Decoupling Analysis of Ignition Processes of Ammonia/N-Heptane Mixtures
Abstract
1. Introduction
2. Numerical Method
3. Result and Discussion
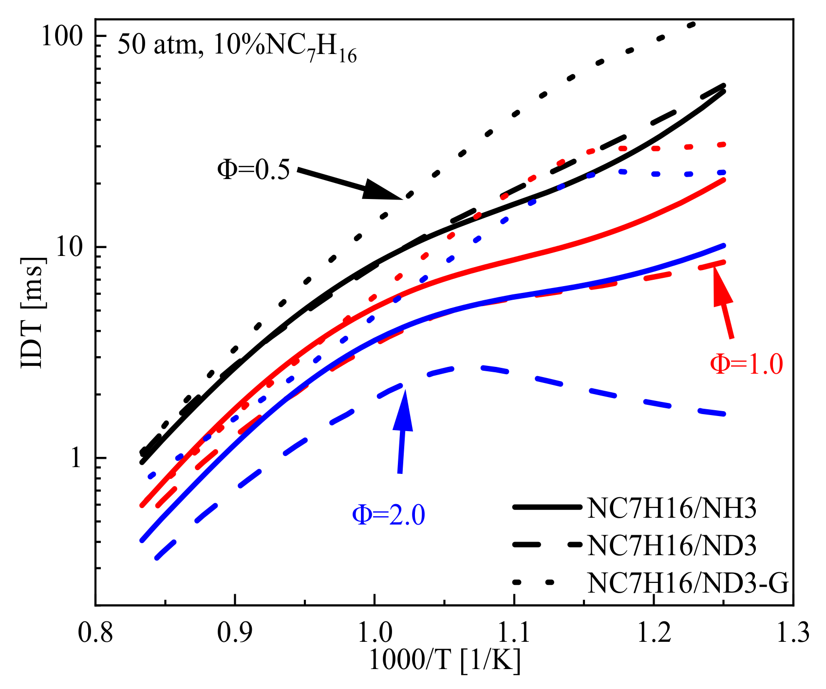
3.1. Decoupling the Chemical Effect and the Thermal Effect on IDTs
3.2. Chemical Kinetic Analysis
3.3. Sensitivity Analysis
4. Conclusions
- The mixing of ammonia has a significant influence on the IDTs of n-heptane, and there was no the NTC behavior that was not observed under all three cases at a n-heptane mass fraction of 10%. As the n-heptane mass fraction increases to 20%, NTC behavior is observed in the IDTs of NC7H16/ND3 and NC7H16/ND3-G. As the n-heptane mass fraction increases to 30%, NTC behavior is observed in the IDTs of all three groups. When the n-heptane mass fraction is 10%, the chemical effect has a significant promoting effect on the IDTs of ammonia/n-heptane mixtures at low and medium temperatures, and the promoting effect is negligible at high temperatures. O radical has a significant promoting effect on the IDTs of ammonia, and the promoting effect decreases with increases in the temperature;
- The consumption of n-heptane happens prior to that of ammonia, and the rapid consumption of ammonia happens near the ignition timing for all three cases. At 800 K, the time evolution of n-heptane for NC7H16/ND3-G can be divided into three stages: (a) almost no consumption stage, (b) rapid consumption stage, and (c) slow consumption stage. The chemical effect has an inhibitory effect on the rapid consumption stage, while O radical has a promoting effect on the rapid consumption stage. The rapid consumption stage is mitigated by the increases in temperature. The early increase in temperature is mainly contributed by the oxidation of n-heptane, while the increase in temperature during the ignition processes of ammonia/n-heptane mixtures is mainly contributed by the oxidation of ammonia;
- The chemical effect has no significant promoting or inhibitory effect on R10|G10 and R12|G12, but has an inhibitory effect on R230 and R249. The chemical effect can advance the maximum values of the ROPs of O radical to a lower temperature, and this advancing effect increases with increases in the n-heptane mass fraction. O radical can also advance the maximum reaction rates of the ROPs of O radical to a lower temperature, but it will lead to a decrease in the maximum values of ROPs at a n-heptane mass fraction of 10%. As the n-heptane mass fraction increases, O radical still has a significant effect on the maximum reaction rates of R10|G10 and R12|G12, but has a promoting effect on the maximum reaction rates of R230 and R249;
- The chemical effect has a promoting effect on the sensitivity coefficients of all 13 reactions at a n-heptane mass fraction of 10%. When the n-heptane mass fraction is 30%, the chemical effect still has a promotional effect on the sensitivity coefficients of reactions related to ammonia, but has an inhibitory effect on the sensitivities of reactions associated with n-heptane at 800 K and 900 K. O radical has a promoting effect on the sensitivities of reactions associated with ammonia. O radical has an inhibitory effect on the sensitivities of reactions associated with n-heptane at 800 K and 1100 K, but has a promoting effect on those at 900 K. When the n-heptane mass fraction is 30%, the chemical effect has an inhibitory effect on the sensitivities of reactions associated with n-heptane at 800 K and 900 K, but has a promoting effect on those at 1100 K. The chemical effect has a promoting effect on the sensitivities of reactions associated with ammonia at all three temperatures. O radical has a slight inhibitory effect on the sensitivities of reactions associated with n-heptane at 800 K and 900 K, but has a promoting effect on those at 1100 K. Moreover, O radical has a slight promotional effect on the sensitivity coefficients of reactions related to ammonia.
Author Contributions
Funding
Data Availability Statement
Conflicts of Interest
Nomenclature
| IDT | Ignition delay time |
| NTC | Negative temperature coefficient |
| ROP | Rate of consumption and production |
| RCM | Rapid compression machine |
| ST | Shock tube |
References
- Reitz, R.D. Directions in internal combustion engine research. Combust. Flame 2013, 160, 1–8. [Google Scholar] [CrossRef]
- Menegaki, A.N.; Tsagarakis, K.P. Rich enough to go renewable, but too early to leave fossil energy? Renew. Sustain. Energy Rev. 2015, 41, 1465–1477. [Google Scholar] [CrossRef]
- Shafiee, S.; Topal, E. When will fossil fuel reserves be diminished? Energy Policy 2009, 37, 181–189. [Google Scholar] [CrossRef]
- Foxon, T.J. A coevolutionary framework for analysing a transition to a sustainable low carbon economy. Ecol. Econ. 2011, 70, 2258–2267. [Google Scholar] [CrossRef]
- Chu, H.; Ya, Y.; Nie, X.; Qiao, F.; Jiaqiang, E. Effects of adding cyclohexane, n-hexane, ethanol, and 2,5-dimethylfuran to fuel on soot formation in laminar coflow n-heptane/iso-octane diffusion flame. Combust. Flame 2021, 225, 120–135. [Google Scholar] [CrossRef]
- Liu, L.; Wu, Y.; Wang, Y. Numerical investigation on the combustion and emission characteristics of ammonia in a low-speed two-stroke marine engine. Fuel 2022, 314, 122727. [Google Scholar] [CrossRef]
- Dimitriou, P.; Javaid, R. A review of ammonia as a compression ignition engine fuel. Int. J. Hydrogen Energy 2020, 45, 7098–7118. [Google Scholar] [CrossRef]
- Kim, K.; Roh, G.; Kim, W.; Chun, K. A Preliminary Study on an Alternative Ship Propulsion System Fueled by Ammonia: Environmental and Economic Assessments. J. Mar. Sci. Eng. 2020, 8, 183. [Google Scholar] [CrossRef]
- Kobayashi, H.; Hayakawa, A.; Somarathne, K.K.A.; Okafor, E.C. Science and technology of ammonia combustion. Proc. Combust. Inst. 2019, 37, 109–133. [Google Scholar] [CrossRef]
- Lesmana, H.; Zhang, Z.; Li, X.; Zhu, M.; Xu, W.; Zhang, D. NH3 as a Transport Fuel in Internal Combustion Engines: A Technical Review. J. Energy Resour. Technol. 2019, 141, 070703. [Google Scholar] [CrossRef]
- Lhuillier, C.; Brequigny, P.; Contino, F.; Mounaïm-Rousselle, C. Experimental study on ammonia/hydrogen/air combustion in spark ignition engine conditions. Fuel 2020, 269, 117448. [Google Scholar] [CrossRef]
- Koike, M.; Suzuoki, T.; Takeuchi, T.; Homma, T.; Hariu, S.; Takeuchi, Y. Cold-start performance of an ammonia-fueled spark ignition engine with an on-board fuel reformer. Int. J. Hydrogen Energy 2021, 46, 25689–25698. [Google Scholar] [CrossRef]
- Haputhanthri, S.O.; Maxwell, T.T.; Fleming, J.; Austin, C. Ammonia and Gasoline Fuel Blends for Spark Ignited Internal Combustion Engines. J. Energy Resour. Technol. 2015, 137, 062201. [Google Scholar] [CrossRef]
- Frigo, S.; Gentili, R.; Doveri, N. Ammonia Plus Hydrogen as Fuel in a S.I. Engine: Experimental Results; SAE Technical Paper, 2012-32-0019; SAE International: Warrendale, PA, USA, 2012. [Google Scholar]
- Starkman, E.S.; Newhall, H.K.; Sutton, R.; Maguire, T.; Farbar, L. Ammonia as a Spark Ignition Engine Fuel: Theory and Application. SAE Trans. 1966, 75, 660150. [Google Scholar]
- Lhuillier, C.; Brequigny, P.; Contino, F.; Mounaïm-Rousselle, C. Experimental investigation on ammonia combustion behavior in a spark-ignition engine by means of laminar and turbulent expanding flames. Proc. Combust. Inst. 2021, 38, 5859–5868. [Google Scholar] [CrossRef]
- Lhuillier, C.; Brequigny, P.; Contino, F.; Rousselle, C. Performance and Emissions of an Ammonia-Fueled SI Engine with Hydrogen Enrichment; SAE Technical Paper, 2019-24-0137; SAE International: Warrendale, PA, USA, 2019. [Google Scholar]
- Starkman, E.S.; James, G.E.; Newhall, H.K. Ammonia as a Diesel Engine Fuel: Theory and Application. SAE Trans. 1967, 76, 670946. [Google Scholar]
- Reiter, A.J.; Kong, S.-C. Diesel Engine Operation Using Ammonia as a Carbon-Free Fuel. In Proceedings of the ASME 2010 Internal Combustion Engine Division Fall Technical Conference, San Antonio, TX, USA, 12–15 September 2010; pp. 111–117. [Google Scholar]
- Reiter, A.J.; Kong, S.-C. Combustion and emissions characteristics of compression-ignition engine using dual ammonia-diesel fuel. Fuel 2011, 90, 87–97. [Google Scholar] [CrossRef]
- Niki, Y.; Nitta, Y.; Sekiguchi, H.; Hirata, K. Diesel Fuel Multiple Injection Effects on Emission Characteristics of Diesel Engine Mixed Ammonia Gas into Intake Air. J. Eng. Gas Turbines Power 2019, 141, 061020. [Google Scholar] [CrossRef]
- Feng, Y.; Zhu, J.; Mao, Y.; Raza, M.; Qian, Y.; Yu, L.; Lu, X. Low-temperature auto-ignition characteristics of NH3/diesel binary fuel: Ignition delay time measurement and kinetic analysis. Fuel 2020, 281, 118761. [Google Scholar] [CrossRef]
- Neely, G.D.; Florea, R.; Miwa, J.; Abidin, Z. Efficiency and Emissions Characteristics of Partially Premixed Dual-Fuel Combustion by Co-Direct Injection of NG and Diesel Fuel (DI2)—Part 2; SAE Technical Paper 2017-01-0766; SAE International: Warrendale, PA, USA, 2017. [Google Scholar]
- Curran, H.; Gaffuri, P.; Pitz, W.; Westbrook, C. A Comprehensive Modeling Study of n-Heptane Oxidation. Combust. Flame 1998, 114, 149–177. [Google Scholar] [CrossRef]
- Zhang, K.; Banyon, C.; Bugler, J.; Curran, H.J.; Rodriguez, A.; Herbinet, O.; Battin-Leclerc, F.; B’Chir, C.; Heufer, K.A. An updated experimental and kinetic modeling study of n- heptane oxidation. Combust. Flame 2016, 172, 116–135. [Google Scholar] [CrossRef]
- Yu, L.; Zhou, W.; Feng, Y.; Wang, W.; Zhu, J.; Qian, Y.; Lu, X. The effect of ammonia addition on the low-temperature autoignition of n-heptane: An experimental and modeling study. Combust. Flame 2020, 217, 4–11. [Google Scholar] [CrossRef]
- Dong, S.; Wang, B.; Jiang, Z.; Li, Y.; Gao, W.; Wang, Z.; Cheng, X.; Curran, H.J. An experimental and kinetic modeling study of ammonia/n-heptane blends. Combust. Flame 2022, 246, 112428. [Google Scholar] [CrossRef]
- Zhang, Y.; Zhou, W.; Liang, Y.; Yu, L.; Lu, X. An experimental and detailed kinetic modeling study of the auto-ignition of NH3/diesel mixtures: Part 1—NH3 substitution ratio from 20% to 90%. Combust. Flame 2023, 251, 112391. [Google Scholar] [CrossRef]
- Zhang, Y.; Liang, Y.; Zhou, W.; Yu, L.; Lu, X. An experimental and detailed kinetic modeling study of the auto-ignition of NH3/diesel mixtures: Part 2—Wide pressures up to 120 bar. Combust. Flame 2024, 259, 113131. [Google Scholar] [CrossRef]
- Wen, M.; Liu, H.; Cui, Y.; Ming, Z.; Feng, L.; Wang, G.; Yao, M. Study on combustion stability and flame development of ammonia/n-heptane dual fuel using multiple optical diagnostics and chemical kinetic analyses. J. Clean. Prod. 2023, 428, 139412. [Google Scholar] [CrossRef]
- Thorsen, L.S.; Jensen, M.S.; Pullich, M.S.; Christensen, J.M.; Hashemi, H.; Glarborg, P.; Alekseev, V.A.; Nilsson, E.J.; Wang, Z.; Mei, B.; et al. High pressure oxidation of NH3/n-heptane mixtures. Combust. Flame 2023, 254, 112785. [Google Scholar] [CrossRef]
- Song, M.; Wang, Q.; Wang, Z.; Fang, Y.; Qu, W.; Gong, Z.; Feng, L. Auto-ignition characteristics and chemical reaction mechanism of ammonia/n-heptane mixtures with low n-heptane content. Fuel 2024, 364, 131011. [Google Scholar] [CrossRef]
- Huang, Z.; Wang, H.; Luo, K.; Fan, J. Direct numerical simulation of ammonia/n-heptane dual-fuel combustion under high pressure conditions. Fuel 2024, 367, 131460. [Google Scholar] [CrossRef]
- Li, J.; Huang, H.; Kobayashi, N.; Wang, C.; Yuan, H. Numerical study on laminar burning velocity and ignition delay time of ammonia flame with hydrogen addition. Energy 2017, 126, 796–809. [Google Scholar] [CrossRef]
- Sun, W.; Lin, S.; Zhang, H.; Guo, L.; Zeng, W.; Zhu, G.; Jiang, M. A reduced combustion mechanism of ammonia/diesel optimized with multi-objective genetic algorithm. Def. Technol. 2024, 34, 187–200. [Google Scholar] [CrossRef]
- Wang, B.; Dong, S.; Jiang, Z.; Gao, W.; Wang, Z.; Li, J.; Yang, C.; Wang, Z.; Cheng, X. Development of a reduced chemical mechanism for ammonia/n-heptane blends. Fuel 2023, 338, 127358. [Google Scholar] [CrossRef]
- Mathieu, O.; Petersen, E.L. Experimental and modeling study on the high-temperature oxidation of Ammonia and related NOx chemistry. Combust. Flame 2015, 162, 554–570. [Google Scholar] [CrossRef]






















| Number | Reaction |
|---|---|
| R3 | O + H2 = OH + H |
| R10 | O2 + H = O + OH |
| R12 | OH + OH = H2O + O |
| R230 | NH3 + O = NH2 + OH/ND3 + O = ND2 + OD |
| R249 | NH + O2 = HNO + O/ND + O2 = DNO + O |
| G3 | O + D2 = OD + D/G + D2 = GD + D |
| G10 | O2 + D = O + OD/O2 + D = O + OD |
| G12 | OD + OD = D2O + O/GD + GD = D2G + G |
| Number | Reaction |
|---|---|
| R92 | C2H5 + O2 = C2H4 + HO2 |
| R170 | NC7H16 + OH = C7H15 + H2O |
| R176 | C7H15O2 = C7H14 + HO2 |
| R178 | C7H14OOH + O2 = C7H14OOHO2 |
| R219 | 2NH2 (+M) = N2H4 (+M) |
| R231 | OH + NH3 = H2O + NH2 |
| R238 | NH3 + O2 = NH2 + HO2 |
| R239 | NH2 + HO2 = OH + H2NO |
| R243 | HONO + NH2 = NH3 + NO2 |
| R244 | NO2 + NH2 = NO + H2NO |
| R245 | NO2 + NH2 = H2O + N2O |
| R336 | NO + NH2 = H2O + N2 |
| R337 | NO + NH2 = OH + NNH+ |
Disclaimer/Publisher’s Note: The statements, opinions and data contained in all publications are solely those of the individual author(s) and contributor(s) and not of MDPI and/or the editor(s). MDPI and/or the editor(s) disclaim responsibility for any injury to people or property resulting from any ideas, methods, instructions or products referred to in the content. |
© 2024 by the authors. Licensee MDPI, Basel, Switzerland. This article is an open access article distributed under the terms and conditions of the Creative Commons Attribution (CC BY) license (https://creativecommons.org/licenses/by/4.0/).
Share and Cite
Li, Z.; Zhang, Y.; Li, J.; Xu, C.; Wen, H.; Shen, J.; Jing, H.; Liu, H.; Wang, X.; Zhao, H. Decoupling Analysis of Ignition Processes of Ammonia/N-Heptane Mixtures. Energies 2024, 17, 4938. https://doi.org/10.3390/en17194938
Li Z, Zhang Y, Li J, Xu C, Wen H, Shen J, Jing H, Liu H, Wang X, Zhao H. Decoupling Analysis of Ignition Processes of Ammonia/N-Heptane Mixtures. Energies. 2024; 17(19):4938. https://doi.org/10.3390/en17194938
Chicago/Turabian StyleLi, Zheng, Yilin Zhang, Jingrui Li, Changchun Xu, Huabing Wen, Jianhua Shen, Haiguo Jing, Haifeng Liu, Xinyan Wang, and Hua Zhao. 2024. "Decoupling Analysis of Ignition Processes of Ammonia/N-Heptane Mixtures" Energies 17, no. 19: 4938. https://doi.org/10.3390/en17194938
APA StyleLi, Z., Zhang, Y., Li, J., Xu, C., Wen, H., Shen, J., Jing, H., Liu, H., Wang, X., & Zhao, H. (2024). Decoupling Analysis of Ignition Processes of Ammonia/N-Heptane Mixtures. Energies, 17(19), 4938. https://doi.org/10.3390/en17194938

