Next Article in Journal
Optimizing Mixed-Model Synchronous Assembly Lines with Bipartite Sequence-Dependent Setup Times in Advanced Manufacturing
Previous Article in Journal
Exploring Multiple Benefits of Urban and Energy Regeneration Projects: A Stakeholder-Centred Methodological Approach
 
 
Font Type:
Arial Georgia Verdana
Font Size:
Aa Aa Aa
Line Spacing:
Column Width:
Background:
Article

Experimental Study of Composite Heat Pipe Radiator in Thermal Management of Electronic Components

1
School of Energy Science and Engineering, Nanjing Tech University, Nanjing 211816, China
2
Gansu Engineering Consulting Group Co., Ltd., Lanzhou 730030, China
3
College of Materials Science and Engineering, Nanjing Forestry University, Nanjing 210037, China
*
Authors to whom correspondence should be addressed.
These authors contributed equally to this work.
Energies 2024, 17(12), 2863; https://doi.org/10.3390/en17122863
Submission received: 8 May 2024 / Revised: 23 May 2024 / Accepted: 7 June 2024 / Published: 11 June 2024
(This article belongs to the Section J: Thermal Management)

Abstract

Conventional straight fin (SF) radiators have difficulties meeting the cooling requirements of high-power electronic components. Therefore, based on the structure and technology of the detachable fin radiator, this paper proposes a kind of radiator embedded in the heat pipe base and uses the roll-bond flat heat pipe (RBFHP) to replace the traditional fin. The radiator has the advantages of modularity, easy manufacturing, low cost and good heat balance. In this study, the heat pipes (HPs)-RBFHPs radiator was tested in natural convection and forced convection to mimic the actual application scenario and compared with the conventional aluminum radiator. Heating power, angle, wind speed and other aspects were studied. The results showed that the cooling performance of the HPs-RBFHPs radiator was improved by 10.7% to 55% compared with that of the SF radiator under different working conditions. The minimum total thermal resistance in the horizontal state was only 0.37 °C/W. The temperature equalization of the base played a dominant role in the performance of the radiator at a large angle, and the fin group could be ineffective when the angle was greater than 60°. Under the most economical conditions with an inclination of 0° and a wind speed of 2 m/s, the input power was 340 W, the heat source temperature of the HPs-RBFHPs was only 64.2 °C, and the heat dissipation performance was 55.4% higher than that of SFs.

1. Introduction

The heat flux of high-power electronic components, such as IGBT, exhibits a significant increase with integrated design [1], thereby exacerbating the issue of heat dissipation. Research has indicated that exceeding the manufacturer’s specified operating temperature limit for electronic components can lead to substantial degradation in product performance and reliability [2].
Finned radiators are widely used in thermal management due to their simple structure and high efficiency [3,4,5,6,7]. However, traditional finned radiators have high thermal diffusion resistance. As the size of heating components decreases, heat flux increases and the influence becomes more prominent [8]. The use of phase change materials (PCMs) [9] and heat pipes can effectively improve the performance of radiators. Phase change heat dissipation technology can effectively absorb or release heat through the change of the physical state of phase change materials, so as to achieve passive thermal management. A heat pipe is an efficient heat transfer device based on the principle of vapor–liquid phase change, which requires no external power and only relies on repeated phase transformation of the internal working medium to achieve rapid heat transfer. It is usually composed of a tube shell and a liquid suction core. Flat heat pipes (FHPs) or vapor chambers (VCs) have been widely used in the thermal management of electronic devices [10,11]. The combination of a heat pipe and fins is one of the common heat dissipation methods of electronic components.
The working principle of a VC is similar to that of a heat pipe. It is composed of a sealed cavity with a vacuum inside. The inner surface of a VC is usually covered with a porous liquid suction core structure [12,13]. A VC is one of the phase change heat transfer devices that has attracted much attention at present, and it has been used to cool electronic devices in combination with finned radiators [14,15]. Li et al. [16] have proposed an ultra-large aluminum-based flat heat pipe to solve the heat dissipation problem of high-power communication equipment. Under the conditions of natural air cooling and vertical placement, the heat dissipation module can effectively manage 150 W of input power with the junction temperature close to 80 °C, which is about 20 °C lower than with a traditional aluminum-based fin heat dissipation module of the same size. Rezk et al. [17] designed an integrated vapor chamber–straight fins (VCSF) heat sink using the bottom of the fin as the condensing end, and the results showed that VCSF’s reduction of the temperature of electronic components under all operating conditions compares to that of SFs. Berut et al. [18] manufactured and tested a vapor chamber with integrated hollow fins, determining a triangle as the optimal fin geometry to prevent liquid hold-up and flooding on the condensing end. Ji et al. [19] designed an integrated flat heat pipe (IFHP) that consists of an evaporator and a condenser with multiple channels fabricated in the fin heat sink and compared it with a conventional flat heat pipe (CFHP). The results showed that IFHP eliminates the contact heat set between heat pipes and heat sinks, expands the condensation area and reduces the temperature difference between the base and the end of the heat sink.
Although the use of a VC as a radiator base can greatly improve the performance of the radiator, its manufacturing process is more complex, and the cost is high. A lower-cost solution is the use of heat pipe-embedded heat sinks (HPeH) that, when properly designed, perform similarly to heat sinks with flat heat pipes, which can effectively reduce the thermal resistance of diffusion while having the advantages of low cost and simple process. Song et al. [20] embedded a heat pipe into the bottom plate of a traditional radiator, and the maximum temperature of a heat source was reduced by 15 °C compared to that of a conventional radiator. Wang et al. [21] studied the cooling performance of a heat pipe embedded in the bottom of a radiator with different arrangement and its influence on the temperature distribution of a CPU. The minimum thermal resistance of the heat pipe-embedded radiator studied was 0.15 °C/W, lower than the 0.22 °C/W of the reference conventional radiator. The overall performance of the H-type embedded radiator was also the best, with heat dissipation increased by 22.5%. At the same time, the weight was reduced by 30.1%, and the simulation showed that the use of a heat pipe-embedded radiator instead of a traditional radiator could reduce the power consumption of the fan by 66.2%.
Without changing the fin radiator structure, and further using phase change technology to strengthen the performance of the radiator, there is a solution to use flat heat pipes as fins to replace conventional aluminum fins. A kind of flat heat pipe called the roll-bond flat heat pipe (RBFHP), whose technology is used in refrigerator evaporators, is made of two aluminum plates through runner printing, rolling, expansion, liquid injection and liquid injection pipe welding [22], with low manufacturing cost, high reliability, and easy-to-obtain large area. Its thickness can be 1–5 mm. However, similar to the thermosiphon [23], there is no liquid suction core structure inside a RBFHP, and gravity has a great influence on it. Deng et al. [22] studied the thermal performance of RBFHPs with three typical structures (staggered, crossed and aligned) and four filling ratios (5%, 10%, 20% and 40%). The results showed that the internal boiling state was determined by the filling ratio and heating power, and the RBFHP with a staggered filling rate of 20% had the best performance. They [24] also conducted tests under the condition of multi-heat source natural convection, and the research shows that compared with the uniformly heated aluminum plate under a total heat load of 48 W, the total thermal resistance and temperature rise could be reduced by 15.3% and 10 °C, respectively. RBFHPs have excellent thermal performance, but it is rare to study it as a fin on the whole radiator system, and the comparison with conventional aluminum-fin radiators needs to be studied.
In this context, a comprehensive experimental study on the performance of a HPs-RBFHPs composite radiator designed for the cooling of high-power electronic devices was carried out. Phase change devices were introduced into the fin and base at the same time to strengthen the heat transfer capacity of the radiator. The heat transfer characteristics of the radiator were evaluated under a series of experimental conditions, and the factors affecting the performance of the radiator were revealed through careful comparison and analysis.
In subsequent sections, the experimental setup is described in detail (Section 2), the heat transfer characteristics of the radiator under various heating powers, inclination angles [25] and wind speeds are shown in comparison (Section 3), and the significance of future research is highlighted by summarizing the key conclusions (Section 4), which provide a reference for promoting the application of heat pipe radiators in high-power electronic devices.

2. Experimental Setup

2.1. Design and Manufacture of the Experimental Device

A high fin height would lead to a decrease in fin efficiency, and the fin ends would be unable to maintain a sufficient temperature difference with the surrounding air, resulting in a reduction in heat transfer. For ease of understanding, Figure 1 shows two kinds of fin cooling schematics. In Figure 1a, an excessively long fin would cause minimal heat exchange at the end, rendering that section of the fin ineffective. Without changing the height of the fins, by utilizing flat heat pipes instead of traditional metal fins, as depicted in Figure 1b, each part of the fin achieves a significant temperature difference environment, effectively enhancing temperature equalization and improving overall fin efficiency.
The assembly of the heat pipe composite radiator is shown in Figure 2a. The top surface of the 200 mm × 200 mm × 15 mm aluminum plate was machined with a 1.2 mm-wide and 5.5 mm-deep groove, spaced at a distance of 10 mm for accommodating RBFHPs (200 mm × 100 mm × 3.2 mm), while the bottom surface was processed to incorporate four inlay slots for heat pipe insertion. The Φ8 mm diameter and 160 mm length heat pipes were bent and inserted into the grooves, with their bottoms smoothed to minimize contact thermal resistance. Simultaneously, an SF radiator of identical specifications was constructed as a control group. Real images depicting both radiators are presented in Figure 2b.
Realistic images of the two test devices in this study are presented in Figure 3. They could effectively mimic environments characterized by natural convection and forced convective heat transfer, respectively. Figure 3a shows a device capable of adjusting the platform inclination within a range of 0° to 90°, while Figure 3b depicts a device that allows for the adjustment of wind speed. These experimental setups enabled the simulation of various working conditions encountered by electronic components, thereby facilitating a comprehensive understanding of the heat transfer properties exhibited by HPs-RBFHPs. The device labeled as “⑨” in Figure 3 consisted of a copper block inserted with three electric heating rods, serving as an input source for constant heat flux into the system. The contact area between the copper base and other components was 50 mm × 50 mm. To regulate input power, a DC Power Supplier was employed alongside power indicator readings to ensure accurate control over energy supply levels. To minimize contact thermal resistance, thermal grease was applied on the contact surface with a thermal conductivity value set at 3 W/m·K for optimal performance enhancement. Furthermore, black polyurethane foam was utilized as an effective thermal insulation material to mitigate heat loss from both the heated copper block and underside region of the radiator.
The data acquisition module included a data acquisition instrument (Hangzhou Mike paperless recorder (Hangzhou, China), model MIK-R6000C) and a K-type thermocouple (model TT-K-30-SLE, measurement error ± 0.3 K). The thermocouple was installed on the bottom of the base and the fin, and the distribution of measuring points is shown in Figure 4. T1 measured the temperature of the heat source, T2, T3 and T4 measured the temperature of the base and T5–T12 measured the temperature distribution on the fin.
Table 1 summarizes the main parameters of the blowout plate and the copper-water sintering heat pipe.

2.2. Data Processing and Uncertainty Analysis

To control the ambient temperature, the test was carried out in an air-conditioned room. During the whole experiment, the ambient temperature was maintained at 17 ± 1 °C. At the beginning of the experiment, the heat flux was adjusted by controlling the DC Power Supplier. Each time the temperature of the measuring point reached a steady state, the next step began. Steady state was defined in this experiment as a state in which the temperature changed less than ±0.5 °C over a period of 100 s. After one set of experiments, the system naturally cooled to room temperature before proceeding to the next experimental step. Due to the symmetrical characteristics of the radiator, the measuring point was arranged on one side of the radiator in this experiment to monitor the temperature change of the radiator.
The mean plane temperature at the bottom of the fin ( T ¯ f , b ), the mean plane temperature at the top of the fin ( T ¯ f , t ) and the temperature difference between the two ( Δ T f , b - t ) were calculated by the following expressions:
T ¯ f , b = T 5 + T 7 + T 9 + T 11 4
T ¯ f , t = T 6 + T 8 + T 10 + T 12 4
Δ T ¯ f , b t = T ¯ f , b T ¯ f , t
The most direct way to evaluate the performance of the radiator is discussed by the temperature rise of the heat source. In addition, the quantitative evaluation of the heat dissipation capacity of the radiator can be analyzed and judged by calculating its thermal resistance value. In this paper, the heat dissipation capacity was measured by analyzing the total thermal resistance from the heat source to the space environment, that is, the total thermal resistance Rtot. The formula is as follows:
R t o t = Δ T P = T 1 T a i r P
where T1 is the average surface temperature of the heat source, Tair is the ambient temperature and P is the heating power of the heat source.
In addition, in order to better measure the dispersion degree of the temperature difference between the fins, the standard deviation (STDEV.P) between them was introduced, and its calculation formula is as follows:
T ¯ a , b = T a + T b 2
T ¯ f = T ¯ 5 , 6 + T ¯ 7 , 8 + T ¯ 9 , 10 + T ¯ 11 , 12 4
S T D E V . P = ( T ¯ 5 , 6 T ¯ f ) 2 + ( T ¯ 7 , 8 T ¯ f ) 2 + ( T ¯ 9 , 10 T ¯ f ) 2 + ( T ¯ 11 , 12 T ¯ f ) 2 4
In the process of experimental research, different experimental results have different uncertainties. The total uncertainty of variable X was calculated using the following formula:
ω x = { Σ i = 1 n ( X x i ω x i ) 2 } 1 2
where ω x is the uncertainty of the variable X, ω x i is the uncertainty of the parameter x i and   X x i   is the partial derivative of X with respect to x i . The uncertainty of the experiment is listed in Table 2. The uncertainty of the temperature measured by thermocouples at lower power was the main reason for the large error.

3. Results and Discussion

By using HPs-RBFHPs to cool high-power electronic components and equipment, several experiments were conducted to study the effects of different heat fluxes, different system gravity directions (0° to 90°) and different wind speeds (0 m/s to 4 m/s) on the whole system under forced convective heat transfer. The performance of an SF radiator was compared.

3.1. Radiator Performance in Horizontal State

In HPs-RBFHPs, heat transfer is a complex interplay of multiple processes that mutually influence each other. The heated copper block simultaneously conducts heat to both the aluminum base and the heat pipes, which in turn facilitate the transfer of heat to the remote end, effectively spreading it laterally across a flat surface. Subsequently, longitudinal heat conduction through the aluminum base enables thermal energy to be transferred to the RBFHPs. With gravity aiding its operation, passive phase transition cycles involving evaporation–boiling–condensing reflux occur within the 2-dimensional aeration loop of the RBFHP, resulting in efficient flattening of heat distribution within its fins. By analyzing temperature response patterns, one can gain insights into the thermal characteristics exhibited by this composite radiator.
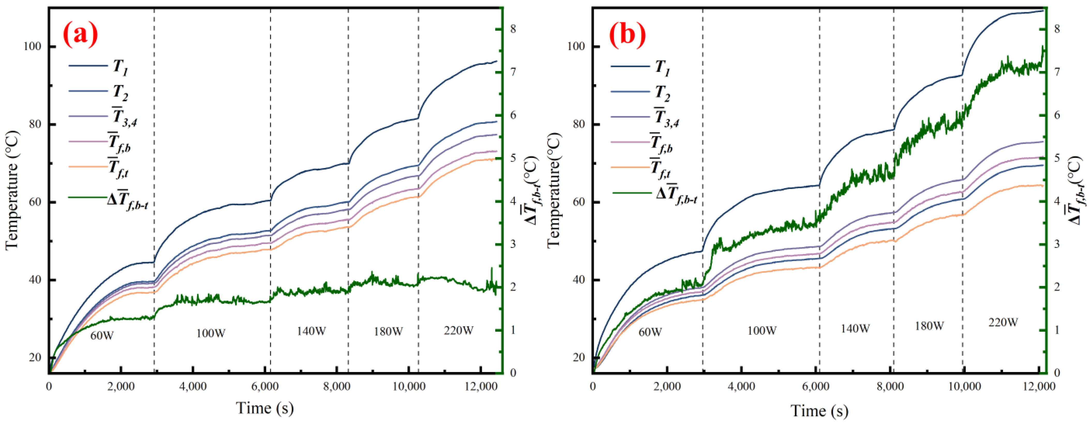
As depicted in Figure 5, overall temperature variations observed in different parts of both radiators exhibited similar trends and generally showed an incremental rise with increasing heat flux levels. Under identical heating power conditions, over time, temperature curves experienced significant initial climbs followed by gradual stabilization tendencies. Notably, contrasting SFs performance-wise, HPs-RBFHPs demonstrated significantly smaller temperature differences among their respective components, indicative of superior temperature equalization capabilities.
Due to the heat pipe embedded at the bottom, the T2 point was at the far end, but due to the role of the base-embedded heat pipe, its temperature was the highest with the exception of T1 (heat source temperature). It can be considered that the heat of the composite radiator diffuses in a cross-like plane at the bottom of the base. SF mainly relies on heat conduction, the heat diffuses from the center to the four sides on the base. Its temperature equalization was poor, which led to the lowest T2 temperature measured at the base and the largest temperature difference with the heat source. Specifically, at 220 W stability, the temperature difference between T1 and T2 reached 39.7 °C, while with the composite heat pipe radiator it was only 15.5 °C, which was only 39% that of SFs.
ΔTf,b−t is the difference between the average temperature of the fin bottom and the top of the fin, which is used to observe the average temperature of the whole fin. Figure 5 shows that ΔTf,b−t changes of the two radiators had great differences, and with the increase of heat flux, the difference in fin temperature average became more and more obvious. The ΔTf,b−t of SF basically showed a step-up trend with the increase of heating power. At 220 W, the ΔTf,b−t of SF reached about 7 °C, while with HPs-RBFHPs it was only about 2 °C. When starting from 60 W heating power, the ΔTf,b−t of the two radiators showed a trend of rapid rise first and then stability. The temperature difference between the upper and lower ends of the fins of HPs-RBFHPs was 1.5 °C, while that of SF was 2 °C. Under the heat flux of 60 W, it can be considered that the RBTHP group did not start. The main reason for this slight difference was the difference in the average temperature of the base, and the secondary reason was the difference in the surface morphology of RBTHPS and the conventional aluminum fins. When P ≥ 100 W, the ΔTf,b−t of HPs-RBFHPs basically fluctuated at about 2 °C, at which time it can be considered that the RBTHP group was fully activated.
The solid line in Figure 6 shows the comparison of heat source temperatures between HPs-RBFHPs and SF under variable power conditions. From a safety point of view, the junction temperature of electronic devices at work usually cannot exceed 85 °C. The results show that the maximum cooling power of HPs-RBFHPs (about 190 W) was 18.75% higher than that of SF (about 160 W) when the heat source temperature was 85 °C. The dashed line in Figure 6 shows the change of the total thermal resistance of the composite heat pipe radiator and SF under different heating power. With the increase of heating power, the overall variation trend of the total thermal resistance decreased first and then became stable. HPs-RBFHPs had the highest slope in the heating power range of 100 to 140 W because the fin group was fully activated in this power range, reducing the thermal resistance at the fin end. From 140 W onwards, the total thermal resistance of the two radiators began to decrease slowly. After 180 W, the total thermal resistance of the two radiators hardly changed. When the heating power increased from 60 to 220 W, the total thermal resistance of HPs-RBFHPs decreased from 0.49 to 0.37 °C/W, a reduction of 24%. The total thermal resistance of SF was reduced from 0.53 to 0.43 °C/W, a reduction of 19%. When the heating power reached 180 W, the difference between the total resistance of HPs-RBFHPs and that of SF was the largest, and the total thermal resistance of HPs-RBFHPs at this power was 16.3% lower than that of SFs.

3.2. The Effect of Different Gravity Directions on the System

In practical application, especially in electronic components that need to work in special conditions, such as navigation, aviation, photovoltaic systems, etc., electronic equipment needs to operate under inclined conditions. Therefore, several sets of experiments were designed to study the effects of different gravity directions on the system’s performance at intervals of 30° from 0° to 90°.
Figure 7 shows the startup process of each part of HPs-RBFHPs at angles of 0°, 30°, 60° and 90°. Figure 8 depicts the distribution of the working fluid inside the blown plate under different angles of gravity action and the internal flow diagram based on a reasonable assumption of the heat source. Due to the role of the heat pipe on the base, T2 still maintained a high temperature and the heat pipe had a strong anti-gravity performance. It can be considered that the change of inclination angle had little influence on the temperature average of the heat pipe composite base.
ΔTf,b−t is the difference between the average temperature of the rib base and the top of the rib that can be used to evaluate the operation of the blown fin. As shown in Figure 7a, when the heat flux was 100 W at 0°, ΔTf,b−t reached a stable state, around 2 °C. As shown in Figure 7b, when the inclination was 30°, a step change was shown from 60 to 140 W, and a peak appeared at 180 W, with an evolution time of about 250 s. This was because, as shown in Figure 8, when the inclination was 30°, the edge of the liquid pool of RBFHP was close to the heat pipe in the center, and the heat load was insufficient at low heat flux. At 180 W, nuclear boiling took away a lot of heat, and the heat flux was basically the same from 180 W to 220 W. The results show that the blown plate group could activate normally at 30°inclination, but the heat flux required by ΔTf,b−t was 40 W higher than that required in the horizontal state. As shown in Figure 7c, when the inclination was 60°, ΔTf,b−t basically presented a step trend, but when the heat flux was greater than 140 W, ΔTf,b−t had a large disturbance but the upward trend slowed down because the liquid pool could not operate stably due to constant heat flow. As shown in Figure 7d, when the inclination was 90°, ΔTf,b−t showed basically the same performance as SF did under the horizontal state (Figure 5b). It can be considered that the inflating sheet group was not activated, and the temperature difference of the heat source was 8 °C when the temperature of the heat source was stable at 220 W, which was mainly caused by the temperature uniformity of the base.
Figure 9a reflects the relationship between the temperature of the heat source and the inclination angle under different powers. The temperature of the heat source did not change greatly with the increase of the inclination angle. In the horizontal state, HPs-RBFHPs had good performance. It can be seen from Figure 9b that the thermal resistance of the system was the highest at a lower power angle of 60°, but the thermal resistance decreased the most with the increase in power from 0.6 to 0.39 °C/W. At the same time, the thermal resistance in the horizontal state, which was only 0.12 °C/W, changed the least with power. In addition to the horizontal working state, the T1 difference under the other three angles could be almost ignored, and it can be considered that the T1 difference of the heat pipe radiator and SF under angled working conditions was mainly due to the temperature uniformity of the base. It can be concluded that the temperature uniformity of the base had the greatest effect on the heat source temperature in the case of large dip angles.

3.3. Effect of Forced Convection Heat Transfer on the System

The thermal characteristics of HPs-RBFHPs under forced convection conditions were investigated by comparing them with those of SF. Wind speed options included 1, 2, 3 and 4 m/s.
Figure 10 illustrates the comparison of heat source temperature between HPs-RBFHPs and SFs at different wind speeds and power levels. When subjected to a maximum heat load of 340 W in a forced convection environment, the heat source temperature of HPs-RBFHPs remained below the junction temperature threshold of 85 °C. Furthermore, an inverse relationship was observed between the heat source temperature of HPs-RBFHPs and wind speed; significant reduction in heat source temperature occurred when wind speed increased from 1 to 2 m/s. However, once the wind speed reached or exceeded 2 m/s, there was minimal change in the heat source temperature due to incomplete fin passage at lower speeds causing greater influence among fins. Additionally, at a wind speed of 1 m/s, there existed a maximum temperature difference of approximately 28.2 °C between two radiators and their respective heat sources; however, this difference decreased to a range between 23.0 and 25.5 °C after reaching a wind speed above or equal to 2 m/s with little variation thereafter. The increase in wind speed further contributed to reducing the heat source’s temperature; nevertheless, the impact on its overall performance became negligible beyond wind speeds exceeding 2 m/s as diffusion thermal resistance within the radiator base emerges as its primary limiting factor.
The parameter ΔTf,b−t represents the temperature difference between the average temperature at the base and top of the rib, which serves as an indicator for evaluating the overall performance of the blown fin group. STDEV.P refers to the standard deviation of average temperatures measured across four groups of fins, providing a measure for assessing temperature dispersion among fins. STDEV.P is primarily influenced by two factors: firstly, variations in base temperature equalization leading to differential heat conduction among individual fins; secondly, mutual interactions between fins with greater impact observed closer to the center of the radiator. Increasing wind speed effectively mitigates this effect. These two sets of data collectively evaluate radiator performance, with smaller values indicating better performance.
Figure 11 and Figure 12 illustrate changes ΔTf,b−t and STDEV.P over time under variable power conditions. With increasing heat flux, there was a stepwise increase trend observed in STDEV.P; however, compared to SFs (standard fins), HPs-RBFHPs (heat pipe-embedded radial basis function heat pipes) exhibited approximately 70% lower STDEV.P due to superior embedded temperature equalization on its base plate compared to that of SFs. As wind speed increased, there was a general decreasing trend observed in STDEV.P parameters along with weakened influence from fin interactions. When wind speed increased from 1 to 2 m/s, both HPs-RBFHPs and SFs experience significant decreases in STDEV.P—HPs-RBFHPs’ decreased by 45%, while SFs’ decreased by 34%. This further confirmed that at a wind speed of 1 m/s, airflow could not fully penetrate through the fin group, resulting in substantial impact on internal fins from both sides. When wind speed exceeded 2 m/s, although reductions in STDEV.P became less pronounced between these two cases, increased wind velocity still effectively enhanced uniformity in average temperatures among the fins. Figure 11 shows that the ΔTf,b−t of HPs-RBFHPs stabilized in a range under relatively high power, similar to that under natural convection. When stable, it could be considered that the blown fin group was fully activated. However, as wind speed increased, the heat flux required to stabilize within a range increased. For example, at a wind speed of 1 m/s, ΔTf,b−t stability required 140 W, and at a wind speed of 3 m/s, it required 220 W. In the case of high power, the ΔTf,b−t of HPs-RBFHPs was basically stable between 1.5 and 2 °C, which reflected the good temperature equating performance of the fin group. The ΔTf,b−t of SFs showed a step-up trend with the increase of heat flux, and the effect of wind speed was not significant, but with the increase of wind speed, it showed a change of decreasing first and then increasing. At low wind speed, the average temperature of the fin group could be improved, but because the heat was not transmitted to the upper end of the fin when the wind speed increased, it led to ΔTf,b−t increasing. The stability of the two systems was better with wind speed increases, which is reflected in Figure 11 and Figure 12. The greater the wind speed, the smaller the fluctuation and the smoother the curve.

4. Conclusions

Under both horizontal natural convection and forced convection, the utilization of HPs-RBFHPs demonstrated a substantial reduction in temperature for electronic components compared to that with SFs. The heat dissipation efficiency was improved 10% to 55%. The performance of HPs-RBFHPs was significantly affected by the inclination angle, leading to noticeable failure in the fin group when inclined at 60° and complete failure when inclined at 90°. When subjected to high heating power and inclination angle below 30°, the temperature difference between the upper and lower ends of the fin group remained stable without significant changes as heat flux increased. In a forced convection environment, there was a notable improvement in average temperature among fins, while the temperature difference between their upper and lower ends remained unaffected. The minimum total thermal resistance in the horizontal state was only 0.37 °C/W. The maximum heat dissipation power of natural convection was 180 W. At an optimal wind speed of 2 m/s (optimal economic wind speed), air could effectively pass through the fin group; further increasing wind speed had a minimal impact on heat source temperature due to thermal resistance limitations imposed by base materials. Under the most economical conditions with an inclination of 0° and a wind speed of 2 m/s, the input power was 340 W, the heat source temperature of HPs-RBFHPs was only 64.2 °C, and the heat dissipation performance was 55.4% higher than that of SFs. These findings validate that HPs-RBFHPs effectively enhance fin efficiency and are suitable for managing thermal issues associated with high-power electronic devices.

Author Contributions

Conceptualization, Y.W. and Y.Z.; Methodology, Y.Z.; Validation, J.M., Y.K. and T.S.; Formal analysis, J.M., Y.K. and T.S.; Investigation, Y.W., J.Q. and Y.Z.; Resources, H.X., Y.K. and H.Z.; Writing—original draft, Y.W. and J.Q.; Writing—review & editing, J.Q., J.W. and Y.G.; Visualization, J.M.; Supervision, H.X., Y.G. and H.Z.; Project administration, Y.G., J.W. and H.Z.; Funding acquisition, H.X. All authors have read and agreed to the published version of the manuscript.

Funding

This research was funded by Industry-University-Research Cooperation Project of Jiangsu Province (No. BY20230013).

Data Availability Statement

The original contributions presented in the study are included in the article, further inquiries can be directed to the corresponding authors.

Conflicts of Interest

Author Jingyuan Wang was employed by the company Gansu Engineering Consulting Group Co., Ltd. The remaining authors declare that the research was conducted in the absence of any commercial or financial relationships that could be construed as a potential conflict of interest.

Nomenclature

PHeat load, W
RTotal thermal resistance, °C/W
tTime, s
T ¯ Average temperature, °C
TaAmbient temperature, °C
TMeasuring point temperature, °C
ω x Total uncertainty
STDEV.PSample standard deviation
Δ T Temperature difference, °C
Abbreviations
HPs-RBFHPsHPs-RBFHPs composite radiator
SFConventional straight fin radiator
RBFHPRoll-bond flat heat pipe
IGBTInsulated-gate bipolar transistor

References

  1. Li, L.; He, Y.; Wang, L.; Wang, C.; Liu, X. IGBT lifetime model considering composite failure modes. Mater. Sci. Semicond. Process. 2022, 143, 106529. [Google Scholar] [CrossRef]
  2. Mattila, T.T.; Li, J.; Kivilahti, J.K. On the effects of temperature on the drop reliability of electronic component boards. Microelectron. Reliab. 2012, 52, 165–179. [Google Scholar] [CrossRef]
  3. Sung, G.; Na, D.; Yook, S. Enhancement of the cooling performance of a pin fin heat sink based on the chimney effect using aluminum tape. Int. J. Heat Mass Transf. 2023, 201, 123613. [Google Scholar] [CrossRef]
  4. Muneeshwaran, M.; Tsai, M.; Wang, C. Heat transfer augmentation of natural convection heat sink through notched fin design. Int. Commun. Heat Mass Transf. 2023, 142, 106676. [Google Scholar] [CrossRef]
  5. Khudhur, D.S.; Al-Zuhairy, R.C.; Kassim, M.S. Thermal analysis of heat transfer with different fin geometry through straight plate-fin heat sinks. Int. J. Therm. Sci. 2022, 174, 107443. [Google Scholar] [CrossRef]
  6. Li, H.; Chiang, M.; Lee, C.; Yang, W. Thermal performance of plate-fin vapor chamber heat sinks. Int. Commun. Heat Mass Transf. 2010, 37, 731–738. [Google Scholar] [CrossRef]
  7. Feng, S.; Shi, M.; Yan, H.; Sun, S.; Li, F.; Lu, T.J. Natural convection in a cross-fin heat sink. Appl. Therm. Eng. 2018, 132, 30–37. [Google Scholar] [CrossRef]
  8. Ong, K.S.; Tan, C.F.; Lai, K.C.; Tan, K.H. Heat spreading and heat transfer coefficient with fin heat sink. Appl. Therm. Eng. 2017, 112, 1638–1647. [Google Scholar] [CrossRef]
  9. Faraji, H.; Faraji, M.; Alami, M.E.; Hariti, Y.; Arshad, A.; Hader, A.; Benkaddour, A. Cooling of recent microprocessors by the fusion of nano-enhanced phase change materials. Mater. Today Proc. 2020, 30, 865–869. [Google Scholar] [CrossRef]
  10. Chen, X.; Ye, H.; Fan, X.; Ren, T.; Zhang, G. A review of small heat pipes for electronics. Appl. Therm. Eng. 2016, 96, 1–17. [Google Scholar] [CrossRef]
  11. Tang, H.; Tang, Y.; Wan, Z.; Li, J.; Yuan, W.; Lu, L.; Li, Y.; Tang, K. Review of applications and developments of ultra-thin micro heat pipes for electronic cooling. Appl. Energy 2018, 223, 383–400. [Google Scholar] [CrossRef]
  12. Bulut, M.; Kandlikar, S.G.; Sozbir, N. A Review of Vapor Chambers. Heat Transf. Eng. 2019, 40, 1551–1573. [Google Scholar] [CrossRef]
  13. Xie, D.; Sun, Y.; Wang, G.; Chen, S.; Ding, G. Significant factors affecting heat transfer performance of vapor chamber and strategies to promote it: A critical review. Int. J. Heat Mass Transf. 2021, 175, 121132. [Google Scholar] [CrossRef]
  14. Muneeshwaran, M.; Lee, Y.; Wang, C. Performance improvement of heat sink with vapor chamber base and heat pipe. Appl. Therm. Eng. 2022, 215, 118932. [Google Scholar] [CrossRef]
  15. Tang, Y.; Lin, L.; Zhang, S.; Zeng, J.; Tang, K.; Chen, G.; Yuan, W. Thermal management of high-power LEDs based on integrated heat sink with vapor chamber. Energy Convers. Manag. 2017, 151, 1–10. [Google Scholar] [CrossRef]
  16. Li, J.; Li, X.; Zhou, G.; Liu, Y. Development and evaluation of a supersized aluminum flat plate heat pipe for natural cooling of high power telecommunication equipment. Appl. Therm. Eng. 2021, 184, 116278. [Google Scholar] [CrossRef]
  17. Rezk, K.; Abdelrahman, M.A.; Attia, A.A.A.; Emam, M. Thermal control of temperature-sensitive electronic components using a vapor chamber integrated with a straight fins heat sink: An experimental investigation. Appl. Therm. Eng. 2022, 217, 119147. [Google Scholar] [CrossRef]
  18. Bérut, E.; Lips, S.; Lefèvre, F.; Sartre, V. Condensation regimes inside a vapor chamber with transparent hollow fins of circular, triangular or fluted cross section. Int. J. Therm. Sci. 2023, 184, 107983. [Google Scholar] [CrossRef]
  19. Ji, X.; Li, H.; Xu, J.; Huang, Y. Integrated flat heat pipe with a porous network wick for high-heat-flux electronic devices. Exp. Therm. Fluid Sci. 2017, 85, 119–131. [Google Scholar] [CrossRef]
  20. Song, J.G.; Lee, J.H.; Park, I.S. Enhancement of cooling performance of naval combat management system using heat pipe. Appl. Therm. Eng. 2021, 188, 116657. [Google Scholar] [CrossRef]
  21. Wang, Y.; Wang, B.; Zhu, K.; Li, H.; He, W.; Liu, S. Energy saving potential of using heat pipes for CPU cooling. Appl. Therm. Eng. 2018, 143, 630–638. [Google Scholar] [CrossRef]
  22. Deng, L.; Li, Y.; Xu, P.; Chen, Z.; Zhou, W.; Li, B. Fabrication and thermal performance of a novel roll-bond flat thermosyphon. Appl. Therm. Eng. 2020, 181, 115959. [Google Scholar] [CrossRef]
  23. Dhanalakota, P.; Malla, L.K.; Dileep, H.; Mahapatra, P.S.; Pattamatta, A. Effective thermal management of heat sources in sustainable energy devices using a compact flat thermosyphon. Energy Convers. Manag. 2022, 268, 116041. [Google Scholar] [CrossRef]
  24. Deng, L.; Li, Y.; Xin, Z.; Chen, Z.; Zhou, W.; Mamun, A.A.; Li, B. Thermal study of the natural air cooling using roll bond flat heat pipe as plate fin under multi-heat source condition. Int. J. Therm. Sci. 2023, 183, 107834. [Google Scholar] [CrossRef]
  25. Berra, E.M.; Faraji, M.; Faraji, H. Numerical simulation with LBM of the cooling of electronic component: Effect of the inclination angle. Mater. Today Proc. 2020, 30, 838–841. [Google Scholar] [CrossRef]
Figure 1. Fin cooling schematic: (a) conventional aluminum fin; (b) heat pipe fin.
Figure 1. Fin cooling schematic: (a) conventional aluminum fin; (b) heat pipe fin.
Energies 17 02863 g001
Figure 2. (a) HPs-RBFHPs radiator assembly. (b) Real image: (left) HPs-RBFHPs radiator; (right) SF radiator.
Figure 2. (a) HPs-RBFHPs radiator assembly. (b) Real image: (left) HPs-RBFHPs radiator; (right) SF radiator.
Energies 17 02863 g002
Figure 3. (a) Natural convection test platform; (b) forced convection test platform.
Figure 3. (a) Natural convection test platform; (b) forced convection test platform.
Energies 17 02863 g003
Figure 4. Radiator temperature measurement point distribution.
Figure 4. Radiator temperature measurement point distribution.
Energies 17 02863 g004
Figure 5. Temperature variation of radiators at different powers: (a) HPs-RBFHPs (b) SF.
Figure 5. Temperature variation of radiators at different powers: (a) HPs-RBFHPs (b) SF.
Energies 17 02863 g005
Figure 6. Heat source temperature and thermal resistance under different heating power.
Figure 6. Heat source temperature and thermal resistance under different heating power.
Energies 17 02863 g006
Figure 7. HPs-RBFHPs’ natural convection starts at different angles. (a) 0°. (b) 30°. (c) 60°. (d) 90°.
Figure 7. HPs-RBFHPs’ natural convection starts at different angles. (a) 0°. (b) 30°. (c) 60°. (d) 90°.
Energies 17 02863 g007
Figure 8. Diagram of internal fluid at inclination.
Figure 8. Diagram of internal fluid at inclination.
Energies 17 02863 g008
Figure 9. HPs-RBFHPs under different dip angles and heat flux. (a) Temperature. (b) Thermal resistance.
Figure 9. HPs-RBFHPs under different dip angles and heat flux. (a) Temperature. (b) Thermal resistance.
Energies 17 02863 g009
Figure 10. Comparison of SFs and HPs-RBFHPs under heat fluxes at 180 to 340 W.
Figure 10. Comparison of SFs and HPs-RBFHPs under heat fluxes at 180 to 340 W.
Energies 17 02863 g010
Figure 11. Variation of HPs-RBFHPs ΔTf,b−t and STDEV.P under variable power. (a) 1 m/s. (b) 2 m/s. (c) 3 m/s. (d) 4 m/s.
Figure 11. Variation of HPs-RBFHPs ΔTf,b−t and STDEV.P under variable power. (a) 1 m/s. (b) 2 m/s. (c) 3 m/s. (d) 4 m/s.
Energies 17 02863 g011
Figure 12. Variation of SF △Tf,b−t and STDEV.P under variable power. (a) 1 m/s. (b). 2 m/s. (c) 3 m/s. (d) 4 m/s.
Figure 12. Variation of SF △Tf,b−t and STDEV.P under variable power. (a) 1 m/s. (b). 2 m/s. (c) 3 m/s. (d) 4 m/s.
Energies 17 02863 g012
Table 1. Heat pipe parameters.
Table 1. Heat pipe parameters.
NameMaterialFluidWickLiquid Filling Ratio
Heat pipeCopperWaterSintered copper powder30%
RBFHPAluminumR1233ZD/20%
Table 2. Uncertainty.
Table 2. Uncertainty.
QuantitiesNotationUncertainty
Temperature of thermocouplesT1T120.3 K
Input heating powerPin1 W
Hot-wire anemometerVair0.01 m/s
Dimension measurementsL, W, H0.1 mm
Total Thermal resistanceRtot5.93%
STDEV.P/11.77%
Disclaimer/Publisher’s Note: The statements, opinions and data contained in all publications are solely those of the individual author(s) and contributor(s) and not of MDPI and/or the editor(s). MDPI and/or the editor(s) disclaim responsibility for any injury to people or property resulting from any ideas, methods, instructions or products referred to in the content.

Share and Cite

MDPI and ACS Style

Wan, Y.; Qian, J.; Zhu, Y.; Xu, H.; Wang, J.; Gao, Y.; Ma, J.; Kan, Y.; Song, T.; Zhang, H. Experimental Study of Composite Heat Pipe Radiator in Thermal Management of Electronic Components. Energies 2024, 17, 2863. https://doi.org/10.3390/en17122863

AMA Style

Wan Y, Qian J, Zhu Y, Xu H, Wang J, Gao Y, Ma J, Kan Y, Song T, Zhang H. Experimental Study of Composite Heat Pipe Radiator in Thermal Management of Electronic Components. Energies. 2024; 17(12):2863. https://doi.org/10.3390/en17122863

Chicago/Turabian Style

Wan, Yi, Jiajie Qian, Yuefeng Zhu, Hui Xu, Jingyuan Wang, Ying Gao, Junjie Ma, Yibao Kan, Tianrui Song, and Hong Zhang. 2024. "Experimental Study of Composite Heat Pipe Radiator in Thermal Management of Electronic Components" Energies 17, no. 12: 2863. https://doi.org/10.3390/en17122863

APA Style

Wan, Y., Qian, J., Zhu, Y., Xu, H., Wang, J., Gao, Y., Ma, J., Kan, Y., Song, T., & Zhang, H. (2024). Experimental Study of Composite Heat Pipe Radiator in Thermal Management of Electronic Components. Energies, 17(12), 2863. https://doi.org/10.3390/en17122863

Note that from the first issue of 2016, this journal uses article numbers instead of page numbers. See further details here.

Article Metrics

Back to TopTop