RFP-MSR Hybrid Reactor Model for Tritium Breeding and Actinides Transmutation † †
Abstract
1. Introduction
- RFP: relative design simplicity (no additional heating systems, toroidal winding at low magnetic field/room temperature), not prone to plasma disruption, and low recovery time;
- SSTB: simple design and atmospheric pressure operation;
2. RFP-Driven Hybrid
- The internal toroidal field is self-generated by the current flowing in the plasma, allowing the use of “light” room temperature toroidal field coils rated for hundreds of mT;
- No intrinsic current limit exists, so by increasing the plasma current, the ignition could be achievable through ohmic heating only, avoiding the use of additional heating systems;
- The configuration is not prone to plasma disruption.
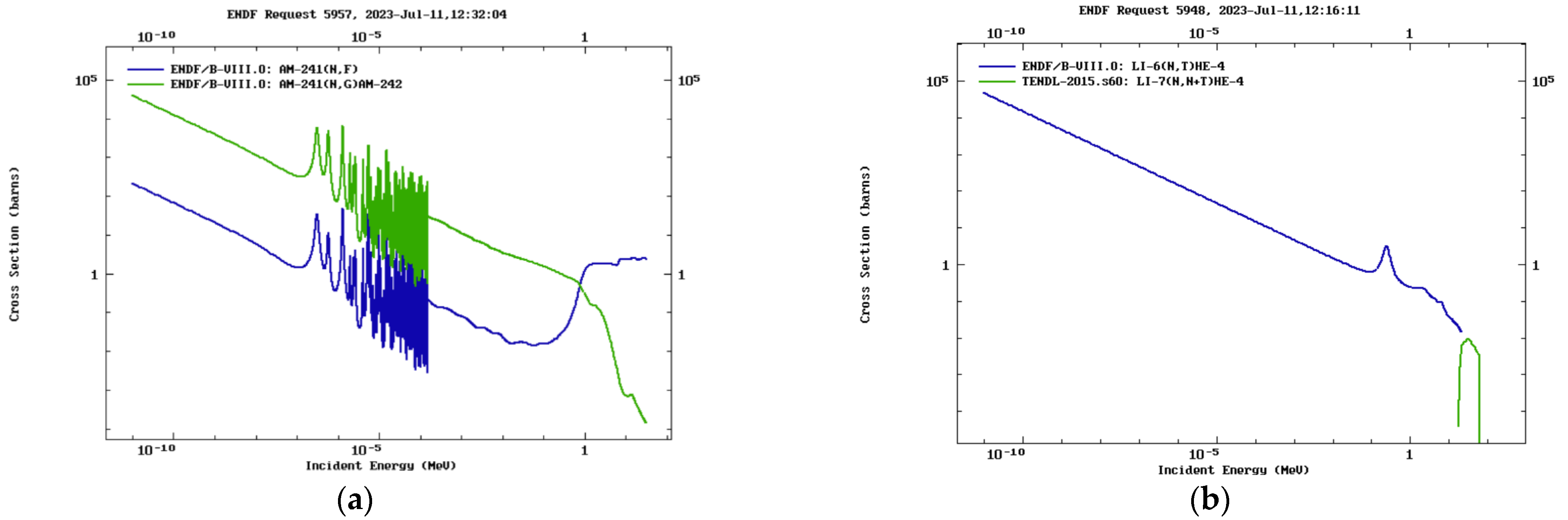
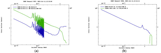
3. Neutronic Setup and Codes Coupling
4. Test Bed Design
- Tritium breeding is favored by thermal neutron irradiation because the Li6(n,T)α reaction cross-section increases as the neutron energy decreases;
- Actinide burning is favored by fast neutron irradiation as the ratio between fission and capture cross-sections tends to increase proportionally to neutron energy.
- The presence of the tungsten neutron filter which absorbs backscattered neutrons;
- Neutrons entering the thermal zone are fast and the scattering cross-section leads to a relatively high mean free path that allows the path through the graphite. Once inside, neutrons are thermalized, their scattering cross-section increases, and the mean free path decreases so that they are somewhat trapped inside the box
- Add heat exchangers for the core and graphite box to the design;
- Add an air gap between the pool and the reflector to guarantee an acceptable temperature (i.e., sufficiently lower than the melting point) for the lead reflector.
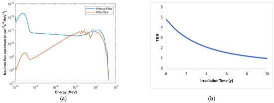
5. Tritium Breeding Results
6. Actinides Conversion Results
7. Conclusions
Author Contributions
Funding
Data Availability Statement
Conflicts of Interest
References
- Bethe, H. The fusion hybrid. Phys. Today 1979, 32, 44. [Google Scholar] [CrossRef]
- Kuteev, B.V.; Goncharov, P.R. Fusion–Fission Hybrid Systems: Yesterday, Today, and Tomorrow. Fusion Sci. Technol. 2020, 76, 836–847. [Google Scholar] [CrossRef]
- Freidberg, J.P.; Kadak, A.C. Fusion–fission hybrids revisited. Nat. Phys. 2009, 5, 370–372. [Google Scholar] [CrossRef]
- Stacey, W.M.; Mandrekas, J.; Hoffman, E.A.; Kessler, G.P.; Kirby, C.M.; Mauer, A.N.; Noble, J.J.; Stopp, D.M.; Ulevich, D.S. A fusion transmutation of waste reactor. Fusion Eng. Des. 2002, 63–64, 81–86. [Google Scholar] [CrossRef]
- Ridikas, D.; Plukiene, R.; Plukis, A.; Cheng, E.T. Fusion-fission hybrid system for nuclear waste transmutation (I): Characterization of the system and burn-up calculations. Prog. Nucl. Energy 2006, 48, 235–246. [Google Scholar] [CrossRef]
- Khripunov, V.I.; Kuteev, B.V.; Zhirkin, A.V. Enhanced tritium production in fusion-fission hybrids for the external consumption. Fusion Eng. Des. 2019, 146, 1569–1573, ISSN 0920-3796. [Google Scholar] [CrossRef]
- Ciotti, M.; Panza, F.; Cardinali, A.; Gatto, R.; Ramogida, G.; Lomonaco, G.; Ricco, G.; Ripani, M.; Osipenko, M. Novel hybrid pilot experiment proposal for a Fusion-fission subcritical coupled system. In Voprosy Atomnoj Nauki I Tehniki. Seriâ, Termoâdernyj Sintez; Problems of Atomic Science and Technology, Series Thermonuclear Fusion; Kurchatov Institute: Moscow, Russia,, 2021; Volume 44, pp. 57–64. [Google Scholar] [CrossRef]
- Piovan, R.; Bustreo, C.; Cavazzana, R.; Cemmi, A.; Ciotti, M.; Cherubini, N.; Escande, D.E.; Gaio, E.; Lomonaco, G.; Lunardon, F.; et al. Pilot Hybrid Experiment with Reversed Field Pinch as neutron source and double test beds: An innovative stage approach towards a full power Fusion-Fission Hybrid Reactor. In Proceedings of the Technical Meeting on Synergies between Nuclear Fusion Technology Developments and Advanced Nuclear Fission Technologies, Vienna, Austria, 6–10 June 2022. [Google Scholar]
- Marrelli, L.; Martin, P.; Puiatti, M.E.; Sarff, J.S.; Chapman, B.E.; Drake, J.R.; Escande, D.F.; Masamune, S. The reversed field pinch. Nucl. Fusion 2021, 61, 023001. [Google Scholar] [CrossRef]
- Scott, I.; Abram, T.; Negri, O. Stable Salt Reactor Design Concept. In Proceedings of the International Thorium Energy Conference: Gateway to Thorium Energy, Mumbai, India, 12-15 October 2015. [Google Scholar]
- Piovan, R.; Agostinetti, P.; Bustreo, C.; Cavazzana, R.; Escande, D.; Gaio, E.; Lunardon, F. Status and Perspectives of a Reversed Field Pinch as a Pilot Neutron Source. IEEE Trans. Plasma Sci. 2020, 48, 1708–1714. [Google Scholar] [CrossRef]
- El-Showk, S. Final Resting Place. Science 2022, 375, 806–810. [Google Scholar] [CrossRef] [PubMed]
- Pearson, R.J.; Antoniazzi, A.B.; Nuttall, W.J. Tritium supply and use: A key issue for the development of nuclear fusion energy. Fusion Eng. Des. 2018, 136, 1140–1148, ISSN 0920-3796. [Google Scholar] [CrossRef]
- Stewart, C.L.; Stacey, W.M. The SABrR Concept for a Fission-Fusion Hybrid 238U-to-239Pu Fissile Production Reactor. Nucl. Technol. 2014, 187, 1–14. [Google Scholar] [CrossRef]
- Ivanov, A.A.; Prikhodko, V.V. Gas-dynamic trap: An overview of the concept and experimental results. Plasma Phys. Control. Fusion 2013, 55, 063001. [Google Scholar] [CrossRef]
- Marrelli, L.; Cavazzana, R.; Bonfiglio, D.; Gobbin, M.; Marchiori, G.; Peruzzo, S.; Puiatti, M.E.; Spizzo, G.; Voltolina, D.; Zanca, P.; et al. Upgrade of the RFX-mod reversed field pinch and expected scenario improvements. Nucl. Fusion 2019, 59, 076027. [Google Scholar] [CrossRef]
- Werner, C.J.; Armstrong, J.C.; Brown, F.B.; Bull, J.S.; Casswell, L.; Cox, L.J.; Dixon, D.A.; Forster, R.A., III; Goorley, J.T.; Hughes, H.G., II; et al. MCNP User’s Manual Code Version 6.2; Los Alamos National Laboratory Tech. Rep. LA-UR-17-29981; Los Alamos National Laboratory: Los Alamos, NM, USA, 2017. [Google Scholar]
- Fleming, M.; Stainer, T.; Gilbert, M. (Eds.) The FISPACT-II User Manual; UKAEA-R(18)001; UKAEA, Culham Science Centre: Abingdon, Oxon, UK,, 2018. [Google Scholar]
- Iannone, F.; Ambrosino, F.; Bracco, G.; De Rosa, M.; Funel, A.; Guarnieri, G.; Migliori, S.; Palombi, F.; Ponti, G.; Santomauro, G.; et al. CRESCO ENEA HPC clusters: A working example of a multifabric GPFS Spectrum Scale layout. In Proceedings of the 2019 International Conference on High Performance Computing & Simulation (HPCS), Dublin, Ireland, 15–19 July 2019; pp. 1051–1052. [Google Scholar]
- Forsberg, C.; Zheng, G.; Ballinger, R.G.; Lam, S.T. Fusion Blankets and Fluoride-Salt-Cooled High-Temperature Reactors with Flibe Salt Coolant: Common Challenges, Tritium Control, and Opportunities for Synergistic Development Strategies Between Fission, Fusion, and Solar Salt Technologies. Nucl. Technol. 2020, 206, 1778–1801. [Google Scholar] [CrossRef]
- Boullon, R.; Jaboulay, J.-C.; Aubert, J. Molten salt breeding blanket: Investigations and proposals of pre-conceptual design options for testing in DEMO. Fusion Eng. Des. 2021, 171, 112707, ISSN 0920-3796. [Google Scholar] [CrossRef]
- Salvatores, M.; Palmiotti, G. Radioactive waste partitioning and transmutation within advanced fuel cycles: Achievements and challenges. Prog. Part. Nucl. Phys. 2011, 66, 144. [Google Scholar] [CrossRef]
- Salvatores, M. Nuclear fuel cycle strategies including Partitioning and Transmutation. Nucl. Eng. Des. 2004, 235, 805. [Google Scholar] [CrossRef]
- Radulescu, G.; Gauld, I.C.; Ilas, G. SCALE 5.1 Predictions of PWR Spent Nuclear Fuel Isotopic Compositions; Oak Ridge National Laboratory: Oak Ridge, TN, USA, 2010. [Google Scholar]
- Cerullo, N.; Bufalino, D.; Forasassi, G.; Lomonaco, G.; Rocchi, P.; Romanello, V. An additional performance of HTRS: The waste radiotoxicity minimization. Radiat. Prot. Dosim. 2005, 115, 122–125. [Google Scholar] [CrossRef]
- Murgo, S.; Ciotti, M.; Lomonaco, G.; Pompeo, N.; Panza, F. Multi-group analysis of Minor Actinides transmutation in a Fusion Hybrid Reactor. EPJ Nucl. Sci. Technol. 2023, 9, 36. [Google Scholar] [CrossRef]








| Major plasma radius [m] | 4 |
| Minor plasma radius [m] | 0.8 |
| Max plasma current [MA] | 12 |
| Electron/ion temperature [keV] | 9.4 |
| Input ohmic power [MW] | 60 |
| Fusion power [MW] (n/nG = 0.3) | 55 |
| Neutron emission [1019 s−1] | 1.89 |
| Continuous duty cycle [s] | 11 ON/19 OFF |
| Thermal PowerPick [MWth] | ≈30 |
| Core Dimensions [cm × cm] (radial × toroidal) | 50 × 110 |
| Active Height [cm] | 197 |
| Fuel Rod Radius [cm] | 0.6 |
| Cladding Thickness [cm] | 0.1 |
| k | ≈0.97 |
| Rods pitch [cm] | 1.62 |
| Fuel | 22% PuO2 (56% Pu239)–77% UO2 |
| Coolant | MgCl2-NaCl |
| Reflector | Lead |
| Reflector Thickness [cm] | 30 (lateral sides), 10 (box side) |
| Thermal Box Moderator | Graphite |
| Moderator Thickness [cm] | 3 |
| Material inside the thermal box | FLiBe (40% Li6 enriched) |
| Thermal box width [cm] | 30 |
| Neutron Filter | Tungsten |
| Neutron Filters Thicknesses [cm] | 0.5 (RFP side), 2 (box side) |
| Zone | ||
|---|---|---|
| SOURCE | Neutron source [1019 n s−1] | 1.89 |
| Neutron flux at the first wall [1013 cm−2s−1] | 1.26 | |
| Mean neutron flux inside the fast core [1013 cm−2s−1] | 13.01 | |
| Neutron flux at the core center [1013 cm−2s−1] | 35.35 | |
| Maximum neutron flux at the core periphery [1013 cm−2s−1] | 17.30 | |
| CORE | at the core center | 11.24 |
| at the core periphery | 1.12 | |
| at the core center | 0.55 | |
| at the core periphery | 0.38 | |
| THERMAL BOX | Mean neutron flux inside the thermal box [1013 cm−2s−1] | 2.61 |
| [cm−2] | 590 | |
| Initial tritium breeding [1019 nuclei s−1] | ≈9.65 |
| Isotope | Mass % |
|---|---|
| Np-237 | 39.7% |
| Am-241 | 34.3% |
| Am-242 | 0.10% |
| Am-243 | 16.2% |
| Cm-243 | 0.05% |
| Cm-244 | 8.68% |
| Cm-245 | 0.87% |
Disclaimer/Publisher’s Note: The statements, opinions and data contained in all publications are solely those of the individual author(s) and contributor(s) and not of MDPI and/or the editor(s). MDPI and/or the editor(s) disclaim responsibility for any injury to people or property resulting from any ideas, methods, instructions or products referred to in the content. |
© 2024 by the authors. Licensee MDPI, Basel, Switzerland. This article is an open access article distributed under the terms and conditions of the Creative Commons Attribution (CC BY) license (https://creativecommons.org/licenses/by/4.0/).
Share and Cite
Murgo, S.; Bustreo, C.; Ciotti, M.; Lomonaco, G.; Orsitto, F.P.; Piovan, R.; Pompeo, N.; Ricco, G.; Ripani, M.; Panza, F. RFP-MSR Hybrid Reactor Model for Tritium Breeding and Actinides Transmutation †. Energies 2024, 17, 2934. https://doi.org/10.3390/en17122934
Murgo S, Bustreo C, Ciotti M, Lomonaco G, Orsitto FP, Piovan R, Pompeo N, Ricco G, Ripani M, Panza F. RFP-MSR Hybrid Reactor Model for Tritium Breeding and Actinides Transmutation †. Energies. 2024; 17(12):2934. https://doi.org/10.3390/en17122934
Chicago/Turabian StyleMurgo, Stefano, Chiara Bustreo, Marco Ciotti, Guglielmo Lomonaco, Francesco Paolo Orsitto, Roberto Piovan, Nicola Pompeo, Giovanni Ricco, Marco Ripani, and Fabio Panza. 2024. "RFP-MSR Hybrid Reactor Model for Tritium Breeding and Actinides Transmutation †" Energies 17, no. 12: 2934. https://doi.org/10.3390/en17122934
APA StyleMurgo, S., Bustreo, C., Ciotti, M., Lomonaco, G., Orsitto, F. P., Piovan, R., Pompeo, N., Ricco, G., Ripani, M., & Panza, F. (2024). RFP-MSR Hybrid Reactor Model for Tritium Breeding and Actinides Transmutation †. Energies, 17(12), 2934. https://doi.org/10.3390/en17122934

