Optimizing S Chemical Looping Combustion with Cu-Fe Combined Oxygen Carriers: Performance and Mechanistic Insights
Abstract
1. Introduction
2. Experiment
- (1)
- ① was established at 800 °C, ② was established at 900 °C, and ③ was established at 850 °C, with a temperature increase rate of 10 °C/min. The temperature in the first zone was elevated from room temperature to 800 °C, while the second and third zones were adjusted to their respective target reaction temperatures. Subsequently, the flow of N2 was halted, and 99.999% anhydrous high-purity air was introduced for oxidation. The air oxidation process was conducted at temperatures of 900 °C and 800 °C, with Fe-based material positioned in the second temperature zone, Cu-based organic compound located in the first half of the third temperature zone, and Fe-based organic compound situated in the second half of the third temperature zone.
- (2)
- To conduct S CLC experiments, the reactor’s atmosphere was initially purged with N2. Subsequently, N2 supply was ceased to prevent the premature expulsion of gasified S prior to designated reaction temperature being reached. S was heated in a N2 atmosphere, and once S in the initial temperature zone reached its vaporization point, N2 was introduced to transport the vapor to the second and third temperature zones for reaction with OC. Following the reduction reaction between OC and S, the concentration of SO2 gas was analyzed using an online 5, and the SO2 yield was subsequently calculated based on the concentration curve.
- (3)
- After the concentration of SO2 in the tail gas is reduced to 0%, the incoming N2 is substituted with air to facilitate the oxidation of OC and to complete a CLC cycle. The concentrations of O2 and SO2 in the gas product are measured using an online 5. This analyzer has a SO2 concentration range of 0~10% and an accuracy of 0.01%.
- (4)
- Finally, cooling of high temperature SO2 gas through 4, 6 is employed to absorb SO2 from the exhaust gases, thereby mitigating the potential environmental impact when the gases are released into the atmosphere.
3. Results and Discussion
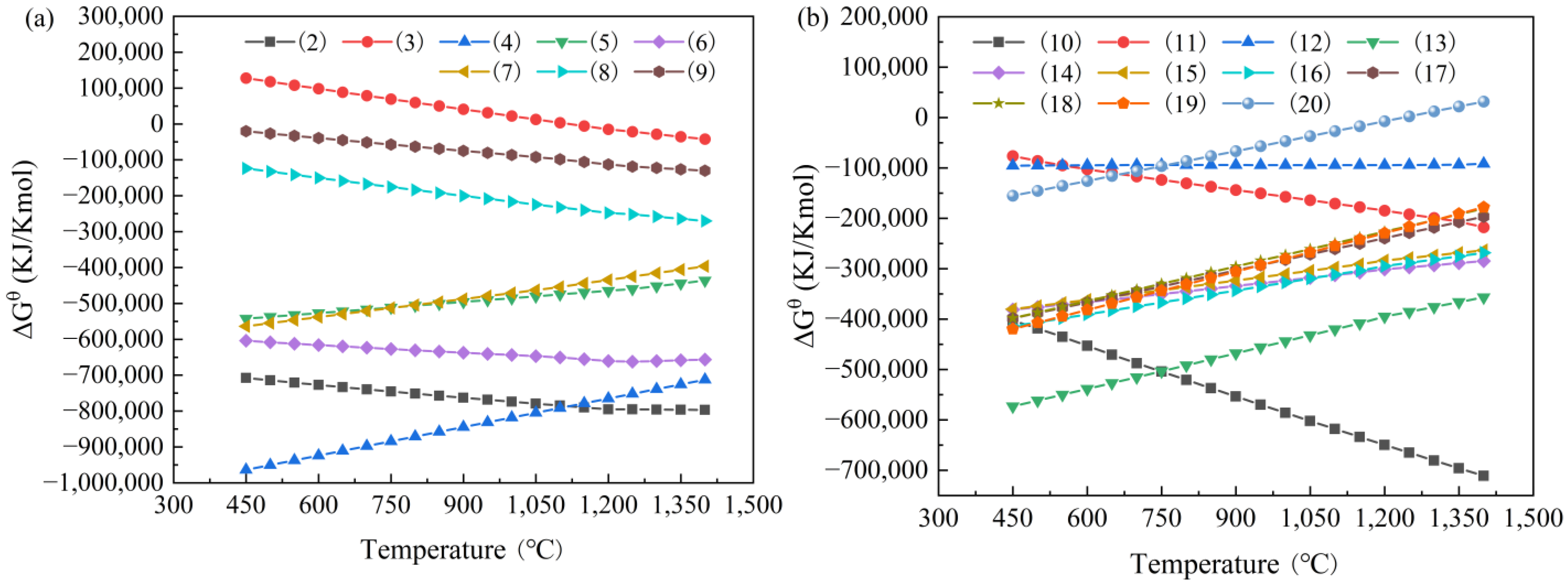
3.1. Thermodynamic Calculation
3.2. S CLC of Cu-Based OC
3.2.1. Effect of Reaction Temperature
3.2.2. Effect of CuO/S Molar Ratio
3.3. S CLC of Fe-Based OCs
3.3.1. Effect of Reaction Temperature
3.3.2. Effect of Fe2O3/S Molar Ratio
3.4. Effect of Fe2O3 Addition in the Third Temperature Zone in Combined OCs
3.5. Effect of Reaction Temperature in the Third Temperature Zone in Combined OCs
3.6. Cyclic Performance Testing of Catalysts
3.7. Characterization of Catalysts
3.7.1. SEM-EDS Characterization of Fresh Samples and Circulating Products
3.7.2. XRD and XPS Characterization of Reduction Products
4. Conclusions
Author Contributions
Funding
Data Availability Statement
Conflicts of Interest
References
- Richter, H.J.; Knoche, K.F. Reversibility of combustion processes. In Efficiency and Costing; ACS Publications: Washington, DC, USA, 1983; pp. 71–85. [Google Scholar]
- Gong, R.; Qin, C.; He, D.; Tan, L.; Ran, J. Oxygen Uncoupling of Cu-Based Oxygen Carrier with the Presence of Coal Ash in Chemical Looping Process. Energy Fuels 2018, 32, 7708–7717. [Google Scholar] [CrossRef]
- Wang, B.; Yan, R.; Zhao, H.; Zheng, Y.; Liu, Z.; Zheng, C. Investigation of Chemical Looping Combustion of Coal with CuFe2O4 Oxygen Carrier. Energy Fuels 2011, 25, 240–246. [Google Scholar] [CrossRef]
- Shen, L.; Wu, J.; Xiao, J. Experiments an Chemical Looping Combustion of Coal with a NiO Bosed Oxygen Carrier. Combust Flame 2009, 156, 721–728. [Google Scholar] [CrossRef]
- Wang, B.; Yan, R.; Lee, D.H.; Zheng, Y.; Zhao, H.; Zheng, C. Characterization and Evaluation of Fe2O3/Al2O3 Oxygen Carrier Prepared by Solgel Combustion Synthesis. J. Anal. Appl. Pyrolysis 1996, 91, 105–113. [Google Scholar] [CrossRef]
- Jiang, S.; Shen, L.; Wu, J.; Yan, J.; Song, T. The Investigations of Hematite-CuO Oxygen Carrier in Chemical Looping Combustion. Chem. Eng. J. 2017, 317, 132–142. [Google Scholar] [CrossRef]
- Bhui, B.; Vairakannu, P. Prospects and issues of integration of Co-combustion of solid fuels (coal and biomass) in Chemical looping Technology. J. Environ. Manag. 2019, 231, 241–1256. [Google Scholar] [CrossRef] [PubMed]
- Bukur, D.B.; Silvester, L.; Fischer, N.; Claeys, M.; Lemonidou, A.A. on the use of an in situ magnetometer to study redox and sintering proper-ties of NiO based oxygen carrier materials for chemical looping steam methane meforming. Int. J. Hydrog. Energy 2019, 44, 18093–18102. [Google Scholar] [CrossRef]
- Lin, C. Mechanism of Gas-Solid Reaction on the Surface of Iron-Based Oxygen Carriers with Chemical Chain Combustion Mutagenesis; North China Electric Power University: Beijing, China, 2017; pp. 45–51. [Google Scholar]
- de Diego, L.F.; Gayan, P.; Garcia-Labiano, F.; Celaya, J.; Abad, M.; Adanez, J. Impregnated CuO/Al2O3 oxygen carriers for chemical-looping combustion: Avoiding fluidized bed agglomeration. Energy Fuels 2005, 19, 1850–1856. [Google Scholar] [CrossRef]
- Diego, L.D.; García-Labiano, F.; Gayán, P.; Abad, A.; Cabello, A.; Adánez, J.; Sprachmann, G. Performance of Cu- and Fe-based oxygen carriers in a 500 Wth CLC unit for sour gas combustion with high H2S content. Int. J. Greenh. Gas Control 2014, 28, 168–179. [Google Scholar] [CrossRef]
- Gayán, P.; Forero, C.R.; Diego, L.; Abad, A.; García-Labiano, F.; Adánez, J. Effect of gas composition in Chemical-Looping Combustion with copper-based oxygen carriers: Fate of light hydrocarbons. Int. J. Greenh. Gas Control 2010, 4, 13–22. [Google Scholar] [CrossRef]
- Adánez-Rubio, I.; Abad, A.; Gayán, P.; García-Labiano, F.; de Diego, L.F.; Adánez, J. The fate of sulphur in the Cu-based chemical looping with oxygen uncoupling (CLOU) process. Appl. Energy 2014, 113, 1855–1862. [Google Scholar] [CrossRef]
- Mendiara, T.; Izquierdo, M.T.; Abad, A.; De Diego, L.F.; García-Labiano, F.; Gayán, P.; Adánez, J. Release of pollutant components in CLC of lignite. Int. J. Greenh. Gas Control 2014, 22, 15–24. [Google Scholar] [CrossRef]
- Garcia-Labiano, F.; de Diego, L.F.; Cabello, A.; Gayan, P.; Abad, A.; Adanez, J.; Sprachmann, G. Sulphuric acid production via Chemical Looping Combustion of elemental sulphur. Appl. Energy 2016, 178, 736–745. [Google Scholar] [CrossRef]
- Suslick, K.S. Kirk-Othmer Encyclopedia of Chemical Technology; Wiley & Sons: New York, NY, USA, 1998; Volume 26, pp. 517–541. [Google Scholar]
- Tian, X.; Wei, Y.J.; Zhao, H.B. Evaluation of a hierarchically-structured CuO@TiO2-Al2O3 oxygen carrier for chemical looping with oxygen uncoupling. Fuel 2017, 209, 402–410. [Google Scholar] [CrossRef]
- Wei, Z.; Liu, D.; Jing, J. Research progress on Fe-based oxygen carrier in chemical looping combustion. Clean Coal Technol. 2019, 25, 19–27. [Google Scholar]
- Cheng, W.; Zhu, M.; Qin, W.; Hou, C. Chemical Looping Combustion Characteristics of Fe2O3(104) and CO Under Synergistic Action of ZrO2/TiO2 Carrier. Chem. J. Chin. Univ. 2018, 39, 506. [Google Scholar]
- Zafar, Q.; Mattisson, T.; Gevert, B. Redox Investigation of Some Oxides of Transition-State Metals Ni, Cu, Fe, and Mn Supported on SiO2 and MgAl2O4. Energy Fuels 2006, 20, 34–44. [Google Scholar] [CrossRef]
- Zhao, S.Q.; Guo, S.J.; Zhu, C.; Gao, J.; Li, H.; Huang, H.; Liu, Y.; Kang, Z.H. Achieving electroreduction of CO2 to CH3OH with high selectivity using a pyrite-nickel sulfide nanocomposite. Rsc Adv. 2017, 7, 1376–1381. [Google Scholar] [CrossRef]
- Jin, L.; Cai, L.; Chen, D.; Wang, W.; Shen, H.; Zhang, F. Efficient silicon solar cells applying cuprous sulfide as hole-selective contact. J. Mater. Sci. 2019, 54, 12650–12658. [Google Scholar] [CrossRef]















| Experimental Group | Installations | Sulfur/mol | The Ratio of Reactants to S | First/Second/Third Zone Reaction Temperature (°C) | Reaction Atmosphere |
|---|---|---|---|---|---|
| Experiments on Fe2O3 addition in the third temperature zone | Feeding device + Tube furnace with three temperature zones + Flue gas analyzer | 0.002 | Fe2O3/S = 6:1 CuO/S = 12:1 Fe2O3/S = 2:1, 4:1, 6:1, 8:1 | 800/850/900 | N2/Air (300 mL/min) |
| Reaction temperature experiment in the third temperature region of combined OCs | Feeding device + Tube furnace with three temperature zones + Flue gas analyzer | 0.002 | Fe2O3/S = 6:1 CuO/S = 12:1 Fe2O3/S = 6:1 | 800/900/(800, 850, 900) | N2/Air (300 mL/min) |
| Combined OC cyclic experiment | Feeding device + Tube furnace with three temperature zones + Flue gas analyzer | 0.002 | Fe2O3/S = 6:1 CuO/S = 12:1 Fe2O3/S = 6:1 | 800/900/850 | N2/Air (300 mL/min) |
Disclaimer/Publisher’s Note: The statements, opinions and data contained in all publications are solely those of the individual author(s) and contributor(s) and not of MDPI and/or the editor(s). MDPI and/or the editor(s) disclaim responsibility for any injury to people or property resulting from any ideas, methods, instructions or products referred to in the content. |
© 2024 by the authors. Licensee MDPI, Basel, Switzerland. This article is an open access article distributed under the terms and conditions of the Creative Commons Attribution (CC BY) license (https://creativecommons.org/licenses/by/4.0/).
Share and Cite
Peng, L.; Zheng, M. Optimizing S Chemical Looping Combustion with Cu-Fe Combined Oxygen Carriers: Performance and Mechanistic Insights. Energies 2024, 17, 5018. https://doi.org/10.3390/en17205018
Peng L, Zheng M. Optimizing S Chemical Looping Combustion with Cu-Fe Combined Oxygen Carriers: Performance and Mechanistic Insights. Energies. 2024; 17(20):5018. https://doi.org/10.3390/en17205018
Chicago/Turabian StylePeng, Lihuai, and Min Zheng. 2024. "Optimizing S Chemical Looping Combustion with Cu-Fe Combined Oxygen Carriers: Performance and Mechanistic Insights" Energies 17, no. 20: 5018. https://doi.org/10.3390/en17205018
APA StylePeng, L., & Zheng, M. (2024). Optimizing S Chemical Looping Combustion with Cu-Fe Combined Oxygen Carriers: Performance and Mechanistic Insights. Energies, 17(20), 5018. https://doi.org/10.3390/en17205018
