Experimental Study of Forced Imbibition in Tight Reservoirs Based on Nuclear Magnetic Resonance under High-Pressure Conditions
Abstract
1. Introduction
2. Experimental Materials and Methods
2.1. Rock Samples and Fluids
2.2. Experimental Apparatus
2.3. Experimental Procedures
- (1)
- Preparation and Cleaning: Initially, the tight reservoir samples were meticulously washed to remove residual oil. To effectively clean the cores and minimize the solvent’s impact on rock wettability, a 1:4 alcohol/benzene mixture was used. After washing, the sample mass was recorded.
- (2)
- Oil Saturation: The cleaned samples were then placed in a saturated oil device and evacuated for 2 to 3 h to eliminate any air. Subsequently, kerosene was injected at a pressure of 20 MPa, and the samples were left to saturate for 72 h.
- (3)
- Mass and T2 Measurement: Once the saturation period was complete, the mass and size of the oil-saturated samples were measured. These cores were then placed into deuterium water within the forced imbibition experimental apparatus. Pressure was applied using a pressurization pump. After a specified duration, the pressure was released, the core was removed, and its mass was measured. The T2 spectrum was then analyzed using an NMR instrument, which is provided by Suzhou Niumai Analytical Instruments Corporation (Suzhou, China).
- (4)
- Repetition and Analysis: This process (step 3) was repeated to observe changes in the T2 spectrum over immersion time, enabling the creation of a detailed plot depicting the variation in the T2 spectrum with time.
3. Experimental Results and Discussion
3.1. Effect of Applied Pressure on Oil Transport during Imbibition
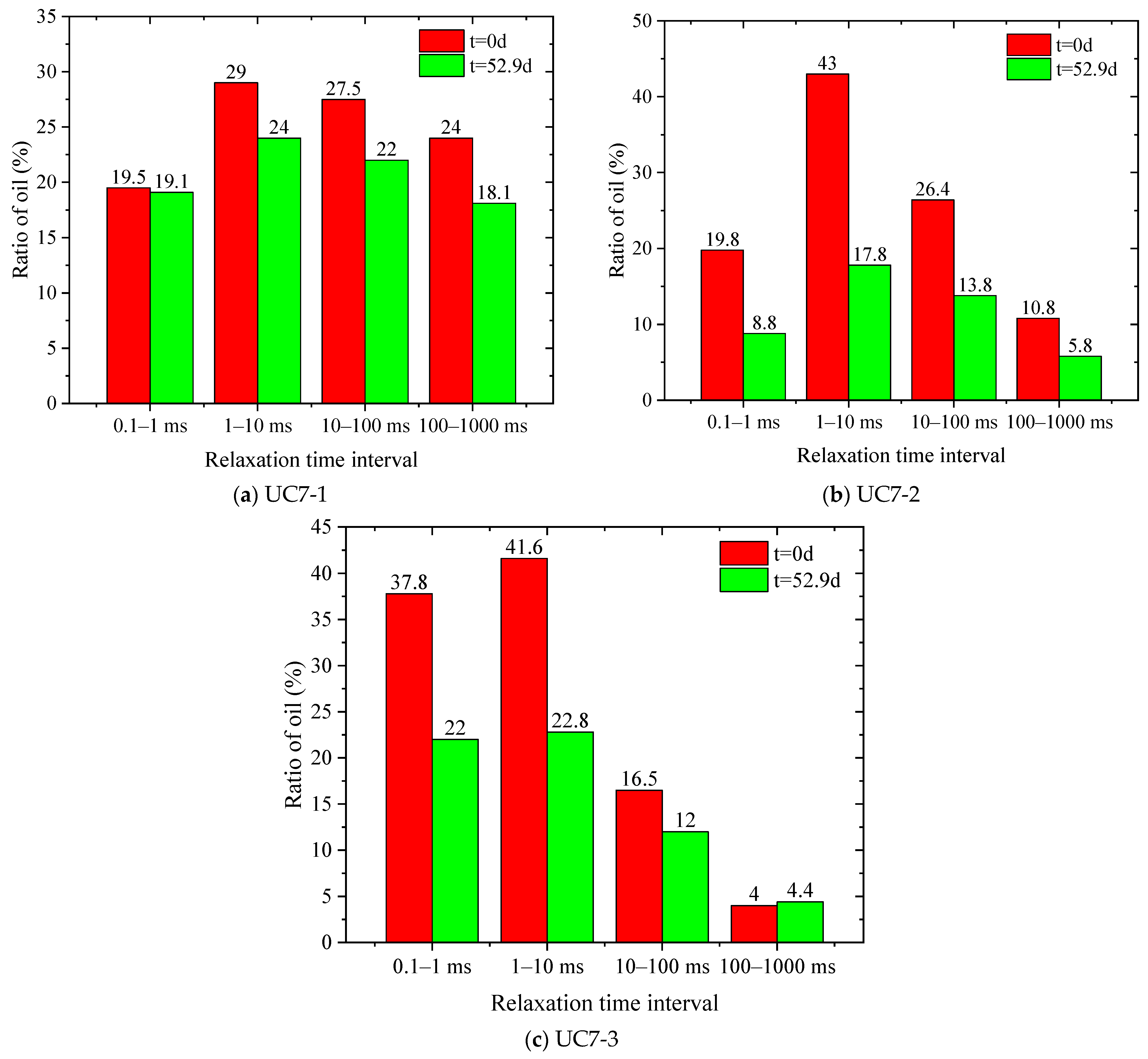
3.2. Effect of Pore Size Distribution on Imbibition
3.3. Effect of Natural Cracks on Imbibition Absorption
3.4. Effect of Crack Expansion on Imbibition Absorption
3.5. Effect of Clay Minerals on Imbibition
3.6. The Implications and Future Potential Studies
- (1)
- Improving oil recovery efficiency
- (2)
- Reduced environmental impact
- (3)
- Sustainability and economic efficiency
- (1)
- Advanced Characterization Techniques:
- (2)
- Multiscale Modeling and Simulation:
- (3)
- Integration with Other Technologies:
4. Conclusions
- (1)
- With the increase in external forces, the imbibition rate of micropores and small pores is positively correlated, accelerating the displacement rate of oil in them. The external pressure may increase the capillary pressure at the smaller pores, increasing the imbibition effect of the smaller pores, but the impact on the larger pores is not significant. Overall, with the increase in external pressure, the overall imbibition recovery rate will increase.
- (2)
- In tight reservoirs, without the influence of other factors, the smaller the pore size, the greater the capillary pressure, and the stronger the imbibition. Under capillary pressure, water will preferentially enter smaller pores to displace oil. The presence of residual oil in pores cannot be completely discharged by only applying external pressure and capillary force, which may be related to the trapping effect of the narrow pore throat channels inside.
- (3)
- Due to the presence of natural fractures, the residual oil saturation in the later stage of imbibition is relatively high. And it prioritizes the water entering the pores to replace the oil, reducing the oil recovery rate of the micropores.
- (4)
- During the imbibition process, the expansion of clay minerals in the sample causes cracks to expand, allowing the displaced oil to enter the newly generated cracks. And applying pressure causes the overall recovery rate of the pores to move towards the direction of the larger pores.
- (5)
- More clay minerals are more prone to induce fracture after imbibition and contact with water, causing damage to their microscopic pore structure. This in turn affects the subsequent imbibition results.
Author Contributions
Funding
Data Availability Statement
Conflicts of Interest
References
- Soeder, D.J. The successful development of gas and oil resources from shales in North America. J. Pet. Sci. Eng. 2018, 163, 399–420. [Google Scholar] [CrossRef]
- Guo, C.; Wei, M.; Liu, H. Study of gas production from shale reservoirs with multi-stage hydraulic fracturing horizontal well considering multiple transport mechanisms. PLoS ONE 2018, 13, e0188480. [Google Scholar] [CrossRef]
- Tian, W.; Wu, K.; Gao, Y.; Chen, Z.; Gao, Y.; Li, J. A Critical Review of Enhanced Oil Recovery by Imbibition: Theory and Practice. Energy Fuels 2021, 35, 5643–5670. [Google Scholar] [CrossRef]
- Andersen, P.Ø.; Evje, S.; Kleppe, H. A Model for Spontaneous Imbibition as a Mechanism for Oil Recovery in Fractured Reservoirs. Transp. Porous Media 2014, 101, 299–331. [Google Scholar] [CrossRef]
- Javaheri, A.; Habibi, A.; Dehghanpour, H.; Wood, J.M. Imbibition oil recovery from tight rocks with dual-wettability behavior. J. Pet. Sci. Eng. 2018, 167, 180–191. [Google Scholar] [CrossRef]
- Cheng, Z.; Ning, Z.; Yu, X.; Wang, Q.; Zhang, W. New insights into spontaneous imbibition in tight oil sandstones with NMR. J. Pet. Sci. Eng. 2019, 179, 455–464. [Google Scholar] [CrossRef]
- Wang, Y.; Liu, H.; Li, Y.; Wang, Q. Numerical Simulation of Spontaneous Imbibition Under Different Boundary Conditions in Tight Reservoirs. ACS Omega 2021, 6, 21294–21303. [Google Scholar] [CrossRef] [PubMed]
- Binazadeh, M.; Xu, M.; Zolfaghari, A.; Dehghanpour, H. Effect of Electrostatic Interactions on Water Uptake of Gas Shales: The Interplay of Solution Ionic Strength and Electrostatic Double Layer. Energy Fuels 2016, 30, 992–1001. [Google Scholar] [CrossRef]
- Yu, S. Post-frac evaluation of multi-stage fracturing on horizontal wells based on early flowback history. Pet. Drill. Tech. 2021, 49, 1–7. [Google Scholar]
- Chen, Z.; Liu, H.; Li, Y.; Shen, Z.; Xu, G. The current status and development suggestions for shale oil reservoir stimulation at home and abroad. Pet. Drill. Tech. 2021, 49, 1–7. [Google Scholar]
- Cai, J.; Li, C.; Song, K.; Zou, S.; Yang, Z.; Shen, Y.; Meng, Q.; Liu, Y. The influence of salinity and mineral components on spontaneous imbibition in tight sandstone. Fuel 2020, 269, 117087. [Google Scholar] [CrossRef]
- Zhou, H.; Zhang, Q.; Dai, C.; Li, Y.; Lv, W.; Wu, Y.; Cheng, R.; Zhao, M. Experimental investigation of spontaneous imbibition process of nanofluid in the ultralow permeable reservoir with nuclear magnetic resonance. Chem. Eng. Sci. 2019, 201, 212–221. [Google Scholar] [CrossRef]
- Wei, B.; Liu, J.; Zhang, X.; Xiang, H.; Zou, P.; Cao, J.; Bai, M. Nuclear Magnetic Resonance (NMR) mapping of remaining oil distribution during sequential rate waterflooding processes for improving oil recovery. J. Pet. Sci. Eng. 2020, 190, 107102. [Google Scholar] [CrossRef]
- Chen, T.; Yang, Z.; Ding, Y.; Luo, Y.; Qi, D.; Lin, W.; Zhao, X. Waterflooding Huff-n-puff in Tight Oil Cores Using Online Nuclear Magnetic Resonance. Energies 2018, 11, 1524. [Google Scholar] [CrossRef]
- Li, T.; Wang, Y.; Li, M.; Ji, J.; Chang, L.; Wang, Z. Study on the IMPacts of Capillary Number and Initial Water Saturation on the Residual Gas Distribution by NMR. Energies 2019, 12, 2714. [Google Scholar] [CrossRef]
- Yang, Z.; Liu, X.; Li, H.; Lei, Q.; Luo, Y.; Wang, X. Analysis on the influencing factors of imbibition and the effect evaluation of imbibition in tight reservoirs. Pet. Explor. Dev. Online 2019, 46, 779–785. [Google Scholar] [CrossRef]
- Yang, L.; Wang, S.; Tao, Z.; Leng, R.; Yang, J. The Characteristics of Oil Migration due to Water Imbibition in Tight Oil Reservoirs. Energies 2019, 12, 4199. [Google Scholar] [CrossRef]
- Farahani, M.V.; Guo, X.W.; Zhang, L.X.; Yang, M.Z. Effect of thermal formation/dissociation cycles on the kinetics of formation and pore-scale distribution of methane hydrates in porous media: A magnetic resonance imaging study. Sustain. Energy Fuels 2021, 5, 1567–1583. [Google Scholar] [CrossRef]
- Zhu, X.; Pan, R.; Zhu, S.; Wei, W. Research progress and core issues in tight reservoir exploration. Earth Sci. Front. 2018, 25, 141. [Google Scholar]
- Hassanpouryouzband, A.; Joonaki, E.; Farahani, M.V.; Takeya, S.; Ruppel, C.; Yang, J.H. Gas hydrates in sustainable chemistry. Chem. Soc. Rev. 2020, 49, 5225–5309. [Google Scholar]
- Cui, X.; Bustin, A.M.M.; Bustin, R.M. Measurements of gas permeability and diffusivity of tight reservoir rocks: Different approaches and their applications. Geofluids 2009, 9, 208–223. [Google Scholar] [CrossRef]
- Xu, G.; Jiang, Y.; Shi, Y.; Han, Y.; Wang, M.; Zeng, X. Experimental investigations of fracturing fluid flow back and retention under forced imbibition in fossil hydrogen energy development of tight oil based on nuclear magnetic resonance. Int. J. Hydrogen Energy 2020, 45, 13256–13271. [Google Scholar] [CrossRef]
- Wang, C.; Gao, H.; Gao, Y.; Fan, H. Influence of Pressure on Spontaneous Imbibition in Tight Sandstone Reservoirs. Energy Fuels 2020, 34, 9275–9282. [Google Scholar] [CrossRef]
- Jiang, Y.; Shi, Y.; Xu, G.; Jia, C.; Meng, Z.; Yang, X.; Zhu, H.; Ding, B. Experimental Study on Spontaneous Imbibition under Confining Pressure in Tight Sandstone Cores Based on Low-Field Nuclear Magnetic Resonance Measurements. Energy Fuels 2018, 32, 3152–3162. [Google Scholar] [CrossRef]
- SY/T 5370-1999; The Method for Measurement of Surface Tension & Interfacial Tension. State Bureau of Petroleum and Chemical Industry: Beijing, China, 1999.
- Li, C.; Li, C.; Hou, Y.; Shi, Y.; Wang, C.; Hu, F.; Liu, M. Well logging evaluation of Triassic Chang 7 Member tight reservoirs, Yanchang Formation, Ordos Basin, NW China. Pet. Explor. Dev. 2015, 42, 667–673. [Google Scholar] [CrossRef]
- Meng, M.; Ge, H.; Ji, W.; Wang, X. Research on the auto-removal mechanism of shale aqueous phase trapping using low field nuclear magnetic resonance technique. J. Pet. Sci. Eng. 2016, 137, 63–73. [Google Scholar] [CrossRef]
- Yang, L.; Wang, H.; Xu, H.; Guo, D.; Li, M. Experimental study on characteristics of water imbibition and ion diffusion in shale reservoirs. Geoenergy Sci. Eng. 2023, 229, 212167. [Google Scholar] [CrossRef]
- Yang, L.; Yang, D.; Zhang, M.-y.; Wang, S.; Su, Y.; Long, X. Application of nano-scratch technology to identify continental shale mineral composition and distribution length of bedding interfacial transition zone—A case study of Cretaceous Qingshankou formation in Gulong Depression, Songliao Basin, NE China. Geoenergy Sci. Eng. 2024, 234, 212674. [Google Scholar] [CrossRef]















| Label | Formation | Pressure, MPa | Diameter, cm | Length, cm | Mass of Oil-Saturated Sample, g |
|---|---|---|---|---|---|
| LC7-1 | Lower Chang-7 | 0 | 2.50 | 4.11 | 47.3395 |
| LC7-2 | 4 | 2.50 | 4.19 | 47.7744 | |
| LC7-3 | 8 | 2.51 | 5.40 | 65.7224 | |
| LC7-4 | 12 | 2.50 | 5.54 | 65.4972 | |
| UC7-1 | Upper Chang-7 | 10 | 2.49 | 4.08 | 48.4081 |
| UC7-2 | 10 | 2.50 | 1.95 | 23.3551 | |
| UC7-3 | 10 | 2.50 | 6.44 | 81.14 | |
| UC7-4 | 10 | 2.49 | 3.10 | 36.2698 | |
| UC7-5 | 10 | 2.50 | 3.02 | 35.1438 | |
| QT-1 | Quantou formation | 10 | 2.50 | 3.5 | 44.9562 |
| QT-2 | 10 | 2.52 | 3.60 | 45.3792 | |
| WEH-1 | Wuerhe formation | 10 | 2.51 | 5.02 | 57.4809 |
| WEH-2 | 10 | 2.50 | 4.313 | 51.1658 |
| Fluid | Density, g/cm3 | Viscosity, cp | Surface Tension, mN/m |
|---|---|---|---|
| Deuterium water | 1.107 | 0.91 | 72.2 |
| Kerosene | 0.81 | 1.32 | 29 |
Disclaimer/Publisher’s Note: The statements, opinions and data contained in all publications are solely those of the individual author(s) and contributor(s) and not of MDPI and/or the editor(s). MDPI and/or the editor(s) disclaim responsibility for any injury to people or property resulting from any ideas, methods, instructions or products referred to in the content. |
© 2024 by the authors. Licensee MDPI, Basel, Switzerland. This article is an open access article distributed under the terms and conditions of the Creative Commons Attribution (CC BY) license (https://creativecommons.org/licenses/by/4.0/).
Share and Cite
Li, X.; Yang, L.; Sun, D.; Ling, B.; Wang, S. Experimental Study of Forced Imbibition in Tight Reservoirs Based on Nuclear Magnetic Resonance under High-Pressure Conditions. Energies 2024, 17, 2993. https://doi.org/10.3390/en17122993
Li X, Yang L, Sun D, Ling B, Wang S. Experimental Study of Forced Imbibition in Tight Reservoirs Based on Nuclear Magnetic Resonance under High-Pressure Conditions. Energies. 2024; 17(12):2993. https://doi.org/10.3390/en17122993
Chicago/Turabian StyleLi, Xiaoshan, Liu Yang, Dezhi Sun, Bingjian Ling, and Suling Wang. 2024. "Experimental Study of Forced Imbibition in Tight Reservoirs Based on Nuclear Magnetic Resonance under High-Pressure Conditions" Energies 17, no. 12: 2993. https://doi.org/10.3390/en17122993
APA StyleLi, X., Yang, L., Sun, D., Ling, B., & Wang, S. (2024). Experimental Study of Forced Imbibition in Tight Reservoirs Based on Nuclear Magnetic Resonance under High-Pressure Conditions. Energies, 17(12), 2993. https://doi.org/10.3390/en17122993

