Optimization of Magnetic Core Structures for Enhanced Magnetic Coupling in Helical Coil Inductive Power Transmission
Abstract
1. Introduction
2. Methodology and System Configuration
3. Core Effect Analysis
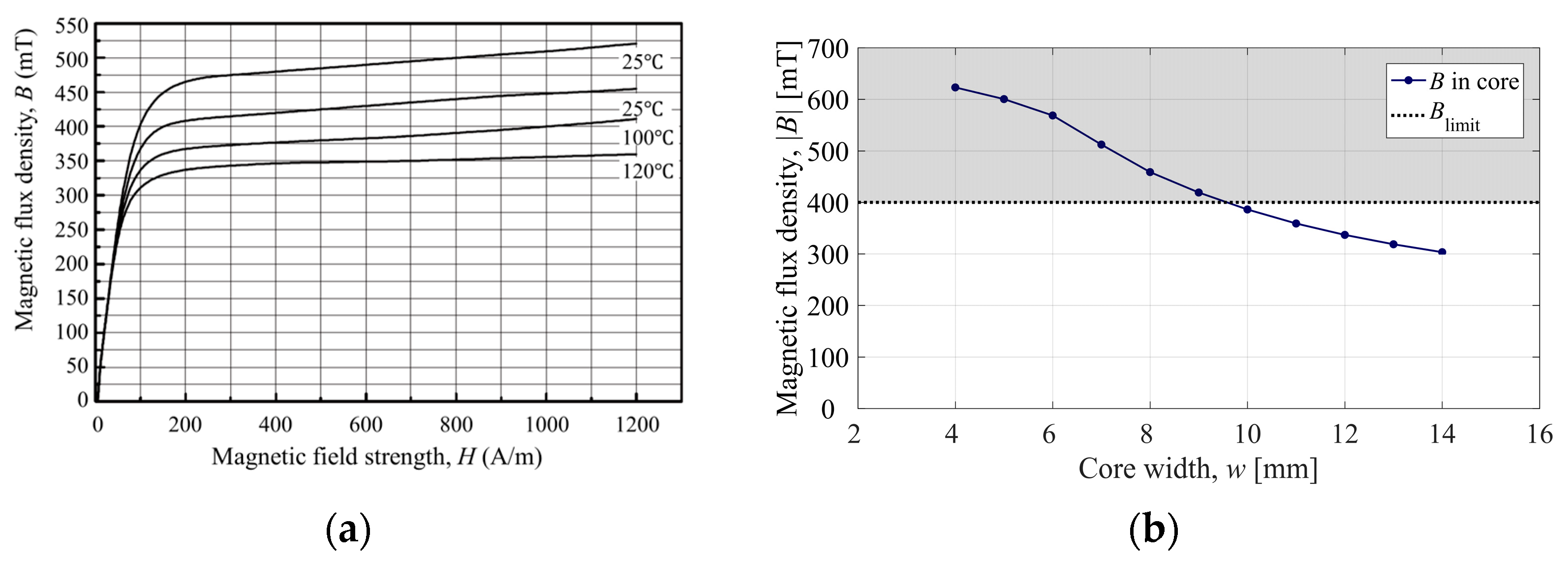
3.1. Analysis of Commonly Used Cores
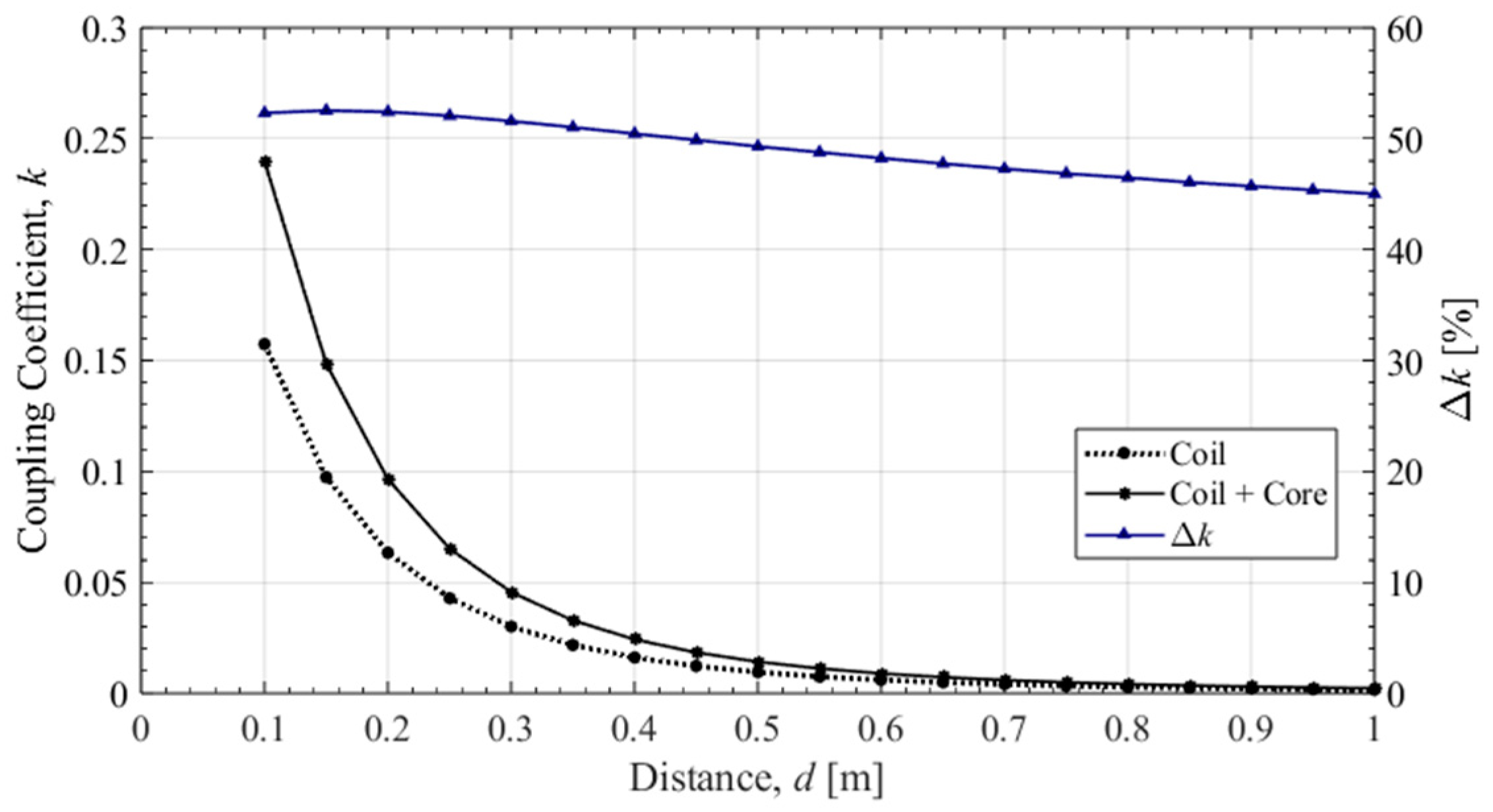
3.2. Effect of Core Placement
3.2.1. Inner Core
3.2.2. Outer Core
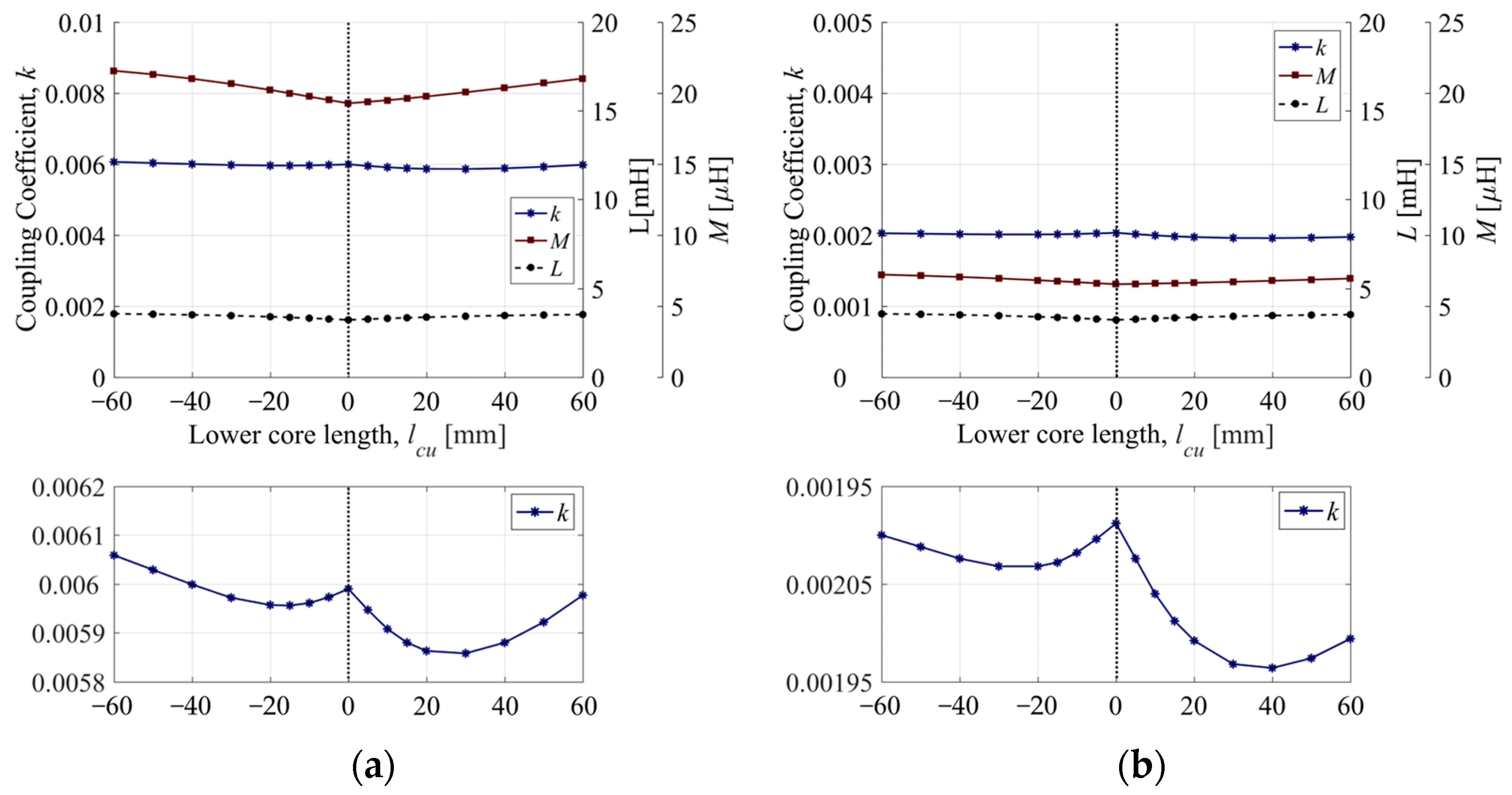
3.2.3. Lower Core
3.3. Summary
4. Optimization of Core Structure
4.1. Combination of Inner and Lower Cores
4.2. Adjusting the Core Angle
4.3. Core Design Result
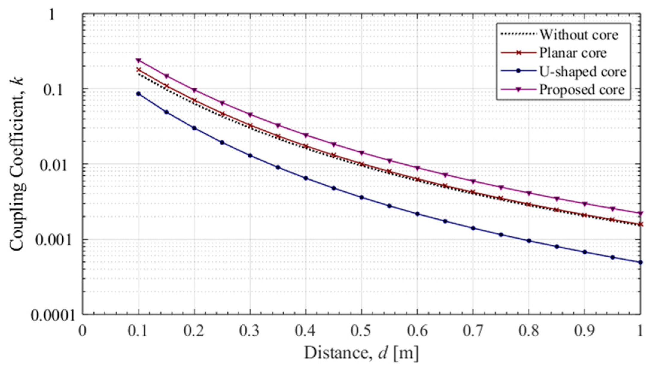
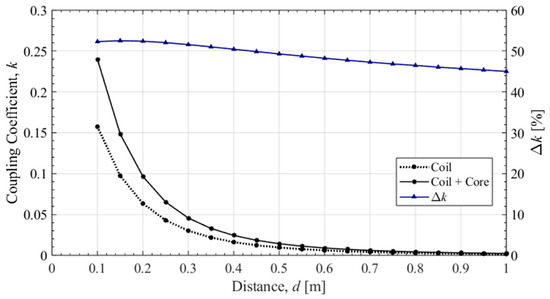
5. Analysis of the Design Result
6. Conclusions
Author Contributions
Funding
Data Availability Statement
Conflicts of Interest
References
- Kurs, A.; Karalis, A.; Moffatt, R.; Joannopoulos, J.D.; Fisher, P.; Soljačić, M. Wireless power transfer via strongly coupled magnetic resonances. Science 2007, 317, 83–86. [Google Scholar] [CrossRef] [PubMed]
- Karalis, A.; Joannopoulos, J.; Soljačić, M. Efficient wireless non-radiative mid-range energy transfer. Ann. Phys. 2008, 323, 34–48. [Google Scholar] [CrossRef]
- Park, C.; Lee, S.; Cho, G.-H.; Rim, C.T. Innovative 5-m-off-distance inductive power transfer systems with optimally shaped dipole coils. IEEE Trans. Power Electron. 2015, 30, 817–827. [Google Scholar] [CrossRef]
- Choi, B.H.; Thai, V.X.; Lee, E.S.; Kim, J.H.; Rim, C.T. Dipole-coil-based wide-range inductive power transfer systems for wireless sensors. IEEE Trans. Ind. Electron. 2016, 63, 3158–3167. [Google Scholar] [CrossRef]
- Choi, B.-G.; Lee, E.S.; Kim, Y.-S. Optimal structure design of ferromagnetic cores in wireless power transfer by reinforcement learning. IEEE Access 2020, 8, 179295–179306. [Google Scholar] [CrossRef]
- Chabalko, M.J.; Besnoff, J.; Ricketts, D.S. Magnetic Field Enhancement in Wireless Power with Metamaterials and Magnetic Resonant Couplers. IEEE Antennas Wirel. Propag. Lett. 2016, 15, 452–455. [Google Scholar] [CrossRef]
- Zhang, Z.; Zhang, B.; Deng, B.; Wei, X.; Wang, J. Opportunities and challenges of metamaterial-based wireless power transfer for electric vehicles. Wirel. Power Transf. 2017, 5, 9–19. [Google Scholar] [CrossRef]
- Shaw, T.; Mitra, D. Wireless Power Transfer System Based on Magnetic Dipole Coupling with High Permittivity Metamaterials. IEEE Antennas Wirel. Propag. Lett. 2019, 18, 1823–1827. [Google Scholar] [CrossRef]
- Zeng, Y.; Lu, C.; Rong, C.; Tao, X.; Liu, X.; Liu, R.; Liu, M. Analysis and Design of Asymmetric Mid-Range Wireless Power Transfer System with Metamaterials. Energies 2021, 14, 1348. [Google Scholar] [CrossRef]
- Chen, X.; Zhang, G.-X. Middle range wireless power transfer systems with multiple resonators. J. Cent. South Univ. 2015, 22, 2127–2136. [Google Scholar] [CrossRef]
- Dong, Z.; Liu, S.; Li, X.; Xu, Z.; Yang, L. A Novel Long-Distance Wireless Power Transfer System with Constant Current Output Based on Domino-Resonator. IEEE J. Emerg. Sel. Top. Power Electron. 2021, 9, 2343–2355. [Google Scholar] [CrossRef]
- Kaczmarczyk, Z.; Bodzek, K.; Frania, K.; Ruszczyk, A. Chart Design Method for Multicoil Resonant Wireless Power Transfer Systems. IEEE Trans. Power Electron. 2021, 36, 795–804. [Google Scholar] [CrossRef]
- Lee, K.; Chae, S.H. Comparative Analysis of Frequency-Selective Wireless Power Transfer for Multiple-R Understood x Systems. IEEE Trans. Power Electron. 2020, 35, 5122–5131. [Google Scholar] [CrossRef]
- Kim, J.H.; Choi, B.G.; Jeong, S.Y.; Han, S.H.; Kim, H.R.; Rim, C.T.; Kim, Y.-S. Plane-Type Receiving Coil with Minimum Number of Coils for Omnidirectional Wireless Power Transfer. IEEE Trans. Power Electron. 2020, 35, 6165–6174. [Google Scholar] [CrossRef]
- Mohammed, M.H.; Ameen, Y.M.Y.; Mohamed, A.A.S. Dish-Shape Magnetic Flux Concentrator for Inductive Power Transfer Systems. Int. J. Electr. Electron. Eng. Telecommun. 2020, 9, 455–461. [Google Scholar] [CrossRef]
- Xu, H.; Song, H.; Hou, R. Central Bulge Ferrite Core for Efficient Wireless Power Transfer. Energies 2021, 14, 5111. [Google Scholar] [CrossRef]
- Shin, J.; Shin, S.; Kim, Y.; Ahn, S.; Lee, S.; Jung, G.; Jeon, S.-J.; Cho, D.-H. Design and Implementation of Shaped Magnetic-Resonance-Based Wireless Power Transfer System for Roadway-Powered Moving Electric Vehicles. IEEE Trans. Ind. Electron. 2014, 61, 1179–1192. [Google Scholar] [CrossRef]
- Li, Y.; Mai, R.; Lu, L.; He, Z. A Novel IPT System Based on Dual Coupled Primary Tracks for High Power Applications. J. Power Electron. 2016, 16, 111–120. [Google Scholar] [CrossRef]
- Dai, Z.; Wang, J.; Li, Y.; He, Y.; Fang, Z.; Hou, H. Optimal Design of Magnetic Coupling Wireless Power Supply System for Monitoring Equipment. IEEE Access 2018, 6, 58600–58608. [Google Scholar] [CrossRef]



























| Model | L (mH) | mm | mm | ||
|---|---|---|---|---|---|
| M (μH) | k | M (μH) | k | ||
| No core | 3.1680 | 19.0195 | 0.006004 | 6.4587 | 0.002039 |
| Planar core | 4.2740 | 26.2608 | 0.006144 | 8.3351 | 0.001950 |
| U-shaped core | 10.4267 | 31.7882 | 0.003049 | 9.7695 | 0.000937 |
| x (mm) | ||||||
|---|---|---|---|---|---|---|
| (deg) | k | (deg) | k | (deg) | k | |
| −140 | −30 | 0.006085 | 0 | 0.006046 | 35 | 0.006052 |
| −120 | −20 | 0.006201 | 2 | 0.006149 | 27 | 0.006122 |
| −100 | −15 | 0.006330 | 4 | 0.006270 | 24 | 0.006202 |
| −80 | −10 | 0.006461 | 5 | 0.006403 | 23 | 0.006288 |
| −60 | −5 | 0.006580 | 10 | 0.006547 | 24 | 0.006375 |
| −40 | −2 | 0.006652 * | 12 | 0.006690 | 25 | 0.006450 |
| −20 | 0 | 0.006590 | 16 | 0.006693* | 26 | 0.006473 * |
| 0 | −10 | 0.006203 | - | - | 35 | 0.006321 |
| 20 | - | - | - | - | 50 | 0.006114 |
| 40 | - | - | - | - | 65 | 0.006037 |
| 60 | - | - | - | - | 75 | 0.006011 |
| Step | Parameter | Value | k | |
|---|---|---|---|---|
| d = 600 mm | d = 00 mm | |||
| - | - | - | 0.006004 | 0.002031 |
| Inner core | Inner core width, | 10 mm | 0.006462 | 0.002213 |
| Inner core | Inner core gap, | 25 mm | 0.006691 | 0.002276 |
| Inner core | Inner core length, | 45 mm | 0.006831 | 0.002325 |
| Lower core | Lower core length, () | 50 mm | 0.007546 | 0.002521 |
| Outer core | Outer core length, | 40 mm | 0.008899 | 0.002970 |
| Outer core angle, | 70° | |||
| Parameter | Value |
|---|---|
| Input voltage, | 10 Vrms |
| Resonant frequency, | 50 |
| Source resistance | 5 ohm |
| Coil resistance, Rc | 0.8 ohm |
| Load resistance, RL | 5 ohm |
| Capacitor equivalent series resistance, Rcap | 1.7 ohm |
| Model | Inductance, L (mH) | Compensation Capacitor (nF) |
|---|---|---|
| Coil without core | 3.1680 | 3.1983 |
| Coil with planar core | 3.6661 | 2.7637 |
| Coil with U-shaped core | 14.1262 | 0.7173 |
| Coil with proposed core | 5.1583 | 1.9642 |
Disclaimer/Publisher’s Note: The statements, opinions and data contained in all publications are solely those of the individual author(s) and contributor(s) and not of MDPI and/or the editor(s). MDPI and/or the editor(s) disclaim responsibility for any injury to people or property resulting from any ideas, methods, instructions or products referred to in the content. |
© 2024 by the authors. Licensee MDPI, Basel, Switzerland. This article is an open access article distributed under the terms and conditions of the Creative Commons Attribution (CC BY) license (https://creativecommons.org/licenses/by/4.0/).
Share and Cite
Lee, H.-Y.; Chae, S.-A.; Song, M.-S.; Park, G.-S. Optimization of Magnetic Core Structures for Enhanced Magnetic Coupling in Helical Coil Inductive Power Transmission. Energies 2024, 17, 3711. https://doi.org/10.3390/en17153711
Lee H-Y, Chae S-A, Song M-S, Park G-S. Optimization of Magnetic Core Structures for Enhanced Magnetic Coupling in Helical Coil Inductive Power Transmission. Energies. 2024; 17(15):3711. https://doi.org/10.3390/en17153711
Chicago/Turabian StyleLee, Ho-Yeong, Seung-Ahn Chae, Min-Seung Song, and Gwan-Soo Park. 2024. "Optimization of Magnetic Core Structures for Enhanced Magnetic Coupling in Helical Coil Inductive Power Transmission" Energies 17, no. 15: 3711. https://doi.org/10.3390/en17153711
APA StyleLee, H.-Y., Chae, S.-A., Song, M.-S., & Park, G.-S. (2024). Optimization of Magnetic Core Structures for Enhanced Magnetic Coupling in Helical Coil Inductive Power Transmission. Energies, 17(15), 3711. https://doi.org/10.3390/en17153711

