Next Article in Journal
Nuclear Cogeneration to Support a Net-Zero, High-Renewable Electricity Grid
Previous Article in Journal
Latent Thermal Energy Storage for Cooling Demands in Battery Electric Vehicles: Development of a Dimensionless Model for the Identification of Effective Heat-Transferring Structures
 
 
Font Type:
Arial Georgia Verdana
Font Size:
Aa Aa Aa
Line Spacing:
Column Width:
Background:
Article

Boiling Heat Transfer Characteristics of Noah-2100A and HFE-649 in Pin-Fin Microchannel Heat Sink

1
Institute of Refrigeration and Cryogenics, Zhejiang University, Hangzhou 310027, China
2
Department of Mechanical Engineering, Yangzhou University, Yangzhou 225012, China
*
Authors to whom correspondence should be addressed.
Energies 2024, 17(24), 6216; https://doi.org/10.3390/en17246216
Submission received: 8 October 2024 / Revised: 14 November 2024 / Accepted: 27 November 2024 / Published: 10 December 2024
(This article belongs to the Section J: Thermal Management)

Abstract

Noah-2100A and HFE-649, as two electronics fluorinated liquids (EFLs) with low saturation temperature, high safety, excellent insulation properties, and low environmental impact, are considered as replacements for the refrigerants with high Global Warming Potential (GWP), such as HFC-134a and HFC-245fa, in electronic cooling system. However, there is still a knowledge gap of boiling heat transfer for these two EFLs, especially in pin-fin microchannel. The effect of inlet temperatures, mass flow rates, and inlet vapor qualities on boiling heat transfer for two EFLs were studied experimentally in this paper. Overall, though the Noah-2100 has a higher pressure drop-in microchannel than HFE-649, Noah-2100A shows a higher overall thermal performance than HFE-649. Newly developed correlations of the Nusselt number (Nu) and pressure drop for two EFLs in a pin-fin microchannel heat sink were also presented. The proposed correlations can achieve a 10% and 11% mean average percentage error for Nu number and pressure drop.

1. Introduction

As advancements in modern electronic devices such as high-performance integrated circuits, vehicle batteries, and data centers continue, the demand for effective thermal management technologies with low environmental impact has become increasingly critical. Benefited by high heat transfer efficiency, low noise, and compact structure, microchannel are recognized as one of the most promising heat dissipation solutions. Numerous studies have focused on boiling heat transfer [1,2,3], structural optimization [4,5,6], structural materials impact [7,8,9], and working fluid performance evaluation [9,10,11]. Moreover, electronic devices such as vehicle batteries and integrated circuits operate optimally around 40 °C [12,13]. Prolonged exposure to temperatures exceeding 70 °C can significantly degrade their performance and shorten their service life [14]. An appropriate working fluid is essential to the performance of the cooling system and the electronic devices. Electronics fluorinated liquids (EFLs) have emerged as promising cooling fluids due to their excellent thermal properties and electrical insulation.
EFLs always demonstrate a lower heat transfer coefficient (HTC) compared to traditional refrigerants, which restricts the application in high heat flux conditions. Muszynski and Mikielewicz [15] evaluated the thermodynamic performance difference between water, ethanol, and HFE-7100 and pointed out that the heat flux density of HFE-7100 is about two times and eight times lower than that of ethanol and HFE-7100. Teppati et al. [16] tested the dielectric properties of three HFEs, and indicated that HFE-7100 shows the highest safety class among HFE-7100, HFC-245fa, and HFO-1336mzz, while it shows the worst dielectric strength. Mikielewicz et al. [17] compared the condensing pressure drop of HFE-7100 and HFE-7000. The results showed that HFE-7000 shows a higher pressure drop under relatively the same mass flow rate. However, the experiments were only conducted with mass flow rates over 250 kg/s and the inlet temperatures were not at the same inlet temperature. Garivalis et al. In [18], the authors investigated the difference of FC-72 and HFE-649 in pool boiling and pointed out that HFE-649 is a potential alternative of FC-72 in electronics cooling. Fu and Lin [19] concluded that the thermophysical properties can change significantly when the temperature is between the pseudocritical temperature and the critical temperature, which is comparable to the behaviors of working fluids like water and carbon dioxide. Noah-2100A has similar properties to HFE-649, and Liu et al. [20] experimentally studied its heat transfer characteristics and concluded that the proposed system can reach a heat flux of 38 W/cm2 during the experiments. Table 1 compares the key properties of the EFLs mentioned in open literature with one of the most used refrigerant, R134a. Forrest et al. [21], Moustaid et al. [22], and Cao et al. [23] have pointed out that HFE-649, with its excellent insulation properties, high safety, low Global Warming Potential (GWP), and low boiling point, could be a viable alternative to halocarbons currently used for cooling power electronics and microelectronic devices. Although mainstream EFLs possess excellent insulation characteristics and low environmental impact, their thermal properties still exhibit certain discrepancies compared to mainstream refrigerants.
Table 1. Thermodynamic properties of HFE-649 and Noah-2100A [19,20,24,25].
Table 1. Thermodynamic properties of HFE-649 and Noah-2100A [19,20,24,25].
Thermophysical PropertiesHFE-649Noah-2100AHFE-7100R134a
Boiling point (°C)494761−26.06
Liquid density (kg/m3) 1602160115101206
Vapor density (kg/m3) 12.55211.316N/A4.2
Viscosity (Pa·s)6.4121 × 10−45.70276 × 10−43.8 × 10−48.03 × 10−3
Liquid specific heat (kJ/kg·K) 1.1031.2791.1831.42
Surface tension (N/m) 10.8 × 10−311.44 × 10−313.6 × 10−38 × 10−3
Vaporization latent heat (kJ/kg) 93.22 88112177
Thermal conductivity (W/m·K) 0.0587 0.06090.0630.081
GWP 1203201300
To fully optimize the cooling efficiency of EFLs, a microchannel with heat transfer enhancement technologies such as surface microstructure [26,27,28], pin-fin structures [29,30,31], and composite structures [32,33] has been considered as several of the most efficient optimization techniques to enhance the performance of EFLs in microchannels. Wei et al. [34] mentioned that the micro-convection in the confined gaps between the fins of superheated liquid, as well as the thermal capillary forces induced by the suction of bubbles hovering over the fin structures, can enhance the performance of electronics fluorinated liquids in microchannel heat exchangers. Law and Lee [35] conducted an experimental study on the heat transfer of FC-72 in a microchannel with parallel and oblique fins. The results showed that an improvement in stability of flow boiling can be found in the microchannel with oblique fins by reducing the pressure fluctuations and the temperature gradient of wall. Additionally, a continuous thin liquid film and more bubbles can be found in the convective boiling region and nucleate boiling region, respectively, based on the angled pin-fins structure. Based on a microchannel test rig, Ma et al. [36] studied the difference of the critical heat flux (CHF) and HTC between microchannel with micro-slots and plain-wall microchannel using HFE-7100. The results indicated that the micro-slot structure can effectively enhance the CHF and HTC of microchannels without adversely affecting the two-phase pressure drop. Zhuang et al. [37] proposed correlations to describe the two-phase heat transfer and pressure drop of HFE 7100 in a pin-fin microchannel test rig. The newly developed correlations can achieve a mean absolute percentage error (MAPE) of 10.4% and 9.5% for pressure loss and two-phase heat transfer. Kaniowski [38] mentioned that the HFE-649 can achieve a HTC of 19.4 kW/m2/K in an inclined microchannel. Based on previous research, Kaniowski et al. [39] further studied the effect of geometrical parameters of microchannel surface using HFE-649 on heat transfer and pointed out that comparing with smooth surface, the surface modification can provided a higher HTC. Falsetti et al. [40] investigated the boiling heat transfer of HFE-649 on sandblasted surface and pointed out that the CHF and HTC are increased by 1.5 and 3 times than the normal surface. Zuoancic et al. [41] also investigated impact of surface structures on the flow boiling of HFE-649 in microchannels. The results indicated that the sub-microscale surface topography has an effectively influence on optimizing the boiling heat transfer. Wu et al. [42] conducted theoretical and experimental investigation on the cooing effect of pin-fin microchannel using Noah-2100A for battery pack cooling. However, the research primarily concentrates on the battery’s performance. The characteristics of Noah-2100A in pin-fin microchannel were not discussed in detail. Several correlations were also proposed for EFLs in microchannels with an average error of around 35% [37,43,44].
Numerous studies have addressed the properties of EFLs itself and introduced the performance of EFLs in various microchannel structures. Noah-2100A and HFE-649, as two typical EFLs with similar thermal properties, are notable for their low boiling points and GWPs. However, very few studies focused on their heat transfer characteristics, especially for Noah-2100A. The variation of pressure drop and heat transfer characteristics of Noah-2100A and HFE-649 in a pin-fin microchannel are evaluated in this study. The difference in pressure drops, HTCs, and CHFs between two fluids are investigated over a large range of experimental conditions. The objective of this article is to analyze and compare the performance differences between common electronic fluorinated liquid HFE-649 and the novel electronic fluorinated liquid Noah-2100A, providing theoretical support for the development of systems applicable to Noah-2100A in the future. General correlations for pressure drop and Nusselt (Nu) number for two EFLs are proposed in this paper to provide a theoretical basis for microchannel structural optimization, improving the performance of EFLs, and promoting the widespread application of EFLs in electronic cooling.

2. Experimental Apparatus

2.1. Experimental Setup

The configuration of the experimental system and the detailed structure of microchannel with pin-fins are shown in Figure 1a, Figure 1b, and Figure 1c, respectively. The details of the experimental apparatus are presented in Appendix B. The system mainly consists of a gear pump (Jonsn pump MRB10/16), a condenser, an expansion valve, a thermostatic water bath, a test section for pin-fin microchannel, and a reservoir. During the experiment, the gear pump will deliver the liquid working fluid to the expansion valve. The Microchannel module is made of cooper placing between a copper heating module with eight heating rods and a 4 mm thick glass plate. There are two preheaters at the expansion valve inlet and outlet, respectively, to ensure a constant inlet temperature of test section. There are four electrical heaters on the bottom of the microchannel, which is controlled by a power controller to simulate heat source. The fully vaporized working fluid will flow to the condenser to be condensed and flow back to the gear pump via a reservoir to start a new cycle. Figure 1b illustrates the test section of the microchannel, which mainly includes a cover plate with a vision window, a middle layer for microchannel installation, and a bottom stand to install the sensors and heater. A 50 × 50 mm microchannel heat sink was examined in this study. The fins on the microchannel have a diameter of 4 mm, while the confined gaps between the fins have a hydraulic diameter of 1 mm. The detailed parameters of the microchannel are listed in Table 2. The mass flow rate, pressures, and temperatures in the test rig are recorded by a data acquisition device for data analysis and system regulation. During the experiments, when the measured temperature remained constant over 1 min, the experiment was considered to have reached a steady state. Before each experiment, the flow rate and inlet fluid temperatures were kept constant, and the heat power, which is supplied to the cartridge heater in the test section, was gradually raised until the desired value is achieved. Once steady-state conditions were reached, data for temperature, pressure, and mass flux were recorded at intervals of less than 1 s, yielding 200 data points. These values were subsequently averaged and utilized in the data reduction process for further analysis. Readings were recorded every 15 min to ensure thermal equilibrium is achieved. Combined with the heat exchanger inlet and outlet temperature and pressure, the enthalpies of in the microchannel were calculated using REFPROP Version 10 [45].

2.2. Test Conditions and Uncertainty Analysis

Over 80 experiments were conducted for HFE-649 and Noah-2100A under various inlet temperatures, vapor qualities, and mass flow rates. The experimental errors are shown in Table 3. The specific test conditions are listed in Table 4. The mass flow rate was recorded by a DMF-1-S3 mass flow meter with a relative uncertainty of ±1%. The system pressures were recorded by three Druck PTX-5072 pressure transducers with a relative uncertainty of ±0.15%. The temperatures were recorded by six K-type thermocouples with an absolute uncertainty of ±1.5 °C. The combined uncertainties, such as average surface temperature, heat flux, HTC, and pressure drop, had relative uncertainties of 2%, 2.9%, 3.5%, and 0.9%, respectively.

3. Data Reduction

The velocity of the liquid working fluid at the test section inlet is defined as
v i n = m ˙ ρ A i n
where Ain, and m ˙ are the area of microchannel inlet and the mass flow rate.
Thus, the average velocity in the microchannel is expressed as
v = W 1 W 2 π d 2 4 W 1 W 2 v i n
where W1 and W2 is the longitudinal and lateral distance between two fins’ center, where d is the diameter of the circle.
Thus, the Renold number (Re) can be expressed as
Re = ρ v D h μ
where ρ and μ are liquid density and the liquid viscosity.
Dh is the hydraulic diameter which is defined as
D h = 4 V f l o w A H T
The Vflow is the minimum free flow area and AHT is unit the heat transfer area, which can be calculated as follows:
V f l o w = ( W 1 W 2 π d 2 4 ) H F i n n
A H T = ( W 1 W 2 ) π d 2 4 + π d H F i n n
where HFin is the fin height, where n is the number of fins.
The cooling capacity Q ˙ can then be expressed
Q ˙ = m ˙ ( h i n h o u t )
Thus, the total HTC and experimental Nu number then are calculated by Equations (8) and (9) as follows:
h t o t a l = Q A c ( T w T r )
N u = h t o t a l D h k
T r is the average temperature of EELs. T1 is the average temperatures of the upper layers.
In this study, the heated copper block was surrounded by polytetrafluoroethylene with an external heat shield, and the heat transfer approximately satisfied the one-dimensional steady-state thermal conductivity. Therefore, the heat flux can be obtained from the one-dimensional Fourier’s law of heat conduction as
q = k T w T 1 S 1
where k denotes the copper plate’s thermal conductivity of, T1 denotes the first thermocouple temperature, and S1 denotes the distance between the surface of the copper block and the first layer thermocouple.
Thus, the average surface temperature T W of microchannel can be driven by
T W = T 1 q k c δ
where δ is the distance between the microchannel surface and first thermocouple and T 1 is first thermocouple temperature.
Based on the area of the microchannel A, the average heat flux q is expressed as
q = Q A
where A is the area of the microchannel.
The vapor quality at the microchannel inlet is calculated by Equation (13) as follows:
x i n = h i n h l h g h l
where hl and hg are the enthalpy of the saturated liquid and vapor.
The pressure drop based on the experimental data can be driven by
Δ P = P i n P o u t
where Pout and Pin is the pressure at the microchannel outlet and inlet.
The porosity of the working fluid in the microchannel is expressed as follows:
ε = N A c h L c h W c h
where Ach is the fin area, N is total the number of pin-fins, Ltotal is the length of microchannel, and Wtotal is the width of the microchannel.
We sought to improve the precision of heat transfer predictions and describe the variation of the Nu number of the two EFLs in one general correlation. A new Nu number correlation was proposed in this study based on Foust and Christian’ correlation [46]. The two-phase Re number (Retp) can be defined as
R e t p = D h G μ l + α ( μ g μ l )
where G and α is the mass flux and the void fraction which can be calculated according to Hughmark Model [47].
Thus, the newly developed Nu number general correlation can be expressed as
N u = 0.5057 Re tp 0.7481 ε 2.922 P r 1.22
where Pr is the liquid Prandtl number and ε is the porosity of the working fluid.
To improve the predict accuracy of pressure drop for two EELs, a new general pressure drop correlation was proposed in this study. According to the experimental Re number, the vapor phase and liquid phase frictional factors can then be defined as [48]
f l Re l = 24 ( 1 1.3553 β + 1.9467 β 2 1.7012 β 3 + 0.9564 β 4 0.2537 β 5 )
f g Re g = 24 ( 1 1.3553 β + 1.9467 β 2 1.7012 β 3 + 0.9564 β 4 0.2537 β 5 )
in which
β = W c h H c h
The Weber number We can be expressed as
W e f = G 2 D h ρ l σ
where σ is the surface tension.
Thus, the pressure drop for two-phase flow can be calculated as
d p f d z t p = Φ l 2 d p d z l
The pressure drop of liquid flow for per unit length d p d z l can be calculated as
d p d z l = f l 2 G 2 1 x 2 d h ρ l
Thus, the two-phase fractional factor can be calculated as
Φ l 2 = 1 + C X + 1 X 2
The Chisholm parameter C and Martinelli parameter X can be calculated as
C = 0.00000339 W e t p 3.305 R e t p 1.33
X = d p d z l d p d z g
Taking into account both heat transfer performance and pressure frictional loss, the overall thermal performance ratio (TPR) was used to comprehensively evaluate the performance of Noah-2100A and HFE-649 in microchannel heat sink [49]. The TPR can be calculated as follows:
T P R = N u 1 / N u 2 f 1 / f 2 1 / 3
The Mean Absolute Percentage Error (MAPE) is defined as
M A P E = 1 N 1 N C p r e C e x p C e x p
where C p r e , C e x p , and N are the predicted data, experimental data, and the number of the experimental data points. The MAPE of predicted Nu number and pressure drop are used to show the accuracy proposed correlations.

4. Results and Discussions

The experimental Nu number varies with the Re number in the circular-fin microchannel heat sink with circular fins using Noah-2100A and HFE-649 under a microchannel inlet temperature of 30 °C, which is illustrated in Figure 2. Overall, the Nu numbers for both EFLs increase with the Re number because of the increasing flow rates. At a mass flow rate of 2.4 g/s, the Nu number of Noah-2100A is about 5.4% higher than that of HFE-649 for the same Re number. This can be attributed to the greater thermal conductivity and specific heat capacity of Noah-2100A. The data are shown in the Appendix A.
Figure 3 shows the influence of inlet temperatures and mass flow rates on Noah-2100A and HFE-649 in the microchannel heat sink. Overall, Noah-2100A shows a higher HTC than HFE-649. A higher mass flow rate results in an increased HTC, while a reverse trend can be found in inlet temperatures. For a given inlet temperature (20 °C) and mass flow rate (2.4 g/s), Noah-2100A can achieve a HTC of 2500 W/m2·K, which is about 4.1% higher than that of HFE-649.
Figure 4 illustrates the variation of the HTC of two EFLs under different inlet vapor qualities and mass flow rates. The HTC decreases as the inlet vapor quality increases, due to the reduction in inlet enthalpy. For all inlet vapor quality, Noah-2100A shows a higher HTC. With an inlet vapor quality of 0.3, the HTC is approximately 7.7% higher than that of HFE-649.
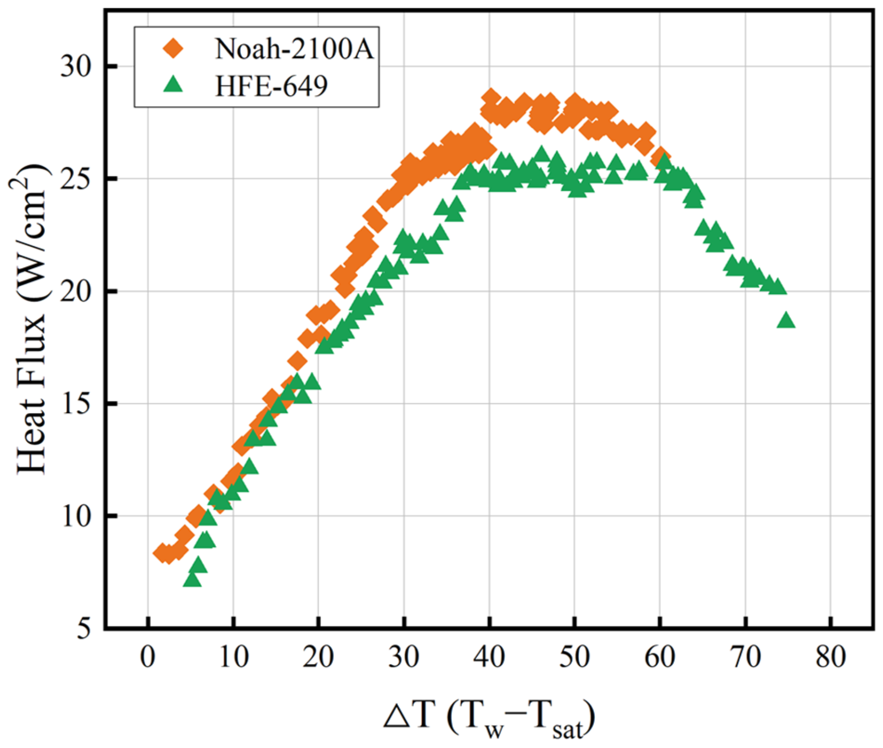
Figure 5 shows the change in heat flux with superheat for two EFLs. A similar trend can be found in two working fluids, and the heat flux firstly increases with superheat. This occurs because a greater temperature difference between the microchannel wall and the working fluid allows the fluid to reach the boiling heat transfer state. With the superheat further increased, the bubble generation rate increases intensifying the mutual interference between the bubbles and resisting the heat transfer. Due to similar thermophysical properties, the superheat at which the CHF is reached is also close.
Figure 6 illustrated the change of the CHF for two EFLs with the inlet vapor quality varying from 0.1 to 0.3 and mass flow rates varying from 0.8 to 2.4 g/s. For both EFLs, an increase in inlet vapor quality results in a lower CHF because the length of two-phase flow is decreased with decreasing inlet vapor quality. As the inlet vapor quality increases from 0.1 to 0.3, the CHF of Noah-2100A decreased by 12.9% while HFE-649 decreased by 10.3%. However, as mentioned by Tibirica et al. [50], the CHF can initially increase and then decrease as the inlet vapor quality rises, due to the working fluids reaching the boiling heat transfer state earlier in the microchannel. As the inlet vapor quality further increases, higher inlet vapor quality can exacerbate flow instability, thus restricting the heat transfer in the microchannel and leading to a decrease in CHF. The inlet vapor quality value for the maximum CHF can be varied depending on the physical properties of the working fluid and the structure of the microchannel. The maximum CHF corresponds to the inlet vapor quality of 5% for R134a in their study.
Figure 7 compares the Nu numbers from the experiments and predictions for Noah-2100A and HFE-649 in circular-fin microchannel heat sink. Overall, the newly proposed general correlation shows a relatively high accuracy for two EFLs comparing to the correlation mentioned in open literatures [37,43,44]. All data points fall within ±20% of the experimental data for both EFLs, while the MAPEs for Noah-2100A and HFE-649 are 7.4% and 13.9%, respectively.
The change of pressure drops with different mass flow rates and inlet temperatures for Noah-2100A and HFE-649 in the circular-fin microchannel is illustrated in Figure 8. For both HFLs, the pressure drops increase with the mass flow rate due to the increased Re number. However, opposite to the case of the HTC, due to the lower vapor density, Noah-2100A shows a higher pressure drop among all mass flow rates. For a fixed mass flow rate, the pressure drops at 30 °C for both two EFLs is higher than that of 20 °C. This is because a higher inlet temperature leads the working fluid to reach the boiling heat transfer state earlier, thereby increasing the length of vapor phase flow, thus higher pressure drops within the microchannel heat sink. At an inlet temperature of 30 °C and a mass flow rate of 2.4 g/s, the pressure drop for Noah-2100A is about 40.5% higher than that of HFE-649.
Figure 9 shows the pressure drop varies with inlet vapor qualities and mass flow rate for two EFLs. Overall, the pressure drops increase with both mass flow rates and inlet vapor qualities due to the increasing frictional pressure loss and length of vapor phase length in the microchannel, respectively. For the same reasons as discussed in Figure 8, Noah-2100A shows a higher pressure drop than that of HFE-649 at different inlet vapor qualities. With the inlet vapor quality increases from 0.1 to 0.3, the pressure drop is increased by 3.3% and 8.2% for Noah-2100A and HFE-649, respectively.
Figure 10 illustrates the accuracy of predicted pressure drop for Noah-2100A and HFE-649 in pin-fin microchannel based on the newly developed correlation. Nearly all data points fall within ±30% of the experimental data for both EFLs, while the MAPE of the pressure drop for Noah-2100A and HFE-649 using one single correlation is 10%.
The change of TPR with mass flow rates for Noah-2100A and HFE-649 is shown in Figure 11. Though the pressure drop of Noah-2100A is higher than that of HFE-649, the overall thermal performance of Noah-2100A is better than that of HFE-649. The TPR for all data points is higher than 1.0, while the average TPR is about 1.29. In conclusion, though Noah-2100A has a higher frictional loss due to the low vapor density and a relatively higher GWP, Noah-2100A shows superior overall performance than HFE-649 under different mass flow rates, inlet vapor qualities, and inlet temperatures. Thus, Noah-2100 can be considered as a potential drop-in alternative with an acceptable environmental impact and a higher performance.

5. Conclusions

In this study, a comparative study of the performance of Noah-2100A and HFE-649 in a microchannel with circular fins was presented based on various mass flow rates, inlet vapor qualities, and inlet temperatures. The general correlations of the Nu number and pressure drop for two EFLs were proposed based on the experimental data. Overall, the newly proposed correlations show a good consistency with experiments. The key findings are listed as follows:
(1)
Noah-2100A shows a higher HTC and CHF than that of HFE-649 for all experimental conditions.
(2)
A higher mass flow rate and inlet vapor quality lead to a higher pressure drop for both EFLs. Noah-2100A shows a higher pressure drop than HFE-649 due to lower vapor density.
(3)
Taking into account both heat transfer performance and pressure frictional loss, Noah-2100A shows a better thermal performance than HFE-649. Noah-2100A can be considered as a potential drop-in alternative with a higher performance and an acceptable environmental impact.
(4)
The newly proposed correlations of Nu number and pressure drop for Noah-2100A and HFE-649 can achieve MAPEs of 10.06% and 11.05%, respectively.

Author Contributions

H.J.: Data curation, Formal analysis, Validation, Writing—original draft. M.Z.: Investigation, Project administration, Methodology, Visualization. Conceptualization, Funding acquisition. X.Z.: Resources, Supervision, Writing—review & editing. All authors have read and agreed to the published version of the manuscript.

Funding

This research received no external funding.

Data Availability Statement

The original contributions presented in the study are included in the article, further inquiries can be directed to the corresponding authors.

Conflicts of Interest

The authors declare no conflict of interest.

Nomenclature

A area (mm2) W e Weber number
Accross-section area of channel (mm2) x vapor quality
C Chisholm parameter X Martinelli parameter
dthe diameter of the circle (mm)Greek symbol
D hhydraulic diameter (mm) a void fraction
EFLelectronics fluorinated liquids μ viscosity (kg/m/s)
f friction factor ρ density (kg/m3)
G mass flux (kg/m2/s) δ distance to copper surface (m)
h heat transfer coefficient (W/m2/K)) or enthalpy (kJ/kg) two-phase multiplier
k conductivity (kW/m/K)Subscripts
L length (mm)ccopper
m ˙ mass flow rate (g/s) e x p experiment
N number g vapor
N u Nusselt number h hydraulic
P pressure (bar) H hight
P r Prandtl number i n inlet
R e Renold number l liquid
T temperature (°C) o u t outlet
T P R thermal performance ratio p r e predict
v average velocity (m/s) r refrigerant
V volume (m3) t o t a l total
Q cooling capacity (W) t p two-phase
W distance (mm) w wall

Appendix A

m ˙ @Tin = 20 °CNoah-2100A/HTCHFE-649/HTC m ˙ @Tin = 30 °CNoah-2100A/HTCHFE-649/HTC
0.8840.73696.70280.8906.66829.42
1.21396.341099.651.21661.261140.23
1.61810.221632.4481.62119.791701.62
22032.431873.60522186.761967.75
2.42499.622400.1892.42537.622441.63
ReNoah-2100A/NuHFE-649/Nu m ˙ @xin = 0.1Noah-2100A/HTCHFE-649/HTC
24.3706414.8878514.350.81221.4167891.71
33.5424727.2719.721.21810.009031424.25
47.1911434.8029.441.62200.963072004.74
56.9845238.9035.0422733.44252284.46
70.1761842.0639.902.42945.683242888.01
m ˙ @xin = 0.2Noah-2100A/HTCHFE-649/HTC m ˙ @xin = 0.3Noah-2100A/HTCHFE-649/HTC
0.80.81005.620.8948.32686.53
1.21.21760.511.21728.361368.36
1.61.62173.411.62111.371771.88
222713.2622591.842093.85
2.42.42867.622.42846.032642.03
m ˙ @xin = 0.1Noah-2100A/CHFHFE-649/CHF m ˙ @xin = 0.2Noah-2100A/CHFHFE-649/CHF
0.816.5914.990.815.3614.92
1.224.8516.091.218.9816.05
1.625.9618.921.624.5518.01
228.1522.91225.5521.87
2.429.623.982.426.5522.67
m ˙ @xin = 0.3Noah-2100A/CHFHFE-649/CHF m ˙ @Tin = 20 °CNoah-2100A/Pressure dropHFE-649/Pressure drop
0.815.6714.370.84.674.11
1.217.5515.61.27.696.19
1.623.6517.651.611.087.71
224.5720.07216.8111.35
2.425.7621.492.420.4812.85
m ˙ @Tin = 30 °CNoah-2100A/Pressure dropHFE-649/Pressure drop m ˙ @xin = 0.1Noah-2100A/Pressure dropHFE-649/Pressure drop
0.85.745.090.84.913.18
1.27.927.321.29.244.53
1.611.1310.391.613.286.48
217.4513.31217.818.72
2.421.9515.612.425.4711.01
m ˙ @xin = 0.2Noah-2100A/Pressure dropHFE-649/Pressure drop m ˙ @xin = 0.3Noah-2100A/Pressure dropHFE-649/Pressure drop
0.85.193.660.85.823.97
1.210.624.611.211.324.92
1.614.576.691.614.997.74
221.088.94222.989.197
2.425.8311.112.426.3111.92

Appendix B. Specification of the Instrumentation

InstrumentsModelEquipment SupplierCityCountryQuantityAccuracy
Gear pumpJonsn pump MRB10/16Shanghai Jonsson Fluid Equipment ShanghaiChina1N/A
Frequency changerMitsubishi FR-D740-0.75KMu Yang Yi Ming TradingMuyangChina1N/A
Mass flow meterDMF-1-S3Beijing Shouke Shihua Automation EquipmentBeijingChina1±1%
Pressure transducerDruck PTX-5072Shanghai Kuowei Automatic ControlShanghaiChina3±0.15%
ThermocoupleK-typeShanghai Huajian Electric Heating EquipmentShanghaiChina7±1.5 °C
Expansion valveSwagelok S3-31RS4Shanghai Jingtian IndustryShanghaiChina1N/A
Plate heat exchangerJXZ14-26D-LDJiangyin Jiangxing Heat Exchange EquipmentJiangyinChina1N/A
Thermostatic water bathDC-0506Guangzhou Xuyi Automation TechnologyGuangzhouChina1±2 °C
ReservoirSHOME JHV01Guangdong Qilihang TechnologyGuangdongChina1N/A
Data acquisition cardNI USB-6341Nanjing Yunding Measurement and Control TechnologyNanjingChina1N/A

References

  1. Li, Y.; Wu, H. Experiment investigation on flow boiling heat transfer in a bidirectional counter-flow microchannel heat sink. Int. J. Heat Mass Transf. 2022, 187, 122500. [Google Scholar] [CrossRef]
  2. Fu, K.; Gao, W.; Xu, X.; Liang, X. Flow boiling heat transfer and pressure drop characteristics of water in a copper foam fin microchannel heat sink. Appl. Therm. Eng. 2023, 218, 119295. [Google Scholar] [CrossRef]
  3. Qu, W.; Mudawar, I. Analysis of three-dimensional heat transfer in micro-channel heat sinks. Int. J. Heat Mass Transf. 2002, 45, 3973–3985. [Google Scholar] [CrossRef]
  4. Zhou, J.; Li, Q.; Chen, X. Micro pin fins with topologically optimized configurations enhance flow boiling heat transfer in manifold microchannel heat sinks. Int. J. Heat Mass Transf. 2023, 206, 123956. [Google Scholar] [CrossRef]
  5. Manoj, A.; Goddumarri, U.V.; Rajalingam, A.; Chakraborty, S. Heat transfer and fluid flow characteristics of a microchannel heat sink with microplates-A critical computational study. Appl. Therm. Eng. 2023, 226, 120309. [Google Scholar] [CrossRef]
  6. Rajalingam, A.; Chakraborty, S. Fluid flow and heat transfer characteristics of a microstructured microchannel heat sink under flow boiling condition. Appl. Therm. Eng. 2024, 248, 123265. [Google Scholar]
  7. Chen, Y.; Zhuang, Y.; Feng, J.-C.; Huang, S.-M. Numerical investigation on flow and heat transfer characteristics in honeycomb-like microchannel heat sink encapsulated with phase change material. Appl. Therm. Eng. 2023, 232, 121060. [Google Scholar] [CrossRef]
  8. Liu, R.; Luo, G.; Li, Y.; Zhang, J.; Shen, Q.; Zhang, L. Microstructure and thermal properties of diamond/copper composites with Mo2C in-situ nano-coating. Surf. Coat. Technol. 2019, 360, 376–381. [Google Scholar] [CrossRef]
  9. Bai, G.-Z.; Zhang, Y.-J.; Liu, X.-Y.; Dai, J.-J.; Wang, X.-T.; Zhang, H.-L. High-temperature thermal conductivity and thermal cycling behavior of Cu–B/diamond composites. IEEE Trans. Compon. Packag. Manuf. Technol. 2019, 10, 626–636. [Google Scholar] [CrossRef]
  10. Tan, Z.; Jin, P.; Zhang, Y.; Xie, G. Flow and thermal performance of a multi-jet twisted square microchannel heat sink using CuO-water nanofluid. Appl. Therm. Eng. 2023, 225, 120133. [Google Scholar] [CrossRef]
  11. Maghrabie, H.M.; Olabi, A.; Sayed, E.T.; Wilberforce, T.; Elsaid, K.; Doranehgard, M.H.; Abdelkareem, M.A. Microchannel heat sinks with nanofluids for cooling electronic components: Performance enhancement, challenges, and limitations. Therm. Sci. Eng. Prog. 2023, 37, 101608. [Google Scholar] [CrossRef]
  12. Xie, Y.; Wang, C.; Hu, X.; Lin, X.; Zhang, Y.; Li, W. An MPC-based control strategy for electric vehicle battery cooling considering energy saving and battery lifespan. IEEE Trans. Veh. Technol. 2020, 69, 14657–14673. [Google Scholar] [CrossRef]
  13. Cebrian, J.M.; Natvig, L. Temperature effects on on-chip energy measurements. In Proceedings of the 2013 International Green Computing Conference Proceedings, Arlington, VA, USA, 27–29 June 2013; pp. 1–6. [Google Scholar]
  14. Du, L.; Hu, W. An overview of heat transfer enhancement methods in microchannel heat sinks. Chem. Eng. Sci. 2023, 280, 119081. [Google Scholar] [CrossRef]
  15. Muszynski, T.; Mikielewicz, D. Comparison of heat transfer characteristics in surface cooling with boiling microjets of water, ethanol and HFE7100. Appl. Therm. Eng. 2016, 93, 1403–1409. [Google Scholar] [CrossRef][Green Version]
  16. Teppati, V.; Agostini, F.; Ganter, P.; Wu, L.-S.; Lewin, P.L. Dielectric properties of refrigerant fluids HFO-1336mzz-E, HFC-245fa, and HFE-7100. IEEE Trans. Dielectr. Electr. Insul. 2022, 29, 1298–1306. [Google Scholar] [CrossRef]
  17. Mikielewicz, D.; Wajs, J.; Andrzejczyk, R.; Klugmann, M. Pressure drop of HFE7000 and HFE7100 during flow condensation in minichannels. Int. J. Refrig. 2016, 68, 226–241. [Google Scholar] [CrossRef]
  18. Garivalis, A.; Fanani, P.; Di Marco, P. Pool boiling performances comparison of FC-72 and Novec 649 in the presence of a DC electric field. Proc. J. Phys. Conf. Ser. 2024, 2685, 012064. [Google Scholar] [CrossRef]
  19. Fu, B.-R.; Lin, W.-J. Supercritical heat transfer of NOVEC 649 refrigerant in horizontal minichannels. Int. Commun. Heat Mass Transf. 2020, 117, 104740. [Google Scholar] [CrossRef]
  20. Liu, Y.; Chen, C.; Wang, J.; Xin, G. Experimental study on the heat transfer characteristics of a novel self-driven cooling system. Int. J. Heat Mass Transf. 2024, 221, 125085. [Google Scholar] [CrossRef]
  21. Forrest, E.; Buongiorno, J.; McKrell, T.; Hu, L.-W. Pool boiling performance of Novec TM 649 engineered fluid. In Proceedings of the International Conference on Boiling Heat Transfer, Florianopolis, Brazil, 3–7 May 2009. [Google Scholar]
  22. Moustaid, M.; Platel, V.; Guillet, M.; Reynes, H.; Buttay, C. Modeling and test of a thermosyphon loop for the cooling of a megawatt-range power electronics converter. Int. J. Thermofluids 2022, 13, 100129. [Google Scholar] [CrossRef]
  23. Cao, Z.; Wu, Z.; Sundén, B. Heat transfer prediction and critical heat flux mechanism for pool boiling of NOVEC-649 on microporous copper surfaces. Int. J. Heat Mass Transf. 2019, 141, 818–834. [Google Scholar] [CrossRef]
  24. El-Genk, M.S.; Bostanci, H. Saturation boiling of HFE-7100 from a copper surface, simulating a microelectronic chip. Int. J. Heat Mass Transf. 2003, 46, 1841–1854. [Google Scholar] [CrossRef]
  25. Kærn, M.R.; Criscuolo, G.; Meyer, K.E.; Markussen, W.B. Critical heat flux characteristics of R1234yf, R1234ze (E) and R134a during saturated flow boiling in narrow high aspect ratio microchannels. Int. J. Heat Mass Transf. 2021, 180, 121840. [Google Scholar] [CrossRef]
  26. Lee, P.-S.; Garimella, S.V. Thermally developing flow and heat transfer in rectangular microchannels of different aspect ratios. Int. J. Heat Mass Transf. 2006, 49, 3060–3067. [Google Scholar] [CrossRef]
  27. Liu, Y.; Cui, J.; Li, W.; Zhang, N. Effect of surface microstructure on microchannel heat transfer performance. J. Heat Transfer. 2011, 133, 124501. [Google Scholar] [CrossRef]
  28. Gluzdov, D.; Gatapova, E.Y. Microchannel surface structures for drag reduction. J. Eng. Thermophys. 2023, 32, 214–241. [Google Scholar] [CrossRef]
  29. Bhandari, P.; Rawat, K.S.; Prajapati, Y.K.; Padalia, D.; Ranakoti, L.; Singh, T. Design modifications in micro pin fin configuration of microchannel heat sink for single phase liquid flow: A review. J. Energy Storage 2023, 66, 107548. [Google Scholar] [CrossRef]
  30. Bhandari, P.; Prajapati, Y.K. Thermal performance of open microchannel heat sink with variable pin fin height. Int. J. Therm. Sci. 2021, 159, 106609. [Google Scholar] [CrossRef]
  31. Deng, D.; Zeng, L.; Sun, W.; Pi, G.; Yang, Y. Experimental study of flow boiling performance of open-ring pin fin microchannels. Int. J. Heat Mass Transf. 2021, 167, 120829. [Google Scholar] [CrossRef]
  32. Yan, Y.; Zhao, T.; He, Z.; Yang, Z.; Zhang, L. Numerical investigation on the characteristics of flow and heat transfer enhancement by micro pin-fin array heat sink with fin-shaped strips. Chem. Eng. Process.-Process Intensif. 2021, 160, 108273. [Google Scholar] [CrossRef]
  33. Ma, C.; Sun, Y.; Wu, Y.; Zhang, Q.; Wang, Y.; Ding, G. A bio-inspired fractal microchannel heat sink with secondary modified structure and sub-total-sub fluid transmission mode for high heat flux and energy-saving heat dissipation. Int. J. Heat Mass Transf. 2023, 202, 123717. [Google Scholar] [CrossRef]
  34. Wei, J.; Zhao, J.; Yuan, M.; Xue, Y. Boiling heat transfer enhancement by using micro-pin-finned surface for electronics cooling. Microgravity Sci. Technol. 2009, 21, 159–173. [Google Scholar] [CrossRef]
  35. Law, M.; Lee, P.-S. A comparative study of experimental flow boiling heat transfer and pressure characteristics in straight-and oblique-finned microchannels. Int. J. Heat Mass Transf. 2015, 85, 797–810. [Google Scholar] [CrossRef]
  36. Ma, J.; Li, W.; Ren, C.; Khan, J.A.; Li, C. Realizing highly coordinated, rapid and sustainable nucleate boiling in microchannels on HFE-7100. Int. J. Heat Mass Transf. 2019, 133, 1219–1229. [Google Scholar] [CrossRef]
  37. Zhuang, X.; Xie, Y.; Li, X.; Yue, S.; Wang, H.; Wang, H.; Yu, P. Experimental investigation on flow boiling of HFE-7100 in a microchannel with pin fin array. Appl. Therm. Eng. 2023, 225, 120180. [Google Scholar] [CrossRef]
  38. Kaniowski, R. Pool Boiling of Novec-649 on Inclined Microchannel. Energies 2023, 16, 2476. [Google Scholar] [CrossRef]
  39. Kaniowski, R.; Pastuszko, R.; Nowakowski, Ł. Effect of geometrical parameters of open microchannel surfaces on pool boiling heat transfer. EPJ Web Conf. 2017, 143, 02049. [Google Scholar] [CrossRef]
  40. Falsetti, C.; Chetwynd-Chatwin, J.; Walsh, E.J. Pool boiling heat transfer of Novec 649 on sandblasted surfaces. Int. J. Thermofluids 2024, 22, 100615. [Google Scholar] [CrossRef]
  41. Zupančič, M.; Fontanarosa, D.; Može, M.; Bucci, M.; Vodopivec, M.; Nagarajan, B.; Vetrano, M.R.; Castagne, S.; Golobič, I. Enhanced nucleate boiling of Novec 649 on thin metal foils via laser-induced periodic surface structures. Appl. Therm. Eng. 2024, 236, 121803. [Google Scholar] [CrossRef]
  42. Wu, X.; Lu, Y.; Ouyang, H.; Ren, X.; Yang, J.; Guo, H.; Han, X.; Zhang, C.; Wu, Y. Theoretical and experimental investigations on liquid immersion cooling battery packs for electric vehicles based on analysis of battery heat generation characteristics. Energy Convers. Manag. 2024, 310, 118478. [Google Scholar] [CrossRef]
  43. Kaniowski, R.; Pastuszko, R. Pool boiling experiment with Novec-649 in microchannels for heat flux prediction. Exp. Therm. Fluid Sci. 2023, 141, 110802. [Google Scholar] [CrossRef]
  44. Piasecka, M.; Strąk, K.; Maciejewska, B. Heat transfer characteristics during flow along horizontal and vertical minichannels. Int. J. Multiph. Flow 2021, 137, 103559. [Google Scholar] [CrossRef]
  45. Reference Fluid Thermodynamic and Transport Properties Database (REFPROP). Available online: https://www.nist.gov/srd/refprop (accessed on 5 August 2024).
  46. Foust, A.; Christian, G. Non-boiling heat transfer coefficients in annuli. Am. Inst. Chem. Eng. 1940, 36, 541–554. [Google Scholar]
  47. Rice, C. The effect of void fraction correlation and heat flux assumption on refrigerant charge inventory predictions. ASHRAE Trans. 1987, 93, 341–367. [Google Scholar]
  48. Lee, H.J.; Lee, S.Y. Pressure drop correlations for two-phase flow within horizontal rectangular channels with small heights. Int. J. Multiph. Flow 2001, 27, 783–796. [Google Scholar] [CrossRef]
  49. Zhou, F.; Zhou, W.; Zhang, C.; Qiu, Q.; Yuan, D.; Chu, X. Experimental and numerical studies on heat transfer enhancement of microchannel heat exchanger embedded with different shape micropillars. Appl. Therm. Eng. 2020, 175, 115296. [Google Scholar] [CrossRef]
  50. Tibiriçá, C.B.; Czelusniak, L.E.; Ribatski, G. Critical heat flux in a 0.38 mm microchannel and actions for suppression of flow boiling instabilities. Exp. Therm. Fluid Sci. 2015, 67, 48–56. [Google Scholar] [CrossRef]
Figure 1. Layout of experimental setup of microchannel heat sink with circular fins (a) Microchannel test system; (b) Structure of the test section; (c) Configuration of microchannel with circular pin-fins.
Figure 1. Layout of experimental setup of microchannel heat sink with circular fins (a) Microchannel test system; (b) Structure of the test section; (c) Configuration of microchannel with circular pin-fins.
Energies 17 06216 g001
Figure 2. Experimental Nu number against experimental Re number for two EFLs in microchannel with circular fins.
Figure 2. Experimental Nu number against experimental Re number for two EFLs in microchannel with circular fins.
Energies 17 06216 g002
Figure 3. The influence of inlet temperatures and mass flow rates on two EFLs in circular-fins microchannel.
Figure 3. The influence of inlet temperatures and mass flow rates on two EFLs in circular-fins microchannel.
Energies 17 06216 g003
Figure 4. HTC varies with inlet vapor qualities and mass flow rates for Noah-2100A and HFE-649: (a) HTC varies with mass flow rate for two EFLs; (b) Impact of inlet vapor quality.
Figure 4. HTC varies with inlet vapor qualities and mass flow rates for Noah-2100A and HFE-649: (a) HTC varies with mass flow rate for two EFLs; (b) Impact of inlet vapor quality.
Energies 17 06216 g004
Figure 5. Experimental heat flux versus superheat for Noah-2100A and HFE-649 at an inlet temperature of 30 °C.
Figure 5. Experimental heat flux versus superheat for Noah-2100A and HFE-649 at an inlet temperature of 30 °C.
Energies 17 06216 g005
Figure 6. Variation of CHF with inlet vapor quality and mass flow rate; (a) Impact of mass flow rates; (b) Impact of inlet vapor quality.
Figure 6. Variation of CHF with inlet vapor quality and mass flow rate; (a) Impact of mass flow rates; (b) Impact of inlet vapor quality.
Energies 17 06216 g006
Figure 7. Predicated Nu number against experimental Nu number.
Figure 7. Predicated Nu number against experimental Nu number.
Energies 17 06216 g007
Figure 8. Experimental pressure drop against mass flow rates at different inlet temperatures.
Figure 8. Experimental pressure drop against mass flow rates at different inlet temperatures.
Energies 17 06216 g008
Figure 9. Pressure drop varies with mass flow rate and inlet vapor quality for two EFLs in circular-fin microchannel heat sink at an inlet temperature of 30 °C; (a) Impact of mass flow rate; (b) Impact of inlet vapor quality.
Figure 9. Pressure drop varies with mass flow rate and inlet vapor quality for two EFLs in circular-fin microchannel heat sink at an inlet temperature of 30 °C; (a) Impact of mass flow rate; (b) Impact of inlet vapor quality.
Energies 17 06216 g009
Figure 10. The accuracy of predicted pressure drop for two EFLs using newly proposed correlation.
Figure 10. The accuracy of predicted pressure drop for two EFLs using newly proposed correlation.
Energies 17 06216 g010
Figure 11. Comparison of overall thermal performance parameter of Noah-2100A and HFE-649 under various mass flow rates.
Figure 11. Comparison of overall thermal performance parameter of Noah-2100A and HFE-649 under various mass flow rates.
Energies 17 06216 g011
Table 2. Structural parameters of circular-shaped pin-fins microchannel.
Table 2. Structural parameters of circular-shaped pin-fins microchannel.
ParametersValue
Width of test section Wtotal (mm)50
Length of test section Ltotal (mm)50
Fin diameter D (mm)4
confined gaps between the fins Dh (mm)1
Fin height (mm)1
Table 3. Experimental error values.
Table 3. Experimental error values.
ParameterExperimental ErrorParameterExperimental Error
T1.5% m ˙ 1.8%
P1.2%A2%
Table 4. Test conditions for the two FELs.
Table 4. Test conditions for the two FELs.
Working FluidHFE-649, Noah-2100A
Inlet temperatures (°C)20, 25, 30
Inlet vapor qualities0.1, 0.2, 0.3
Mass flow rates (g/s)0.8, 1.2, 1.6, 2, 2.4
Disclaimer/Publisher’s Note: The statements, opinions and data contained in all publications are solely those of the individual author(s) and contributor(s) and not of MDPI and/or the editor(s). MDPI and/or the editor(s) disclaim responsibility for any injury to people or property resulting from any ideas, methods, instructions or products referred to in the content.

Share and Cite

MDPI and ACS Style

Jiang, H.; Zhao, X.; Zhang, M. Boiling Heat Transfer Characteristics of Noah-2100A and HFE-649 in Pin-Fin Microchannel Heat Sink. Energies 2024, 17, 6216. https://doi.org/10.3390/en17246216

AMA Style

Jiang H, Zhao X, Zhang M. Boiling Heat Transfer Characteristics of Noah-2100A and HFE-649 in Pin-Fin Microchannel Heat Sink. Energies. 2024; 17(24):6216. https://doi.org/10.3390/en17246216

Chicago/Turabian Style

Jiang, Hanying, Xiucong Zhao, and Meng Zhang. 2024. "Boiling Heat Transfer Characteristics of Noah-2100A and HFE-649 in Pin-Fin Microchannel Heat Sink" Energies 17, no. 24: 6216. https://doi.org/10.3390/en17246216

APA Style

Jiang, H., Zhao, X., & Zhang, M. (2024). Boiling Heat Transfer Characteristics of Noah-2100A and HFE-649 in Pin-Fin Microchannel Heat Sink. Energies, 17(24), 6216. https://doi.org/10.3390/en17246216

Note that from the first issue of 2016, this journal uses article numbers instead of page numbers. See further details here.

Article Metrics

Back to TopTop