Distribution Network Reconfiguration Optimization Using a New Algorithm Hyperbolic Tangent Particle Swarm Optimization (HT-PSO)
Abstract
1. Introduction
- The introduction of a novel hyperbolic tangent function allows for more precise control over the rate of change values, , within the range of [0.0–1.0]. This enhanced control facilitates the discovery of optimal solutions in particles’ behavior.
- By integrating the parameter, the method significantly improves the exploration of the search space, thereby enabling faster identification of the best solutions. This enhancement is directly attributable to the nuanced adjustability offered by the parameter.
- The optimal value of is efficiently determined through a novel algorithm that utilizes the sum of least squares method, applied selectively across different switch spaces (number of switches). This approach eliminates the need for extensive trial-and-error testing to establish the parameter’s optimal value.
- The proposed HT-PSO method notably enhances the convergence rate of the population and reduces the number of iterations required to reach the optimal solution, thereby increasing the overall efficiency of the problem-solving process.
2. Distribution Network Reconfiguration (DNR)
2.1. Fitness Function
- represents the total number of lines;
- denotes the resistance of line l;
- is the current flowing through line l.
2.2. Operational Limitations
- represents the minimum permissible voltage at bus k;
- denotes the maximum permissible voltage at bus k.
- represents the current flowing through conductor l;
- denotes the maximum permissible current for conductor l beyond which the safety and efficiency of the power system may be compromised.
- M is the total number of active lines;
- is the number of buses;
- is the number of sources.
- is the number of meshes;
- is the total number of interconnection switches.
3. Proposed Method
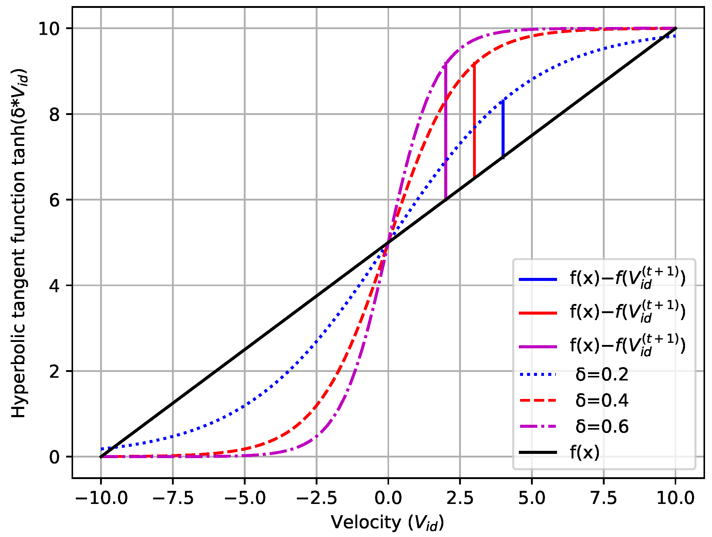
3.1. Hyperbolic Tangent Particle Swarm Optimization (HT-PSO)
3.2. Application of the Proposed HT-PSO Algorithm in DNR
- Input data, network configuration (line data), inertial weight limits (), social and cognitive learning parameters (), maximum number of iterations , the particle population (m), and search limits ().
- Declare the search spaces () and dimensions (). The search space comprises branches that are part of a mesh, and represents the number of meshes.
- Generate the initial population and velocities randomly, along with and .
- Increment iteration count: iter = iter + 1.
- Calculate the fitness function for each particle using load flow calculations, which are typically performed using tools such as OpenDSS.
- Update and with new values.
- The stopping criterion: if the number of iterations reaches , terminate; otherwise, return to step 5.
- Displays the results.
4. Simulation and Results
4.1. Case Study: 33-Bus System
4.2. Case Study: 94-Bus System
5. Conclusions
Author Contributions
Funding
Data Availability Statement
Acknowledgments
Conflicts of Interest
References
- Gerez, C.; Silva, L.I.; Belati, E.A.; Sguarezi Filho, A.J.; Costa, E.C.M. Distribution Network Reconfiguration Using Selective Firefly Algorithm and a Load Flow Analysis Criterion for Reducing the Search Space. IEEE Access 2019, 7, 67874–67888. [Google Scholar] [CrossRef]
- Helmi, A.M.; Carli, R.; Dotoli, M.; Ramadan, H.S. Efficient and Sustainable Reconfiguration of Distribution Networks via Metaheuristic Optimization. IEEE Trans. Autom. Sci. Eng. 2022, 19, 82–98. [Google Scholar] [CrossRef]
- Behbahani, M.R.; Jalilian, A.; Bahmanyar, A.; Ernst, D. Comprehensive Review on Static and Dynamic Distribution Network Reconfiguration Methodologies. IEEE Access 2024, 12, 9510–9525. [Google Scholar] [CrossRef]
- Mishra, S.; Das, D.; Paul, S. A comprehensive review on power distribution network reconfiguration. Energy Syst. 2017, 8, 227–284. [Google Scholar] [CrossRef]
- Jordehi, A.R. Optimisation of electric distribution systems: A review. Renew. Sustain. Energy Rev. 2015, 51, 1088–1100. [Google Scholar] [CrossRef]
- Shan, Y.; Hu, J.; Liu, H. A Holistic Power Management Strategy of Microgrids Based on Model Predictive Control and Particle Swarm Optimization. IEEE Trans. Ind. Inform. 2022, 18, 5115–5126. [Google Scholar] [CrossRef]
- Shan, Y.; Ma, L.; Yu, X. Hierarchical Control and Economic Optimization of Microgrids Considering the Randomness of Power Generation and Load Demand. Energies 2023, 16, 5503. [Google Scholar] [CrossRef]
- Pegado, R.; Ñaupari, Z.; Molina, Y.; Castillo, C. Radial distribution network reconfiguration for power losses reduction based on improved selective BPSO. Electr. Power Syst. Res. 2019, 169, 206–213. [Google Scholar] [CrossRef]
- Thanh Nguyen, T.; Nguyen, T.T.; Nguyen, N.A. Optimal network reconfiguration to reduce power loss using an initial searching point for continuous genetic algorithm. Complexity 2020, 2020, 2420171. [Google Scholar] [CrossRef]
- Silva, L.I.; Belati, E.A.; Gerez, C.; Silva Junior, I.C. Reduced search space combined with particle swarm optimization for distribution system reconfiguration. Electr. Eng. 2021, 103, 1127–1139. [Google Scholar] [CrossRef]
- Nguyen, T.T.; Nguyen, T.T.; Le, B. Optimization of electric distribution network configuration for power loss reduction based on enhanced binary cuckoo search algorithm. Comput. Electr. Eng. 2021, 90, 106893. [Google Scholar] [CrossRef]
- Wu, Y.; Liu, J.; Wang, L.; An, Y.; Zhang, X. Distribution Network Reconfiguration Using Chaotic Particle Swarm Chicken Swarm Fusion Optimization Algorithm. Energies 2023, 16, 7185. [Google Scholar] [CrossRef]
- Li, X.; Li, M.; Yu, M.; Fan, Q. Fault Reconfiguration in Distribution Networks Based on Improved Discrete Multimodal Multi-Objective Particle Swarm Optimization Algorithm. Biomimetics 2023, 8, 431. [Google Scholar] [CrossRef] [PubMed]
- Alanazi, A.; Alanazi, T.I. Multi-Objective Framework for Optimal Placement of Distributed Generations and Switches in Reconfigurable Distribution Networks: An Improved Particle Swarm Optimization Approach. Sustainability 2023, 15, 9034. [Google Scholar] [CrossRef]
- Fathi, R.; Tousi, B.; Galvani, S. Allocation of renewable resources with radial distribution network reconfiguration using improved salp swarm algorithm. Appl. Soft Comput. 2023, 132, 109828. [Google Scholar] [CrossRef]
- Azizi, A.; Vahidi, B.; Nematollahi, A.F. Reconfiguration of Active Distribution Networks Equipped with Soft Open Points Considering Protection Constraints. J. Mod. Power Syst. Clean Energy 2023, 11, 212–222. [Google Scholar] [CrossRef]
- Vargas, G.A.D.; Mosquera, D.J.; Trujillo, E.R. Optimization of Topological Reconfiguration in Electric Power Systems Using Genetic Algorithm and Nonlinear Programming with Discontinuous Derivatives. Electronics 2024, 13, 616. [Google Scholar] [CrossRef]
- Naderipour, A.; Abdullah, A.; Marzbali, M.H.; Arabi Nowdeh, S. An improved corona-virus herd immunity optimizer algorithm for network reconfiguration based on fuzzy multi-criteria approach. Expert Syst. Appl. 2022, 187, 115914. [Google Scholar] [CrossRef] [PubMed]
- Wang, H.J.; Pan, J.S.; Nguyen, T.T.; Weng, S. Distribution network reconfiguration with distributed generation based on parallel slime mould algorithm. Energy 2022, 244, 123011. [Google Scholar] [CrossRef]
- Atoccsa, B.A.; Puma, D.W.; Mendoza, D.; Urday, E.; Ronceros, C.; Palma, M.T. Optimization of Ampacity in High-Voltage Underground Cables with Thermal Backfill Using Dynamic PSO and Adaptive Strategies. Energies 2024, 17, 1023. [Google Scholar] [CrossRef]
- Niknam, T.; Azadfarsani, E.; Jabbari, M. A new hybrid evolutionary algorithm based on new fuzzy adaptive PSO and NM algorithms for distribution feeder reconfiguration. Energy Convers. Manag. 2012, 54, 7–16. [Google Scholar] [CrossRef]
- Lavorato, M.; Franco, J.F.; Rider, M.J.; Romero, R. Imposing radiality constraints in distribution system optimization problems. IEEE Trans. Power Syst. 2011, 27, 172–180. [Google Scholar] [CrossRef]
- Prieto, L.P.V. Uma Eficiente Metodologia para Reconfiguração de Redes de Distribuição de Energia eléTrica Usando Otimização por Enxame de Partículas. Master’s Thesis, Universidade Federal do ABC, Santo André, Brazil, 2015. [Google Scholar]
- Dennis, C.; Engelbrecht, A.P.; Ombuki-Berman, B.M. An analysis of activation function saturation in particle swarm optimization trained neural networks. Neural Process. Lett. 2020, 52, 1123–1153. [Google Scholar] [CrossRef]
- Laishram, R.; Rabidas, R. Optimized hyperbolic tangent function-based contrast-enhanced mammograms for breast mass detection. Expert Syst. Appl. 2023, 213, 118994. [Google Scholar] [CrossRef]
- da S. Oliveira, E.; Silva Junior, I.C.; de Oliveira, L.W.; de Mendonça, I.M.; Vilaça, P.; Saraiva, J.T. A two-stage constructive heuristic algorithm to handle integer investment variables in transmission network expansion planning. Electr. Power Syst. Res. 2021, 192, 106905. [Google Scholar] [CrossRef]
- Lee, Y.; Shamsuddin, S.; Hamed, H. Bounded PSO Vmax function in neural network learning. In Proceedings of the 2008 Eighth International Conference on Intelligent Systems Design and Applications, Kaohsuing, Taiwan, 26–28 November 2008; IEEE: Piscataway, NJ, USA, 2008; Volume 1, pp. 474–479. [Google Scholar]
- Kennedy, J.; Eberhart, R. Particle swarm optimization. In Proceedings of the ICNN’95—International Conference on Neural Networks, Perth, WA, Australia, 27 November–1 December 1995; Volume 4, pp. 1942–1948. [Google Scholar]
- Baran, M.; Wu, F. Network reconfiguration in distribution systems for loss reduction and load balancing. IEEE Trans. Power Deliv. 1989, 4, 1401–1407. [Google Scholar] [CrossRef]
- Goswami, S.; Basu, S. A new algorithm for the reconfiguration of distribution feeders for loss minimization. IEEE Trans. Power Deliv. 1992, 7, 1484–1491. [Google Scholar] [CrossRef]
- Khalil, T.; Gorpinich, A. Selective particle swarm optimization. Int. J. Multidiscip. Sci. Eng. (IJMSE) 2012, 3, 2045–7057. [Google Scholar]
- Abd Rahman, N.H.; Zobaa, A.F. Integrated mutation strategy with modified binary PSO algorithm for optimal PMUs placement. IEEE Trans. Ind. Inform. 2017, 13, 3124–3133. [Google Scholar] [CrossRef]
- Dong, J.; Li, Q.; Deng, L. Design of fragment-type antenna structure using an improved BPSO. IEEE Trans. Antennas Propag. 2017, 66, 564–571. [Google Scholar] [CrossRef]
- Su, C.T.; Lee, C.S. Network reconfiguration of distribution systems using improved mixed-integer hybrid differential evolution. IEEE Trans. Power Deliv. 2003, 18, 1022–1027. [Google Scholar] [CrossRef]







| Search space () | 1 | 2 | 3 | 4 | 5 | 6 | 7 | 8 | 9 | 10 | 11 | 12 | 13 |
| Optimal | 1 | 0.6 | 0.4 | 0.3 | 0.25 | 0.2 | 0.2 | 0.15 | 0.15 | 0.15 | 0.1 | 0.1 | 0.1 |
| Method | Global Solution | Standard Deviation | Best Solution | Worst Solution | ||
|---|---|---|---|---|---|---|
| Power Losses (kW) | Open Switches | Power Losses (kW) | Open Switches | |||
| HT-PSO (Optimal ) | 100 | 0 | 139.32 | 7-9-14-32-37 | 139.32 | 7-9-14-32-37 |
| IS-BPSO ( = 0.5) [8] | 100 | 0 | 139.32 | 7-9-14-32-37 | 139.32 | 7-9-14-32-37 |
| SPSO [31] | 73 | 1.302 | 139.32 | 7-9-14-32-37 | 144.36 | 7-10-13-32-37 |
| N.H.A. Rahman [32] | 30 | 1.676 | 139.32 | 7-9-14-32-37 | 142.86 | 7-9-13-32-37 |
| J. Dong [33] | 20 | 1.605 | 139.32 | 7-9-14-32-37 | 142.86 | 7-9-13-32-37 |
| Method | Global Solution | Standard Deviation | Solution | ||
|---|---|---|---|---|---|
| Open Switches | Power Losses (kW) | ||||
| HT-PSO (Optimal ) | 100 | 0 | Best | 55-7-86-72-13-89-90-83-92-39-34-42-62 | 470.95 |
| Worst | 55-7-86-72-13-89-90-83-92-39-34-42-62 | 470.95 | |||
| IS-BPSO ( = 0.8) [8] | 96 | 2.307 | Best | 55-7-86-72-13-89-90-83-92-39-34-42-62 | 470.95 |
| Worst | 55-7-86-87-13-89-90-83-32-29-34-42-62 | 481.05 | |||
| SPSO [31] | 73 | 4.491 | Best | 55-7-86-72-13-89-90-83-92-39-34-42-62 | 470.95 |
| Worst | 55-7-86-87-13-89-90-83-32-37-34-42-62 | 482.74 | |||
| N.H.A. Rahman [32] | 0 | 15.17 | Best | 55-7-86-87-88-89-90-91-32-35-34-41-61 | 487.75 |
| Worst | 55-6-86-87-88-89-90-82-32-35-34-41-61 | 509.13 | |||
Disclaimer/Publisher’s Note: The statements, opinions and data contained in all publications are solely those of the individual author(s) and contributor(s) and not of MDPI and/or the editor(s). MDPI and/or the editor(s) disclaim responsibility for any injury to people or property resulting from any ideas, methods, instructions or products referred to in the content. |
© 2024 by the authors. Licensee MDPI, Basel, Switzerland. This article is an open access article distributed under the terms and conditions of the Creative Commons Attribution (CC BY) license (https://creativecommons.org/licenses/by/4.0/).
Share and Cite
Puma, D.W.; Molina, Y.P.; Atoccsa, B.A.; Luyo, J.E.; Ñaupari, Z. Distribution Network Reconfiguration Optimization Using a New Algorithm Hyperbolic Tangent Particle Swarm Optimization (HT-PSO). Energies 2024, 17, 3798. https://doi.org/10.3390/en17153798
Puma DW, Molina YP, Atoccsa BA, Luyo JE, Ñaupari Z. Distribution Network Reconfiguration Optimization Using a New Algorithm Hyperbolic Tangent Particle Swarm Optimization (HT-PSO). Energies. 2024; 17(15):3798. https://doi.org/10.3390/en17153798
Chicago/Turabian StylePuma, David W., Y. P. Molina, Brayan A. Atoccsa, J. E. Luyo, and Zocimo Ñaupari. 2024. "Distribution Network Reconfiguration Optimization Using a New Algorithm Hyperbolic Tangent Particle Swarm Optimization (HT-PSO)" Energies 17, no. 15: 3798. https://doi.org/10.3390/en17153798
APA StylePuma, D. W., Molina, Y. P., Atoccsa, B. A., Luyo, J. E., & Ñaupari, Z. (2024). Distribution Network Reconfiguration Optimization Using a New Algorithm Hyperbolic Tangent Particle Swarm Optimization (HT-PSO). Energies, 17(15), 3798. https://doi.org/10.3390/en17153798

