Abstract
For an electric locomotive traction motor, it is necessary to maintain relatively low vibration and noise due to the higher design standards. By using effective motor control strategies and implementing current harmonic suppression schemes, motor efficiency and vibration and noise suppression can be effectively improved. This study investigates the current harmonic suppression strategy for permanent magnet synchronous motors by (1) constructing a mathematical model of the permanent magnet motor to explore the sources of low-order harmonics currents such as fifth and seventh harmonics, as well as high-order harmonics at switch frequencies and their multiples, and analyzing the electromagnetic force characteristics generated by the current, and (2) establishing a vector control system for the permanent magnet motor. To suppress the fifth and seventh harmonic components in the current, a resonance controller is constructed, which utilizes the parallel connection of a resonator and PI controller to achieve low-order harmonic suppression. The factors affecting the effectiveness of the resonance controller’s suppression are also analyzed. The experiments are conducted, and the current harmonic suppression scheme constructed in this study can effectively reduce the harmonics in the current, thereby reducing motor vibration and noise.
1. Introduction
Regarding electric locomotives using permanent magnet traction motors, due to operational constraints, permanent magnet synchronous motors used for traction not only have high demands on electromagnetic performance but also strict limitations on vibration and noise criteria [1]. Low-frequency vibrations caused by low-frequency electromagnetic forces can lead to significant mechanical vibrations, resulting in considerable noise that severely impacts the motor’s performance [2,3]. In addition, it describes the maximum A-weighted sound power levels for airborne noise emitted by electrical machines in [4]. Therefore, low vibration of the motor is an important requirement for the motor control system design.
In the aspect of vibration and noise, researchers both domestically and abroad have extensively studied the causes and suppression schemes of vibration and noise of motors. In 1990, Wallace proposed that non-sinusoidal current harmonics can cause vibration and noise in variable-speed permanent magnet synchronous motors [5], and it shows that high-order current harmonics are the main cause of electromagnetic noise generation, thus emphasizing the impact of harmonics on motor vibration and noise analysis. British scholar A.J. Mitcham discovered that selecting appropriate pole slots for permanent magnet synchronous motors can weaken or even eliminate low-order armature magnetic harmonics, and this approach not only reduces stray losses in the motor rotor, but also suppresses motor stator vibration [6]. In 2011, Yang Haodong found that injecting current into the stator windings opposite to the frequency of the electromagnetic force wave can eliminate electromagnetic force harmonics, thereby reducing motor vibration [7]. Professor Wang Shanming from Tsinghua University discovered that the electromagnetic vibration frequency of permanent magnet motors is related to pole number and slot number, and a permanent magnet pole structure scheme is proposed to suppress low-frequency vibration [8].
Currently, the methods to reduce vibration noise can mainly be categorized into three aspects: first, improving from the perspective of motor component design and assembly processes; second, adjusting certain parameters within the motor itself from a structural standpoint; third, incorporating modules for suppressing current harmonics into the motor control strategy.
From the perspective of motor control systems, reducing harmonic components in three-phase currents is a highly effective and convenient method. By suppressing harmonic components in the current, it optimizes motor performance, reduces vibration and noise, and achieves the goal of operating the motor with low vibration [9].
Harmonic injection methods enable control over arbitrary harmonic components, effectively addressing optimization challenges in motor systems. Currently, research on injecting harmonics into permanent magnet synchronous motors (PMSMs) to suppress vibration and noise is still developing. Some scholars have established mathematical models correlating injected harmonic quantities with required compensation levels, designing injection strategies based on these relationships [10]. Other researchers focus on comprehensive motor optimization and multi-objective control, integrating harmonic injection techniques with performance parameter optimization, including considerations like stator copper losses [11]. In addition, incorporating advanced intelligent algorithms into suppression strategies can reduce computational complexity in PMSM systems. Examples include genetic control algorithms [12] and neural network control algorithms [13], which can dynamically adjust the frequency, amplitude, and phase of injected harmonics to achieve enhanced vibration and noise suppression. Measurements in the literature [14] employ a two-sample design and utilize a single-sample statistical approach to estimate the uncertainty of repeated measurements during data processing. Zhu Ziqiang proposed a method involving a virtual three-phase system constructed with a certain phase delay relative to the reference frame, extracting harmonic currents from this virtual system and the original physical three-phase system [15].
Additionally, when suppressing low-order harmonic components in motor currents, especially fifth and seventh harmonics, utilizing a proportional integral resonant (PIR) controller to suppress specified harmonic currents is also an available option [16]. However, the characteristics of the resonance controller have not been analyzed in detail, and the characteristic laws of the controller on motor vibration have not been explored. In this study, the resonance controller is introduced to suppress vibration. The electromagnetic force characteristic of the PMSM will be described in Section 2. Moreover, the basic principle of the resonance controller will be analyzed from multiple perspectives in Section 3. Furthermore, the effectiveness of the proposed scheme is verified from the perspectives of simulation and experiments.
2. Electromagnetic Force Analysis
2.1. Analysis of Low-Order Harmonic Current
Non-sinusoidal currents i(t) that satisfy the Dirichlet conditions can be decomposed as [17]
Due to the symmetric nature of the modulation wave signal in space vector pulse width modulation, there are no even harmonic components in the current harmonics. When a three-phase inverter supplies power to the motor, the fundamental component can be expressed as
where m is the number of phases, Ud is the DC bus voltage, and is the angular frequency.
Fourier series expansion of three-phase inverter power supply voltage includes the following:
(1) When the components of the output line voltage are k = 1, 3, 5, 7… and n = 2, 4, 6, 8…, it can be written as
(2) When the components of the output line voltage are k = 2, 4, 6, 8… and n = 1, 3, 5, 7…, it can be written as
where is the carrier angular frequency of the frequency converter.
When the motor is powered by the inverter, the angular frequency of the voltage harmonics in the internal winding of the motor is , and the harmonic order introduced by the inverter is usually in the sideband ripple around . The above voltage harmonics generate current harmonics of the same order in the stator winding of the permanent magnet motor, and the current harmonics of the same order differ by 120° in the three-phase winding. The analytical expression is shown in Equation (5):
Based on Equation (5), the current harmonics in the three-phase winding of a permanent magnet motor is summarized as follows:
(1) When n = 3k + 1 (k = 0, 1, 2...), the harmonic magnitude in each phase winding is the same, and the phase difference is 120°, which is called positive sequence current.
(2) When n = 3k − 1 (k = 0, 1, 2...), the harmonic magnitude in each phase winding is the same, and the phase difference is 120°. However, when the B and C phase currents are exactly opposite to the positive sequence current, it is called a negative sequence current.
(3) When n = 3k (k = 0, 1, 2...), the magnitude and phase of harmonics in each phase winding are exactly the same. Due to the inability to conduct and the absence of a circuit, there are no current harmonics of 3 or its integer orders in the permanent magnet synchronous motor powered by the inverter.
In summary, in three-phase star connected permanent magnet motors powered by frequency converters, the most significant low-order harmonic current order is represented by .
2.2. Electromagnetic Force Calculation
According to Maxwell’s stress method, and in the air-gap magnetic field, the radial air-gap magnetic density is much larger than the tangential magnetic field density . Therefore, the tangential magnetic density can be neglected, and the air-gap radial electromagnetic force density in the motor can be written as [18]
The radial electromagnetic force density under load conditions is
The detailed expressions for each part in (7) are
The above expression provides an analytical calculation for the radial electromagnetic force of a three-phase permanent magnet synchronous motor when powered by a converter.
3. Basic Principle of Resonance Controller
The dq-axis voltage equations of a three-phase permanent magnet synchronous motor can be written as
where and represent the dq-axis voltage; R represents stator resistance; and represent the current on the d and q axes; and represent the inductance of the d and q axes; represents the electrical angular velocity of the motor; stands for permanent magnet flux.
For motors with DC voltage, the errors can be completely eliminated by using a traditional PI regulator, where the transfer function of the PI regulator is
Correspondingly, when the controlled variable of the control system is an AC signal, the transfer function of the proportional integral resonant controller (PIR controller) can be derived through Equation (15) as follows:
where is the resonant frequency, is the proportional gain, and is the integral gain. The PIR regulator ensures that there is no steady-state error in tracking the controlled variable when it is an AC signal. When the angular frequency of the controlled AC signal is , the amplitude of the PR controller is
From Equation (17), it can be seen that the amplitude of is infinite at this time, thereby achieving zero steady-state error control for sine signals with the same frequency as the resonant frequency. Since there is no need to perform proportional gain on the signal in this study, let = 0, and the transfer function of the resonant controller is obtained as follows:
where is the resonant frequency, and k is the corresponding proportionality coefficient. The resonance controller has an infinite gain effect at the corresponding resonant frequency point, so it can control certain specific harmonic frequencies to achieve a suppression effect.
In practical design, to achieve the goal, a structure is adopted in which the resonance controller is connected in parallel with the PI control modules in the current loop and speed loop, as shown in Figure 1, to suppress harmonics. Figure 1 shows that the resonance controller needs to be connected in parallel with the PI regulator in the current loop when connected to the control system. The sign“+” indicates positive feedback, and sign “−”indicates negative feedback.
Figure 1.
Schematic diagram of parallel connection of PI control module and harmonic regulator.
4. Verification of Resonance Controller
4.1. Simulation Verification
Before conducting the simulation, the values of the parameters in the resonance controller should be calculated. The transfer function of the resonance controller designed to suppress the sixth harmonic of the d and q axes is
Here, , where is the electrical angular velocity of the motor, . k represents a proportionality coefficient, and in this study, k is varied from 0 to 60 in the simulation. When k is between 0 and 10, the step size is 0.5. When k is between 10 and 60, the step size is 5.
When k = 0, that means the resonance controller is not added to the control system, FFT analysis is performed on the output three-phase current of the permanent magnet synchronous motor, as shown in Figure 2.
Figure 2.
(a) The Time domain current waveform, (b) The FFT results.
From Figure 2, it can be seen that in the low-order harmonics of the motor, the fifth and seventh harmonics are significantly larger and need to be suppressed. By changing the value of k, the harmonic suppression of the resonance controller under different parameters can be simulated and verified.
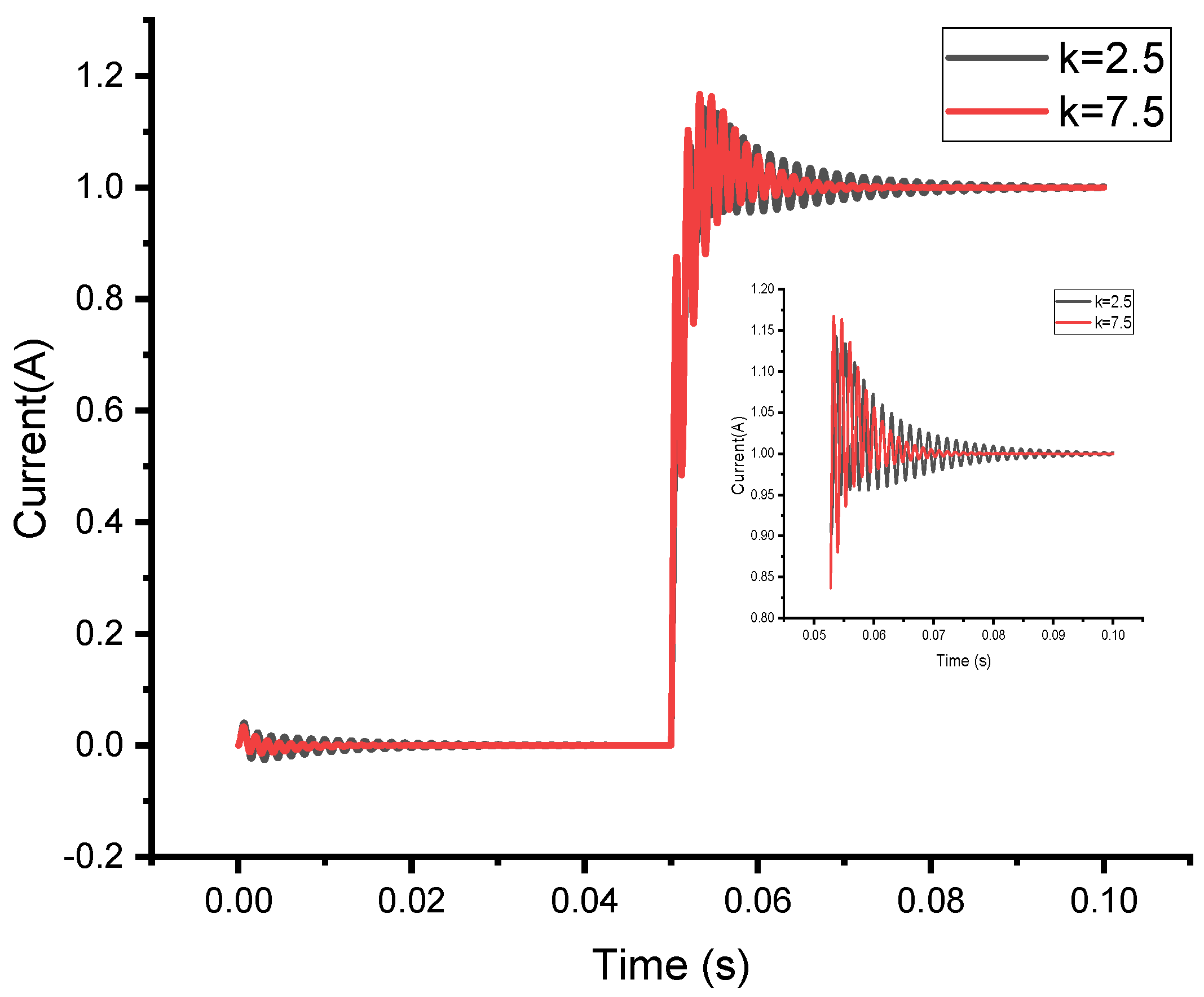
In order to verify the effectiveness of the resonance controller in the motor control system, a parallel connection between the resonance controller and the PI control module is adopted, as shown in Figure 3. In the simulation, the parameters of permanent magnet drive motor are as follows: rated power of 2.2 kW, p = 4, = 2.2 mH, = 2.2 mH, and the rated speed is 1500 rpm. For the current loop, a step signal is given to the system, and the step response of the system is simulated and measured at k = 0, 2.5, 5, 7.5, and 10, respectively. The obtained results can be seen in Figure 4.
Figure 3.
The simulation structure of the system with the addition of a resonance controller.
Figure 4.
(a) Waveform of parameter k at 0 and 5; (b) waveforms of parameter k at 2.5 and 7.5.
Figure 4a shows the comparison of step responses between k = 0 and k = 5, and it can be seen that as the value of k increases, the frequency of current changes increases. Figure 4b compares the results between k = 2.5 and k = 7.5, and Figure 5 compares the results between k = 5 and k = 10. From Figure 4 and Figure 5, it can be seen that without the harmonic compensator (where k = 0), the current’s step response is disturbed by sixth harmonic interference, preventing the system from stabilizing. However, with the harmonic compensator introduced, the step response of the system reaches a stable state after some time. Additionally, as the value of k increases, the fluctuation in the system’s step response decreases, allowing it to stabilize more quickly.
Figure 5.
Waveforms of parameter k at 5 and 10.
Meanwhile, under the condition of k = 5, the addition of a resonance controller module in the control system suppresses low-order harmonic components in the current. The waveform of the three-phase current in the system, the FFT analysis results of the three-phase current, and the simulation measurement results of the motor speed waveform are shown in Figure 6, Figure 7 and Figure 8. The motor currents and their corresponding FFT results are presented in Figure 6a and Figure 6b, respectively. Figure 7a,b depict the rotational speed waveform and the q-axis current waveform, respectively. The electromagnetic torque waveform and the dq-axis current waveform are presented in Figure 8a,b, respectively.
Figure 6.
(a) Three-phase current waveform; (b) FFT analysis results of three-phase current.
Figure 7.
(a) Speed waveform; (b) the q-axis current waveform.
Figure 8.
(a) Electromagnetic torque waveform; (b) d, q-axis current waveform.
Figure 6, Figure 7 and Figure 8 show the simulation results of the three-phase current, FFT analysis of the current, waveform of the speed, given q-axis current, electromagnetic torque waveform, and dq axis current waveform of the motor, respectively.
Similarly, when k = 50, measurements were taken on various parameters in the control system, and the results are shown in Figure 9, Figure 10 and Figure 11. The motor’s three-phase currents and their corresponding FFT results are presented in Figure 9a and Figure 9b, respectively. The electromagnetic torque waveform and the q-axis current waveform are presented in Figure 10a,b, respectively. The dq-axis current waveform is presented in Figure 11.
Figure 9.
(a) Three-phase current waveform; (b) speed waveform.
Figure 10.
(a) Electromagnetic torque waveform; (b) the waveform of q-axis current.
Figure 11.
d, q-axis current waveform.
Comparing Figure 9, Figure 10 and Figure 11 with Figure 6, Figure 7 and Figure 8, it can be observed that when the parameter k in the resonance controller is set to a larger value, there is a significant impact on the motor’s current and electromagnetic torque at the beginning, resulting in a large number of nonlinear factors. However, the system can maintain stable operation in the future. Moreover, the addition of a resonance controller does not have a significant impact on the parameters of various parts of the motor.
In order to verify the suppression effect of the resonance controller on the fifth and seventh harmonics, the percentage of the fifth and seventh harmonic components to the fundamental wave was used as a reference to simulate the situation of k at different values. The results are shown in Figure 12.
Figure 12.
(a) Waveform of the fifth harmonic component as a function of k value; (b) waveform of the seventh harmonic component as a function of k value.
From Figure 12, it can be seen that when k < 3, as the value of k increases, the suppression effect of the resonance controller on the fifth and seventh harmonics significantly increases. Although there is a slight increase in the percentage of harmonic components at the beginning, it quickly decreases. The fifth harmonic component reached below 0.3%, and the seventh harmonic component reached below 0.2%, indicating a good suppression effect. However, with the increase in k value, the fifth and seventh harmonic components did not decrease but instead increased. The larger the k value, the higher the harmonic components, indicating that the selection of k value in the resonance controller should not be too large, otherwise the optimal harmonic suppression effect cannot be achieved, and it should be controlled within 20 as much as possible.
4.2. Test Verification
The experimental platform mainly consists of two motors, a permanent magnet motor (experimental prototype) and a load motor, as well as testing equipment. The experimental platform is shown in Figure 13. The vibration sensor is the CA-YD-187T probe produced by Jiangsu Lianneng Electronics (Yixing City, China), the vibration tester is the YE6231C collector, the load motor and load controller are both products of Delta, the rated power of the load motor is 15 kW, the rated speed is 3000 rpm, and the oscilloscope is a product of ZLG Zhiyuan Electronics (Guangzhou, China). The parameters of permanent magnet drive motor are as follows: rated power of 11 kW, p = 3, = 6 mH, = 23 mH, and the rated speed is 3000 rpm.
Figure 13.
Test platform.
The oscilloscope measures voltage and current, the vibration sensor measures the vibration acceleration signal, and then the measured data upload to the computer. There are two drive controllers, one for controlling the load motor and the other for controlling the prototype motor.
Figure 14 shows the Fourier decomposition results of the motor current at 1000 rpm. As shown in Figure 14, when no current harmonic suppression scheme is adopted, the current harmonics contain not only the fundamental component, but also the fifth and seventh harmonic components with larger amplitudes. After adopting the current harmonic suppression scheme proposed in this article, the fifth and seventh harmonic components in the current are effectively suppressed.
Figure 14.
FFT comparison of the tested stator currents.
Figure 15 shows the measured motor vibration acceleration and its Fourier decomposition results for the improved and conventional schemes. As can be seen from the figure, the motor vibration acceleration frequency is an even multiple of the current frequency. Additionally, the motor vibration acceleration with the improved scheme is lower than that with the conventional control scheme. The vibration acceleration at frequencies of 100 Hz, 200 Hz, 300 Hz, 500 Hz, and 600 Hz in the low-frequency band decreased from 0.011 g, 0.0099 g, 0.0106 g, 0.0127 g, and 0.0186 g to 0.009 g, 0.007 g, 0.008 g, 0.0106 g, and 0.0155 g, respectively. This represents a reduction of over 20%, primarily due to the decreased harmonic content in the current. This indicates that decreasing the harmonic content of the current can effectively lower the motor’s vibration acceleration.
Figure 15.
(a) The measured time-domain vibration acceleration, (b) FFT result.
Table 1 shows the comparison results of current harmonics at the same torque but different speeds. According to Table 1, the fundamental current gradually increases with the speed at the same torque. In addition, for different operating conditions, the use of resonant regulators effectively suppresses the fifth and seventh harmonic currents in the current harmonics.
Table 1.
Comparison of current harmonics in two situations.
Table 2 shows the comparison results of vibration harmonics. It should be noted that Table 2 only presents a few prominent components in low-frequency vibration of the motor. It can be seen that the vibration acceleration increases with speed. Moreover, the vibration acceleration of the motor with a resonance controller is smaller than that of the motor without a resonance controller, and the reduction amplitude reaches more than 30%.
Table 2.
Comparison of vibration harmonics in two situations.
5. Conclusions
This study uses a resonance controller to suppress the fifth and seventh harmonics of the current, the simulation and experimental verification of the current harmonic suppression effect of this scheme in the control system is conducted, and the effectiveness of the vibration suppression scheme is experimentally validated. The output characteristics of the resonant regulator module are analyzed through step response, and it is simulated and experimentally verified in the motor control system. The research results showed the following:
- (1)
- The resonant regulator has almost no effect on the fundamental current, speed, and other parameters in the motor control system.
- (2)
- The parameter k in the resonant regulator affects the suppression effect of low-order harmonic currents. As the parameter k increases, the suppression effect of the resonant regulator on the fifth and seventh harmonics increases. When k changes from 0 to 5, the fifth harmonic of the current decreases from 0.575 A to 0.248 A, a decrease of 56.87%, and the seventh harmonic decreases from 0.422 A to 0.147 A, a decrease of 65.17%.
- (3)
- The introduction of resonant regulators can effectively suppress low-frequency vibration components of the motor, with a 29.3% reduction in amplitude at 200 Hz, a 24.53% reduction in amplitude at 300 Hz, a 16.53% reduction in amplitude at 500 Hz, and a 16.67% reduction in amplitude at 600 Hz.
Author Contributions
Conceptualization and formal analysis, C.M.; methodology and writing—original draft preparation, W.X.; software, M.L.; validation, J.H. All authors have read and agreed to the published version of the manuscript.
Funding
This research was funded by State Key Laboratory for Traction and Control System of EMU and Locomotive, grant number 2023YJ368.
Data Availability Statement
The data that support the findings of this study are available from the corresponding author, upon reasonable request.
Conflicts of Interest
Chi Ma, Wenzhong Xu and Mingtian Liu were employed by China Academy of Railway Science Corporation Limited. The remaining author declares that the research was conducted in the absence of any commercial or financial relationships that could be construed as a potential conflict of interest.
References
- IEC 60349.4-2012; Electric Traction-Rotating Electric Machines for Rail and Road Vehicles—Part 4: Permanent Magnet Synchronous Electrical Machines Connected to an Electronic Converter. International Electrotechnical Commission: Geneva, Switzerland, 2012.
- Fang, H.; Li, D.; Qu, R.; Yan, P. Modulation Effect of Slotted Structure on Vibration Response in Electrical Machines. IEEE Trans. Ind. Electron. 2019, 66, 2998–3007. [Google Scholar] [CrossRef]
- Yang, H.; Chen, Y. Influence of Radial Force Harmonics with Low Mode Number on Electromagnetic Vibration of PMSM. IEEE Trans. Energy Convers. 2014, 29, 38–45. [Google Scholar] [CrossRef]
- IEC 60034.9-2007; Rotating Electrical Machines—Part 9: Noise Limits. International Electrotechnical Commission: Geneva, Switzerland, 2007.
- Alan, K.; Wallace, R.S.; Larry, G.M. Current harmonics and acoustic noise in ac adjust ab.-speed drives. IEEE Trans. Ind. Appl. 1990, 26, 267–273. [Google Scholar]
- Mitcham, A.J.; Antonopoulos, G.; Cullen, J.J. Favourable slot and pole number combinations forfault-tolerant PM machines. IEEE Proc. Power Appl. 2004, 151, 520–525. [Google Scholar] [CrossRef]
- Yang, H.D.; Chen, Y.S. Electromagnetic Vibration Analysis and Suppression of Permanent Magnet Synchronous Motor with Fractional Slot Combination. Proc. CSEE 2011, 31, 83–89. [Google Scholar]
- Wang, S.M.; Hong, J.F.; Sun, Y.; Zheng, Z.; Cao, H. Filling Force Valley with Interpoles for Pole-Frequency Vibration Reduction in Surface-Mounted PM Synchronous Machines. IEEE Trans. Ind. Electron. 2020, 67, 6709–6720. [Google Scholar] [CrossRef]
- Xu, J.Z.; Han, J.W.; Wang, Y.; Ali, M.; Tang, H. High-Frequency SiC Three-Phase VSIs with Common-Mode Voltage Reduction and Improved Performance Using Novel Tri-State PWM Method. IEEE Trans. Power Electron. 2019, 34, 1809–1822. [Google Scholar] [CrossRef]
- Feng, G.; Lai, C.; Tian, J.; Kar, N.C. Multiple reference frame based torque ripple minimization for PMSM drive under both steady-state and transient conditions. IEEE Trans. Power Electron. 2018, 34, 6685–6696. [Google Scholar] [CrossRef]
- Kim, H.; Han, Y.; Lee, K.; Bhattacharya, S. A sinusoidal current control strategy based on harmonic voltage injection for harmonic loss reduction of PMSMs with non-sinusoidal back-EMF. IEEE Trans. Ind. Appl. 2020, 56, 7032–7043. [Google Scholar] [CrossRef]
- Lee, D.H.; Liang, J.; Lee, Z.G.; Ahn, J.-W. A simple nonlinear logical torque sharing function for low-torque ripple SR drive. IEEE Trans. Ind. Electron. 2009, 56, 3021–3028. [Google Scholar] [CrossRef]
- Feng, G.; Lai, C.; Mukherjee, K.; Kar, N.C. Online PMSM magnet flux-linkage estimation for rotor magnet condition monitoring using measured speed harmonics. IEEE Trans. Ind. Appl. 2017, 53, 2786–2794. [Google Scholar] [CrossRef]
- Karpenko, M.; Ževžikov, P.; Stosiak, M.; Skačkauskas, P.; Borucka, A.; Delembovskyi, M. Vibration Research on Centrifugal Loop Dryer Machines Used in Plastic Recycling Processes. Machines 2024, 12, 29. [Google Scholar] [CrossRef]
- Yan, L.; Zhu, Z.Q.; Shao, B.; Qi, J.; Ren, Y.; Gan, C.; Brockway, S.; Hilton, C. Arbitrary current harmonic decomposition and regulation for permanent magnet synchronous machines. IEEE Trans. Ind. Electron. 2022, 70, 4392–4404. [Google Scholar] [CrossRef]
- Beccue, P.; Neely, J.; Pekarek, S.; Stutts, D. Measurement and control of torque ripple-induced frame torsional vibration in a surface-mount permanent magnet machine. IEEE Trans. Power Electron. 2005, 20, 128–191. [Google Scholar] [CrossRef]
- Lai, Y.S.; Chang, Y.T.; Chen, B.Y. Novel Random-Switching PWM Technique with Constant Sampling Frequency and Constant Inductor Average Current for Digitally Controlled Converter. IEEE Trans. Ind. Electron. 2013, 60, 3126–3135. [Google Scholar] [CrossRef]
- Hong, J.F.; Gui, L.; Cao, J.C. Analysis and Experimental Verification of the Tangential Force effect on Electromagnetic Vibration of PM Motor. IEEE Trans. Energy Convers. 2023, 38, 1893–1902. [Google Scholar] [CrossRef]
Disclaimer/Publisher’s Note: The statements, opinions and data contained in all publications are solely those of the individual author(s) and contributor(s) and not of MDPI and/or the editor(s). MDPI and/or the editor(s) disclaim responsibility for any injury to people or property resulting from any ideas, methods, instructions or products referred to in the content. |
© 2024 by the authors. Licensee MDPI, Basel, Switzerland. This article is an open access article distributed under the terms and conditions of the Creative Commons Attribution (CC BY) license (https://creativecommons.org/licenses/by/4.0/).














