Next Article in Journal
Electric Vehicles for a Flexible Energy System: Challenges and Opportunities
Previous Article in Journal
Evaluation Method of Water Injection Development Effects in Fractured Vuggy Carbonate Reservoirs: Case Study of FI7 Strike-Slip Fault Zone
 
 
Font Type:
Arial Georgia Verdana
Font Size:
Aa Aa Aa
Line Spacing:
Column Width:
Background:
Article

Research on the Internal Flow and Cavitation Characteristics of Petal Bionic Nozzles Based on Methanol Low-Pressure Injection

School of Traffic and Vehicle Engineering, Shandong University of Technology, Zibo 255022, China
*
Author to whom correspondence should be addressed.
Energies 2024, 17(22), 5612; https://doi.org/10.3390/en17225612
Submission received: 14 October 2024 / Revised: 3 November 2024 / Accepted: 7 November 2024 / Published: 9 November 2024
(This article belongs to the Section K: State-of-the-Art Energy Related Technologies)

Abstract

This paper aims to discuss the internal flow and cavitation characteristics of petal bionic nozzle holes under different injection pressures to improve the atomization effect of methanol. The FLUENT (v2022 R1) software is used for simulation. The Schnerr-Sauer cavitation model in the Mixture multiphase flow model is adopted, considering the evaporation and condensation processes of methanol fuel to accurately simulate cavitation and internal flow performance. The new nozzle hole is compared with the ordinary circular nozzle hole for analysis to ensure research reliability. The results show that the cavitation of the petal bionic nozzle hole mainly occurs at the outlet, which can enhance the atomization effect. In terms of turbulent kinetic energy, the internal turbulent kinetic energy of the petal bionic nozzle hole is greater under the same pressure. At 1 MPa, its outlet turbulent kinetic energy is 38.37 m2/s2, which is about 2.3 times that of the ordinary circular nozzle hole. When the injection pressure is from 0.2 MPa to 1 MPa, the maximum temperature of the ordinary circular nozzle hole increases by about 33.4%, while that of the petal bionic nozzle hole only increases by 12.3%. The intensity of internal convection and vortex is significantly reduced. The outlet velocity and turbulent kinetic energy distribution of the petal bionic nozzle hole are more uniform. In general, the internal flow performance of the petal bionic nozzle hole is more stable, which is beneficial to the collision and fragmentation of droplets and has better uniformity of droplet distribution. It has a positive effect on improving the atomization effect of methanol injection in the intake port of methanol-diesel dual-fuel engines.

1. Introduction

Recently, the International Maritime Organization (IMO) has elevated the emission standards for ships to enhance the global ecological environment and alleviate the impacts of global warming. As a result, there is an urgent necessity to reform the combustion method of traditional marine diesel engines [1,2,3]. High-carbon fossil fuels, including diesel, gasoline, and heavy fuel oil, dominate the power source for transportation, particularly in the case of heavy-duty vehicles and ships [4,5,6]. Several affluent countries are now developing electric-powered transportation systems in order to disrupt this trend. However, due to their high torque demands, diesel fuel remains the only viable option for operating heavy trucks and marine-based vehicles [7]. Nevertheless, the exhaust from traditional marine diesel engines contains abundant amounts of NOx and PM. The emission capacity of pollutants thereof can even be dozens of times that of gasoline engines. These pollutants pose a severe threat to the environment. Inhaling the pollutants in the exhaust gas has a significant negative impact on human health [8,9]. Internal combustion engines mostly rely on non-renewable fossil fuels as their energy source. Utilizing renewable energy rather than fossil fuels is a crucial path for the future advancement of internal combustion engines, with the aim of promoting long-term human growth [10,11,12]. Methanol, being a renewable energy source, possesses a notable energy density and can be burned with great efficiency and minimal pollution. Methanol is a highly suitable substitute fuel for marine diesel engines due to its minimal production of pollutants compared to fossil fuels and its ability to avoid the formation of carbon smoke [13,14,15]. Currently, the L6230 dual-fuel engine experiences occasional poor atomization of methanol intake jets, resulting in an inadequate mixture of methanol and air. This issue negatively impacts the performance of the internal combustion engine. The structural characteristics of the methanol nozzle have a direct impact on the atomization efficiency of methanol in the intake system. Atomization is commonly categorized into two primary stages: the initial rupture of droplets and the subsequent secondary rupture. These events primarily occur in the vicinity of the orifice during the initial atomization process. In addition to gas-liquid interactions, the turbulence within the nozzle and the influence of cavitation also contribute to this phenomenon [16].
The flow conditions within the nozzle, encompassing flow velocity, flow direction, and turbulence intensity, play a pivotal role in atomization characteristics. A higher flow velocity endows the liquid with greater initial kinetic energy, facilitating its fragmentation into smaller droplets upon ejection, thereby enhancing the atomization effect. An increase in the degree of turbulence augments fluid mixing and disturbance, which is conducive to liquid fragmentation and further promotes atomization. Research has demonstrated that by optimizing the nozzle structure and ameliorating the uniformity and turbulence characteristics of the internal flow, the atomization effect can be significantly improved. Internal cavitation refers to the phenomenon of bubble formation in the liquid due to pressure variations inside the nozzle. The generation and development of cavitation have a crucial impact on atomization characteristics [17]. On one hand, the formation and collapse process of bubbles can increase the degree of turbulence of the liquid and promote the fragmentation and atomization of the liquid. For instance, in some specific nozzle designs, rationally utilizing the cavitation effect can enhance atomization efficiency. On the other hand, cavitation may also lead to energy loss and flow instability within the nozzle, having an adverse effect on atomization. It has been found that factors such as the geometric structure of the nozzle, the physical properties of the liquid, and external environmental conditions can influence the occurrence and degree of cavitation. For example, in diesel engine fuel injection systems, the nozzle geometric structure has a significant impact on the cavitation process. A tapered nozzle will inhibit the formation of cavitation, while a divergent nozzle is conducive to cavitation formation. Reducing the nozzle diameter is also unfavorable for cavitation formation. An increase in environmental pressure will likewise inhibit cavitation [18,19]. The outlet mass flow rate reflects the mass of liquid passing through the nozzle per unit of time. The magnitude of the outlet mass flow rate directly affects the degree of atomization and the morphology of the spray. A larger outlet mass flow rate can increase the coverage and density of the spray. Conversely, a smaller outlet mass flow rate will limit the coverage of the spray [20]. The injection environmental back pressure, methanol temperature, and the pitch of the spiral groove studied in this paper are all important factors that affect the internal flow, cavitation, and outlet mass flow rate of the nozzle.
Recently, there has been a continuous emergence of new processing technologies, particularly in the field of spray hole processing. Notably, EDM, laser drilling, and 3D printing technologies have played a significant role in enabling the creation of more intricate spray hole shapes. Hence, these sophisticated technologies can be employed to create a more intricate design on the nozzle, and the alteration of this design will impact the flow condition of the cavitation of the methanol fuel, consequently influencing the atomization properties [21]. The strength of cavitation and turbulence within the alcohol injector is directly influenced by the internal geometry of the nozzle, which in turn impacts the atomization properties in the vicinity of the nozzle output. The calculations involving fluid dynamics demonstrate that the geometry of an object has an impact on several factors, such as pressure, turbulent kinetic energy, flow velocity, distribution of cavities, and the shape of the spray pattern within the orifice [22]. Prasetya et al. [23] found that at low needle lift, vortex ring flow forms in the sac, which may induce helical flow in the nozzle, resulting in a large jet angle. Furthermore, it is reported that spray characteristics are strongly affected by the hole geometry of the nozzle among all the factors [24].
Yu et al. [25] integrated experimental data and numerical simulations to analyze the internal flow characteristics and downstream atomization quality of a GDI nozzle featuring a large aspect ratio elliptical orifice. The study results indicate that the asymmetrical distribution of cavitation within the elliptical orifice is the primary factor contributing to the distinctive downstream spray pattern. Chen et al. [26] conducted an investigation on the near-field spray behaviors of elliptical orifices within diesel nozzles, taking into account the internal flow features of the nozzle. The results revealed that the spray cone angle of the near-field spray generated by elliptical orifices was greater than that of circular orifices, suggesting that elliptical orifices have the potential to enhance the atomization and mixing quality of the fuel spray. In 2021, Bowen Sa and colleagues conducted a study on the internal flow characteristics of a nozzle that featured a helical counter groove milled on the surface of the needle valve [27]. The researchers discovered that the helical counter groove on the needle valve amplified the turbulent motion within the nozzle, hence promoting the formation of cavitation within the orifice. In 2022, Leng et al. [28] developed a helical fluted orifice nozzle that could induce a swirling flow in the internal flow. This swirling flow increased the disturbance of the liquid jet and improved its fragmentation. In the same year, Leng et al. [29] developed a spiral petal orifice nozzle with a guide groove on the inner wall and a cross-section resembling a flower petal. They used the VOF-LES method to calculate the multiphase flow inside the nozzle. This analysis provided insights into the internal flow characteristics of the spiral petal orifice nozzle and the primary fragmentation of the jet. The study also highlighted that the guide groove enhances the radial force of the jet upon exiting the nozzle, thereby facilitating atomization. In 2023, Bar et al. [30] studied the influence of nozzle diameter and pressure on nozzle angle and flow rate in greenhouse cultivation. The study found that pressure is directly related to the spray angle. Increasing pressure will increase the spray angle inside the nozzle. At the same time, it was also found that by using spray systems and optimizing nozzle design to control humidity and temperature in greenhouses, the speed and uniformity of plant growth can be improved, and the yield and quality of greenhouse-cultivated plants can be enhanced. In a study conducted in 2023, Bagherpoor et al. [31] investigated the internal flow and atomization characteristics of spiral nozzles using AVL-Fire software (v2010). The researchers discovered that the inclusion of spiral nozzles resulted in a wider cone angle for the fuel spray and increased turbulence within the combustion chamber. In 2023, Li et al. [32] conducted a study on the atomization properties of a nozzle with a tapered and cylindrical aperture. The researchers discovered that the limitation of the orifice flow channel is the primary factor that influences the spray performance.
Research findings indicate that the curved structure of the lotus-shaped petals renders the internal flow field of the nozzle more stable [33,34]. The shape of the petals guides the fluid flow, reducing the generation of turbulence and vortices. For instance, the gradually curved shape of the petals enables the fluid to flow along a specific path, avoiding flow field disturbances caused by sudden geometric changes. Compared with traditional straight, cylindrical, or simply geometrically shaped nozzles, the fluid flow within the bionic nozzle is more orderly, which contributes to enhancing the working efficiency and reliability of the nozzle. Consequently, a petal bionic nozzle has been designed based on the curved surface structure of lotus petals, and the structure of the petal bionic nozzle is depicted in Figure 1. This paper conducts a detailed discussion on the internal flow performance of this nozzle and compares and analyzes this bionic nozzle with a common circular nozzle to explore whether the petal bionic nozzle has a positive effect on improving the atomization effect.
The literature review shows that many scholars have studied and improved the nozzle structure, and there are numerous related research literatures that provide ideas and methods for my research on petal bionic nozzles [35,36]. The shape of the nozzle orifice is among the most crucial factors influencing its internal flow and atomization characteristics. Optimizing the nozzle orifice structure represents a significant approach for enhancing fuel atomization performance and spray characteristics. In a methanol-diesel dual-fuel engine, the atomization effect of methanol during low-pressure injection in the intake tract is sometimes less than satisfactory. To enhance the atomization effect of methanol injection and achieve more complete combustion, there is an urgent necessity to improve the nozzle orifice structure and optimize the injection parameters. Additionally, at present, there is scarcely any research on applying bionic nozzle orifices to methanol injection in the intake tract. To address this gap, a novel lotus petal bionic nozzle orifice structure for methanol injection is proposed and applied to low-pressure methanol injection in the intake tract. Compared with the existing research findings, this paper offers the following four contributions: (1) A novel petal bionic nozzle orifice is designed and applied to low-pressure injection of methanol fuel; (2) The influence law of injection pressure on the internal flow and cavitation characteristics of the new nozzle orifice is analyzed; (3) The influence law and principle of the curved surface structure of the petal bionic nozzle orifice on the internal flow characteristics of the nozzle orifice are investigated; (4) The internal flow characteristics of the new nozzle orifice and the ordinary circular nozzle orifice are compared and analyzed, and, more intuitively, the reasons for the better atomization effect of the new nozzle orifice are derived.

2. Establishment of a Simulation Model

2.1. Mathematical Modeling

The jet atomization process of methanol fuel involves a state where gas and liquid coexist, forming a two-phase flow. It is important to note that both phases are incompressible. Therefore, the simulation utilizes the Schnerr-Sauer cavitation model within the Mixture multiphase flow model. The fluid consists of a homogenous mixture of gas and liquid phases. There is a significant transfer of matter between the gas and the liquid. In order to simulate the cavitation phenomenon, it is essential to consider the evaporation and condensation of the methanol fuel. This can be achieved by solving the continuum phase equations, momentum equations, energy equations, and individual equations as described below.
  • It is assumed that the fluid is continuous on a macroscopic scale without obvious discontinuities or voids, and the fluid satisfies the classical form of the law of conservation of mass, with no generation or disappearance of mass. The continuity equation for the mixed phase is shown as Equation (1):
( ρ m ) + ( ρ m V m ) = 0
where V m is the mass average velocity of the mixed phase. Its definition is shown as Equation (2):
V m = k = 1 n α k ρ k V k ρ m
where α k is the volume fraction of phase k, ρ k is the density of phase k, V k is the mass-averaged rate of phase k, and ρ m is the mixed phase density, which is defined as follows:
ρ m = k = 1 n α k ρ k
This model is unable to consider the possible molecular discrete effects at the microscopic scale. Inside the nozzle holes, if there are microscopic gas-liquid interface fluctuations or extremely fine droplet dispersion situations, this model may not be able to describe them accurately.
2.
It is assumed that the fluid is a Newtonian fluid, where the viscous force has a linear relationship with the velocity gradient, and the wall surface is smooth without any special physicochemical effects influencing the momentum transfer of the fluid. The momentum equation for the mixed phase is shown as Equation (4) [37]:
t ( ρ m V m ) + ( ρ m V m V m ) = p + [ μ m ( V m + V m T ) ] + ρ m g + F + ( k = 1 n α k ρ k V d r , k V d r , k )
In the above equation, n is the number of phases, p is the pressure, g is the gravitational force, F is the volumetric force, and μ m is the viscosity of the mixed phase, which is defined as:
μ m = k = 1 n α k μ k
where μ k is the viscosity of phase k. Equation (4), where V d r , k is the drag velocity of phase k, can be defined as follows:
V d r , k = V k V m
This equation is unable to accurately describe complex wall boundary conditions such as wall roughness and wall chemical reactions. If there are special coatings or corrosion on the nozzle wall surface, the momentum exchange between the fluid and the wall will be affected, but this cannot be reflected by this equation.
3.
It is assumed that the energy transfer within the system is mainly achieved through heat conduction, interphase energy transfer terms, and other considered volumetric heat source terms, while ignoring other possible energy transfer pathways. The energy equation for the mixed phase is shown as Equation (7) [37]:
t k = 1 n ( α k ρ k E k ) + k = 1 n ( α k V k ( ρ k E k + p ) ) = ( k e f f T ) + S E
where k e f f is the effective thermal conductivity, S E is the other volumetric heat source term, and E k is defined as:
E k = h k p ρ k + υ k 2 2
where h k is the sensible enthalpy of phase k. The assumptions of this model regarding the energy transfer between different phases may be overly simplified. In reality, the interphase energy transfer may be complexly influenced by multiple factors such as interfacial tension and particle size.
4.
It is assumed that the growth and rupture processes of bubbles are mainly determined by factors such as the pressure difference between the inside and outside of the bubble and the densities of the gas phase and the liquid phase, while ignoring other secondary factors that may affect bubble dynamics. In this paper, Schnerr and Sauer’s cavitation model is used to simulate the liquid-vapor mass transfer (evaporation and condensation) [38,39]:
t ( α ρ v ) + ( α ρ v V v ) = R e R c
where v denotes the gas phase, ρ v is the gas phase density, V v is the mixed phase velocity, and α is the gas phase volume fraction, which is defined as follows:
α = n b 4 3 π R b 3 1 + n b 4 3 π R b 3
where n b is the number density of bubbles per unit volume of liquid and R b is the radius of the bubble, defined as follows:
R b = ( 3 α 4 π n b ( 1 α ) ) 1 3
R b and R c are the mass transport source terms for bubble growth and rupture, respectively. Their definitions are as follows:
R e = ρ v ρ l ρ α ( 1 α ) 3 R b 2 ( P v P ) ρ l w h e n   P v > P
R c = ρ v ρ l ρ α ( 1 α ) 3 R b 2 ( P P v ) ρ l w h e n   P v < P
where P v is the saturated vapor pressure and P is the local far-field pressure. This model is derived based on some simplified assumptions and is unable to accurately describe complex cavitation phenomena, such as the interactions between cavitation bubbles and the coupling between cavitation bubbles and turbulence.
5.
It is assumed that the turbulence is isotropic, that is, the statistical properties of the turbulence are the same in all directions, and the generation, dissipation, and diffusion processes of the turbulent kinetic energy conform to the empirical formulas given in the model. The standard k ε turbulence model is shown as Equations (14) and (15) [40]:
t ( ρ k ) + ( ρ v k ) = ( η t σ k k ) + G k ρ ε
t ( ρ ε ) + ( ρ v ε ) = η t σ ε ε + ε k ( C 1 ε G k C 2 ε ρ ε )
where the turbulent viscosity of the mixed phase is calculated as follows:
η t = ρ C μ k 2 ε
Turbulent kinetic energy generation is calculated as:
G k = η t v v + ( v ) Γ
Constants in the model: C 1 ε = 1.44 , C 2 ε = 1.92 , σ k = 1 , σ ε = 1.3 , C μ = 0.09 , k = 0.42 . This model is an empirical model based on the assumption of isotropic turbulence and is unable to accurately capture some special turbulence phenomena, such as intermittent turbulence and rotating turbulence.
6.
Definition of flow coefficient:
The ratio of the actual flow rate to the theoretical flow rate is defined as the flow coefficient with the following formula:
C d = m A × 2 × ρ × Δ p
where m is the actual mass flow rate, A is the cross-sectional area of the orifice outlet, ρ is the liquid density, and Δ p is the pressure drop.

2.2. Geometric Parameters of the Blowhole

The FLUENT software was utilized to numerically simulate the three-dimensional, two-phase flow in the orifice of the alcohol injector in the intake tract of the L6230 methanol-diesel dual-fuel engine. The structural modification design of the alcohol injector was conducted. The basic geometric parameters of the ordinary circular methanol nozzle of the L6230 engine are shown in Table 1. The physical and chemical properties of the methanol fuel used in the simulation experiment are presented in Table 2.
Figure 2 shows the structural schematic diagrams of two types of nozzles. Figure 2a presents the three-dimensional model of the petal bionic nozzle, Figure 2b shows the dimension annotation of the nozzle, Figure 2c illustrates the structure and relevant dimension annotation of the ordinary circular nozzle used for simulation calculation, and Figure 2d shows the structure and relevant dimension annotation of the petal bionic nozzle used for simulation calculation. Figure 2c,d are 1/8 three-dimensional flow field models corresponding to the alcohol injector. The diameter, length, and inlet fillet radius of the improved petal bionic nozzle are consistent with those of the nozzle of the alcohol injector of the aforementioned L6230 model machine. The difference lies in that the nozzle wall surface changes from a straight line to a petal-shaped, curved surface structure.

2.3. Setting of the Solution Area

2.3.1. Grid Division

The eight nozzles of the alcohol injector are evenly distributed along the axis of the needle valve in a circular pattern. To improve the computational efficiency and observe the internal flow situation of the nozzles more accurately, 1/8 of the entire nozzle’s flow field is selected as the computational region, and the nozzle model is enlarged by a factor of 20 proportionally for simulation calculations. Meshing is used to mesh the three-dimensional model. To improve the calculation accuracy, the nozzle and its surrounding area are subjected to mesh refinement treatment. Figure 3 is a schematic diagram of the mesh generation of the nozzle fluid domain.

2.3.2. Boundary Conditions

In the simulation calculation, both the fluid inlet and outlet are pressure boundaries. The injection pressure is one of the variables studied in this paper. If the inlet pressure is set as P i n , then P i n = p ( p is the injection pressure variable studied, and the range is 0.2 MPa–1 MPa). It has been found that when the injection pressure is lower than 0.2 MPa, the atomization effect of methanol injected in the intake port decreases sharply, seriously affecting the atomization characteristics of methanol; when the injection pressure is higher than 1 MPa, the higher injection pressure in the intake port will cause the combustion chamber in the engine cylinder to detonate, which is not conducive to improving the power performance of the engine. Therefore, the research range of the injection pressure is set as 0.2 MPa–1 MPa. Set the outlet pressure as P o u t , then P o u t = 40   KPa . The outlet pressure is fixed at 40   KPa . This is to simulate the pressure environment at the nozzle outlet in practical applications, making the simulation results more in line with the actual situation. When 1/8 of the three-dimensional flow field model is intercepted as the calculation region, the two generated sections have the same rotational periodic boundary conditions, and it is considered that there is no pressure drop across the plane of this periodic boundary. Regarding the convergence criteria, for the energy equation, the residual convergence standard is set at 1 × 10 7 to ensure the accuracy of energy calculation. The residual convergence standards for the continuity equation and the momentum equation are set at 1 × 10 4 , considering the importance of fluid flow characteristics and pressure distribution during the cavitation process. For the cavitation model equation, the residual convergence standard is set at 1 × 10 4 to ensure the accurate simulation of the cavitation phenomenon.

2.4. Model Validation

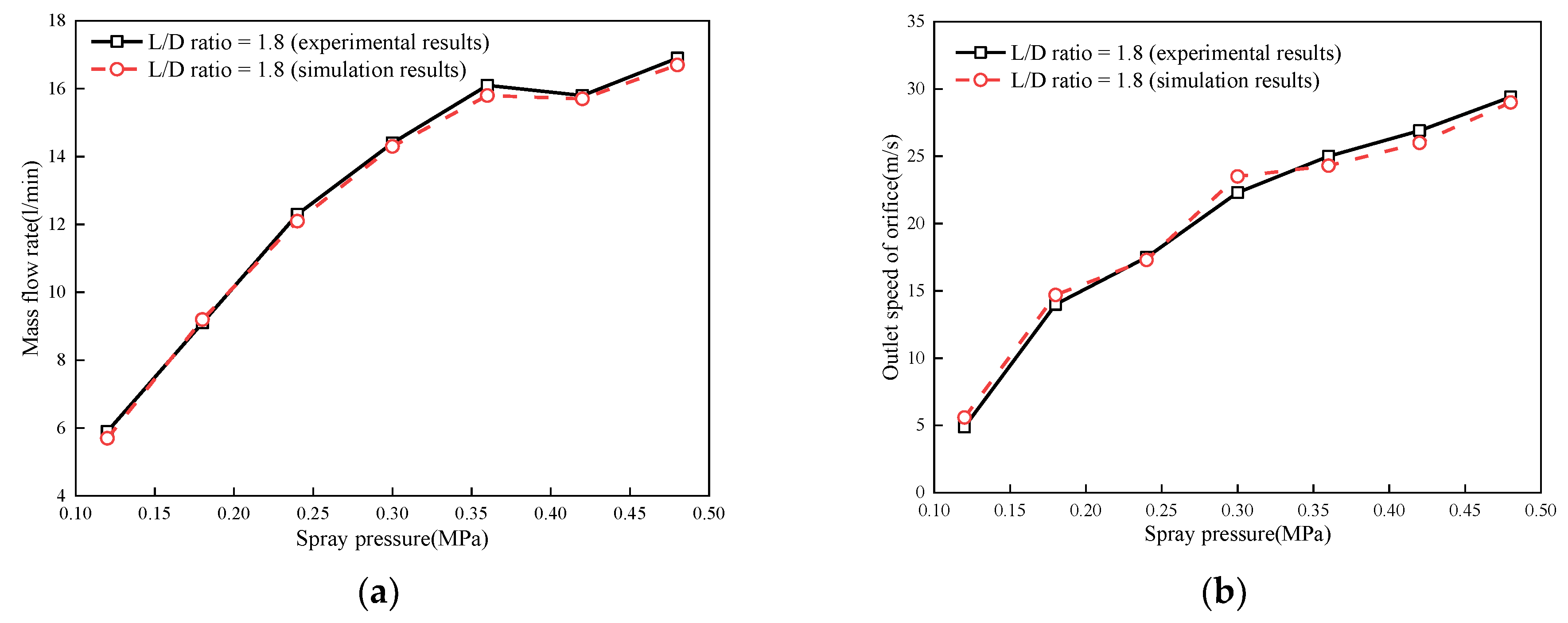
The parameters of the model size employed in the model validation are identical to those of the nozzle size in the experiment carried out by Suh et al. [41], with the relevant model parameters depicted in Figure 4. Diesel is chosen as the fluid for simulation purposes, and the resultant simulation outcomes are compared with those of the experiment by Suh et al. to authenticate the accuracy of the simulation results. As illustrated in Figure 5, there are comparisons of the position and size of the cavitation area within the nozzle orifice obtained from both simulation and experiment when the mass flow rates are 10.22 L/min and 15.98 L/min, respectively. It can be observed that the position and area of the cavitation area derived from the simulation are in accordance with those in the experiment. The comparisons of the experimental and simulation results regarding the mass flow rate and the nozzle orifice outlet velocity are presented in Figure 6a and Figure 6b, respectively. Evidently, the experimental results and the simulation results are in excellent agreement, with the errors of each test point being less than 5%. The simulation data are in line with the research conclusions of previous studies. Consequently, this theoretical simulation model can be utilized for the subsequent research on the internal cavitation and flow characteristics of the petal-biomimetic nozzle orifice.
The quality of mesh division is an important factor affecting the simulation results. In order to reduce the experimental error caused by the mesh quality problem and improve the accuracy of the simulation results, the mesh quality is now verified. Using the 1/8 three-dimensional model of the ordinary circular nozzle hole, set the inlet pressure as 0.2 MPa and the outlet pressure as 40,000 Pa. As shown in Figure 7, the variation curve of the outlet mass flow rate of the nozzle hole is obtained under different mesh size conditions. It can be seen from the curve that as the mesh size continuously decreases, the variation trend of the outlet mass flow rate of the nozzle hole gradually slows down. Taking the outlet mass flow rate value when the mesh size is 0.04 mm as the reference point for error calculation, the error value table, as shown in Table 3, is obtained. Observing the error data, it can be known that when the mesh size is 0.04 mm, the error of the simulation result is less than 5% compared with the errors of other mesh sizes, which can effectively ensure the reliability of the simulation results. Therefore, the three-dimensional model when the mesh size is 0.04 mm is selected for simulation calculation, which not only ensures the accuracy of the simulation results but also reduces the calculation amount.

3. Analysis of Experimental Results

As shown in Table 4 below, the pressure distribution nephograms are inside the two types of nozzle holes. Observing the images, it can be seen that the pressure inside the nozzle holes presents a stepped distribution. The high-pressure areas of both nozzle holes are distributed in the flow channel of the alcohol injector before the nozzle hole inlet. For the ordinary circular nozzle hole, the pressure at the inlet of the nozzle hole decreases very rapidly, and the medium-pressure area is only distributed in a small part of the inlet area, thus forming a large low-pressure area inside the entire nozzle hole, and the distribution is relatively uniform. The low-pressure area is reduced below the saturated vapor pressure of methanol, so cavitation is extremely likely to occur inside the ordinary circular nozzle hole. The special curved surface structure of the petal bionic nozzle hole makes a medium-pressure area distributed from the expansion section to the contraction section inside the nozzle hole, and the low-pressure area is mainly distributed in a small range from the contraction section to the nozzle hole outlet, thereby suppressing the cavitation phenomenon in the expansion section and making the cavitation mainly occur at the nozzle hole outlet.
The cavitation phenomenon is a process in which bubbles are formed in a liquid due to the pressure change inside a nozzle. When the local pressure is reduced below the saturated vapor pressure of the liquid, the liquid starts to vaporize and form bubbles. The growth and rupture processes of bubbles involve the conversion and transfer of energy. During the growth process, the bubbles absorb the energy of the surrounding liquid, leading to a reduction in local pressure; during the rupture process, the bubbles release energy, generating pressure fluctuations and microjets. These energy changes and hydrodynamic processes have important impacts on the fluid flow characteristics inside the nozzle hole and are one of the key factors affecting the atomization effect. In Table 5, cloud diagrams of the methanol gas-phase volume fraction for two types of nozzles under different injection pressures are presented. It can be observed from the diagrams that for the common circular nozzle, the internal cavitation region initiates at the nozzle inlet and gradually extends toward the nozzle outlet as the injection pressure increases. For the petal bionic nozzle, the internal cavitation region mainly occurs at the nozzle outlet, which has a more direct impact on the atomization effect. The microjets and shock waves generated by the collapse of cavitation bubbles near the outlet directly act on the droplets, enabling the droplets to obtain additional energy and momentum, thereby reducing the droplet size, changing the droplet velocity distribution, and enhancing the atomization effect. With the increase in injection pressure, the cavitation regions of both nozzle holes show a gradually increasing trend. When the injection pressure reaches 0.8 MPa, due to the excessively high pressure, a large number of bubbles are rapidly generated and aggregated and “supercavitation” occurs inside the ordinary circular nozzle hole. “Supercavitation” can significantly enhance the shearing and breaking effects of droplets, making the droplets finer and thus improving the atomization effect. However, “supercavitation” is a highly dynamic and unstable process. It greatly changes the pressure distribution of the internal flow field, causes a sudden drop in local pressure, and, at the same time, leads to a highly uneven velocity distribution, forming high-speed jet and vortex regions. This extreme situation seriously affects fluid stability, hinders normal flow, and exacerbates the wear of the nozzle wall. Because violent movement and collapse of the bubbles generate strong impact forces, a large amount of energy will also be dissipated in forms such as heat energy and sound energy. The cavitation region of the petal bionic nozzle is mainly distributed at the nozzle outlet, avoiding some negative impacts brought about by the “supercavitation” phenomenon while improving the atomization effect.
Turbulent kinetic energy is a physical quantity that describes the intensity of the turbulent motion of a fluid. Inside the nozzle hole, the magnitude and distribution of the turbulent kinetic energy reflect the turbulent characteristics of the fluid. A relatively high turbulent kinetic energy is beneficial to the breakup and atomization of droplets and is one of the key factors for improving the atomization effect. It changes the size and distribution of droplets by enhancing the mixing and disturbance of the fluid, thereby influencing the fluid-flow characteristics and atomization effect within the nozzle hole. As shown in Table 6, the cloud diagrams of the turbulent kinetic energy distribution inside the two nozzles when spraying under different injection pressures are presented. It can be observed that when the injection pressure is the same, the turbulent kinetic energy inside the petal bionic nozzle is significantly greater than that inside the common circular nozzle. For example, when the injection pressure is 0.2 MPa, due to the special curved surface structure of the petal bionic nozzle, the area of the fluid region inside the nozzle is increased, making the turbulent kinetic energy distribution region inside it larger. Moreover, the turbulent kinetic energy shows a gradually increasing trend from the nozzle wall to the middle of the nozzle, and a relatively large, concentrated region of turbulent kinetic energy will be generated in the middle of the nozzle, which is beneficial for intensifying the rotation and shear stress of the liquid, thereby producing finer droplets. At the same time, it can increase the radial velocity of the droplets and promote the diffusion of the droplets. As the injection pressure increases from 0.2 MPa to 1 MPa, the area of the region with a large concentrated distribution of turbulent kinetic energy inside the common circular nozzle continuously decreases; the turbulent kinetic energy distribution region inside the petal bionic nozzle is almost unaffected by changes in injection pressure, and the stability of turbulent kinetic energy distribution is better, which is beneficial for the stable flow of fluid inside the nozzle. This is attributed to the fact that the complex flow field generated by the curved surface structure exhibits a certain adaptability to pressure variations. As the pressure rises, although the overall fluid velocity may increase, the vortices and perturbations induced by the curved surface persist, thereby maintaining a relatively stable distribution region of turbulent kinetic energy. This stability exerts a positive influence on the profile of the internal flow field within the nozzle, guaranteeing the continuity of fluid flow, rendering the droplet fragmentation process more consistent, and resulting in a more uniform energy distribution.
Figure 8 shows a curve diagram of the turbulent kinetic energy at the outlet of the two nozzles changing with the injection pressure. It can be seen from the figure that the outlet turbulent kinetic energy of both nozzles shows a continuously increasing trend as the injection pressure increases from 0.2 MPa to 1 MPa, but the increasing trend of the bionic nozzle is more significant. When the injection pressure is the same, the outlet turbulent kinetic energy value of the petal bionic nozzle is greater. When the injection pressure is 1 MPa, the outlet turbulent kinetic energy of the petal bionic nozzle is 38.37 m2/s2. At this time, the outlet turbulent kinetic energy value of the common circular nozzle is 16.71 m2/s2 and the outlet turbulent kinetic energy of the petal bionic nozzle is about 2.3 times that of the common circular nozzle. In the interval from the injection pressure increasing from 0.2 MPa to 1 MPa, the outlet turbulent kinetic energy of the common circular nozzle increases from 4.53 m2/s2 to 16.71 m2/s2, increasing by about 3.7 times; the outlet turbulent kinetic energy of the petal bionic nozzle increases from 7.73 m2/s2 to 38.37 m2/s2, increasing by about 5 times. It can be seen that the turbulent kinetic energy of the petal bionic nozzle is greater and changes more significantly with the injection pressure, which has a positive effect on enhancing the collision and fragmentation of droplets and improving the atomization effect.
Figure 9 shows velocity vector distribution images inside the two types of nozzle holes. Observing Figure 9a, it is found that the velocity distribution inside the ordinary circular nozzle hole is relatively simple. Due to the action of the viscous force of methanol liquid, the velocity at the nozzle hole wall is relatively small. Inside the nozzle hole, the velocity shows a gradually increasing trend from the wall to the middle of the nozzle hole. The velocity is mainly distributed along the axial direction of the nozzle hole, and there is almost no backflow or flow separation phenomenon. However, as shown in Figure 9b, due to its special curved surface structure, the petal bionic nozzle hole causes the velocity direction of the fluid inside the nozzle hole to change, making the internal flow situation more complex. In the lower part of the expansion section of the nozzle hole, the velocity is relatively large. Thus, the velocity gradually decreases along the radial direction of the nozzle hole. In the upper part of the expansion section, backflow and flow separation occur. On the one hand, this makes the boundary layer thickness increase and the movement of the fluid within the boundary layer more complex and chaotic, thereby increasing the turbulent kinetic energy inside the nozzle hole. On the other hand, after the vortex generated by the flow separation in the expansion section enters the contraction section, it will interact with the flow structure of the contraction section itself. The vortex may be stretched or broken into small-scale vortices, thereby changing the scale distribution of turbulence and being beneficial to the collision and breakup of droplets. Due to the special curved surface structure of the petal bionic nozzle hole, the presence of its contraction section makes the pressure reduction in the expansion section of the nozzle hole relatively small, and the velocity in the backflow area is also relatively small, thus resulting in no cavitation phenomenon in the expansion section of the nozzle hole.
Figure 10 shows a curve graph of the outlet velocity of the two types of nozzle holes with varying injection pressures. By observing the curve, it can be seen that with the increase of the injection pressure, according to the law of conservation of energy, the fluid obtains more energy. Part of this energy is converted into the kinetic energy of the fluid, resulting in an increase in the outlet velocity. Therefore, the outlet velocities of both types of nozzle holes show a gradually increasing trend. In the process of increasing the injection pressure from 0.2 MPa to 1 MPa, the outlet velocity of the common circular nozzle increases from 15.34 m/s to 40.49 m/s, increasing by about 2.6 times; the outlet velocity of the petal bionic nozzle increases from 15.01 m/s to 39.25 m/s, increasing by about 2.6 times. Under the same injection pressure, the difference in outlet velocity between the two nozzles is relatively small. A higher outlet velocity is more conducive to the fragmentation and collision of droplets and can increase the penetration distance of the spray and expand the diffusion range of the spray. Therefore, appropriately increasing the injection pressure has a promoting effect on improving the atomization effect.
Figure 11 shows a cloud diagram of the radial velocity at the outlet of two nozzles. As can be seen from Figure 11a, the radial velocity distribution of the common circular nozzle is relatively complex. The radial velocity of the fluid in the middle and lower part of the nozzle and around the nozzle is relatively large, but the flow direction of the fluid converges from both sides to the middle, resulting in multiple convection and vortex phenomena inside the nozzle. On the one hand, it will reduce the flow stability of the fluid inside the nozzle, thereby affecting the stability of the atomization effect. In practical applications, it is difficult to ensure the stability and uniformity of methanol injection. On the other hand, due to the friction between the fluid and the wall surface, convection and vortex will consume more energy, thereby making the atomization effect worse. In addition, the existence of convection and vortex exacerbates the friction between the fluid and the wall surface, thereby exacerbating the wear of the nozzle, leading to changes in the shape and size of the nozzle, making the velocity distribution around the nozzle extremely uneven, which will further lead to uneven wear of the nozzle and further affect the atomization effect. As shown in Figure 11b, due to its special curved surface structure, the petal bionic nozzle improves the flow direction of the fluid inside it, so that the fluid forms a fluid movement form that diverges from the middle and lower part of the nozzle to the surroundings at the outlet, thereby improving the defects of poor fluid stability and poor atomization effect caused by convection and vortex inside the nozzle. Moreover, its velocity distribution uniformity is good, which is conducive to the diffusion of droplets to the surroundings, increasing the spray area and improving the uniformity of the atomization effect.
Under room temperature conditions, simulation experiments were conducted by injecting methanol with a temperature of 25 °C using two types of nozzles. Figure 12 shows a curve diagram of the maximum internal temperature of the two nozzles changing with injection pressure. It can be clearly seen from the figure that in the process of increasing the injection pressure from 0.2 MPa to 1 MPa, the maximum internal temperature of the common circular nozzle increases from the original 95.9 °C to 127.9 °C, an increase of about 33.4%, showing an obvious increasing trend. The reasons for this are as follows. On the one hand, the friction between fluid molecules intensifies, generating a large amount of thermal energy. On the other hand, the compression process of the fluid leads to an increase in temperature. This temperature increase has an impact on the internal flow field of the nozzle. The viscosity of the fluid decreases with the increase in temperature, which changes the flow characteristics of the fluid, reduces the flow stability, and increases the energy loss at the same time. Therefore, the temperature increase has an adverse effect on the atomization effect of the nozzle hole. The maximum internal temperature of the petal bionic nozzle is 28.4 °C when the injection pressure is 0.2 MPa. When the injection pressure reaches 1 MPa, the maximum internal temperature is 31.9 °C, only increasing by 12.3%. When the injection pressure is 1 MPa, the maximum internal temperatures of both nozzles reach the maximum value. However, the maximum internal temperature of the petal bionic nozzle is four times lower than that of the common circular nozzle. It can be seen that the special nozzle structure of the petal bionic nozzle greatly reduces the friction between the fluid and the fluid and between the fluid and the wall surface inside the nozzle, greatly reducing the energy loss due to friction and improving the energy utilization rate. In addition, the internal temperature of the petal bionic nozzle is relatively low, which can reduce the changes and losses of the nozzle shape caused by high temperatures, ensure the stability of the spray effect, and prolong the service life of the nozzle.
Figure 13 shows a curve of the change in outlet mass flow of two nozzles under different injection pressures. It can be seen from the figure that the increase in injection pressure has a positive effect on increasing the outlet mass flow. The mass flow of both nozzles shows a gradually increasing trend, but the increasing trend of the common circular nozzle is more significant. When the injection pressure is 1 MPa, the mass flow of both nozzles reaches the maximum value. At this time, the outlet mass flow of the common circular nozzle is 8.32 × 10 4 kg/s, and the outlet mass flow of the petal bionic nozzle is 7.3 × 10 4 kg/s. The outlet mass flow of the petal bionic nozzle is slightly lower than that of the common circular nozzle. On the one hand, the reason is that, for the petal bionic nozzle, the nozzle wall in the axial direction is curved, so that the fluid flow distance near the nozzle wall is longer, thus affecting the outlet mass flow of the nozzle. On the other hand, the petal bionic nozzle has an inwardly concave curved structure near the outlet, which narrows the nozzle flow channel at that location, resulting in a decrease in the nozzle outlet mass flow.
In Figure 2c,d, the upper vertex at the nozzle hole outlet is defined as point a, and the lower vertex at the nozzle hole outlet is defined as point b. The distance between a and b represents the linear distance from the upper vertex to the lower vertex at the nozzle hole outlet, that is, the diameter length of the nozzle hole, simply referred to as line ab. The figure shows the distribution of fluid velocity along line ab for two nozzles under different injection pressures. Figure 14a,b represent the distribution of fluid velocity along line ab for the common circular nozzle and the petal bionic nozzle, respectively. Observing the two figures, it can be seen that the common feature of the two nozzles is that the fluid velocity along line ab shows a trend of first increasing and then decreasing, and the fluid velocity increases with the increase of injection pressure. However, there are also some differences between the two nozzles. First, within the range of 0 to 0.03 mm, the fluid velocities of both nozzles show a rapidly increasing trend, but the increasing trend of the petal bionic nozzle is more significant. At 0.05 mm, it almost increases to the maximum value, while the common circular nozzle can increase to the maximum velocity value only at about 0.09 mm. Secondly, after reaching the maximum velocity value, the velocity value of the common circular nozzle begins to decrease rapidly in the range of 0.1 mm to 0.2 mm, while the velocity of the petal bionic nozzle decreases relatively slowly in the range from reaching the maximum velocity value to 0.18 mm. For example, when the injection pressure is 1 MPa, the common circular nozzle reaches the maximum velocity of 44.3 m/s at 0.1 mm, and at 0.18 mm, its velocity value is 15.9 m/s, and the velocity is reduced by 28.4 m/s; while the petal bionic nozzle reaches the maximum velocity of 42.7 m/s at 0.07 mm, and at 0.18 mm, its velocity is 31.3 m/s, and the velocity is only reduced by 11.4 m/s. It can be seen that the fluid velocity distribution at the outlet of the petal bionic nozzle is more uniform, which can form finer droplets and make the droplet distribution uniform, greatly improving the uniformity of the atomization effect while ensuring sufficient penetration distance.
Figure 15 shows the distribution of turbulent kinetic energy along line ab for two nozzles under different injection pressures. Figure 15a and Figure 15b represent the distribution of turbulent kinetic energy along line ab for the common circular nozzle and the petal bionic nozzle, respectively. Observing the two figures, it can be seen that the turbulent kinetic energy distribution laws of the two nozzles are similar. The turbulent kinetic energy distribution between point a and point b shows a trend of first slightly decreasing, then rapidly increasing, and then gradually decreasing; the magnitudes of the turbulent kinetic energy of both nozzles gradually increase with the increase of injection pressure. However, there are also obvious differences between the two. First, when the injection pressures of the two nozzles are the same, the maximum value of turbulent kinetic energy of the petal bionic nozzle is greater. For example, when the injection pressure is 1 MPa, the maximum turbulent kinetic energy is obtained at 0.14 mm, which is 48.37 m2/s2, while, for the common circular nozzle, the maximum turbulent kinetic energy is obtained at 0.13 mm, which is 70.74 m2/s2, an increase of 22.37 m2/s2 compared to the turbulent kinetic energy of the common circular nozzle. Second, the turbulent kinetic energy of the common circular nozzle is at a relatively low level from point a to 0.1 mm. After reaching the maximum turbulent kinetic energy, it begins to decrease rapidly. The turbulent kinetic energy value at point b is lower than 5.5 m2/s2, while, for the petal bionic nozzle, the turbulent kinetic energy begins to increase rapidly from 0.075 mm. After reaching the maximum turbulent kinetic energy, the decreasing speed is relatively slow, and the turbulent kinetic energy at point b still maintains a relatively large value. Therefore, the petal bionic nozzle has greater turbulent kinetic energy and a larger distribution range, which plays an important role in enhancing the collision and fragmentation of droplets, forming finer droplets, and improving the atomization effect and stability of the spray.

4. Conclusions

In this paper, through simulation experimental research on the internal flow characteristics of common circular nozzles and petal bionic nozzles under different injection pressures, the performance of the two nozzles is compared and analyzed. The main contents are as follows:
  • The ordinary circular nozzle hole has a wide distribution of low-pressure areas, which is prone to large-scale cavitation inside the nozzle. Supercavitation occurs at an injection pressure of 0.8 MPa. In the petal bionic nozzle hole, the low-pressure area is only distributed in a small range at the outlet, and the cavitation mainly occurs at the outlet. This can significantly enhance the atomization effect, reduce the droplet size, make the fragmentation process more intense, and avoid the negative impacts brought by supercavitation.
  • Under the same injection pressure, the turbulent kinetic energy inside the petal bionic nozzle hole is greater. It shows a gradually increasing distribution trend from the wall to the middle. The distribution of turbulent kinetic energy has good stability and is not easily affected by pressure changes. The outlet turbulent kinetic energy increases more significantly with pressure. At 1 MPa, the outlet turbulent kinetic energy of the petal bionic nozzle is about 2.3 times that of the ordinary circular nozzle, which is more conducive to droplet collision and fragmentation.
  • The outlet velocities of both nozzle holes increase with the increase of injection pressure. However, the fluid velocity distribution at the outlet of the petal bionic nozzle hole is more uniform. Along the ab line, the outlet velocity increases rapidly, and the uniformity of velocity distribution is good. After reaching the maximum value, it decreases more slowly, which can form smaller and more uniformly distributed droplets and improve the uniformity of atomization effect.
  • When the injection pressure increases from 0.2 MPa to 1 MPa, the maximum internal temperature of the ordinary circular nozzle increases by about 33.4%, while that of the petal bionic nozzle only increases by 12.3%. Due to its structural advantages, the petal bionic nozzle hole reduces friction, lowers energy loss, improves energy utilization rate, ensures spray stability, and can prolong the service life of the nozzle hole.
  • The outlet mass flow rates of both nozzle holes increase with the increase of injection pressure, but the trend is more significant for the ordinary circular nozzle hole. Due to the arc-shaped axial wall and the structure at the outlet, the flow rate of the petal bionic nozzle hole slightly decreases, but its comprehensive performance is better.
Compared with the ordinary circular nozzle hole, the petal bionic nozzle hole has more stable internal flow performance and more uniform outlet turbulent kinetic energy and velocity distribution. It enhances the collision and fragmentation of droplets, can better suppress the high-temperature phenomenon caused by long-term operation of the nozzle hole, prolongs the service life of the nozzle hole, and improves the atomization effect of methanol. Therefore, applying this new petal bionic nozzle hole on a methanol-diesel dual-fuel engine can improve the mixing effect of methanol and air to a certain extent, has a positive effect on improving the performance of the engine, can make the combustion more complete, and can reduce the emission of harmful gases. In addition, better atomization quality improves the utilization rate of methanol, reduces the consumption of fossil fuels, and has a certain positive effect on alleviating the global energy crisis and air pollution.

Author Contributions

Y.Z. completed the organization of the experimental data and the writing of the manuscript, which was checked and further refined by Y.W. (Yanxia Wang) and Y.W. (Yannian Wang). All authors have read and agreed to the published version of the manuscript.

Funding

These works were supported by Shandong Provincial Natural Science Foundation, China (ZR2022QE080, ZR2023ME228), Postdoctoral Innovation Project of Shandong Province (SDCX-ZG-202202027).

Data Availability Statement

The data used to support the findings of this study are available from the author upon request.

Conflicts of Interest

The authors declare no conflicts of interest.

Nomenclature

V m Mass-averaged rate of the mixed phase, kg / s
ρ m Mixed phase density, kg / m 3
α k Volume fraction of phase k
ρ k Density of phase k, kg / m 3
V k The mass-averaged rate of phase k, kg / s
nNumber of phases
pPressures, Pa
g Gravity, m / s 2
F Volumetric force, N / m 3
μ m Viscosity of the mixed phase, Pa s
μ k Viscosity of phase k, Pa s
V d r , k Drag and drop speed of phase k, m / s
S E Other volumetric heat source term, W / m 3
E k The kinetic energy of phase k, J
h k The sensible enthalpy of phase k, J / kg
TTemperature, K
v Vapor phase
ρ v Gas phase density, kg / m 3
V v Mixing phase speed, m / s
α Gas phase volume fraction
n b Number density of bubbles per unit volume of liquid, m - 3
R b Radius of a bubble, m
R e Bubble growth mass transportation source term, kg / ( m 3 s )
R c Bubble Bursting Mass Transportation Source Items, kg / ( m 3 s )
P Local far field pressure, Pa
ρ l Liquid-phase density, kg / m 3
kTurbulent kinetic energy, m 2 / s 2
ε Dissipation rate, W / kg
υ Flow rates, m 3 / s
ρ Mixed density, kg / m 3
η Mixing viscosity, Pa s
σ Surface tension coefficient
Γ Effective exchange, N / m coefficient between two phases
m Actual mass flow rate, kg / s
A Cross-sectional area of orifice outlet, m 2
Δ p Pressure drop, Pa
C d Flow rate factor
k e f f Effective thermal conductivity, W / ( m k )
tTime, s

References

  1. Marchitto, L.; De Simio, L.; Iannaccone, S.; Pennino, V.; Altieri, N. Retrofit of a Marine Engine to Dual-Fuel Methane–Diesel: Experimental Analysis of Performance and Exhaust Emission with Continuous and Phased Methane Injection Systems. Energies 2024, 17, 4304. [Google Scholar] [CrossRef]
  2. Muhssen, H.S.; Zöldy, M.; Bereczky, Á. A Comprehensive Review on the Hydrogen–Natural Gas–Diesel Tri-Fuel Engine Exhaust Emissions. Energies 2024, 17, 3862. [Google Scholar] [CrossRef]
  3. Huang, Y.; Zhang, Z.; Zhang, Y.; Wei, W.; Zhou, L.; Li, G.; Xu, W.; Zheng, Y.; Song, W. Design, Optimization and Application of Reformer in a Marine Natural Gas Engine: A Numerical and Experimental Study. Sci. Total. Environ. 2023, 892, 164542. [Google Scholar] [CrossRef] [PubMed]
  4. Zhang, H.; Zhao, Z.; Wu, J.; Wang, X.; Ouyang, W.; Wang, Z. Investigation of Split Diesel Injections in Methanol/Diesel Dual-Fuel Combustion in an Optical Engine. Energies 2024, 17, 3382. [Google Scholar] [CrossRef]
  5. Chen, R.; Li, T.; Wang, X.; Huang, S.; Zhou, X.; Li, S.; Yi, P. Engine-out Emissions from an Ammonia/Diesel Dual-Fuel Engine—The Characteristics of Nitro-Compounds and GHG Emissions. Fuel 2024, 362, 130740. [Google Scholar] [CrossRef]
  6. Hamzah, A.H.; Akroot, A.; Abdul Wahhab, H.A.; Ghazal, R.M.; Alhamd, A.E.J.; Bdaiwi, M. Effects of Nano-Additives in Developing Alternative Fuel Strategy for CI Engines: A Critical Review with a Focus on the Performance and Emission Characteristics. Results Eng. 2024, 22, 102248. [Google Scholar] [CrossRef]
  7. Ramalingam, K.; Vellaiyan, S.; Kandasamy, M.; Chandran, D.; Raviadaran, R. An Experimental Study and ANN Analysis of Utilizing Ammonia as a Hydrogen Carrier by Real-Time Emulsion Fuel Injection to Promote Cleaner Combustion. Results Eng. 2024, 21, 101946. [Google Scholar] [CrossRef]
  8. Armin, M.; Gholinia, M. Comparative Evaluation of Energy, Performance, and Emission Characteristics in Dual-Fuel (CH4/Diesel) Heavy-Duty Engine with RCCI Combustion Mode. Results Eng. 2022, 16, 100766. [Google Scholar] [CrossRef]
  9. Zhang, Z.; Wang, S.; Pan, M.; Lv, J.; Lu, K.; Ye, Y.; Tan, D. Utilization of Hydrogen-Diesel Blends for the Improvements of a Dual-Fuel Engine Based on the Improved Taguchi Methodology. Energy 2024, 292, 130474. [Google Scholar] [CrossRef]
  10. Zamboni, G.; Scamardella, F.; Gualeni, P.; Canepa, E. Comparative Analysis among Different Alternative Fuels for Ship Propulsion in a Well-to-Wake Perspective. Heliyon 2024, 10, e26016. [Google Scholar] [CrossRef]
  11. Hananto, A.L.; Fauzi, A.; Suhara, A.; Davison, I.; Spraggon, M.; Herawan, S.G.; Samuel, O.D.; Yusuf, A.A.; Idris, M.; Veza, I. Elman and Cascade Neural Networks with Conjugate Gradient Polak-Ribière Restarts to Predict Diesel Engine Performance and Emissions Fueled by Butanol as Sustainable Biofuel. Results Eng. 2023, 19, 101334. [Google Scholar] [CrossRef]
  12. Li, Y.; Ries, F.; Sun, Y.; Lien, H.-P.; Nishad, K.; Sadiki, A. Direct Numerical Simulation of Atomization Characteristics of ECN Spray-G Injector: In-Nozzle Fluid Flow and Breakup Processes. Flow Turbul. Combust. 2024, 112, 615–642. [Google Scholar] [CrossRef]
  13. Cheng, C.; Faurskov Cordtz, R.; Dyhr Pedersen, T.; Winther, K.; Langballe Forby, N.; Schramm, J. Investigation of Combustion Characteristics, Physical and Chemical Ignition Delay of Methanol Fuel in a Heavy-Duty Turbo-Charged Compression Ignition Engine. Fuel 2023, 348, 128536. [Google Scholar] [CrossRef]
  14. Wen, H.; Yu, Y.; Li, J.; Xu, C.; Jing, H.; Shen, J. Numerical Investigation on the Influence of Injection Location and Injection Strategy on a High-Pressure Direct Injection Diesel/Methanol Dual-Fuel Engine. Energies 2023, 16, 4518. [Google Scholar] [CrossRef]
  15. Jamrozik, A.; Tutak, W.; Pyrc, M.; Sobiepaski, M. Experimental Investigations on Combustion, Performance, and Emission Characteristics of Stationary CI Engine Fueled with Diesel–Methanol and Biodiesel–Methanol Blends. Environ. Prog. Sustain. Energy 2017, 36, 1151–1163. [Google Scholar] [CrossRef]
  16. IC-Engine Spray Modeling-Status and Outlook|CiNii Research. Available online: https://cir.nii.ac.jp/crid/1573668924922239744 (accessed on 15 October 2024).
  17. Cao, T.; Qu, P. A Review of Cavitation Phenomenon and Its Influence on the Spray Atomization in Diesel Injector Nozzles. SAE Int. J. Commer. Veh. 2023, 17, 67–89. [Google Scholar] [CrossRef]
  18. Dong, P.; Chen, Q.; Liu, G.; Zhang, B.; Yan, G.; Wang, R. Effects of Geometric Parameters on Flow and Atomization Characteristics of Swirl Nozzles for Artificial Snowmaking. Int. J. Refrig. 2023, 154, 56–65. [Google Scholar] [CrossRef]
  19. Wu, F.; Yu, H.; Pan, X.; Zang, X.; Hua, M.; Wang, H.; Jiang, J. Experimental Study of Methanol Atomization and Spray Explosion Characteristic under Negative Pressure. Process Saf. Environ. Prot. 2022, 161, 162–174. [Google Scholar] [CrossRef]
  20. Guan, W.; He, Z.; Zhang, L.; EL-Seesy, A.I.; Wen, L.; Zhang, Q.; Yang, L. Effect of Asymmetric Structural Characteristics of Multi-Hole Marine Diesel Injectors on Internal Cavitation Patterns and Flow Characteristics: A Numerical Study. Fuel 2021, 283, 119324. [Google Scholar] [CrossRef]
  21. Lu, G.-Q.; Yu, G.; He, X.-L.; Zhang, C.-Y.; Xu, Y.-T. Effect of Geometry Characteristics on Internal Cavitation Flow of Injection Nozzle with Varying Hole Cross-Section. Neiranji Xuebao/Trans. CSICE (Chin. Soc. Intern. Combust. Engines) 2012, 30, 254–259. [Google Scholar]
  22. Zheng, J.-B.; Miao, X.-L.; Hong, J.-H.; Wang, X.-Y.; Chen, X.-Y.; Zhang, K.; Yang, J. Spray Characteristics of SAC Nozzle in Common-Rail System. Neiranji Xuebao/Trans. CSICE (Chin. Soc. Intern. Combust. Engines) 2011, 29, 431–437. [Google Scholar]
  23. Prasetya, R.; Sou, A.; Oki, J.; Nakashima, A.; Nishida, K.; Wada, Y.; Ueki, Y.; Yokohata, H. Three-Dimensional Flow Structure and String Cavitation in a Fuel Injector and Their Effects on Discharged Liquid Jet. Int. J. Engine Res. 2021, 22, 243–256. [Google Scholar] [CrossRef]
  24. Sun, Y.; Guan, Z.; Hooman, K. Cavitation in Diesel Fuel Injector Nozzles and Its Influence on Atomization and Spray. Chem. Eng. Technol. 2019, 42, 6–29. [Google Scholar] [CrossRef]
  25. Yu, S.; Yin, B.; Bi, Q.; Chen, C.; Jia, H. Experimental and Numerical Investigation on Inner Flow and Spray Characteristics of Elliptical GDI Injectors with Large Aspect Ratio. Energy 2021, 224, 120119. [Google Scholar] [CrossRef]
  26. Chen, C.; Yu, S.; Yin, B.; Bi, Q.; Jia, H. Investigation of Inner Flow and Near-Field Spray Patterns of the Non-Circular Diesel Injector. Sadhana-Acad. Proc. Eng. Sci. 2022, 47, 34. [Google Scholar] [CrossRef]
  27. Sa, B.; Klyus, O.; Markov, V.; Kamaltdinov, V. A Numerical Study of the Effect of Spiral Counter Grooves on a Needle on Flow Turbulence in a Diesel Injector. Fuel 2021, 290, 120013. [Google Scholar] [CrossRef]
  28. Leng, X.; Yang, S.; Deng, Y.; Jin, Y.; He, Z.; Yan, X.; Feng, Z.; Li, C.; Wang, Q.; Long, W. An Experimental Study on the In-Nozzle Cavitating Flow and near-Field Breakup of Spirally Grooved Hole Nozzles. Int. Commun. Heat Mass Transf. 2022, 139, 106406. [Google Scholar] [CrossRef]
  29. Leng, X.; Deng, Y.; Guan, W.; Xie, W.; He, Z.; Wang, Q.; Yan, X.; Long, W. A Numerical Study on the In-Nozzle Cavitating Flow and near-Field Jet Breakup of a Spirally Grooved Hole Nozzle Using a LES-VOF Method. Fuel 2022, 326, 125016. [Google Scholar] [CrossRef]
  30. Bahreh Bar, J.; Gholami Parashkoohi, M.; Mohammad Zamani, D.; Ghafori, H. Simulation of Parameters Effects on Fluid Flow Behavior in the Spraying Nozzle: A Case Study of Greenhouse Cultivation. Results Eng. 2023, 19, 101223. [Google Scholar] [CrossRef]
  31. Bagherpoor, F.; Farajollahi, A.H.; Firuzi, R. CRI Diesel Injector Transient Heat–Mass Transfer with Combustion-Pollution Indicated Parameters Consideration for Helical Orifice by Various Needle Profiles. Int. J. Engine Res. 2023, 24, 2126–2148. [Google Scholar] [CrossRef]
  32. Li, F.; Wang, Z.; Lee, C.; Yang, W.; Ma, F. Visualization and Simulation Study on the Impacts of Conical Duct Geometry on the Spray Characteristics of Ducted Fuel Injection. Int. J. Engine Res. 2023, 24, 2187–2205. [Google Scholar] [CrossRef]
  33. Li, X.; Liu, X.; Dong, L.; Sun, X.; Tang, H.; Liu, G. A High-Performance Synthetic Jet Piezoelectric Air Pump with Petal-Shaped Channel. Sensors 2022, 22, 3227. [Google Scholar] [CrossRef] [PubMed]
  34. Liu, Y.; Zhang, H.; Wang, P.; He, Z.; Dong, G. 3D-Printed Bionic Superhydrophobic Surface with Petal-like Microstructures for Droplet Manipulation, Oil-Water Separation, and Drag Reduction. Mater. Des. 2022, 219, 110765. [Google Scholar] [CrossRef]
  35. Li, F.; Zhao, G.; Liu, W. Research on Drag Reduction Performance of Turbulent Boundary Layer on Bionic Jet Surface. Proc. Inst. Mech. Eng. Part M-J. Eng. Marit. Environ. 2017, 231, 258–270. [Google Scholar] [CrossRef]
  36. Wen, J.; Chen, C.; Qi, Z.; Campos, U.; Pei, X. Bionic Optimum Design of Straight Cone Nozzle and the Effectiveness Evaluation of Reducing Fluid Resistance. J. Braz. Soc. Mech. Sci. Eng. 2019, 41, 358. [Google Scholar] [CrossRef]
  37. Chu, Y.; Liu, P.; Huang, X.; Gao, S.; Ji, Z.; Zhou, X. Numerical Calculation of Water Exit Process of Supercavitating Vehicles under Different Sailing Conditions. J. Unmanned Undersea Syst. 2024, 32, 496–506. [Google Scholar]
  38. Bicer, B.; Sou, A. Application of the Improved Cavitation Model to Turbulent Cavitating Flow in Fuel Injector Nozzle. Appl. Math. Model. 2016, 40, 4712–4726. [Google Scholar] [CrossRef]
  39. He, Z.; Chen, Y.; Leng, X.; Wang, Q.; Guo, G. Experimental Visualization and LES Investigations on Cloud Cavitation Shedding in a Rectangular Nozzle Orifice. Int. Commun. Heat Mass Transf. 2016, 76, 108–116. [Google Scholar] [CrossRef]
  40. Nie, Z.; Chen, Y.; Deng, M. Quantitative Evaluation of Precautions against the COVID-19 Indoor Transmission through Human Coughing. Sci. Rep. 2022, 12, 22573. [Google Scholar] [CrossRef]
  41. Suh, H.K.; Lee, C.S. Effect of Cavitation in Nozzle Orifice on the Diesel Fuel Atomization Characteristics. Int. J. Heat Fluid Flow 2008, 29, 1001–1009. [Google Scholar] [CrossRef]
Figure 1. Design of the lotus petal bionic nozzle structure.
Figure 1. Design of the lotus petal bionic nozzle structure.
Energies 17 05612 g001
Figure 2. The structures and dimensions of two types of nozzle holes. (a) The three-dimensional model of the petal bionic nozzle. (b) The dimension annotation of the nozzle. (c) Ordinary circular nozzle holes. (d) Petal bionic nozzle.
Figure 2. The structures and dimensions of two types of nozzle holes. (a) The three-dimensional model of the petal bionic nozzle. (b) The dimension annotation of the nozzle. (c) Ordinary circular nozzle holes. (d) Petal bionic nozzle.
Energies 17 05612 g002
Figure 3. Mesh generation of the nozzle holes.
Figure 3. Mesh generation of the nozzle holes.
Energies 17 05612 g003
Figure 4. Validation model nozzle parameter dimensions.
Figure 4. Validation model nozzle parameter dimensions.
Energies 17 05612 g004
Figure 5. Comparison of tests and simulations in cavitation region.
Figure 5. Comparison of tests and simulations in cavitation region.
Energies 17 05612 g005
Figure 6. Comparison of experimental and simulation results for mass flow rate and orifice exit rate. (a) Variation of mass flow rate with injection pressure. (b) Variation of orifice exit velocity with injection pressure.
Figure 6. Comparison of experimental and simulation results for mass flow rate and orifice exit rate. (a) Variation of mass flow rate with injection pressure. (b) Variation of orifice exit velocity with injection pressure.
Energies 17 05612 g006
Figure 7. Outlet mass flow rate of nozzle holes with different mesh sizes.
Figure 7. Outlet mass flow rate of nozzle holes with different mesh sizes.
Energies 17 05612 g007
Figure 8. Curve of outlet turbulent kinetic energy variation under different injection pressures.
Figure 8. Curve of outlet turbulent kinetic energy variation under different injection pressures.
Energies 17 05612 g008
Figure 9. Velocity distribution inside the nozzle hole.
Figure 9. Velocity distribution inside the nozzle hole.
Energies 17 05612 g009
Figure 10. Curve of outlet velocity variation under different injection pressures.
Figure 10. Curve of outlet velocity variation under different injection pressures.
Energies 17 05612 g010
Figure 11. Cloud diagram of radial velocity distribution at the nozzle outlet.
Figure 11. Cloud diagram of radial velocity distribution at the nozzle outlet.
Energies 17 05612 g011
Figure 12. Curve of the maximum internal temperature in the nozzle under different injection pressures.
Figure 12. Curve of the maximum internal temperature in the nozzle under different injection pressures.
Energies 17 05612 g012
Figure 13. Curve of outlet mass flow variation under different injection pressures.
Figure 13. Curve of outlet mass flow variation under different injection pressures.
Energies 17 05612 g013
Figure 14. Distribution curve of fluid velocity along the direction of line ab.
Figure 14. Distribution curve of fluid velocity along the direction of line ab.
Energies 17 05612 g014
Figure 15. Distribution curve of turbulent kinetic energy along the direction of line ab.
Figure 15. Distribution curve of turbulent kinetic energy along the direction of line ab.
Energies 17 05612 g015
Table 1. The structural parameters of the ordinary circular methanol nozzle.
Table 1. The structural parameters of the ordinary circular methanol nozzle.
Parameter ItemsSpecific Parameters
The number of nozzle holes8
The diameter of the nozzle hole0.2 mm
The length of the nozzle hole1 mm
The inlet fillet radius0.02 mm
Table 2. The physical and chemical properties of methanol.
Table 2. The physical and chemical properties of methanol.
Fuel NameMethanol
Melting point−97.8 °C
Boiling point64.8 °C
Relative density (water = 1)0.79/25 °C
Autoignition temperature385 °C
Saturated vapor pressure16.67 KPa/25 °C
Viscosity0.544 mpa·s/25 °C
Table 3. Errors under different mesh sizes.
Table 3. Errors under different mesh sizes.
Mesh Size/mmError (Relative to 0.04 mm)
0.14.94%
0.082.85%
0.061.41%
0.040
0.020.42%
0.010.49%
Table 4. Nephograms of pressure distribution inside the nozzle holes.
Table 4. Nephograms of pressure distribution inside the nozzle holes.
Injection PressureOrdinary Circular NozzlePetal Bionic Nozzle
0.2 MPaEnergies 17 05612 i001Energies 17 05612 i002
0.4 MPaEnergies 17 05612 i003Energies 17 05612 i004
0.6 MPaEnergies 17 05612 i005Energies 17 05612 i006
0.8 MPaEnergies 17 05612 i007Energies 17 05612 i008
1 MPaEnergies 17 05612 i009Energies 17 05612 i010
Table 5. Cloud diagrams of gas-phase volume fraction distribution under different injection pressures.
Table 5. Cloud diagrams of gas-phase volume fraction distribution under different injection pressures.
Injection PressureOrdinary Circular NozzlePetal Bionic Nozzle
0.2 MPaEnergies 17 05612 i011Energies 17 05612 i012
0.4 MPaEnergies 17 05612 i013Energies 17 05612 i014
0.6 MPaEnergies 17 05612 i015Energies 17 05612 i016
0.8 MPaEnergies 17 05612 i017Energies 17 05612 i018
1 MPaEnergies 17 05612 i019Energies 17 05612 i020
Table 6. Cloud diagrams of internal turbulent kinetic energy distribution under different injection pressures.
Table 6. Cloud diagrams of internal turbulent kinetic energy distribution under different injection pressures.
Injection PressureOrdinary Circular NozzlePetal Bionic Nozzle
0.2 MPaEnergies 17 05612 i021Energies 17 05612 i022
0.4 MPaEnergies 17 05612 i023Energies 17 05612 i024
0.6 MPaEnergies 17 05612 i025Energies 17 05612 i026
0.8 MPaEnergies 17 05612 i027Energies 17 05612 i028
1 MPaEnergies 17 05612 i029Energies 17 05612 i030
Disclaimer/Publisher’s Note: The statements, opinions and data contained in all publications are solely those of the individual author(s) and contributor(s) and not of MDPI and/or the editor(s). MDPI and/or the editor(s) disclaim responsibility for any injury to people or property resulting from any ideas, methods, instructions or products referred to in the content.

Share and Cite

MDPI and ACS Style

Zhu, Y.; Wang, Y.; Wang, Y. Research on the Internal Flow and Cavitation Characteristics of Petal Bionic Nozzles Based on Methanol Low-Pressure Injection. Energies 2024, 17, 5612. https://doi.org/10.3390/en17225612

AMA Style

Zhu Y, Wang Y, Wang Y. Research on the Internal Flow and Cavitation Characteristics of Petal Bionic Nozzles Based on Methanol Low-Pressure Injection. Energies. 2024; 17(22):5612. https://doi.org/10.3390/en17225612

Chicago/Turabian Style

Zhu, Yuejian, Yanxia Wang, and Yannian Wang. 2024. "Research on the Internal Flow and Cavitation Characteristics of Petal Bionic Nozzles Based on Methanol Low-Pressure Injection" Energies 17, no. 22: 5612. https://doi.org/10.3390/en17225612

APA Style

Zhu, Y., Wang, Y., & Wang, Y. (2024). Research on the Internal Flow and Cavitation Characteristics of Petal Bionic Nozzles Based on Methanol Low-Pressure Injection. Energies, 17(22), 5612. https://doi.org/10.3390/en17225612

Note that from the first issue of 2016, this journal uses article numbers instead of page numbers. See further details here.

Article Metrics

Back to TopTop