Optimal Scheduling for Multi-microgrids Networks with Natural Gas Blending with Hydrogen and Low Carbon Incentive under Uncertain Envinronments. J. Energy Storage 2023, 72, 108319. [Google Scholar] [CrossRef]
- Guo, R.; Ye, H.; Zhao, Y. Low Carbon Dispatch of Electricity-Gas-Thermal-Storage Integrated Energy System Based on Stepped Carbon Trading. Energy Rep. 2022, 8, 449–455. [Google Scholar] [CrossRef]
- Wang, Y.; Wang, X.; Shao, C.; Gong, N. Distributed Energy Trading for an Integrated Energy System and Electric Vehicle Charging Stations: A Nash Bargaining Game Approach. Renew. Energy 2020, 155, 513–530. [Google Scholar] [CrossRef]
- Du, J.; Han, X.; Wang, J. Distributed Cooperation Optimization of Multi-microgrids under Grid Tariff Uncertainty: A Nash Bargaining Game Approach with Cheating Behaviors. Int. J. Electr. Power Energy Syst. 2024, 155, 109644. [Google Scholar] [CrossRef]












| Category | Time Period | Price ((CNY)/kWh) |
|---|---|---|
| Electricity price | 23:00–7:00 | 0.40 |
| 08:00–11:00, 15:00–18:00 | 0.75 | |
| 12:00–14:00, 19:00–22.00 | 1.20 | |
| Electricity sale | 0:00–24:00 | 0.20 |
| Parameter | Value | Parameter | Value | Parameter | Value |
|---|---|---|---|---|---|
| (kW) | 0 | (kW) | 0 | 0.3 | |
| (kW) | 2000 | (kW) | 300 | 9.7 | |
| (kW) | 0 | (kW) | 300 | 3.55 | |
| (kW) | 2000 | (kW) | 0 | 0.01 | |
| (kW) | 1700 | (kWh) | 200 | 0.01 | |
| (kW) | 300 | (kWh) | 1200 | 0.01 | |
| (kW) | 0 | (kWh) | 200 | 0.5 | |
| (kW) | 2000 | (kWh) | 1200 | 0.65 | |
| (kW) | 2000 | 0.95 | 18.20 | ||
| (kW) | −1000 | 0.95 | 0.2 | ||
| (kW) | 1000 | (kW) | 300 | 0.9 | |
| (kW) | −1000 | (kW) | 300 | 0.1 | |
| (kW) | 1000 | (kW) | 0 | 0.35 | |
| (kW) | 0 | (kW) | 1500 | 0.9 | |
| (kW) | 1000 | (kW) | −300 | 0.2 | |
| (kW) | 0 | (kW) | 300 | 0.9 | |
| (kW) | 300 | (kWh) | 1800 | 2000 | |
| (kW) | 0 | (m3) | 100,000 | 0.85 | |
| (kW) | 300 | (g/mol) | 61.08 | 0.70 | |
| (g/mol) | 44 | 0.016 | 0.03 | ||
| 0.3 | 0.016 | 0.1 | |||
| 0.3 | 0.016 | 0.1 | |||
| 3.3 | (%) | 30 | (g/mL) | 1.01 |
| Scenario | Carbon Emissions (kg) | Energy Cost (CNY) | Total Cost (CNY) |
|---|---|---|---|
| 1 | 45,755.23 | 47,495.76 | 58,104.66 |
| 2 | 40,357.65 | 41,342.16 | 57,004.18 |
| 3 | 37,330.62 | 38,377.12 | 52,116.13 |
| Scenarios | Hydrogen-Doped Natural Gas Units | P2G–CCS Coupling Devices |
|---|---|---|
| 1 | NO | NO |
| 2 | YES | NO |
| 3 | NO | YES |
| 4 | YES | YES |
| Scenarios | MG | Cost (CNY) | Carbon Emission (kg) |
|---|---|---|---|
| 1 | 1 | 16,746.75 | 17,317.44 |
| 2 | 31,284.36 | 18,584.86 | |
| 3 | 9347.55 | 9199.38 | |
| 2 | 1 | 18,088.01 | 16,272.90 |
| 2 | 26,561.42 | 17,488.37 | |
| 3 | 10,169.73 | 9329.31 | |
| 3 | 1 | 16,109.25 | 14,384.31 |
| 2 | 27,186.89 | 15,974.36 | |
| 3 | 9630.12 | 7413.25 | |
| 4 | 1 | 15,570.66 | 14,116.20 |
| 2 | 26,946.52 | 15,817.61 | |
| 3 | 9598.95 | 7396.81 |
| Scenarios | MG | Grid (kWh) | Gas Energy (m3) | Electricity of CHP Unit (kWh) | Heat of CHP Unit (kWh) | Heat of GB (kWh) | Power of CCS (kWh) | Power of P2G Unit (kWh) |
|---|---|---|---|---|---|---|---|---|
| 1 | 1 | 3072.02 | 2818.85 | 945.49 | 1181.87 | 23,642.32 | 0 | 0 |
| 2 | 26,510.23 | 2218.38 | 1339.41 | 1674.26 | 16,912.08 | 0 | 0 | |
| 3 | 2203.27 | 1453.68 | 1131.93 | 1414.92 | 10,536.27 | 0 | 0 | |
| 2 | 1 | 3716.26 | 2465.27 | 907.92 | 1134.90 | 22,534.67 | 0 | 0 |
| 2 | 20,841.08 | 2091.13 | 1425.01 | 1781.26 | 16,792.99 | 0 | 0 | |
| 3 | 2359.30 | 1379.50 | 1252.43 | 1565.54 | 10,616.53 | 0 | 0 | |
| 3 | 1 | 3308.81 | 2251.50 | 942.35 | 1177.94 | 23,421.58 | 8011.19 | 5912.95 |
| 2 | 23,139.46 | 2245.10 | 1524.98 | 1906.23 | 16,436.41 | 7829.59 | 121.04 | |
| 3 | 2865.38 | 1469.66 | 1341.41 | 1676.76 | 10,392.36 | 7811.19 | 169.80 | |
| 4 | 1 | 3328.50 | 2195.46 | 1066.61 | 1318.27 | 22,892.97 | 7954.69 | 6412.61 |
| 2 | 24,793.59 | 2103.59 | 1719.49 | 2149.36 | 16,427.22 | 7801.07 | 1654.26 | |
| 3 | 3679.05 | 1378.86 | 1417.49 | 1771.86 | 10,197.53 | 7803.01 | 1131.21 |
| Scenario | MG | Cost (CNY) | Carbon Emissions (kg) |
|---|---|---|---|
| 1 | 1 | 15,570.66 | 14,116.20 |
| 2 | 26,946.52 | 15,817.61 | |
| 3 | 9598.95 | 7396.81 | |
| 2 | 1 | 13,942.42 | 13,410.39 |
| 2 | 27,385.01 | 15,026.72 | |
| 3 | 9503.18 | 7026.96 |
| Scenario | MG | Grid (kWh) | Gas Energy (m3) | Electricity of CHP Unit (kWh) | Heat of CHP Unit (kWh) | Heat of GB (kWh) | Power of CCS (kWh) | Power of P2G Unit (kWh) | Power of HP (kW) |
|---|---|---|---|---|---|---|---|---|---|
| 1 | 1 | 3328.50 | 2195.46 | 1066.61 | 1318.27 | 22,892.97 | 7954.69 | 6412.61 | 0 |
| 2 | 24,793.59 | 2103.59 | 1719.49 | 2149.36 | 16,427.22 | 7801.07 | 1654.26 | 0 | |
| 3 | 3679.05 | 1378.86 | 1417.49 | 1771.86 | 10,197.53 | 7803.01 | 1131.21 | 0 | |
| 2 | 1 | 3891.60 | 2207.89 | 899.00 | 1123.75 | 21,570.35 | 7981.64 | 5939.68 | 5150.82 |
| 2 | 26,281.50 | 1935.89 | 231.59 | 289.49 | 18,181.55 | 7855.92 | 1498.15 | 0 | |
| 3 | 5042.38 | 1312.23 | 797.20 | 996.50 | 10,939.39 | 7855.65 | 1038.58 | 99.56 |
Disclaimer/Publisher’s Note: The statements, opinions and data contained in all publications are solely those of the individual author(s) and contributor(s) and not of MDPI and/or the editor(s). MDPI and/or the editor(s) disclaim responsibility for any injury to people or property resulting from any ideas, methods, instructions or products referred to in the content. |
© 2024 by the authors. Licensee MDPI, Basel, Switzerland. This article is an open access article distributed under the terms and conditions of the Creative Commons Attribution (CC BY) license (https://creativecommons.org/licenses/by/4.0/).
Share and Cite
Zhao, Y.; Chen, J. Collaborative Optimization Scheduling of Multi-Microgrids Incorporating Hydrogen-Doped Natural Gas and P2G–CCS Coupling under Carbon Trading and Carbon Emission Constraints. Energies 2024, 17, 1954. https://doi.org/10.3390/en17081954
Zhao Y, Chen J. Collaborative Optimization Scheduling of Multi-Microgrids Incorporating Hydrogen-Doped Natural Gas and P2G–CCS Coupling under Carbon Trading and Carbon Emission Constraints. Energies. 2024; 17(8):1954. https://doi.org/10.3390/en17081954
Chicago/Turabian StyleZhao, Yuzhe, and Jingwen Chen. 2024. "Collaborative Optimization Scheduling of Multi-Microgrids Incorporating Hydrogen-Doped Natural Gas and P2G–CCS Coupling under Carbon Trading and Carbon Emission Constraints" Energies 17, no. 8: 1954. https://doi.org/10.3390/en17081954
APA StyleZhao, Y., & Chen, J. (2024). Collaborative Optimization Scheduling of Multi-Microgrids Incorporating Hydrogen-Doped Natural Gas and P2G–CCS Coupling under Carbon Trading and Carbon Emission Constraints. Energies, 17(8), 1954. https://doi.org/10.3390/en17081954

