Design of Optimal Pitch Controller for Wind Turbines Based on Back-Propagation Neural Network
Abstract
1. Introduction
2. System Model and Linearization Processing
2.1. Wind Turbine Modeling
2.2. Linearization of Wind Turbine
3. Back-Propagation Optimal Controller Design
3.1. Design of Optimal Controller
3.2. Back-Propagation Optimal Controller Design
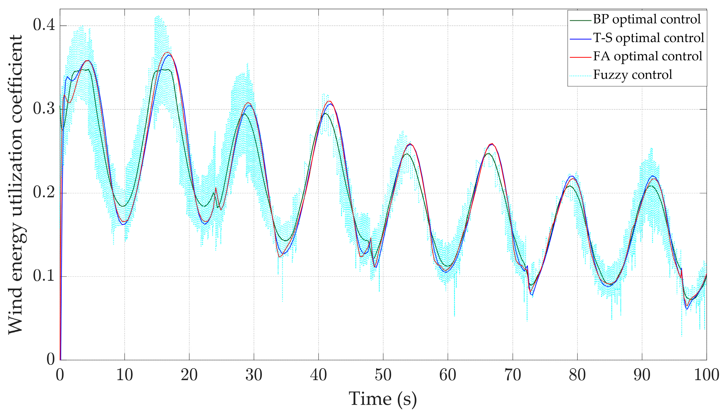
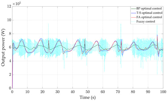
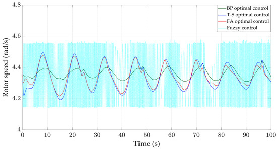
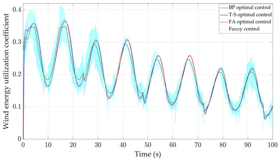
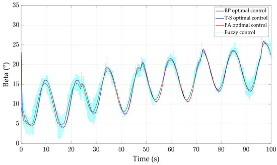
4. System Simulation and Result Analysis
5. Conclusions and Prospect
Author Contributions
Funding
Data Availability Statement
Acknowledgments
Conflicts of Interest
References
- Strong 2023 Offshore Wind Growth as Industry Sets Course for Record-Breaking Decade. Available online: https://gwec.net/strong-2023-offshore-wind-growth-as-industry-sets-course-for-record-breaking-decade/ (accessed on 17 June 2024).
- Zhang, M.; Cong, N.; Song, Y.; Xia, Q. Cost analysis of onshore wind power in China based on learning curve. Energy 2024, 291, 130459. [Google Scholar] [CrossRef]
- Liu, X. Research on pitch control and low voltage crossing technology of doubly-fed wind turbine. Appl. Energy Technol. 2023, 6, 39–43. [Google Scholar]
- Lu, S.-X.; Shi, H. Technical analysis of pitch angle control for wind turbine. Integr. Circuit Appl. 2023, 40, 70–72. [Google Scholar]
- Yang, B.; Yang, L. Research on Robust Control of Variable Speed and Variable Pitch Permanent Magnet Synchronous Wind Turbine; Kunming University of Science and Technology: Kunming, China, 2022. [Google Scholar]
- Ren, H.; Zhang, H.; Zhou, H.; Zhang, P.; Lei, X.; Deng, G.; Hou, B. A Novel Constant Output Powers Compound Control Strategy for Variable-speed Variable-Pitch Wind Turbines. IEEE Access 2018, 6, 17050–17059. [Google Scholar] [CrossRef]
- Zhang, K.; Lu, W.; Xiong, L.; Wang, M.; Ding, Y. Maximum Power Control of wind Power System based on improved active disturbance rejection. China Electr. Eng. 2022, 12, 7–13+41. [Google Scholar]
- Qin, S.; Hu, G.; Gu, C.; Li, D. Constant Power Nonlinear H∞ Robust Control of Wind Power System. Control Theory Appl. 2012, 29, 617–622. [Google Scholar]
- Ren, B.; Jia, Y.; Li, Q.; Wang, D.; Tang, W.; Zhang, S. Robust Wind Power Ramp Control Strategy Considering Wind Power Uncertainty. Electronics 2024, 13, 211. [Google Scholar] [CrossRef]
- Lasheen, A.; Elnaggar, M.; Yassin, H. Adaptive control design and implementation for collective pitch in wind energy conversion systems. ISA Trans. 2020, 102, 251–263. [Google Scholar] [CrossRef]
- Yang, Q.M.; Jiao, X.G.; Sun, Y.X. L1 adaptive pitch angle controller of wind energy conversion systems. ISA Trans. 2020, 103, 28–36. [Google Scholar] [CrossRef] [PubMed]
- Phung, B.N.; Wu, Y.-K.; Pham, M.-H. Novel Fuzzy Logic Controls to Enhance Dynamic Frequency Control and Pitch Angle Regulation in Variable-Speed Wind Turbines. Energies 2024, 17, 2617. [Google Scholar] [CrossRef]
- Lalonde, E.R.; Vischschraper, B.; Bitsuamlak, G.; Dai, K. Comparison of neural network types and architectures for generating a surrogate aerodynamic wind turbine blade model. J. Wind Eng. Ind. Aerodyn. 2021, 216, 104696. [Google Scholar] [CrossRef]
- Xu, Q.; Fan, Z.; Jia, W.; Jiang, C. Quantile regression neural network-based fault detection scheme for wind turbines with application to monitoring a bearing. Wind Energy 2019, 22, 1390–1401. [Google Scholar] [CrossRef]
- Liu, Y.; Xie, P.; Yang, Y.; Lu, Q.; Ma, X.; Zhou, C.; Wu, G.; Hu, X. Wind power output prediction in complex terrain based on modal decomposition attentional convolutional network. Front. Energy Res. 2023, 11, 1236597. [Google Scholar] [CrossRef]
- Luo, Z.; Wu, Y.; Zhu, J.; Zhao, W.; Wang, G.; Shen, X. Super-short-term Power Prediction of Wind Power Based on Multi-scale Time Series Block Auto-encoder Transformer Neural Network Model. Power Syst. Technol. 2023, 47, 3527–3537. [Google Scholar]
- Yang, J. Research on Power Smoothing Control Strategy of Wind Power System Based on RBF Neural Network; Northwest Minzu University: Lanzhou, China, 2023. [Google Scholar]
- He, G.; Qin, B.; Wang, X. Fault Modeling and Simulation of 5MW onshore wind power generation System. Electr. Eng. 2024, 4, 22–26. [Google Scholar]
- Shi, H. Research on Output Power Control Strategy of Wind Turbine Considering the Effect of Aerodynamic Effect; Shenyang Institute of Technology: Fushun, China, 2023. [Google Scholar]
- Zhang, J.; Ji, R.; Ma, Y.; Yang, M.; Wang, K. Wind Power Generation Variable Pitch fuzzy adaptive PID Control. Sci. Technol. Innov. Appl. 2022, 12, 16–19. [Google Scholar] [CrossRef]
- Shao, W.; Kang, E. Control System of Permanent Magnet Synchronous Motor Based on RBF Neural Network; Harbin University of Science and Technology: Harbin, China, 2019. [Google Scholar]
- Ren, H.; Hou, B.; Zhou, G.; Shen, L.; Wei, C.; Li, Q. Variable Pitch Active Disturbance Rejection Control of Wind Turbines Based on BP Neural Network PID. IEEE Access 2020, 8, 71782–71797. [Google Scholar] [CrossRef]
- Lu, Z.; Wang, H. Research on Maximum Power Point Tracking of SRG Wind Power Based on BP Neural Network. Mach. Build. Autom. 2019, 48, 217–220. [Google Scholar]
- Bai, Y.; Zhang, Y.; Chen, G.; Hong, Y. Modeling and Simulation of maximum Wind Energy Capture and pitch Control. Electrotech. Eng. 2019, 20, 136–139+143. [Google Scholar]
- Shan, J.; Pan, J.-S.; Chang, C.-K.; Chu, S.-C.; Zheng, S.-G. A distributed parallel firefly algorithm with communication strategies and its application for the control of variable pitch wind turbine. ISA Trans. 2021, 115, 79–94. [Google Scholar] [CrossRef]
- Shan, J.; Chu, S.-C.; Weng, S.-W.; Pan, J.-S.; Jiang, S.-J.; Zheng, S.-G. A parallel compact firefly algorithm for the control of variable pitch wind turbine. Eng. Appl. Artif. Intell. 2022, 111, 104787. [Google Scholar] [CrossRef]
- Mirinejad, H.; Inanc, T. An RBF collocation method for solving optimal control problems. Robotics and Autonomous systems. Robot. Auton. Syst. 2017, 87, 219–225. [Google Scholar] [CrossRef]
- Yang, Y. Adaptive Radial Basis Function Neural Network Biquadratic Function Optimal Control of Manipulator. Control Theory Appl. 2020, 37, 47–58. [Google Scholar]
- Sun, G.; Wang, H. Neural Network Adaptive Optimal Control of Robot Hydraulic Actuator. J. Huazhong Univ. Sci. Technol. Nat. Sci. Ed. 2015, 43, 7–11. [Google Scholar]
- Mao, J.; Wu, B.; Wu, A.; Zhang, X.; Yu, F. Fault Diagnosis and MPPT slip Mold Tolerance control for wind Power Generation System. J. Sol. Energy 2019, 41, 301–310. [Google Scholar]
- Betz, A. Das Maximum der theoretisch möglichen Ausnutzung des Windes durch Windmotoren. Z. Das Gesamte Turbinenwesen 1920, 26, 307–309. [Google Scholar]
- Zhang, H.; Hou, B.; Gao, J.; Guo, M. Research and implementation of steady pendulum control for linear inverted pendulum based on LQR. Mach. Des. Manuf. 2024, 1, 186–190. [Google Scholar]
- Pan, L.; Zhu, P.; Chen, C.; Chen, S. Analysis of coastal wind characteristics in Dafeng District, Yancheng City, Jiangsu Province. Henan Agric. 2017, 8, 31–32. [Google Scholar]



























| Simulation Scenarios | |
|---|---|
| 1 | Step wind speed: v = 13–21 m/s |
| 2 | Step wind speed under wind shear effect |
| 3 | Real-time wind speed |
| 4 | Mixed wind speed |
| Controller | Peak Power (MW) | Response Time (s) | Oscillation Range (MW) |
|---|---|---|---|
| BP optimal controller | 0.76 | 1 | 0.18 |
| T-S optimal controller | 0.96 | 2 | 0.36 |
| FA optimal controller | 0.96 | 2 | 0.39 |
| Fuzzy controller | 11 | 0.67 |
| Controller | Maximum Speed (rad/s) | Oscillation Range (rad/s) | Maximum Power (MW) |
|---|---|---|---|
| BP optimal controller | 4.4128 | 0.12 | 0.63 |
| T-S optimal controller | 4.4516 | 0.21 | 0.70 |
| FA optimal controller | 4.4363 | 0.19 | 0.69 |
| Fuzzy controller | 4.5611 | 0.49 | 0.96 |
| Controller | Maximum Speed (rad/s) | Minimum Speed (rad/s) |
|---|---|---|
| BP optimal controller | 4.5175 | 4.2997 |
| T-S optimal controller | 4.6385 | 4.1245 |
| FA optimal controller | 4.6149 | 4.1594 |
| Fuzzy controller | 4.6713 | 4.0537 |
| Controller | Maximum Speed (rad/s) | Minimum Speed (rad/s) |
|---|---|---|
| BP optimal controller | 4.4323 | 4.2839 |
| T-S optimal controller | 4.5111 | 4.1138 |
| FA optimal controller | 4.5113 | 4.1637 |
| Fuzzy controller | 4.6240 | 4.1425 |
Disclaimer/Publisher’s Note: The statements, opinions and data contained in all publications are solely those of the individual author(s) and contributor(s) and not of MDPI and/or the editor(s). MDPI and/or the editor(s) disclaim responsibility for any injury to people or property resulting from any ideas, methods, instructions or products referred to in the content. |
© 2024 by the authors. Licensee MDPI, Basel, Switzerland. This article is an open access article distributed under the terms and conditions of the Creative Commons Attribution (CC BY) license (https://creativecommons.org/licenses/by/4.0/).
Share and Cite
Qin, S.; Cao, Z.; Wang, F.; Ngu, S.S.; Kho, L.C.; Cai, H. Design of Optimal Pitch Controller for Wind Turbines Based on Back-Propagation Neural Network. Energies 2024, 17, 4076. https://doi.org/10.3390/en17164076
Qin S, Cao Z, Wang F, Ngu SS, Kho LC, Cai H. Design of Optimal Pitch Controller for Wind Turbines Based on Back-Propagation Neural Network. Energies. 2024; 17(16):4076. https://doi.org/10.3390/en17164076
Chicago/Turabian StyleQin, Shengsheng, Zhipeng Cao, Feng Wang, Sze Song Ngu, Lee Chin Kho, and Hui Cai. 2024. "Design of Optimal Pitch Controller for Wind Turbines Based on Back-Propagation Neural Network" Energies 17, no. 16: 4076. https://doi.org/10.3390/en17164076
APA StyleQin, S., Cao, Z., Wang, F., Ngu, S. S., Kho, L. C., & Cai, H. (2024). Design of Optimal Pitch Controller for Wind Turbines Based on Back-Propagation Neural Network. Energies, 17(16), 4076. https://doi.org/10.3390/en17164076

