Valorization of White Lupin Straw Through Mild Dilute Acid Hydrothermal Treatment: A Sustainable Route for Monosaccharide and 5-Hydroxymethylfurfural Production
Abstract
1. Introduction
2. Materials and Methods
2.1. Materials and Chemicals
2.2. Reactor and Experimental Procedure
2.3. Separation of Hydrothermal Treatment Products from White Lupin Straw
Isolation of 5-HMF
2.4. Analysis and Analytical Methods
2.5. Modeling and Optimization Method
3. Results and Discussion
3.1. Composition of WLS
3.2. Modeling of Hydrothermolysis of WLS, Using Optimal Experimental Design
3.3. Composition of WS and WI Fractions—Products of Hydrothermolysis of WLS
3.4. Modeling of Hydrothermal Treatment of PSR, Using Optimal Experimental Design
3.4.1. Isolation of 5-HMF from Hydrothermal Conversion of Aqueous Product Fractions
3.4.2. Composition of WS and WI Fractions—Products of Hydrothermal Treatment of PSR
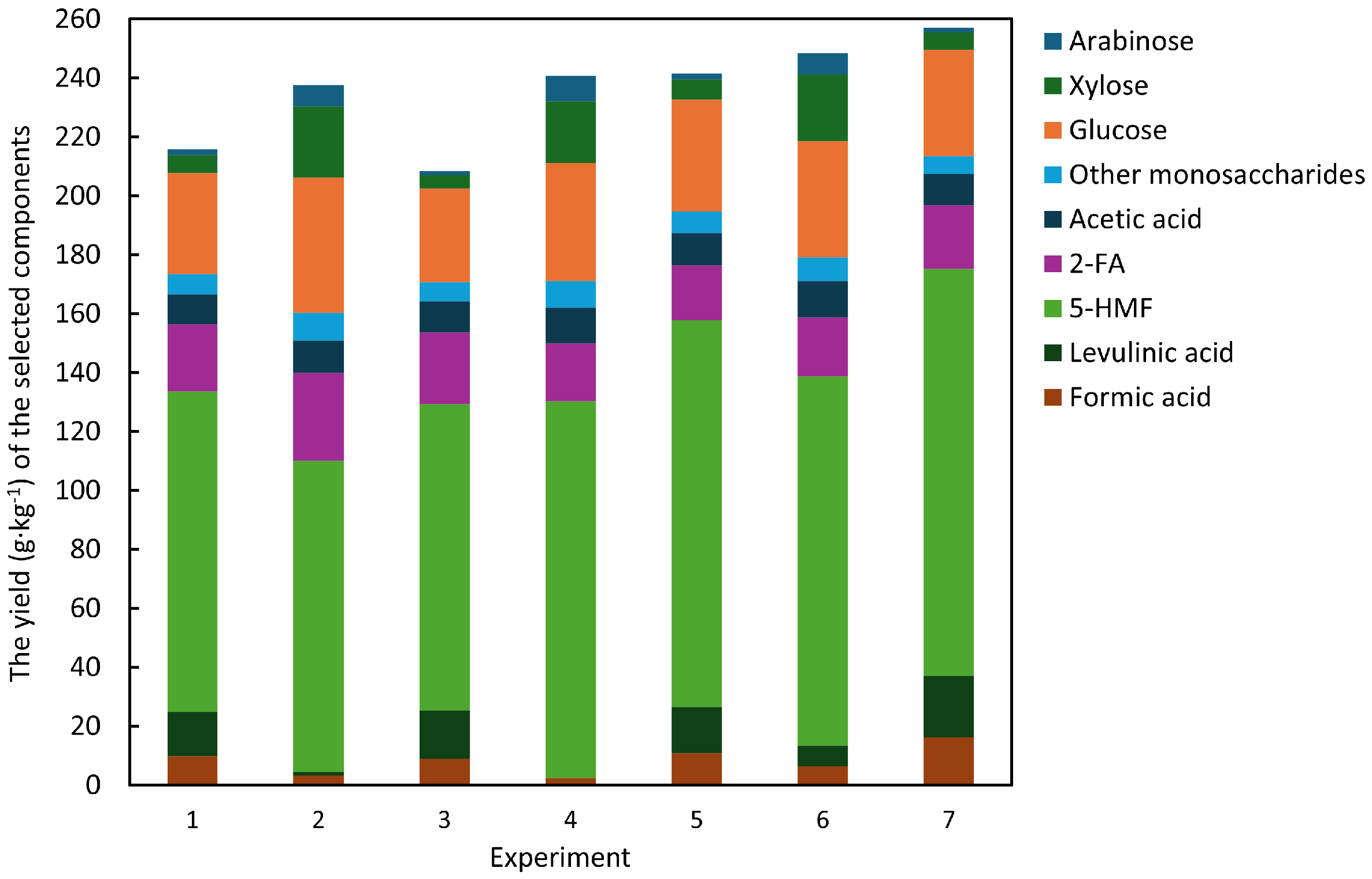
3.5. Overall Mass Balance
4. Conclusions
Supplementary Materials
Author Contributions
Funding
Data Availability Statement
Acknowledgments
Conflicts of Interest
References
- Podleśny, J. Rośliny strączkowe w Polsce–Perspektywy uprawy i wykorzystanie nasion. Acta Agroph. 2005, 6, 213–224. [Google Scholar]
- Erbas, M.; Certel, M.; Uslu, M.K. Some chemical properties of white lupin seeds (Lupinus albus L.). Food Chem. 2005, 89, 341–345. [Google Scholar] [CrossRef]
- Shrestha, S.; Van’t Hag, L.; Haritos, V.S.; Dhital, S. Lupin proteins: Structure, isolation and application. Trends Food Sci. Tech. 2021, 116, 928–939. [Google Scholar] [CrossRef]
- Annicchiarico, P.; Romani, M.; Pecetti, L. White lupin (Lupinus albus) variation for adaptation to severe drought stress. Plant Breed. 2018, 137, 782–789. [Google Scholar] [CrossRef]
- Available online: https://www.fao.org/faostat (accessed on 16 September 2024).
- Villarino, C.B.J.; Jayasena, V.; Coorey, R.; Chakrabarti-Bell, S.; Johnson, S.K. Nutritional, health, and technological functionality of lupin flour addition to bread and other baked products: Benefits and challenges. Crit. Rev. Food Sci. 2016, 56, 835–857. [Google Scholar] [CrossRef]
- Lo, B.; Kasapis, S.; Farahnak, A. Lupin protein: Isolation and techno-functional properties, a review. Food Hydrocolloid. 2021, 112, 106318. [Google Scholar] [CrossRef]
- Alkemade, J.A.; Arncken, C.; Hirschvogel, C.; Messmer, M.M.; Leska, A.; Voegele, R.T.; Finckh, M.R.; Kölliker, R.; Groot, S.P.C.; Hohmann, P. The potential of alternative seed treatments to control anthracnose disease in white lupin. Crop Prot. 2022, 158, 106009. [Google Scholar] [CrossRef]
- The Common Agricultural Policy 2023–2027. Available online: https://agriculture.ec.europa.eu/common-agricultural-policy/cap-overview/cap-glance_en (accessed on 16 September 2024).
- Huyghe, C. White lupin (Lupinus albus L.). Field Crops Res. 1997, 53, 147–160. [Google Scholar] [CrossRef]
- Favarato, L.F.; Souza, J.L.; Galvão, J.C.C.; Souza, C.M.D.; Guarconi, R.C.; Balbino, J.M.D.S. Growth and productivity of green corn on different soil covers in an organic no-tillage system. Bragantia 2016, 75, 497–506. [Google Scholar] [CrossRef][Green Version]
- Ubando, A.T.; Felix, C.B.; Chen, W.H. Biorefineries in circular bioeconomy: A comprehensive review. Bioresour. Technol. 2020, 299, 122585. [Google Scholar] [CrossRef]
- Yaashikaa, P.R.; Kumar, P.S.; Varjani, S. Valorization of agro-industrial wastes for biorefinery process and circular bioeconomy: A critical review. Bioresour. Technol. 2022, 343, 126126. [Google Scholar] [CrossRef] [PubMed]
- Song, B.; Lin, R.; Lam, C.H.; Wu, H.; Tsui, T.H.; Yu, Y. Recent advances and challenges of inter-disciplinary biomass valorization by integrating hydrothermal and biological techniques. Renew. Sust. Energy Rev. 2021, 135, 110370. [Google Scholar] [CrossRef]
- Oriez, V.; Peydecastaing, J.; Pontalier, J.P.Y. Lignocellulosic biomass fractionation by mineral acids and resulting extract purification processes: Conditions, yields, and purities. Molecules 2019, 24, 4273. [Google Scholar] [CrossRef] [PubMed]
- Xu, C.; Paone, E.; Rodríguez-Padrón, D.; Luque, R.; Mauriello, F. Recent catalytic routes for the preparation and the upgrading of biomass derived furfural and 5-hydroxymethylfurfural. Chem. Soc. Rev. 2020, 49, 4273–4306. [Google Scholar] [CrossRef] [PubMed]
- Hu, L.; Wu, Z.; Jiang, Y.; Wang, X.; He, A.; Song, J.; Xu, J.; Zhou, S.; Zhao, Y.; Xu, J. Recent advances in catalytic and autocatalytic production of biomass-derived 5-hydroxymethylfurfural. Renew. Sust. Energy Rev. 2020, 134, 110317. [Google Scholar] [CrossRef]
- Khemthong, P.; Yimsukanan, C.; Narkkun, T.; Srifa, A.; Witoon, T.; Pongchaiphol, S.; Kiatphuengporn, S.; Kaungnawakij, K. Advances in catalytic production of value-added biochemicals and biofuels via furfural platform derived lignocellulosic biomass. Biomass Bioenerg. 2021, 148, 106033. [Google Scholar] [CrossRef]
- Wang, Z.; Xia, S.; Wang, X.; Fan, Y.; Zhao, K.; Wang, S.; Zhao, Z.; Zheng, A. Catalytic production of 5-hydroxymethylfurfural from lignocellulosic biomass: Recent advances, challenges and opportunities. Renew. Sust. Energy Rev. 2024, 196, 114332. [Google Scholar] [CrossRef]
- Zhang, Y.; Zhang, J.; Su, D. 5-Hydroxymethylfurfural: A key intermediate for efficient biomass conversion. J. Energy Chem. 2015, 24, 548–551. [Google Scholar] [CrossRef]
- Deng, W.; Feng, Y.; Fu, J.; Guo, H.; Guo, Y.; Han, B.; Jiang, Z.; Kong, L.; Li, C.; Liu, H.; et al. Catalytic conversion of lignocellulosic biomass into chemicals and fuels. Green Energy Environ. 2023, 8, 10–114. [Google Scholar] [CrossRef]
- Hu, L.; Lin, L.; Wu, Z.; Zhou, S.; Liu, S. Recent advances in catalytic transformation of biomass-derived 5-hydroxymethylfurfural into the innovative fuels and chemicals. Renew. Sust. Energy Rev. 2017, 74, 230–257. [Google Scholar] [CrossRef]
- Agarwal, B.; Kailasam, K.; Sangwan, R.S.; Elumalai, S. Traversing the history of solid catalysts for heterogeneous synthesis of 5-hydroxymethylfurfural from carbohydrate sugars: A review. Renew. Sust. Energy Rev. 2018, 82, 2408–2425. [Google Scholar] [CrossRef]
- Ali, S.S.; Elsamahy, T.; Abdelkarim, E.A.; Al-Tohamy, R.; Kornaros, M.; Ruiz, H.A.; Zhao, T.; Li, F.; Sun, J. Biowastes for biodegradable bioplastics production and end-of-life scenarios in circular bioeconomy and biorefinery concept. Bioresour. Technol. 2022, 363, 127869. [Google Scholar] [CrossRef] [PubMed]
- Ashokkumar, V.; Venkatkarthick, R.; Jayashree, S.; Chuetor, S.; Dharmaraj, S.; Kumarf, G.; Chen, W.H.; Ngamcharussrivichai, C. Recent advances in lignocellulosic biomass for biofuels and value-added bioproducts—A critical review. Bioresour. Technol. 2022, 344, 126195. [Google Scholar] [CrossRef]
- Ruiz, H.A.; Conrad, M.; Sun, S.N.; Sanchez, A.; Rocha, G.J.M.; Romani, A.; Castro, E.; Torres, A.; Rodriguez-Jasso, R.M.; Andrade, L.P. Engineering aspects of hydrothermal pretreatment: From batch to continuous operation, scale-up and pilot reactor under biorefinery concept. Bioresour. Technol. 2020, 299, 122685. [Google Scholar] [CrossRef]
- Kruse, A.; Dinjus, E. Hot compressed water as reaction medium and reactant. J. Supercrit. Fluid. 2007, 39, 362–380. [Google Scholar] [CrossRef]
- Pavlovič, I.; Knez, Z.; Škerget, M. Hydrothermal reactions of agricultural and food processing wastes in sub- and supercritical water: A review of fundamentals, mechanisms, and state of research. J. Agric. Food. Chem. 2013, 61, 8003–8025. [Google Scholar] [CrossRef]
- Zhang, J.; Wen, C.; Zhang, H.; Duan, Y.; Ma, H. Recent advances in the extraction of bioactive compounds with subcritical water: A review. Trends Food Sci. Technol. 2020, 95, 183–195. [Google Scholar] [CrossRef]
- Scapini, T.; Dos Santos, M.S.N.; Bonatto, C.; Wancura, J.H.C.; Mulinari, J.; Camargo, A.F.; Klanovicz, N.; Zabot, G.L.; Tres, M.V.; Fongaro, G.; et al. Hydrothermal pretreatment of lignocellulosic biomass for hemicellulose recovery. Bioresour. Technol. 2021, 342, 126033. [Google Scholar] [CrossRef]
- Velvizhi, G.; Balakumar, K.; Shetti, N.P.; Ahmad, E.; Pant, K.K.; Aminabhavi, T.M. Integrated biorefinery processes for conversion of lignocellulosic biomass to value added materials: Paving a path towards circular economy. Bioresour. Technol. 2022, 343, 126151. [Google Scholar] [CrossRef]
- Świątek, K.; Gaag, S.; Klier, A.; Kruse, A.; Sauer, J.; Steinbach, D. Acid hydrolysis of lignocellulosic biomass: Sugars and furfurals formation. Catalysts 2020, 10, 437. [Google Scholar] [CrossRef]
- Ilanidis, D.; Stagge, S.; Jönsson, L.J.; Martín, C. Effects of operational conditions on auto-catalyzed and sulfuric-acid-catalyzed hydrothermal pretreatment of sugarcane bagasse at different severity factor. Ind. Crops Prod. 2021, 159, 113077. [Google Scholar] [CrossRef]
- Ilanidis, D.; Wu, G.; Stagge, S.; Martín, C.; Jönsson, L.J. Effects of redox environment on hydrothermal pretreatment of lignocellulosic biomass under acidic conditions. Bioresour. Technol. 2021, 319, 124211. [Google Scholar] [CrossRef] [PubMed]
- Castro, E.; Díaz, M.J.; Cara, C.; Ruiz, E.; Romero, I.; Moya, M. Dilute acid pretreatment of rapeseed straw for fermentable sugar generation. Bioresource Technol. 2011, 102, 1270–1276. [Google Scholar] [CrossRef] [PubMed]
- Overend, R.P.; Chornet, E.; Gascoigne, J.A. Fractionation of lignocellulosics by steam/aqueous pretreatments. Philos. Trans. R. Soc. Lond. Ser. A Math. Phys. Sci. 1987, 321, 523–536. [Google Scholar] [CrossRef]
- Ruiz, H.A.; Galbe, M.; Garrote, G.; Ramirez-Gutierrez, D.M.; Ximenes, E.; Sun, S.N.; Lachos-Perez, D.; Rodríguez-Jasso, R.M.; Sun, R.C.; Yang, B.; et al. Severity factor kinetic model as a strategic parameter of hydrothermal processing (steam explosion and liquid hot water) for biomass fractionation under biorefinery concept. Bioresour. Technol. 2021, 342, 125961. [Google Scholar] [CrossRef]
- Chum, H.L.; Johnson, D.K.; Black, S.K.; Overend, R.P. Pretreatment-catalyst effects and the combined severity parameter. Appl. Biochem. Biotechnol. 1990, 24–25, 1–14. [Google Scholar] [CrossRef]
- Liu, F.; Sivoththaman, S.; Tan, Z. Solvent extraction of 5-HMF from simulated hydrothermal conversion product. Sust. Environ. Res. 2014, 24, 149–157. [Google Scholar]
- Sluiter, J.B.; Ruiz, R.O.; Scarlata, C.J.; Sluiter, A.D.; Templeton, D.W. Compositional analysis of lignocellulosic feedstocks. 1. Review and description of methods. J. Agric. Food Chem. 2010, 58, 9043–9053. [Google Scholar] [CrossRef]
- Available online: https://www.nrel.gov/bioenergy/biomass-compositional-analysis.html (accessed on 16 September 2024).
- Van Soest, P.J.; Robertson, J.B.; Lewis, B.A. Methods for dietary fiber, neutral detergent fiber, and nonstarch polysaccharides in relation to animal nutrition. J. Dairy Sci. 1991, 74, 3583–3597. [Google Scholar] [CrossRef]
- Carrier, M.; Loppinet-Serani, A.; Denux, D.; Lasnier, J.M.; Ham-Pichavant, F.; Cansell, F.; Aymonier, C. Thermogravimetric analysis as a new method to determine the lignocellulosic composition of biomass. Biomass Bioenerg. 2011, 35, 298–307. [Google Scholar] [CrossRef]
- Alcazar, A.; Jurado, J.M.; Pablos, F.; Gonzalez, A.G.; Martin, M.J. HPLC determination of 2-furaldehyde and 5-hydroxymethyl-2-furaldehyde in alcoholic beverages. Microchem. J. 2006, 82, 22–28. [Google Scholar] [CrossRef]
- Ferreira, S.L.C.; Dos Santos, W.N.L.; Quitella, C.M.; Neto, B.B.; Bosque-Sendra, J.M. Doehlert matrix: A chemometric tool for analytical chemistry—Review. Talanta 2004, 63, 1061–1067. [Google Scholar] [CrossRef] [PubMed]
- Cerqueira, U.M.F.M.; Bezerra, M.A.; Ferreira, S.L.C.; De Jesus Araújo, R.; Da Silva, B.N.; Novaes, C.G. Doehlert design in the optimization of procedures aiming food analysis–A review. Food Chem. 2021, 364, 130429. [Google Scholar] [CrossRef] [PubMed]
- Chen, X.M.; Izatt, R.M.; Oscarson, J.L. Thermodynamic Data for Ligand Interaction with Protons and Metal Ions in Aqueous Solutions at High Temperatures. Chem. Rev. 1994, 94, 467–517. [Google Scholar] [CrossRef]
- Lloyd, T.A.; Wyman, C.E. Predicted effects of mineral neutralization and bisulfate formation on hydrogen ion concentration for dilute sulfuric acid pretreatment. Appl. Biochem. Biotechnol. 2004, 113–116, 1013–1022. [Google Scholar] [CrossRef]
- Arvela, P.M.; Salmi, T.; Holmbom, B.; Willför, S.; Murzin, D.Y. Synthesis of sugars by hydrolysis of hemicelluloses–A review. Chem. Rev. 2011, 111, 5638–5666. [Google Scholar] [CrossRef]
- Ruiz, H.A.; Sganzerla, W.G.; Larnaudie, V.; Veersma, R.J.; Van Erven, G.; Shiva; Ríos-González, L.J.; Rodríguez-Jasso, R.M.; Rosero-Chasoy, G.; Ferrari, M.D. Advances in process design, techno-economic assessment and environmental aspects for hydrothermal pretreatment in the fractionation of biomass under biorefinery concept. Bioresour. Technol. 2023, 369, 128469. [Google Scholar] [CrossRef]
- Zhu, L.; Xu, H.; Yin, X.; Wang, S. H2SO4 assisted hydrothermal conversion of biomass with solid acid catalysis to produce aviation fuel precursors. iScience 2023, 26, 108249. [Google Scholar] [CrossRef]
- Yu, Y.; Lou, X.; Wu, H. Some recent advances in hydrolysis of biomass in hot-compressed water and its comparisons with other hydrolysis methods. Energy Fuel 2008, 22, 46–60. [Google Scholar] [CrossRef]
- Martins-Vieira, J.C.; Torres-Mayanga, P.C.; Lacos-Pere, D. Hydrothermal processing of lignocellulosic biomass: An overview subcritical and supercritical water hydrolysis. BioEnergy Res. 2022, 16, 1296–1317. [Google Scholar] [CrossRef]
- Lu, X.; Zhang, Y.; Angelidaki, I. Optimization of H2SO4-catalyzed hydrothermal pretreatment of rapeseed straw for bioconversion to ethanol: Focusing on pretreatment at high solids content. Bioresour. Technol. 2009, 100, 3048–3053. [Google Scholar] [CrossRef] [PubMed]
- Zhang, B.; Biswal, B.K.; Zhang, J.; Balasubramanian, R. Hydrothermal treatment of biomass feedstocks for sustainable production of chemicals, fuels, and materials: Progress and perspectives. Chem. Rev. 2023, 123, 11–7193. [Google Scholar] [CrossRef] [PubMed]
- Perez, G.P.; Mukherjee, A.; Dumont, M.-J. Insights into HMF catalysis. J. Ind. Eng. Chem. 2019, 70, 1–34. [Google Scholar] [CrossRef]
- Zhao, Y.; Lu, K.; Xu, H.; Zhu, L.; Wang, S. A critical review of recent advances in the production of furfural and 5-hydroxymethylfurfural from lignocellulosic biomass through homogeneous catalytic hydrothermal conversion. Renew. Sust. Energy Rev. 2021, 139, 110706. [Google Scholar] [CrossRef]
- Bandura, A.V.; Lvov, S.N. The Ionization Constant of Water over Wide Ranges of Temperature and Density. J. Phys. Chem. Ref. Data 2006, 35, 15. [Google Scholar] [CrossRef]
- Chimentão, R.J.; Lorente, E.; Gispert-Guirado, F.; Medina, F.; López, F. Hydrolysis of dilute acid-pretreated cellulose under mild hydrothermal conditions. Carbohydr. Polym. 2014, 111, 116–124. [Google Scholar] [CrossRef]
- Wang, T.; Zhai, Y.; Zhu, Y.; Li, C.; Zeng, G. A review of the hydrothermal carbonization of biomass waste for hydrochar formation: Process conditions, fundamentals, and physicochemical properties. Renew. Sust. Energy Rev. 2018, 90, 223–247. [Google Scholar] [CrossRef]





| Experiment | x1 | x2 | u1 T (°C) | u2 | Yms-exp. (2) (g·kg−1) | Yms-cal. (3) (g·kg−1) | |
|---|---|---|---|---|---|---|---|
| th (min) | t (min) | ||||||
| 1 | +1 | 0 | 190 | 10 | 12.4 | 116.7 | 118.8 |
| 2 | −1 | 0 | 170 | 10 | 11.8 | 143.7 | 141.6 |
| 3 | +0.5 | +0.866 | 185 | 20 | 23.1 | 99.4 | 97.3 |
| 4 | −0.5 | −0.866 | 175 | 0 | 2.1 | 113.5 | 115.6 |
| 5 | +0.5 | −0.866 | 185 | 0 | 2.8 | 141.1 | 139.0 |
| 6 | −0.5 | +0.866 | 175 | 20 | 22.1 | 141.2 | 143.3 |
| 7 | 0 | 0 | 180 | 10 | 11.5 | 173.8 | 161.4 |
| 7′ (1) | 0 | 0 | 180 | 10 | 12.4 | 155.9 | 161.4 |
| 7″ (1) | 0 | 0 | 180 | 10 | 11.8 | 154.4 | 161.4 |
| Experiment | Experimental Series 1 | |||||
|---|---|---|---|---|---|---|
| Log Ro | CSF | YWI (1) (g·kg−1) | Content in the WI Fractions (g·kg−1) | |||
| H (2) | C (3) | L (4) | ||||
| 1 | 3.74 | 1.89 | 497.0 | 8.9 | 528.9 | 350.6 |
| 2 | 3.13 | 1.33 | 538.5 | 22.1 | 505.5 | 349.5 |
| 3 | 3.87 | 1.95 | 502.1 | 8.5 | 532.0 | 362.1 |
| 4 | 2.53 | 0.78 | 572.8 | 61.1 | 501.5 | 296.7 |
| 5 | 2.95 | 1.15 | 532.0 | 48.7 | 520.0 | 317.6 |
| 6 | 3.55 | 1.75 | 517.4 | 15.4 | 511.1 | 342.2 |
| 7 (5) | 3.43 | 1.59 | 515.4 | 15.6 | 513.5 | 327.5 |
| Experiment | u1 T (°C) | u2 | Y5-HMF-exp. (2) (g·kg−1) | Y5-HMF-cal. (3) (g·kg−1) | |
|---|---|---|---|---|---|
| th (min) | t (min) | ||||
| 1 | 210 | 5 | 6.8 | 108.8 | 105.3 |
| 2 | 190 | 5 | 7.3 | 105.6 | 109.1 |
| 3 | 205 | 10 | 12.1 | 104.1 | 107.6 |
| 4 | 195 | 0 | 2.1 | 127.9 | 124.4 |
| 5 | 205 | 0 | 2.8 | 131.4 | 134.9 |
| 6 | 195 | 10 | 12.1 | 125.3 | 121.8 |
| 7 | 200 | 5 | 7.5 | 138.8 | 138.1 |
| 7′ (1) | 200 | 5 | 7.4 | 138.0 | 138.1 |
| 7″ (1) | 200 | 5 | 7.8 | 137.5 | 138.1 |
| Experiment | Experimental Series 2 | |||||
|---|---|---|---|---|---|---|
| Log Ro | CSF | YWI (1) (g·kg−1) | Content in the WI Fractions (g·kg −1) | |||
| H (2) | C (3) | L (4) | ||||
| 1 | 3.65 | 2.39 | 476.6 | 0.0 | 8.1 | 892.2 |
| 2 | 3.51 | 2.28 | 570.1 | 0.0 | 122.3 | 670.0 |
| 3 | 4.18 | 2.89 | 469.8 | 0.0 | 7.6 | 930.7 |
| 4 | 3.12 | 1.89 | 547.1 | 0.0 | 74.8 | 657.2 |
| 5 | 3.54 | 2.31 | 503.8 | 0.0 | 12.6 | 745.8 |
| 6 | 3.88 | 2.64 | 525.6 | 0.0 | 14.7 | 853.3 |
| 7 5 | 3.83 | 2.61 | 507.5 | 0.0 | 5.2 | 859.9 |
Disclaimer/Publisher’s Note: The statements, opinions and data contained in all publications are solely those of the individual author(s) and contributor(s) and not of MDPI and/or the editor(s). MDPI and/or the editor(s) disclaim responsibility for any injury to people or property resulting from any ideas, methods, instructions or products referred to in the content. |
© 2024 by the authors. Licensee MDPI, Basel, Switzerland. This article is an open access article distributed under the terms and conditions of the Creative Commons Attribution (CC BY) license (https://creativecommons.org/licenses/by/4.0/).
Share and Cite
Pińkowska, H.; Krzywonos, M.; Wolak, P.; Złocińska, A. Valorization of White Lupin Straw Through Mild Dilute Acid Hydrothermal Treatment: A Sustainable Route for Monosaccharide and 5-Hydroxymethylfurfural Production. Energies 2024, 17, 5668. https://doi.org/10.3390/en17225668
Pińkowska H, Krzywonos M, Wolak P, Złocińska A. Valorization of White Lupin Straw Through Mild Dilute Acid Hydrothermal Treatment: A Sustainable Route for Monosaccharide and 5-Hydroxymethylfurfural Production. Energies. 2024; 17(22):5668. https://doi.org/10.3390/en17225668
Chicago/Turabian StylePińkowska, Hanna, Małgorzata Krzywonos, Paweł Wolak, and Adrianna Złocińska. 2024. "Valorization of White Lupin Straw Through Mild Dilute Acid Hydrothermal Treatment: A Sustainable Route for Monosaccharide and 5-Hydroxymethylfurfural Production" Energies 17, no. 22: 5668. https://doi.org/10.3390/en17225668
APA StylePińkowska, H., Krzywonos, M., Wolak, P., & Złocińska, A. (2024). Valorization of White Lupin Straw Through Mild Dilute Acid Hydrothermal Treatment: A Sustainable Route for Monosaccharide and 5-Hydroxymethylfurfural Production. Energies, 17(22), 5668. https://doi.org/10.3390/en17225668

