Next Article in Journal
Investigation of Removing Asphaltene-Resin-Paraffin Deposits by Chemical Method for Azerbaijan High-Paraffin Oil Production Process
Previous Article in Journal
A Survey of Multi-Agent Systems for Smartgrids
 
 
Font Type:
Arial Georgia Verdana
Font Size:
Aa Aa Aa
Line Spacing:
Column Width:
Background:
Article

Optimal Resilience and Risk-Driven Strategies for Pre-Disaster Protection of Electric Power Systems against Uncertain Disaster Scenarios

1
State Grid Shanghai Electric Power Research Institute, Shanghai 200437, China
2
Shanghai Key Laboratory of Financial Information Technology, Shanghai University of Finance and Economics, Shanghai 200433, China
3
School of Civil Engineering, Shanghai Normal University, Shanghai 201418, China
*
Authors to whom correspondence should be addressed.
Energies 2024, 17(15), 3619; https://doi.org/10.3390/en17153619
Submission received: 15 May 2024 / Revised: 17 July 2024 / Accepted: 19 July 2024 / Published: 23 July 2024
(This article belongs to the Topic Resilient Civil Infrastructure)

Abstract

Pre-disaster protection strategies are essential for enhancing the resilience of electric power systems against natural disasters. Considering the budgets for protection strategies, the dependency of other infrastructure systems on electricity, and the uncertainty of disaster scenarios, this paper develops risk-neutral and risk management models of strategies for pre-disaster protection. The risk-neutral model is a stochastic model designed to maximize the expected value of resilience (EVR) of the integrated system. The risk management model is a multi-objective model prioritizing the minimization of risk metrics as a secondary goal alongside maximizing the EVR. A case study conducted on the energy infrastructure systems in the Greater Toronto Area (GTA) validates the effectiveness of the models. The findings reveal the following: (i) increasing the budget enhances the EVR of the integrated system; however, beyond a certain budget threshold, the incremental benefits to the EVR significantly diminish; (ii) reducing the value of the downside risk often results in an increase in the EVR, with the variation in Pareto-optimal solutions between the two objectives being non-linear; and (iii) whether for the risk-neutral or risk management protection strategies, there are reasonable budgets when considering disaster intensity and the cost of protection measures. The models can help decision-makers to select effective protection measures for natural disasters.

1. Introduction

Electric power systems are vital lifeline infrastructures essential for the sustainable growth of contemporary society, supporting economic, commercial, and social endeavors. Despite the necessity for the continuous and secure operation of power systems, they are inevitably susceptible to various natural disasters. Between 2000 and 2022, there were 8749 recorded natural disaster events worldwide, including floods, extreme weather conditions, hurricanes, and earthquakes. Such disasters have led to numerous large-scale power outages, as seen in events like Hurricane Katrina in the USA in 2005, the 2011 tsunamis in Japan, Hurricane Sandy in the northeastern USA in 2012, Super Typhoon In-fa in East China in 2021, the Texas winter storm in the USA in 2021, and Hurricane Fiona in the USA in 2022, all causing significant damage and widespread failures to electric power systems [1]. The lessons learned from these events have led to a shift in focus within electric power system security studies toward the concept of resilience. This concept represents both a methodological and philosophical approach, emphasizing not only the importance of post-disaster recovery but also the ability to absorb threats and mitigate their consequences [2]. To effectively prevent and mitigate the extreme risks posed by natural disasters, it is crucial to explore methods that enhance the resilience of electric power systems.
The US National Academy of Sciences [3,4] defines the resilience of a system as the ability to prepare for, absorb, recover from, and adapt to disturbances. This means that resilient power systems exhibit characteristics such as reduced failure probabilities, minimized consequences from failures, and shortened recovery times [5]. Unlike traditional risk-based or reliability-based approaches [6,7], which focus on the planning, preparation, and absorption phases to identify, assess, and mitigate threats [8], resilience-based approaches equally stress the significance of post-disaster recovery alongside absorbing the impacts of threats and their repercussions. Numerous static and dynamic resilience metrics have been developed in the literature based on system performance curves following disruptions [9]. For example, these include normalized system performance loss over a given period [10], the ratio of recovery at a given time to performance loss [11], and the time to recovery [12]. Additionally, some studies propose using system attributes such as robustness, rapidity, reliability, and survivability to measure infrastructure system resilience [13].
A considerable number of studies have focused on developing strategies to improve the resilience of electric power systems against natural disasters [8]. These studies have focused on strategies that can be categorized into the following types: pre-disaster strategies, during-disaster strategies, and post-disaster strategies [14,15,16]. Each type, respectively, concentrates on enhancing a system’s preparedness, response, and recovery capabilities [17,18]. Research on pre-disaster protection strategies forms a critical component of studies aimed at enhancing the resilience of electric power systems before disasters strike [19,20]. Protection strategies involve hardening critical components, adjusting system structures, and mobilizing the resources necessary to reduce the impacts of disruptive events on electric power systems [21]. These measures are intended to prevent widespread damage or large-scale operational failures of system components such as transmission lines and substations under the influence of disasters [22]. Given the budget constraints associated with implementing protection strategies, most related studies develop optimization models to formulate pre-disaster protection strategies within limited budgets. Specifically, Wang et al. [23] proposed a robust optimization model for selecting transmission lines to be hardened, with the objective of minimizing the cost of line hardening. Yuan et al. [24] proposed a tri-level defender–attacker–defender programming model to investigate the effectiveness of allocating hardening resources to mitigate the vulnerability of transmission systems against multiple contingencies. Yuan et al. [25] also developed a robust optimization model for line hardening and distributed generation allocation in a distribution system to increase resilience against hurricanes, modeled by a multi-stage and multi-zone-based uncertainty set. Ouyang et al. [26] constructed a tri-level defender–attacker–defender optimization model for reducing the vulnerability of power transmission systems against spatially localized attacks. Popovic et al. [27] developed a risk-based planning approach to enhance the resilience of power distribution networks to windstorms, adopting measures such as hardening poles, identifying the number and location of interrupting devices, and island partitioning as part of the resilience enhancement plans.
According to the aforementioned research, the study of pre-disaster protection strategies for electric power systems still faces several unresolved problems. Firstly, as protective measures are put in place prior to disaster events occurring, it is not possible to accurately predict disaster scenarios and the level of damage to the electric power system prior to the execution of these protection activities [28]. As a result, research on related protection strategies tends to focus on potential disaster scenarios, either aiming to maximize a system’s resilience to the worst-case scenario or to maximize the expected value of a system’s resilience across all possible scenarios. However, in practice, when formulating protection strategies, it is essential to comprehensively consider both aspects: ensuring the strategy’s applicability across all possible scenarios while preventing excessively low resilience values or severe performance degradation under extreme conditions. Addressing these dual considerations comprehensively remains a challenge in need of resolution. Furthermore, the operation of other elements of critical infrastructure, such as gas transmission, water supply, and transportation systems, relies on the electric power supplied by the power system [29,30]. In the event of a natural disaster, damage to electric power systems can easily lead to the inoperability of other infrastructure systems, amplifying the economic and social impacts of power outages [31]. Therefore, the formulation of pre-disaster protection strategies for electric power systems should not only focus on the resilience of the system itself. It is essential to consider the resilience of the integrated infrastructure system, including other elements of the infrastructure which are dependent on the electric power system [32]. Formulating protection strategies with the goal of enhancing the resilience of the integrated system aligns closely with real-world needs. However, existing research has paid limited attention to this aspect.
To address the aforementioned problems, this study focuses on developing resilience and risk-driven pre-disaster protection strategies for electric power systems in response to natural disasters. It also takes into account the dependency of other critical aspects of infrastructure on electricity. Hurricanes are selected as the disaster type of concern because they typically cause damage to overhead transmission lines in electric power systems, while generally having minimal adverse impacts on other types of infrastructure systems. Considering the variability in integrated system resilience across different potential disaster scenarios, our proposed models are designed to develop both risk-neutral and risk-averse protection strategies within constrained budgets. The primary contributions of our work to the literature are summarized as follows.
First, considering the dependence of other parts of infrastructure on electric power systems, we propose a two-stage stochastic model aimed at maximizing the EVR of integrated infrastructure systems under uncertain disaster scenarios. This model facilitates the development of a risk-neutral protection strategy for electric power systems, offering greater practical significance compared to strategies that solely focus on enhancing the resilience of electric power systems.
Second, to address the risk of resilience values falling below an acceptable level in some potential disaster scenarios, we incorporate a risk metric for assessment. Building on this, the initially proposed risk-neutral model is expanded into a risk management model. This enables decision-makers to choose a risk-averse protection strategy, effectively reducing the risk associated with the uncertainty of integrated systems’ resilience values.
Third, a case study focusing on the energy infrastructure systems in the Greater Toronto Area (GTA) is provided to illustrate the effectiveness of the models. The results demonstrate the practical applicability of our models, highlighting their ability to guide risk-informed decision-making. Furthermore, a sensitivity analysis of the budget parameter is conducted for both risk-neutral and risk management strategies, emphasizing the practical relevance of these approaches. This study provides new insights into the development of optimal resilience strategies and the importance of integrating risk assessment in resilience optimization.
The structure of this article is outlined as follows: Section 2 provides an overview of the methodological framework of the study and the problems being analyzed. Section 3 outlines the mathematical models used for formulating both the risk-neutral and risk-averse strategies. In Section 4, we introduce the methodologies used to build these models. A case study that corroborates the validity of the models is detailed in Section 5. The final section, Section 6, summarizes the findings and suggests avenues for future investigation.

2. Methodology and Problem Description

This section outlines the methodological foundations of the models used to develop the protection strategies and discusses the problem being explored.

2.1. System Performance and Resilience Metrics

This study aims to develop protection strategies for the electric power system. Considering the dependencies of other infrastructure systems on the electric system, the integrated infrastructure system is the subject of resilience analysis in this research. These infrastructure systems are complex socio-technical systems consisting of numerous physical facilities and technical components. Each system can be modeled as a network, where nodes represent physical facilities and links represent the transmission lines connecting the facilities [29]. Based on the functional characteristics of the technical components, nodes can be further classified as supply nodes (where system services are generated), transmission nodes (where system services are transmitted), and demand nodes (where system services are delivered to users). Let K be the set of infrastructure networks of concern (including the electric power system). After a disaster scenario ω occurs, the performance of infrastructure k K can be represented by the proportion of infrastructure service demand fulfillment [33], and formulated as follows:
P k , ω = n N d k d n k , ω / n N d k d n k
where N d k represents the set of demand nodes in the infrastructure network k K ; d n k , ω represents the supplied demand of node n N d k under scenario ω ; and d n k represents the required service demand of the node.
The resilience of an infrastructure system is usually defined as its ability to withstand and recover from low-probability, high-impact disruptive events [8,29]. Most resilience measurement methods for infrastructure are devised based on the process of system performance change due to the impact of disasters. This study aims to develop effective pre-disaster protection strategies for electric power systems. Such protection is implemented before any disaster occurs, primarily to prevent a significant decline in system performance after a destructive event, and before any restoration actions are undertaken. Given that the operation of most other infrastructure systems relies on power input [34], and to prevent damage to electric power systems leading to significant reductions in the performance of other systems, this study aims to develop pre-disaster protection strategies for electric power systems with the objective of enhancing the resilience of integrated infrastructure systems. Therefore, with reference to relevant studies [21,33], to assess the effectiveness of the protection strategy the resilience of the integrated system under a disaster scenario ω is measured as the weighted sum of the ratios of the demand fulfillment for multiple systems, and it is represented as follows:
R E ω = k K α k P k , ω P ¯ k
where P ¯ k denotes the baseline performance of the infrastructure system k K before any disaster, and the weighting coefficient α k for system k K represents its relative importance within the integrated system. It can be seen that reducing the unmet demand of each system is essential for enhancing the resilience of the integrated system.

2.2. Problem Description and Setting

This study focuses on hurricanes as the primary type of disaster of concern, because these events typically cause damage to overhead transmission lines in the electric power system while having limited destructive impacts on other infrastructure systems such as gas and oil transmission networks. Given that hurricanes primarily damage the transmission lines within the electric power system, the disaster scenario for the electric power system can be characterized by actual network failures, including a set of damaged links. Pre-disaster protection actions are implemented prior to a disaster, aiming to mitigate the extent of direct damage to the electric power system and reduce the decline in system performance caused by hurricanes.
In practice, due to budget constraints pre-disaster protection strategies can only be implemented on limited components in the system. However, due to the difficulty in accurately predicting the path of the concerned hurricane and the inherent randomness in whether transmission lines are damaged by the hurricane (i.e., transmission lines have a certain probability of being damaged by the hurricane), the specific disaster scenarios that the electric power system may encounter cannot be definitively predicted. Therefore, developing effective pre-disaster protection strategies is essential. The objective of this study is to develop resilience- and risk-based pre-disaster protection strategies for electric power systems under uncertain disaster scenarios. Typical protection measures such as hardening transmission lines and placing distributed generation (DG) units are considered [30]. The framework for the process followed to develop the strategies is illustrated in Figure 1.
The process outlined in Figure 1 is described in detail as follows:
In Step A, as a foundation for proposing models for developing protection strategies, the parameters relevant to the problem are required. The deterministic parameters include network flow parameters for the electric power system and other infrastructure systems, the locations of components in each system, pre-disaster protection budgets, the unit costs of different protection measures, and the intensity of the hurricane. Given the unpredictability of disaster events, the set of damaged links in the electric power network is chosen as the uncertain parameter. We assume that decision-makers have knowledge of possible hurricane paths and the failure probability of transmission lines in the hurricane. To ensure that the obtained disaster scenarios are both representative and limited in number (i.e., avoiding excessive computational complexity in solving the models in Steps B and C), scenario generation and reduction algorithms are applied. Then, a specific number of disaster scenarios can be obtained, where each scenario is a set of disrupted links.
In Step B, a stochastic model is proposed to formulate the risk-neutral protection strategy with a limited budget. This modeling paradigm is well-suited to pre-disaster protection problems, encompassing decisions made both before the disaster and in the subsequent operational phase. The model incorporates two protection measures: hardening transmission lines and placing DG units. It is designed to address protection decisions in the pre-disaster phase (1st stage) and optimize network operations in the post-disaster phase (2nd stage). Taking into account the unpredictability of disaster scenarios and the dependencies of other infrastructure systems on the electric power system, the objective of the stochastic model is to maximize the EVR of the integrated infrastructure system, aiming to prevent severe societal impacts caused by hurricane-induced damage to the power system.
In Step C, to reduce the risk that the integrated system’s resilience is significantly low for specific scenarios, this study develops a risk management model utilizing a selected risk metric named the downside risk. The model is designed as a multi-objective framework, aiming to maximize the EVR of the system and minimize the downside risk. Subsequently, the ε-constraint method is applied to solve this model, transforming the multi-objective model into a single-objective model solvable for multiple ε values.
In Step D, applying the progressive hedging algorithm (PHA) to solve the risk-neutral model and the transformed single-objective risk management model, the risk-neutral and risk management protection strategies can be obtained. Solving the risk management model yields the Pareto curves of the EVR and the downside risk. Furthermore, conducting a parameter sensitivity analysis on the budget within the models can provide valuable insights into how this parameter affects the strategies and the EVR of the integrated system.

3. Model Formulation

3.1. Risk-Neutral Model Formulation

This section presents a two-stage stochastic model aimed at developing a risk-neutral protection strategy for the electric power system. The primary objective of the model is to enhance the resilience of the integrated infrastructure system. The two-stage stochastic modeling paradigm consists of first-stage “here-and-now” planning decisions and second-stage “recourse” decisions. It is well suited for modeling disaster planning problems, as it includes both the planning decisions made before the occurrence of an uncertain disaster scenario and the operational decisions executed in the aftermath to mitigate the adverse effects of the disaster.
In our model, the first-stage problem involves developing a pre-disaster protection strategy. It determines the power transmission lines which are hardened and the placement of the DG units in hurricane-prone regions. The second-stage problem focuses on establishing a post-disruption operational strategy, with the aim of maximizing the performance of the integrated system through system flow reallocation and the utilization of the DG units. It is essential to note that the optimization of these two-stage decision problems is interdependent and subject to temporal dependencies, preventing their concurrent optimization.
The proposed risk-neutral model addresses the challenges faced by decision-makers in responding to a variety of disaster scenarios in hurricane-prone regions. Each scenario is characterized by specific outcomes of electric power system failures and their associated probabilities of occurrence. These scenarios represent the forthcoming disaster events for which the decision-makers are preparing.
Based on the above description, the risk-neutral stochastic model can be formulated as follows:
max E ( R E ) = ω Ψ   p ω × R E ω
Considering the uncertainty in the disaster scenario, the objective function (3) seeks to maximize the EVR of the integrated system over a set of disaster scenarios. Here p ω represents the occurrence probability of disaster scenario ω ψ .
l L E   c l E z l E + n N d E   c n E z n E B
The constraint on the budget for the protection strategy is shown in Equation (4), which ensures that the total cost of hardening transmission lines and placing DG units cannot exceed budget B.
q l E , ω z l E 0 , l L   E , ω
d n E , ω / d n E z n E 0 , n N d E , ω
Equations (5) and (6) establish a connection between the protection decisions made in the first stage and the scenario-dependent operational status of links (transmission lines) and flow decisions within the electric power system in the second stage. Equation (5) guarantees that if link l L E has been hardened, it will not be damaged under any disaster scenarios. Equation (6) guarantees that, with the placement of a DG unit at node n N d E , the power demand of the node will be fully satisfied under any scenario.
( l L k | d k ( l ) = n ) f l k , ω ( l L k | o k ( l ) = n ) f l k , ω + g n k , ω = 0 , k K , n N g k , ω
( l L k | d k ( l ) = n ) f l k , ω ( l L k | o k ( l ) = n ) f l k , ω = 0 , k , n N t k , ω
( l L k | o k ( l ) = n ) f l k , ω ( l L k | d k ( l ) = n ) f l k , ω + d n k , ω = 0 , k , n N d k , ω
0 g n k , ω s n k , ω g n k , k , n N g k , ω
0 d n k , ω s n k , ω d n k , k , n N d k , ω
s l k , ω f l k f l k , ω s l k , ω f l k , k , l L k , ω
s l k , ω s o ( l ) k , ω , k , l L k , ω
s l k , ω s d ( l ) k , ω , k , l L k , ω
s l E , ω q l E , ω , l L E , ω
According to the flow-based model [29,30], the constraints for the infrastructure networks following scenario ω ψ are described in Equations (7)–(15). Equations (7)–(9) ensure the balance of flow at each node in the three networks. Here, o k ( l ) and d k ( l ) denote the origin node and destination node, respectively, of link l L k . Equation (10) specifies that the service flow generated at supply node n N g k does not exceed its capacity. Equation (11) confirms that the actual satisfied demand at each demand node cannot surpass the necessary demand. Equation (12) ensures that the service flow through link l L k must adhere to conditions in which a flow can exist only if the link is operational. Equations (13) and (14) describe the logical relationships between the operating state of link l L k and the operating states of its origin and destination node. Equation (15) denotes the relationship between the operational state and the damage state of link l L   E .
b l f l ω θ o ( l ) ω θ d ( l ) ω + M ( 1 s l ω ) , l L E , ω
b l f l ω θ o ( l ) ω θ d ( l ) ω M ( 1 s l ω ) , l L E , ω
θ max θ n ω θ max , n N E
Equations (16) and (17) impose the DC power flow constraints on the electric power system [30], where b l denotes the reactance of link l L E . θ n ω is an additional decision variable representing the phase angle of node n N E in scenario ω ψ . M is set as a large positive constraint, specifically M 2 θ max . Equation (18) imposes restrictions on the phase angles at nodes in the electric power system.
γ n , n E , k , ω d n E , ω / d n E z n E 0 , n N d E , k K \ { E } , ( n , n ) ψ E , k , ω
γ n , n E , k , ω s n k , ω 0 , n N d E , ( n , n ) ψ E , k , k K \ { E } , ω
z l P ,   z n p { 0 , 1 } , l N l p ,   n N d p
q l E , ω , s j k , ω { 0 , 1 } , k , j { n N k , l L k } , ω
Equations (19) and (20) illustrate the connections between the operational status of nodes and the dependencies between systems. For each ordered dependent node pair ( n , n ) ψ E , k , the physical dependency between nodes operates normally (i.e., with γ n , n E , k , ω = 1 ) in the presence of scenario ω only if one of the following conditions is met: (i) the required demand of node n N d E is fully satisfied (i.e., d n E , ω = d n E ); and (ii) a backup generation unit is installed at node n N d E (i.e., z n E = 1 ). This condition is described by Equation (19). Given that infrastructure systems other than the electric power system are expected to be non-vulnerable to the hurricane, node n N k ( k K \ { E } ) will remain operational if its dependency with the electric power system functions normally, as described in Equation (20). Equations (21) and (22) impose bounds on the decision variables.

3.2. Formulation of the Risk Management Model

The goal of the risk-neutral model is to optimize the EVR of the integrated system, which represents the average resilience across all possible scenarios. Though the solution to the risk-neutral model performs well on average, it may exhibit poor performance in specific real-world situations. Consequently, the solution derived from the risk-neutral model may encounter the risk of significantly lower resilience values than expected in certain potential scenarios. Given the unique nature of the protection strategy for the electric power network and its significant societal impact, it is necessary to develop a risk-averse model when developing the protection strategy. Therefore, with the explicit goal of controlling and managing associated risks, this section extends the risk-neutral model into a model that incorporates risk management.
To avoid the risk of extremely low values of integrated system resilience in some potential scenarios, a metric known as the downside risk is employed [35]. This metric aims to reduce the risk linked to scenarios where the resilience value falls below a predetermined threshold φ . A variable Δ ω is set to denote whether the resilience value falls below the threshold in the event of disaster scenario ω . In mathematical terms, the downside risk is formally defined by Equations (23) and (24).
Δ ω = φ R E ω , if R E ω φ 0 , o t h e r w i s e , ω
DownRisk = ω Ψ p ω × Δ ω
Equation (23) indicates that when the resilience falls below φ for scenario ω , Δ ω represents the positive difference between φ and the actual resilience value; otherwise, Δ ω equals 0. Consequently, the downside risk is calculated as the sum of the product of p ω and Δ ω across all scenarios, as shown in Equation (24).
The risk management model is designed as follows:
M O D R max   E ( R E ω ) = ω Ψ p ω × R E ω min DownRisk = ω Ψ p ω × Δ ω s . t   C o n s t r a i n t s   4 22 ,   ( 23 )      
Resilience enhancement and risk management are key elements integrated into the risk management model. This model aims to achieve two primary objectives: maximizing the EVR of the integrated system and minimizing the downside risk index value.

4. Solution Method

This section describes the techniques employed to solve the risk-neutral and risk management models. The Monte Carlo simulation method is applied to generate numerous discrete scenarios, which are subsequently reduced to a manageable size using the K-means clustering method. Additionally, the ε-constraint method is applied to transform the risk management model into two-stage stochastic Mixed Integer Linear Programs (MILPs). Finally, an adaptation of the PHA is used to solve the stochastic MILPs.

4.1. Scenario Generation

We focus on exploring the threats posed by hurricanes to electric power systems. Each disaster scenario, characterized by realized electric power network failures, involves a set of damaged transmission lines. To comprehensively describe the potential post-disaster state of the electric power system, a specific number of scenarios need to be generated for a hurricane of concern. The scenario generation involves addressing two uncertain factors. First, accurately predicting and assessing the paths of hurricanes is crucial. In this study, we assume that integrating historical data enables accurate predictions of the potential paths of a forecast hurricane. Additionally, the occurrence probability for each potential hurricane path can also be determined. Second, it is crucial to determine the failure probability of transmission lines within the hurricane-affected region. Transmission lines typically suffer damage in two ways during a hurricane: (1) trees breaking and falling onto the lines, and (2) strong winds directly causing poles to collapse [36]. Generally, the lines are prone to random tripping due to the force of the strong wind. The failure probability of a line is influenced by various factors, such as line length. Accurately quantifying the failure probability of each line is challenging due to the requirement of substantial amounts of historical data.
Based on related research [22,37], this study assumes no spatial correlation among nearby power lines. The failure probability of a transmission line is calculated with regard to its length and the wind speed, as shown in Equation (25).
p l f a u = α μ l ( v w ) β
Here, p l f a u denotes the probability of line l L E being damaged, μ l represents the length of line l , v w represents the wind speed, and the parameters α and β are estimated as α = 2 × 10 17 / km and β = 9.91 . For instance, if the length of l is 0.4 km and v w = 380 m/s, then p l f a u = 0.036%. In this study, each link failure realization is modeled as a Bernoulli random variable, and the probability is calculated using Equation (25).
Utilizing information on potential hurricane paths and the failure probabilities of transmission lines, the Monte Carlo simulation can be employed to generate a specified number of scenarios. Algorithm 1 outlines the scenario generation process. First, the severity of an anticipated hurricane of concern should be determined based on prediction information. Second, let Ω denote the set of scenarios obtained by the Monte Carlo simulation. The number of scenarios, denoted as | Ω | , should be determined. The selection of | Ω | is typically determined by the scale of the electric power network, the category of the hurricane, and the number of potential hurricane paths. To ensure comprehensive coverage of as many potential situations as possible, | Ω | is usually chosen to be a sufficiently large number. Third, relying on historical data, determine the occurrence probabilities for each potential hurricane path [36]. Randomly generate hurricane paths and calculate the damage probabilities for each link within the affected area using Equation (25). Following this, generate link failure realizations as Bernoulli random variables and, subsequently, a scenario is generated. Finally, if the required number of scenarios has not been achieved, repeat this process for the next scenario. It is noteworthy that, as each scenario is randomly generated according to the same rules, the occurrence probability for each scenario is identical and the value is 1 / | Ω | .
Algorithm 1 Scenario Generation
1:Define the category (wind speed) of an anticipated hurricane disaster based on prediction information.
2: Input :   number   of   scenarios   | Ω | .
3: For   scenario   ω = 1 , 2 , , | Ω | .
4:Generate hurricane paths with occurrence probabilities using historical data.
5: Compute   the   failure   probability   p l f a u   of   link   l L E within the affected region along the hurricane path using Equation (25).
6: Generate   electric   power   link   damages .   For   link   l L E   within   the   affected   region ,   if   U ( 0 , 1 ) p l f a u ,   then   q l E , ω = 0 ;   or   else   q l E , ω = 1 .
7:End for

4.2. Scenario Reduction

The number of possible scenarios that can be generated typically increases exponentially with the number of links within the hurricane-affected region. As the number of scenarios grows, the associated stochastic optimization model may tend to become intractable due to an overwhelming computational burden [38]. To improve tractability, a scenario-reduction method is required to reduce the scenarios to a manageable size while yielding an optimal solution that closely approximates the solution of the original optimization. In this study, the method of K-means clustering is applied to solve this problem.
For scenario ω , in the absence of pre-disaster protection actions, solving the second stage of the proposed risk-neutral model yields the unserved demand vector Δ D   ω , as expressed in Equation (26). This vector reflects the unserved demand in the electric power system under scenario ω .
Δ D   ω = ( Δ d 1 E , ω , Δ d 2 E , ω , , Δ d n E , ω )
Δ d i E , ω = d ¯ i E d i E , ω , i N d E
In Equations (26) and (27), Δ d i E , ω represents the unserved service demand of node i N d E under scenario ω .
Within the scenarios generated by Algorithm 1, some instances of similarities or repetitions may occur. Firstly, the damaged links in some scenarios are exactly the same. Secondly, even when the damaged links are different, the Δ D   ω vectors obtained by the second-stage optimization of the risk-neutral model are closely related. It is practical to reduce those scenarios with similarities or repetitions to decrease the computational workload.
K-means clustering provides an approach to merge these repetitive or similar vectors. Given a set of M dimensional vectors { Δ D   1 , Δ D   2 , , Δ D   M } , K-means clustering seeks to divide the M vectors into k ( k < M ) sets { χ 1 , χ 2 , , χ k } to minimize the within-cluster sum of distances [21]:
σ c l s t ( k ) = argmin i = 1 k Δ D χ i | | Δ D μ i | | 2 = argmin i = 1 k | χ i | V a r ( χ i )
where μ i is the mean of points in χ i . Following clustering, if a set χ i contains multiple scenarios, one scenario from χ i can be randomly chosen. The probability of this representative scenario is the sum of all scenarios within this cluster, as expressed in Equation (29).
p ( s ) = ω χ i p ( ω )
The obtained set of reduced scenarios ( m scenarios) can be employed in the proposed models. In the process of reducing the M scenarios, we select a value for m ( 10 m < M ) with considerations for both computational workload and accuracy. Determining an appropriate value for m involves the following steps: start with an initial value of m at 10 and incrementally increase it by 5, while calculating σ c l s t ( k ) using Equation (28). Observe that σ c l s t ( k ) tends to decrease as m increases. If the difference between σ c l s t ( k ) and σ c l s t ( k + 5 ) is less than 0.5 times the difference between σ c l s t ( k 5 ) and σ c l s t ( k ) , then m can be considered a suitable value. This condition suggests that σ c l s t ( k ) is reaching a point of saturation. This approach ensures a balance between computational efficiency and preserving the accuracy of the reduced scenarios.

4.3. Processing Procedure of the Risk Management Model

The model (MO-DR) has two goals: optimizing the EVR and reducing the corresponding risk metric. Addressing these objectives can be complex due to the need to identify multiple trade-off solutions, which are crucial for formulating effective protection strategies. To find these solutions, several multi-objective optimization methods can be employed [39]. In this paper, the ε-constraint method is employed to derive Pareto-optimal solutions. This approach does not combine multiple objectives but focuses on optimizing one objective while keeping the others within target values set by decision-makers. Thus, the risk management model is reformulated into a single-objective model for specific ε values as follows:
max E ( R ) = ω Ψ   p ω × R ω s . t . Risk metric ε Other Constraints  
Equation (30) optimizes the resilience objective, with the risk objective included as a constraint that must not exceed the parameter ε, which is an auxiliary parameter. The Pareto solutions are determined by adjusting the ε values through three steps. First, the maximum EVR is achieved by treating the risk metric as a parameter, resulting in the highest risk metric and the maximum value of the auxiliary parameter ( ε max ). Second, the risk metric is minimized to attain the lowest value of the auxiliary parameter ( ε min ), thereby obtaining the minimum EVR. Third, the expectation of resilience remains the primary objective while setting ε to discrete values within the upper ( ε max ) and lower ( ε min ) bounds. Ultimately, the Pareto curve demonstrating the relationship between the two objectives is generated.

4.4. Stochastic Model Solution Algorithm

The application of the ε-constraint method transforms the risk management model into a two-stage stochastic MILP model. Utilizing the aforementioned scenario generation and reduction methods, a finite set of scenarios with their associated probabilities has been selected. Consequently, the two-stage stochastic models can be reformulated as a deterministic equivalent MILP. For a small-size stochastic MILP problem, the equivalent MILP can be easily solved using commercial solvers such as Gurobi (version 9.1) and CPLEX (version 12.10). However, the computation time increases exponentially as the problem size grows, encompassing the scale of the system and the number of scenarios.
To efficiently address the solution of a large-scale stochastic MILP model, this section explores the algorithm for solving the model by applying the progressive hedging algorithm (PHA). For ease of expression, let x = [ z l E , z n E ] represent the scenario-independent first-stage decision vector, and y ω = [ q l E , ω , s j k , ω , g n k , ω , d n k , ω , f l k , ω , θ n ω , γ n , n E , k , ω ] represent the scenario-dependent second-stage decision vector in the proposed models. Then, the two-stage stochastic MILP models for both the risk-neutral model and the risk management model can be expressed in the following simplified form:
max ω Ψ   p ω × ( g ω ) T y ω
s.t.
A x ¯ b
W y ω r ω T ω x , ω Ψ
x Z + n 1 ,   y Z + p 2 × R n 2 p 2
Here, g ω , A, b, and W comprise the data of the stochastic MILP model. Equation (31) formulates the objective of optimizing the EVR as a function of y ω . Equation (32) denotes the set of constraints that the first-stage decision variables must satisfy. Similarly, Equation (33) outlines the constraints that the second-stage decision variables must meet. The ε-constraints, which are derived from the risk management model, are also included in this set. The relationship between first-stage and second-stage decisions is constrained by the matrix T ω . Equation (34) enforces the integer restrictions on the first-stage variables, and the mixed-integer requirements on the second-stage variables.
The condition that the first-stage decision variables are independent of specific scenarios is implicitly embedded in the Equations (31)–(34). This condition can also be explicitly expressed through a constraint [21,40]. Explicitly stating the constraints leads to the so-called scenario formulation of the stochastic MILP model (Equations (31)–(34)), as follows:
max ω Ψ   p ω × ( g ω ) T y ω
s.t.
A x ω b , ω Ψ
W y ω r ω T ω x ω , ω Ψ
x ω x = 0 , ω Ψ
x Z + n 1 ,   y Z + p 2 × R n 2 p 2
In the scenario formulation (Equations (35)–(39)), copies of the first-stage decision vector are created for each scenario ω Ψ , represented as x ω . Equation (38) denotes the non-anticipativity constraint, which ensures that the first-stage decision vector is independent of the scenarios. The scenario formulation decomposes the large-scale stochastic MILP model into a number of subproblems with the non-anticipativity constraints. The PHA is a decomposition algorithm that can be applied to solve stochastic MILPs. This algorithm reduces computational complexity by parallel solving the scenario subproblems without the non-anticipativity constraints and coordinates a search for an x that satisfies Equation (38). Algorithm 2 outlines the process of the PHA for the model.
Algorithm 2 The PHA for the Model (Equations (35)–(39))
1:Initialization :   Let   η = 0 ,   u η , ω = 0 ,
For   each   ω Ψ , compute
( x η + 1 , ω , y η + 1 , ω ) = arg max { ( g ω ) T y } : ( x , y ) subject to Equations (37), (38) and (39)
End for
2:Iteration Update:  η = η + 1
3:Aggregation:  x ^ η = ω Ψ p ω x η , ω
4:Lagrangian Multiplier Update :   u η , ω = u η 1 , ω + ρ ( x η , ω x ^ η )
5:Decomposition :   For   each   ω Ψ , solve the subproblem
( x η + 1 , ω , y η + 1 , ω ) = arg max { ( g ω ) T y ( u η , ω ) T x ρ 2 x x ^ η } : ( x , y ) subject to Equations (36), (37) and (39)
End for
6:Convergence Criteria :   If   all   solutions   x η , ω are identical, stop. Else, go to step 2.
In Algorithm 2, both the first step (Initialization) and the fifth step (Decomposition) involve solving the scenario subproblems. One distinction is that, in the fifth step, the objective function is adjusted to include terms that penalize the deviation of the scenario solution from the aggregated x ^ η ( ρ represents an input penalty parameter), ensuring the gradual convergence of the first-stage decision variables. Here, each scenario subproblem can be efficiently solved using commercial solvers. Additionally, note that since the first-stage decision variables are binary variables, the convergence criterion is that the binary variables x η , ω ( ω Ψ ) of all scenarios are identical.

5. Case Study

To validate the models and solution method, this section presents a case study of the energy infrastructure systems in the GTA in Ontario, Canada.

5.1. GTA Energy Infrastructure System

The proposed models are applied to develop protection strategies against hurricane disasters for the transmission networks of electricity, gas, and oil within the GTA. The data regarding the energy infrastructure networks are sourced from the CanVec database, reports from Hydro One (Toronto, ON, Canada), and maps provided by the Canadian Energy Pipeline Association. The spatial configuration of the integrated electricity–gas–oil network is shown in Figure 2.
In Figure 2, the electricity transmission network includes power plants, substations, and transmission lines. Power plants function as supply nodes within the network. Substations are categorized into two types based on their voltages: 500 kV substations, labeled as transmission nodes, and 230 kV substations, labeled as demand nodes. All nodes in the network are assigned with numbers starting with ‘P’. Additionally, there are two types of power transmission lines with different voltage capacities: 500 kV and 230 kV, which can be modeled as links within the network. For further detailed information regarding the electricity transmission network, please refer to Table 1.
In Figure 2, the gas and oil systems are distinct from the electricity transmission system due to the absence of service generation facilities within their networks. These systems exclusively comprise transmission facilities, encompassing compressor stations, meter stations, pumping stations, and pipelines. Given that all gas transmitted to the GTA passes through a meter station, we designate this station as a supply node within the gas network. Similarly, the pumping station through which all oil is transmitted into the GTA is recognized as a supply node in the oil network [41].
In the integrated electric–gas–oil system, the dependencies of the gas and oil transmission networks on the electricity transmission network are set based on inter-system service dependency and Euclidean distance as follows: (i) each of the two gas compressor stations and the 15 m stations rely on the nearest electricity substation with a capacity of 230 kV; and (ii) each of the oil pumping stations and 4 m stations are supported by the nearest electricity substation with a capacity of 230 kV. Additionally, since stable electricity input is crucial for ensuring the continuous operation of gas and oil transmission systems, in Equation (2) for computing the resilience of the integrated system, the weighting coefficient of electricity, gas and oil transmission systems are set at 0.5, 0.25, and 0.25, respectively.
Besides network structural data, the flow-based model and DC model also require operational data of the energy networks. For the electricity transmission network, power generation capacities, ranging from 875 to 3500 MW, are estimated based on the installed capacities obtained from the Ontario Power Generation websites. The power demand for the area is derived from annual consumption, totaling 6850 MWh per hour. For simplicity, it is assumed that the electric power demand at each node remains constant over the specified time period.
Substations larger than 500 kV are designated as transmission nodes. The allocation of the GTA population to 230 kV substations is determined through the utilization of Thiessen polygons [41]. Each polygon denotes a region served by a substation. The demand for each substation is determined by the total demand and the proportion of the population that each substation serves. According to related research [42], the flow capacities of the lines with 500 kV and 230kV are set as 1200 MW and 300 MW, respectively. The reactance values and maximum allowable phase angle limits for nodes in the DC model follow related work [43]. For the gas and oil networks, the gas and oil demands in the GTA are computed based on both Ontario consumption and the GTA’s proportional population within Ontario. The hourly gas and oil consumptions for the GTA are specified as 0.85 Bcf and 9.6 Mb, respectively. Given that there is only one supply node in the gas/oil network, the node’s supply capacity is established to match the regional service consumption. Each demand node (meter station) is assumed to equally share the regional service consumption. To ensure the effective transmission of both types of services, the hourly transmission capacity for each pipeline is set at 0.85 Bcf in the gas network and 4.8 Mb in the oil network.

5.2. Experimental Design and Parameters

Hurricanes originating in the Atlantic have caused numerous disruptions to the electricity transmission network in the GTA over the past few decades. According to the Saffir–Simpson Hurricane Wind Scale and historical statistical data [21,44], hurricanes categorized as level 3 or higher are considered hazardous, often resulting in disruptions to electricity transmission lines. In this context, the wind speed for hurricane scenarios is established at 110 mph.
As hurricanes primarily damage the transmission lines of the power system, the disaster scenario for the system is denoted as a set of damaged links. Under the influence of hurricane disasters, uncertainties in disaster scenarios are evident through two primary factors. First, the paths of hurricanes are typically difficult to accurately predict, necessitating the consideration of multiple potential tracks [44]. This study considers four hurricane paths, as depicted in Figure 3, denoted by dashed black lines. The area denoted by the dashed black circle, labeled R, has a radius of 10 km, marking the boundary of the maximum wind regions. The occurrence probabilities for paths H1 to H4 are 0.35, 0.3, 0.2, and 0.15, respectively. Second, electricity transmission lines located in the affected region of a hurricane may suffer damage, and the occurrence of line damage is probabilistic. In specific hurricane conditions, the probability of damage to a transmission line is calculated based on its length and the wind speed, as specified in Equation (25).
Based on the potential hurricane paths and the boundaries of the maximum wind regions shown in Figure 3, there are 42 transmission lines located within the affected region along the hurricane paths. Taking into account the occurrence probabilities of the four hurricane paths and the line damage probabilities obtained through Equation (25), the failure probabilities of these 42 links range from 0.035 to 0.112.
In this case study, the calculation of the cost settings for the selected protective measure (i.e., hardening the transmission lines) is as follows: the cost of hardening an overhead line in the power system depends on the length of the line, with a coefficient of USD 1.0 × 105 per mile [45].

5.3. Results

Based on the occurrence probabilities of the four potential hurricane paths and the corresponding failure probabilities of the links in the power network, 200 disaster scenarios are generated using the algorithm for scenario generation (i.e., Algorithm 1). The average number of damaged links in the power network remains within a tight range (between 3.6 and 3.8) when the number of scenarios exceeds 120. Therefore, 200 scenarios are sufficient for analyzing the effectiveness of the protection strategies under uncertain disaster scenarios. Among the 200 scenarios, there are 162 scenarios with link failures.
The K-means clustering method is used to reduce the scenarios to a manageable size while retaining the essential stochastic information. By utilizing this method, the 162 scenarios are simplified into k clusters. The sensitivity of the clustering standard deviation σ c l s t ( k ) for different k values is depicted in Figure 4. The results indicate that when k is larger than 40, the normalized value of σ c l s t ( k ) decreases at a sufficiently slow rate. Thus, setting k = 40 ensures low error, and the computational efficiency for the protection strategies remains within an acceptable range for this number of scenarios. The calculations are performed on a laptop featuring a 3.40 GHz CPU and 16 GB of RAM. The solution approach outlined in Section 4 is deployed. Optimal results for the models are achieved within 500 s.

5.3.1. Results of Risk-Neutral Strategy

The risk-neutral protection strategy is derived by solving the model. In our case, we are focusing on hardening the power transmission lines to safeguard against the severe winds caused by the hurricanes. Table 2 outlines the specific protection strategies for different available budgets.
In Table 2, it is observed that in most cases, with each incremental increase in the budget, additional lines are chosen to be hardened and the EVR of the integrated system continues to rise. Moreover, the majority of the hardened links are connected to nodes supplying power to the gas and oil networks. However, it is observed that there is no significant increase in the number of hardened lines when the budget is raised from USD 6 × 107 to USD 8 × 107. Instead, the hardened lines are changed, i.e., lines 29–30, 32–39, and 37–38 are replaced by lines 31–34, 31–35, and 39–46. These replacements also result in an improvement in the EVR of the integrated system. The lengths of the replaced lines are noticeably longer than those they replace, and their hardening costs are higher. This suggests that the optimal set of lines to be hardened under limited budget conditions may not be a subset of those chosen under more expansive budget scenarios. The decision should be made by comprehensively considering the probability of damage to the lines and the cost of hardening them. Thus, decision-makers must evaluate carefully the available budget in order to determine the best hardening strategy.
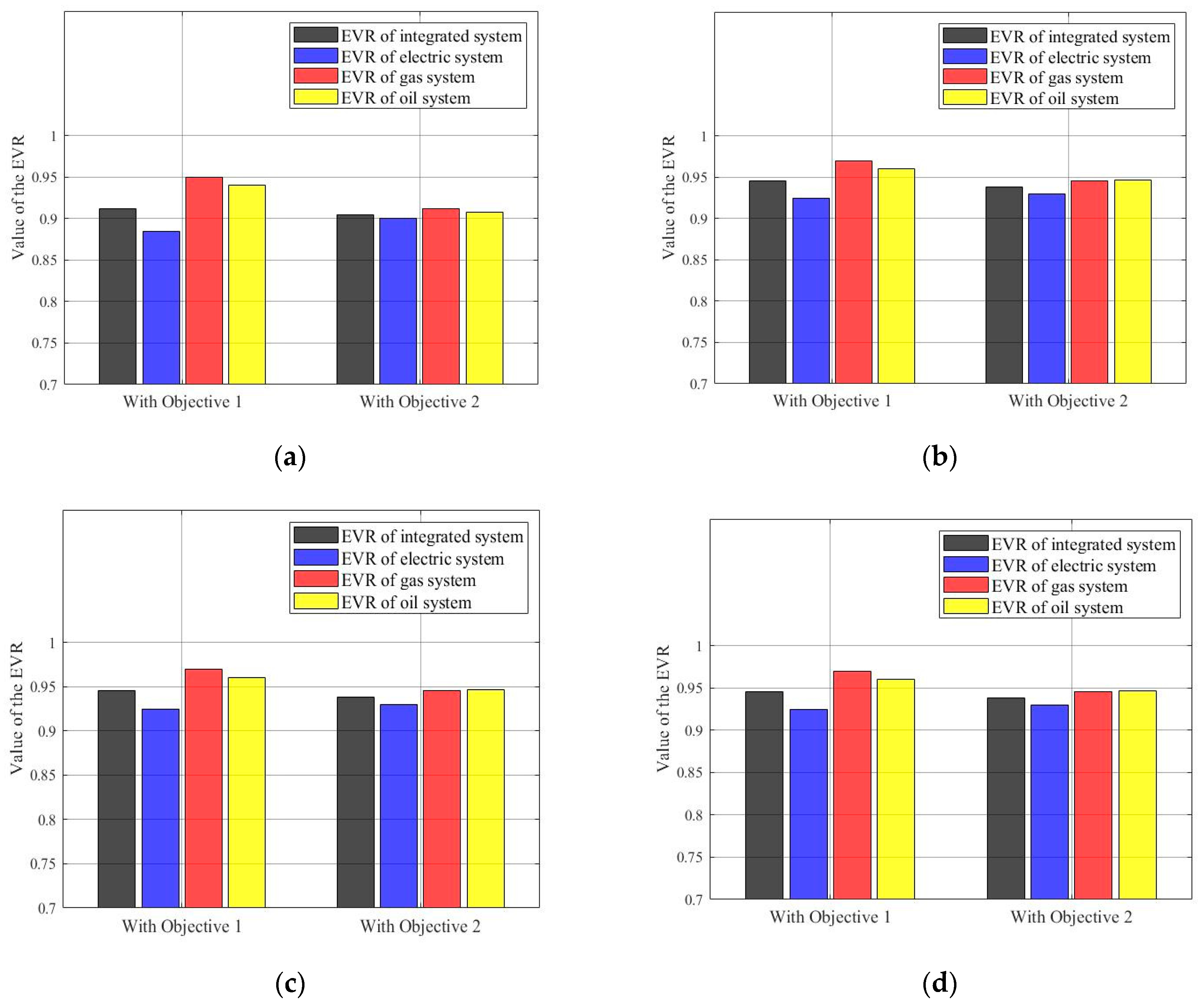
The strategies shown in Table 2 are obtained with the goal of optimizing the EVR of the integrated system (‘Objective 1’). Previous studies on power system protection strategies have often aimed at enhancing the resilience of the power system itself. For comparative analysis, we also calculated the optimal protection strategies with the objective of maximizing the EVR of the electricity transmission system (‘Objective 2’). The EVR values of the systems, which correspond to the strategies derived from the two objectives, are illustrated in Figure 5.
In Figure 5, it can be seen that, with the same budget, the EVRs of the integrated system and the electric power, gas, and oil transmission systems exhibit significant differences when the strategic objectives differ. Under ‘Objective 1’ (aiming to maximize the EVR of the integrated system), although the EVR of the electric power system is lower, the EVRs of the gas and oil systems are significantly higher, leading to a relatively higher overall EVR of the integrated system compared to that obtained under ‘Objective 2’. This is because the protection strategy under ‘Objective 1’ considers not only the demands of the electric power system but also the power service requirements of the other two systems. In contrast, under ‘Objective 2’ (aiming to maximize the EVR of the electric power system), while the EVR of the electric power system is relatively higher, the EVRs of the gas and oil systems are significantly lower. Generally, strategies derived from ‘Objective 1’ offer more comprehensive and practical guidance than those derived from ‘Objective 2’.
From Figure 5a–d, it can be seen that with an increase in budget, both the EVR of the integrated system and that of the electric power system increase. However, the rate of improvement exhibits diminishing marginal returns. Therefore, in practical decision-making, it is crucial to consider both the protection budget of the electric power system and the effectiveness of enhancing system resilience when determining an appropriate budget.

5.3.2. Results of Risk Management Strategy

To reduce the risk of the integrated system’s resilience falling below an acceptable level in some potential scenarios, we next calculate the results obtained by the risk management strategy. The threshold of the downside risk signifies the minimum value of resilience which decision-makers can tolerate. The budget for the protection strategy is set at USD 4 × 107, and the threshold is assumed to be 0.9. Then, a multi-objective analysis is performed focusing on maximizing the EVR and minimizing the downside risk, using the ε-constraint method within the risk management model. Initially, the solutions—maximizing the EVR and minimizing the downside risk—are determined to establish the bounds for the downside risk, and are found to be 0.0842 and 0.0215, respectively. Then, 10 evenly distributed ε-parameter values are introduced to span the interval between these risk limits. The protection strategy corresponding to each ε value, as well as the EVR of the integrated system, are computed, with detailed results presented in Figure 6 and Table 3.
In Figure 6, the set of Pareto-optimal solutions for the EVR versus the downside risk is presented, with the horizontal axis representing the downside risk and the vertical axis indicating the EVR. A total of 10 Pareto-optimal solutions are obtained, collectively approximating the Pareto curve. Solutions of the risk management model that fall below this curve are deemed suboptimal, those above it are regarded as unfeasible, and the ones on the curve are identified as Pareto optimal. On the curve, the points positioned to the right generally aim to maximize the EVR, whereas those to the left are oriented towards more risk-averse solutions.
In Figure 6, the maximum EVR of the integrated system is 0.945, which is consistent with the results obtained from the risk-neutral strategy. However, at this point, the downside risk value is also at its maximum. Among the 40 disaster scenarios, there are 10 instances where the value of the integrated system’s resilience falls below the threshold of 0.9. Therefore, decision-makers should strive to avoid such occurrences as much as possible. Correspondingly, as the downside risk decreases, indicating a reduction in the number of disaster scenarios where the resilience value is smaller than the threshold of 0.9, the EVR of the integrated system also decreases. This is because, from the perspective of risk management, it becomes necessary to harden some transmission lines with low damage probabilities, which can mitigate some extreme risks but cannot increase the EVR of the integrated system. This can be seen from Table 3, where for small ε values (e.g., 0.0215, 0.284, and 0.354), transmission lines 5–15, 4–31, 3–4, etc., are selected to be hardened. Moreover, some transmission lines, such as lines 26–27, 29–30, etc., are consistently selected for hardening in all strategies due to their critical importance.
Additionally, the variation of Pareto-optimal solutions for the EVR versus the downside risk is not linear. When the EVR of the integrated system is relatively high, even a slight reduction in the EVR can lead to a significant decrease in the downside risk, indicating a substantial reduction in associated risks. Conversely, when the EVR of the integrated system is low, achieving the same decrease in the downside risk requires a significant reduction in the EVR. This indicates that in practical decision-making, decision-makers need to consider actual risk aversion requirements and develop effective risk management strategies by balancing the EVR and the downside risk.

5.3.3. Sensitivity Analysis

The budget for the protection strategy is a crucial parameter in the models, as it influences the number of transmission lines that can be hardened. Sensitivity analysis of this parameter can reveal its impact on the objective function values. This analysis aids CI system operators in choosing suitable budget allocations according to the actual circumstances.
The impact of the budget on the risk-neutral strategy and the corresponding EVR of the integrated system is first analyzed. The budget values are set from USD 1 × 107 to USD 10 × 107, with an interval of USD 1 × 107. Additionally, considering potential hurricane wind-speed variations in practice, the wind speed is set from 100 mph to 120 mph, with 5 mph intervals. The changes in the EVR of the integrated system for different budgets and wind speeds are shown in Figure 7.
As shown in Figure 7, for the same wind speed, the EVR of the integrated system shows a positive relationship to the budget sizes. However, as the budget increases, the rate of increase in the EVR becomes less steep. Essentially, the growth in the EVR starts to diminish marginally as higher budgets become available. For example, if the wind speed is 105 mph, the EVR for the integrated system nearly reaches its maximum at a budget of USD 5 × 107. Subsequently, with further increases in the budget, the improvement in the EVR is not noticeable. On the other hand, it can be seen that as wind speed increases, a larger budget is required to improve the EVR of the integrated system to a higher level. For example, at wind speeds of 100 mph and 120 mph, the budgets required to achieve a higher level of the EVR are at least USD 4 × 107 and USD 9 × 107, respectively. Therefore, when making actual decisions, it is necessary to consider the intensity of hurricanes to determine the budget for pre-disaster protection strategies.
We further analyze the impact of budget on risk management strategy and the corresponding EVR and downside risk. The budget values are still set from USD 2 × 107 to USD 10 × 107, with intervals of USD 2 × 107. The wind speed remains set at 110 mph. Figure 8 illustrates the variations in the Pareto-optimal curve for different budget levels.
Figure 8 illustrates the Pareto-optimal curves for various budgets. As depicted, increasing the budget causes both bounds of the EVR to rise, while the gap between the downside risk’s bounds narrows. If the budget is greater than or equal to USD 8 × 107, the variation between the downside risk’s bounds is minimal, indicating that the integrated system’s resilience for most disaster scenarios exceeds the threshold under the risk-neutral strategy. Moreover, at a budget of USD 10 × 107, there are also solutions that ensure the value of the downside risk is zero.
The findings demonstrate that, first, if the decision-makers are risk-neutral, there is typically a reasonable budget value for hurricanes of varying intensities, which can balance the value of the EVR of the integrated system and the cost of the protection strategy because the incremental increase in the EVR diminishes as the budget increases. Second, if the decision-makers are risk-averse and the cost of the protection strategy can be taken into account, as in the case study, budgets of USD 8 × 107 are better choices because they offer solutions for the protection strategies that can ensure that the resilience of the integrated system to most disaster scenarios exceeds the threshold and the EVR is sufficiently high.

6. Conclusions

Pre-disaster protection strategies are essential for enhancing the resilience of electric power systems against natural disasters. Taking into account the budget for protection activities, the dependency of other infrastructure systems on electricity, and the uncertainty in the scenarios, this study proposes strategies for the pre-disaster protection of electric power systems. The risk-neutral model aims to maximize the EVR of integrated systems by employing a two-stage stochastic programming model to develop a protection strategy. The risk management model extends the risk-neutral approach by using the downside risk to measure the risk of the integrated system falling below a certain threshold. It combines the goals of maximizing the EVR and minimizing the downside risk into a dual-objective model for generating risk management protection strategies. Considering the uncertainty in possible disaster scenarios, scenario generation and reduction methods are applied to generate a set of disaster scenarios that meet the analytical requirements. Furthermore, the ε-constraint method and the PHA are utilized to construct a method for finding solutions for the proposed models.
A case study using the energy infrastructure systems in the GTA is conducted to validate the effectiveness of the models and solution methods, yielding the following results. First, increasing the budget can enhance the EVR of the integrated system; however, once the budget reaches a certain level, the incrementally increasing benefits to the EVR significantly diminish. Additionally, the optimal set of transmission lines to be hardened in small budget situations is not necessarily the same subset to be hardened under larger budget conditions. Second, under the same budget, strategies aimed at maximizing the EVR of the integrated system and those aimed at maximizing the EVR of the electricity transmission system exhibit significant differences. While the latter can significantly enhance the resilience of the power system, the improvement in the resilience of the integrated system is often quite limited. In practice, targeting the maximization of the EVR of the integrated system can provide more comprehensive and practical benefits. Third, when applying risk management strategies, a decrease in the downside risk often comes at the cost of an increase in the EVR of the integrated system, and the variation in Pareto-optimal solutions between the EVR and downside risk is not linear. In practical decision-making, it is necessary to find a balance between the two to achieve a more effective risk management strategy. Third, when applying risk management strategies, a decrease in the downside risk often comes at the cost of an increase in the EVR of the integrated system, and the variation in Pareto-optimal solutions between the EVR and downside risk is not linear. In practical decision-making, it is necessary to find a balance between the two to achieve a more effective risk management strategy. Fourth, through parameter sensitivity analysis, we find that both the risk-neutral and risk management strategies, taking into account the intensity of hurricanes and the cost of the protection strategy, can determine a reasonable pre-disaster protection budget.
This study also has some limitations. First, it assumes that the paths of potential hurricanes and their probabilities of occurrence are predictable and known. This assumption may not hold true in practical scenarios. If the paths of potential hurricanes and their occurrence probabilities cannot be accurately forecast beforehand, a robust optimization model would be more suitable for addressing this issue. Additionally, certain parameter values, such as the threshold for downside risk (i.e., the minimum resilience value acceptable to decision-makers), are assumed due to the lack of actual data. While sensitivity analysis can be used to examine the impact of changes in these parameters, the conclusions drawn still depend on these assumptions. Nonetheless, the models created in this study are adaptable. If parameter data become available, the models can be updated by adjusting the constraints, thereby continuing to provide valuable insights for decision-makers.

Author Contributions

Conceptualization, C.W. and L.L.; methodology, C.Z.; software, J.K.; validation, C.W., X.Q. and C.Z.; investigation, L.L.; data curation, J.K.; writing—original draft preparation, C.W. and C.Z.; writing—review and editing, L.L. and X.Q.; visualization, X.Q.; supervision, J.K.; project administration, C.W.; and funding acquisition, C.Z. All authors have read and agreed to the published version of the manuscript.

Funding

This research was funded by the State Grid Shanghai Municipal Electric Power Company Science and Technology Project, Grant No. 09CI08-9012008-0008; the Natural Science Foundation of China, Grant Nos. 72271149 and 72371163; and the Ministry of Education, Humanities and Social Sciences Research Youth Fund Project, Grant No. 22YJCZH231.

Data Availability Statement

The original contributions presented in the study are included in the article. Further inquiries can be directed to the corresponding author.

Conflicts of Interest

Authors Chen Wang, Ling Luo and Xiaoman Qi were employed by the company State Grid Shanghai Electric Power Research Institute. The remaining authors declare that the research was conducted in the absence of any commercial or financial relationships that could be construed as a potential conflict of interest. The authors declare that this study received funding from the State Grid Shanghai Municipal Electric Power Company. The funder had the following involvement with the study: funding provision.

Nomenclature

Indices and Sets
K Set of systems indexed
N g k Set   of   supply   nodes   in   the   infrastructure   network   k K
N t k Set   of   transmission   nodes   in   the   infrastructure   network   k K
N d k Set   of   demand   nodes   in   the   infrastructure   network   k K
N   k Set   of   nodes   N   k = ( N g k N t k N d k )   in   the   infrastructure   network   k K
L k Set   of   links   in   the   infrastructure   network   k K , and indexed by l
E Electric power system/network
ξ E , k Set   of   ordered   dependent   nodes   pairs   ( n , n ) ξ E , k between electric power network E and infrastructure k
ψ Set of disaster scenarios characterized as link failures in electric power network, and indexed by ω
Parameters
P   k , ω Post-disruption performance of infrastructure k under scenario ω
P ¯   k Pre-disruption performance of infrastructure k
R E   ω Resilience of the integrated infrastructure system under scenario ω
g n k Service   production   ability   of   the   node   n N g k
d n k Necessary   service   requirement   of   the   node   n N d k
f l k Flow   capacity   of   the   link   l L k
b l E Reactance   of   link   l L E
θ max Upper   permissible   limit   for   θ n ω
φ Predefined threshold for the resilience of the integrated system
B Budget for protection activities of the electric power system
p ω Occurrence   probability   of   scenario   ω ψ
c l E Cos t   of   hardening   for   link   l L E
c n E Cos t   of   placing   a   distributed   generation   unit   for   node   n N d E
λ k Weight/importance of the infrastructure system k
Decision variables
z l E Binary   variable   indicating   link   hardening   decisions   for   link   l L E
z n E Binary   variable   indicating   backup   generation   unit   installing   decisions   for   node   n N d E
q l E , ω Binary   variable   representing   if   link   l L E is damaged after disaster scenario ω
s j k , ω Binary   variable   indicating   if   component   j { n N k , l L k } is operational after disaster scenario ω
g n k , ω Service   production   of   node   n N g k under scenario ω
d n k , ω Supplied   demand   of   node   n N d k under scenario ω
f l k , ω Service   flow   in   line   l L k after the occurrence of scenario ω
θ n ω Phase   angle   of   node   n N E under scenario ω
γ n , n E , k , ω Binary   variable   denoting   whether   the   dependency   of   node   n N k   to   electric   power   node   n N d E operates correctly following scenario ω

References

  1. Aldhubaib, H.A.; Ahmed, M.H.; Salama, M.M.A. A weather-based power distribution system reliability assessment. Alex. Eng. J. 2023, 78, 256–264. [Google Scholar] [CrossRef]
  2. Obama, B. Presidential Policy Directive 21—Critical Infrastructure Security and Resilience; U.S. Office of the Press Secretary: Washington, DC, USA, 2013.
  3. Younesi, A.; Shayeghi, H.; Wang, Z.; Siano, P.; Mehrizi-Sani, A.; Safari, A. Trends in modern power systems resilience: State-of-the-art review. Renew. Sustain. Energy Rev. 2022, 162, 112397. [Google Scholar] [CrossRef]
  4. National Research Council. Disaster Resilience: A National Imperative; National Academies Press: Washington, DC, USA, 2012. [Google Scholar]
  5. Bruneau, M.; Chang, S.E.; Eguchi, R.T.; Lee, G.C.; O’Rourke, T.D.; Reinhorn, A.M. A Framework to Quantitatively Assess and Enhance the Seismic Resilience of Communities. Earthq. Spectra 2003, 19, 733–752. [Google Scholar] [CrossRef]
  6. Wang, P.; Billinton, R. Reliability cost/worth assessment of distribution systems incorporating time-varying weather conditions and restoration resources. IEEE Trans. Power Deliv. 2002, 17, 260–265. [Google Scholar] [CrossRef]
  7. Brown, R.E.; Gupta, S.; Christie, R.D.; Venkata, S.S.; Fletcher, R. Distribution system reliability assessment: Momentary interruptions and storms. IEEE Trans. Power Deliv. 1997, 12, 1569–1575. [Google Scholar] [CrossRef]
  8. Mahzarnia, M.; Moghaddam, M.P.; Baboli, P.T.; Siano, P. A Review of the Measures to Enhance Power Systems Resilience. IEEE Syst. J. 2020, 14, 4059–4070. [Google Scholar] [CrossRef]
  9. Cimellaro, G.P.; Reinhorn, A.M.; Bruneau, M. Framework for analytical quantification of disaster resilience. Eng. Struct. 2010, 32, 3639–3649. [Google Scholar] [CrossRef]
  10. Umunnakwe, A.; Huang, H.; Oikonomou, K.; Davis, K.R. Quantitative analysis of power systems resilience: Standardization, categorizations, and challenges. Renew. Sustain. Energy Rev. 2021, 149, 111252. [Google Scholar] [CrossRef]
  11. Sabouhi, H.; Doroudi, A.; Fotuhi-Firuzabad, M.; Bashiri, M. Electrical Power System Resilience Assessment: A Comprehensive Approach. IEEE Syst. J. 2020, 14, 2643–2652. [Google Scholar] [CrossRef]
  12. Hosseini, S.; Barker, K.; Ramirez-Marquez, J.E. A review of definitions and measures of system resilience. Reliab. Eng. Syst. Saf. 2016, 145, 47–61. [Google Scholar] [CrossRef]
  13. Panteli, M.; Mancarella, P. The Grid: Stronger, Bigger, Smarter?: Presenting a Conceptual Framework of Power System Resilience. IEEE Power Energy Mag. 2015, 13, 58–66. [Google Scholar] [CrossRef]
  14. Bhusal, N.; Abdelmalak, M.; Kamruzzaman, M.; Benidris, M. Power System Resilience: Current Practices, Challenges, and Future Directions. IEEE Access 2020, 8, 18064–18086. [Google Scholar] [CrossRef]
  15. Hussain, A.; Bui, V.-H.; Kim, H.-M. Microgrids as a resilience resource and strategies used by microgrids for enhancing resilience. Appl. Energy 2019, 240, 56–72. [Google Scholar] [CrossRef]
  16. Lin, Y.; Bie, Z.; Qiu, A. A review of key strategies in realizing power system resilience. Glob. Energy Interconnect. 2018, 1, 70–78. [Google Scholar]
  17. Liu, X.; Fang, Y.P.; Zio, E. A Hierarchical Resilience Enhancement Framework for Interdependent Critical Infrastructures. Reliab. Eng. Syst. Saf. 2021, 215, 107868. [Google Scholar] [CrossRef]
  18. Liu, W.; Song, Z. Review of Studies on the Resilience of Urban Critical Infrastructure Networks. Reliab. Eng. Syst. Saf. 2020, 193, 106617. [Google Scholar] [CrossRef]
  19. Panteli, M.; Mancarella, P. Influence of extreme weather and climate change on the resilience of power systems: Impacts and possible mitigation strategies. Electr. Power Syst. Res. 2015, 127, 259–270. [Google Scholar] [CrossRef]
  20. Zhou, S.; Jiang, C.; Xiong, Z.; Zhang, J.; Wang, L. Enhancing the Resilience of the Power System to Accommodate the Construction of the New Power System: Key Technologies and Challenges. Front. Energy Res. 2023, 11, 1256850. [Google Scholar] [CrossRef]
  21. Shi, Q.; Li, F.; Kuruganti, T.; Olama, M.; Dong, J.; Wang, X.; Winstead, C. Resilience-Oriented DG Siting and Sizing Considering Stochastic Scenario Reduction. IEEE Trans. Power Syst. 2020, 36, 3715–3727. [Google Scholar] [CrossRef]
  22. Shi, Q.; Liu, W.; Zeng, B.; Hui, H.; Li, F. Enhancing Distribution System Resilience Against Extreme Weather Events: Concept Review, Algorithm Summary, and Future Vision. Int. J. Electr. Power Energy Syst. 2022, 138, 107860. [Google Scholar] [CrossRef]
  23. Wang, X.; Li, Z.Y.; Shahidehpour, M.; Wang, C.M. Robust Line Hardening Strategies for Improving the Resilience of Distribution Systems with Variable Renewable Resources. IEEE Trans. Sustain. Energy 2019, 10, 386–395. [Google Scholar] [CrossRef]
  24. Yuan, W.; Zhao, L.; Zeng, B. Optimal Power Grid Protection through a Defender–Attacker–Defender Model. Reliab. Eng. Syst. Saf. 2014, 121, 83–89. [Google Scholar] [CrossRef]
  25. Yuan, W.; Wang, J.; Qiu, F.; Chen, C.; Kang, C.; Zeng, B. Robust Optimization-Based Resilient Distribution Network Planning Against Natural Disasters. IEEE Trans. Smart Grid 2016, 7, 2817–2826. [Google Scholar] [CrossRef]
  26. Ouyang, M.; Xu, M.; Zhang, C.; Huang, S. Mitigating Electric Power System Vulnerability to Worst-Case Spatially Localized Attacks. Reliab. Eng. Syst. Saf. 2017, 165, 144–154. [Google Scholar] [CrossRef]
  27. Popović, Z.N.; Kovački, N.V.; Popović, D.S. Resilient Distribution Network Planning Under the Severe Windstorms Using a Risk-Based Approach. Reliab. Eng. Syst. Saf. 2020, 204, 107114. [Google Scholar] [CrossRef]
  28. Andrea, A.D.; Meng, L.Y.; Centulio, G.; Corman, F. Integrated Stochastic Optimization Approaches for Tactical Scheduling of Trains and Railway Infrastructure Maintenance. Comput. Ind. Eng. 2019, 127, 1315–1335. [Google Scholar]
  29. Kong, J.; Zhang, C.; Simonovic, S.P. Optimizing the Resilience of Interdependent Infrastructures to Regional Natural Hazards with Combined Improvement Measures. Reliab. Eng. Syst. Saf. 2021, 210, 107538. [Google Scholar] [CrossRef]
  30. Fang, Y.P.; Zio, E. An Adaptive Robust Framework for the Optimization of the Resilience of Interdependent Infrastructures Under Natural Hazards. Eur. J. Oper. Res. 2019, 276, 1119–1136. [Google Scholar] [CrossRef]
  31. Li, J.; Xu, Y.; Wang, Y.; He, J.; Liu, C.C.; Schneider, K.P. Resilience-Motivated Distribution System Restoration Considering Electricity-Water-Gas Interdependency. IEEE Trans. Smart Grid 2021, 12, 4799–4812. [Google Scholar] [CrossRef]
  32. Wang, C.; Ju, P.; Wu, F.; Pan, X.P.; Wang, Z.Y. A Systematic Review on Power System Resilience from the Perspective of Generation, Network, and Load. Renew. Sustain. Energy Rev. 2022, 167, 112567. [Google Scholar] [CrossRef]
  33. Wang, K.; Xu, Z.; Liu, Y.; Fang, Y. Resilience Enhancement for Multistate Interdependent Infrastructure Networks: From a Preparedness Perspective. IEEE Trans. Reliab. 2022, 72, 190–203. [Google Scholar] [CrossRef]
  34. Rinaldi, S.M.; Peerenboom, J.P.; Kelly, T.K. Identifying, Understanding, and Analyzing Critical Infrastructure Interdependencies. IEEE Control Syst. Mag. 2001, 21, 11–25. [Google Scholar]
  35. Eppen, G.D.; Martin, R.K.; Schrage, L. A Scenario Approach to Capacity Planning. Oper. Res. 1989, 37, 517–527. [Google Scholar] [CrossRef]
  36. Ma, S.; Su, L.; Wang, Z.; Qiu, F.; Guo, G. Resilience enhancement of distribution grids against extreme weather events. IEEE Trans Power Syst Sep. 2018, 33, 4842–4853. [Google Scholar] [CrossRef]
  37. Dunn, S.; Wilkinson, S.; Alderson, D.; Fowler, H.; Galasso, C. Fragility Curves for Assessing the Resilience of Electricity Networks Constructed from an Extensive Fault Database. Nat. Hazards Rev. 2018, 19, 04017019. [Google Scholar] [CrossRef]
  38. Morales, J.M.; Pineda, S.; Conejo, A.J.; Carrión, M. Scenario Reduction for Futures Market Trading in Electricity Markets. IEEE Trans. Power Syst. 2009, 24, 878–888. [Google Scholar] [CrossRef]
  39. Kong, J.; Zhang, C.; Simonovic, S.P. Resilience and Risk-Based Restoration Strategies for Critical Infrastructure under Uncertain Disaster Scenarios. Sustain. Cities Soc. 2023, 92, 104510. [Google Scholar] [CrossRef]
  40. Gade, D.; Hackebeil, G.; Ryan, S.M.; Watson, J.P.; Wets, R.J.B.; Woodruff, D.L. Obtaining Lower Bounds from the Progressive Hedging Algorithm for Stochastic Mixed-Integer Programs. Math. Program. 2016, 157, 47–67. [Google Scholar] [CrossRef]
  41. Kong, J.; Simonovic, S.P.; Zhang, C. Sequential Hazards Resilience of Interdependent Infrastructure System: A Case Study of Greater Toronto Area Energy Infrastructure System. Risk Anal. 2019, 39, 1141–1168. [Google Scholar] [CrossRef] [PubMed]
  42. Haubrich, H.J. Analysis of Electricity Network Capacities and Identification of Congestion. In Final Report for the European Commission; Institute of Power Systems and Power Economics: Aachen, Germany, 2001. [Google Scholar]
  43. Ordoudis, C.; Pinson, P.; González, J.M.; Zugno, M. An Updated Version of the IEEE RTS 24-Bus System for Electricity Market and Power System Operation Studies. Available online: https://www.semanticscholar.org/paper/An-Updated-Version-of-the-IEEE-RTS-24-Bus-System-Ordoudis-inson/777ae6f18748b2a8899e5d3233226c854bb09ef5#paper-header (accessed on 1 January 2020).
  44. Moglen, R.L.; Barth, J.; Gupta, S.; Kawai, E.; Klise, K.; Leibowicz, B.D. A Nexus Approach to Infrastructure Resilience Planning Under Uncertainty. Reliab. Eng. Syst. Saf. 2023, 230, 108931. [Google Scholar] [CrossRef]
  45. Louth, D. Governor’s Two-Storm Panel: Distribution Infrastructure Hardening Options and Recommendations. 2011. Available online: http://www.ctconstruction.org/files/public/Two_Storm_Panel_Storm_Hardening.pdf (accessed on 3 October 2021).
Figure 1. Steps for developing pre-disaster protection strategies.
Figure 1. Steps for developing pre-disaster protection strategies.
Energies 17 03619 g001
Figure 2. GTA electricity–gas–oil infrastructure spatial network.
Figure 2. GTA electricity–gas–oil infrastructure spatial network.
Energies 17 03619 g002
Figure 3. Hurricane scenarios with different travel directions.
Figure 3. Hurricane scenarios with different travel directions.
Energies 17 03619 g003
Figure 4. Sensitivity of within-cluster sum of distance.
Figure 4. Sensitivity of within-cluster sum of distance.
Energies 17 03619 g004
Figure 5. EVR values of systems for strategies derived from two objectives across different budgets. (a) Budget = USD 2 × 107; (b) budget = USD 4 × 107; (c) budget = USD 6 × 107; and (d) budget = USD 8 × 107.
Figure 5. EVR values of systems for strategies derived from two objectives across different budgets. (a) Budget = USD 2 × 107; (b) budget = USD 4 × 107; (c) budget = USD 6 × 107; and (d) budget = USD 8 × 107.
Energies 17 03619 g005
Figure 6. The Pareto-optimal curve for the downside risk and the EVP of the integrated system.
Figure 6. The Pareto-optimal curve for the downside risk and the EVP of the integrated system.
Energies 17 03619 g006
Figure 7. Changes in the EVR of the integrated system with different budgets and wind speeds.
Figure 7. Changes in the EVR of the integrated system with different budgets and wind speeds.
Energies 17 03619 g007
Figure 8. Changes in the Pareto-optimal curve with different budgets.
Figure 8. Changes in the Pareto-optimal curve with different budgets.
Energies 17 03619 g008
Table 1. Details of the electricity transmission network.
Table 1. Details of the electricity transmission network.
System ComponentsNumberType
Generation7Supply node
Substation500 kV4Transmission node
230 kV36Demand node
Power line500 kV13Link
230 kV64
Table 2. Optimal protection strategies for different budgets.
Table 2. Optimal protection strategies for different budgets.
Budget (USD × 107)Set of Transmission Lines to Be HardenedEVR of the Integrated System
2.036–37, 38–46, 46–38, 46–400.921
4.029–30, 30–32, 32–39, 36–37, 37–38, 38–46, 40–460.945
6.016–23, 17–22, 23–26, 26–27, 29–30, 30–32, 32–39, 36–37, 40–43, 40–460.988
8.016–23, 17–22, 23–26, 26–27, 30–32, 31–34, 31–35, 36–37, 39–46, 40–43, 40–460.991
Table 3. Optimal protection strategies for different ε values.
Table 3. Optimal protection strategies for different ε values.
ε ValueSet of Transmission Lines to Be Hardened
0.02155–15, 4–31, 23–24, 26–27, 29–30, 30–32, 38–46
0.02844–31, 7–18, 19–21, 26–27, 27–29, 32–39, 38–46
0.03543–4, 7–18, 23–24, 26–27, 29–30, 32–39, 38–46
0.04247–18, 11–14, 23–24, 26–27, 27–29, 32–39, 42–47
0.04937–18, 11–14, 23–24, 26–27, 27–29, 31–32, 37–38
0.056311–14, 17–22, 23–24, 26–27, 29–30, 32–39, 40–46
0.063311–14, 17–22, 23–24, 26–27, 29–30, 32–39, 40–46
0.070216–23, 17–22, 23–26, 26–27, 29–30, 32–39, 36–37
0.077216–23, 17–22, 30–32, 36–37, 37–38, 38–46, 40–46
0.084229–30, 30–32, 32–39, 36–37, 37–38, 38–46, 40–46
Disclaimer/Publisher’s Note: The statements, opinions and data contained in all publications are solely those of the individual author(s) and contributor(s) and not of MDPI and/or the editor(s). MDPI and/or the editor(s) disclaim responsibility for any injury to people or property resulting from any ideas, methods, instructions or products referred to in the content.

Share and Cite

MDPI and ACS Style

Wang, C.; Zhang, C.; Luo, L.; Qi, X.; Kong, J. Optimal Resilience and Risk-Driven Strategies for Pre-Disaster Protection of Electric Power Systems against Uncertain Disaster Scenarios. Energies 2024, 17, 3619. https://doi.org/10.3390/en17153619

AMA Style

Wang C, Zhang C, Luo L, Qi X, Kong J. Optimal Resilience and Risk-Driven Strategies for Pre-Disaster Protection of Electric Power Systems against Uncertain Disaster Scenarios. Energies. 2024; 17(15):3619. https://doi.org/10.3390/en17153619

Chicago/Turabian Style

Wang, Chen, Chao Zhang, Ling Luo, Xiaoman Qi, and Jingjing Kong. 2024. "Optimal Resilience and Risk-Driven Strategies for Pre-Disaster Protection of Electric Power Systems against Uncertain Disaster Scenarios" Energies 17, no. 15: 3619. https://doi.org/10.3390/en17153619

APA Style

Wang, C., Zhang, C., Luo, L., Qi, X., & Kong, J. (2024). Optimal Resilience and Risk-Driven Strategies for Pre-Disaster Protection of Electric Power Systems against Uncertain Disaster Scenarios. Energies, 17(15), 3619. https://doi.org/10.3390/en17153619

Note that from the first issue of 2016, this journal uses article numbers instead of page numbers. See further details here.

Article Metrics

Back to TopTop