Comparisons of Different Representative Species Selection Schemes for Reduced-Order Modeling and Chemistry Acceleration of Complex Hydrocarbon Fuels
Abstract
1. Introduction
2. Methodology
2.1. Two-Step Principal Component Analysis (PCA)
2.2. Manifold-Informed Selection
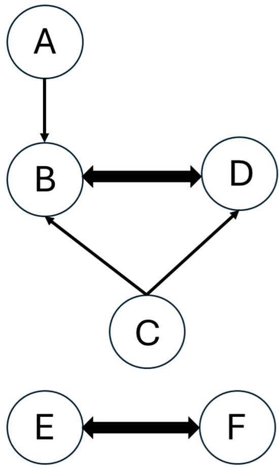
2.3. Directed Relation Graphs (DRG)
2.4. Global Pathway Selection (GPS)
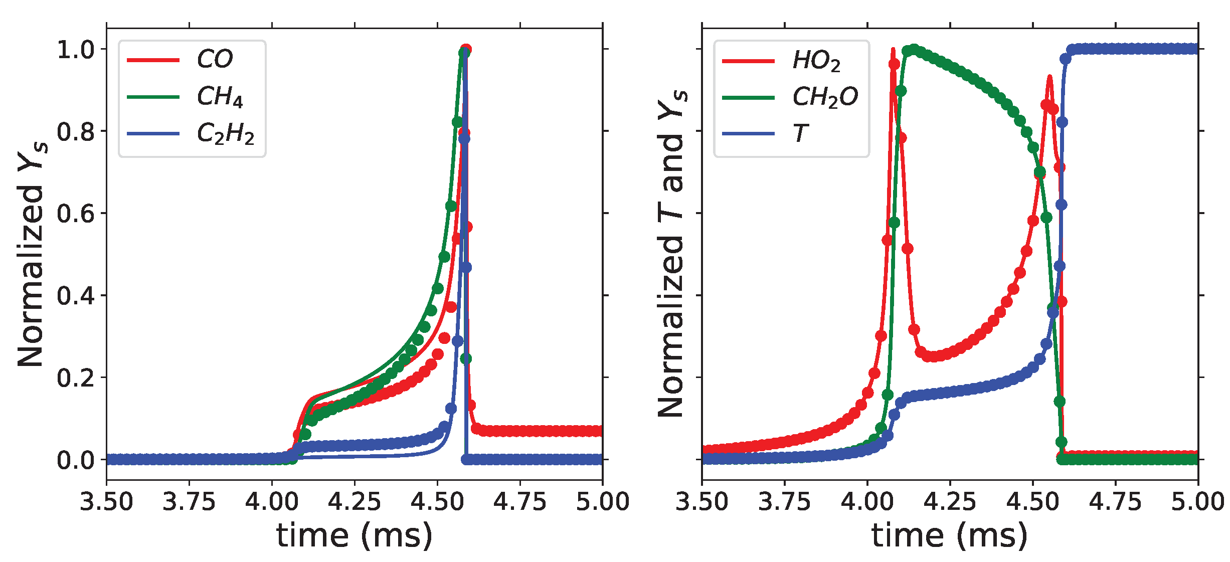
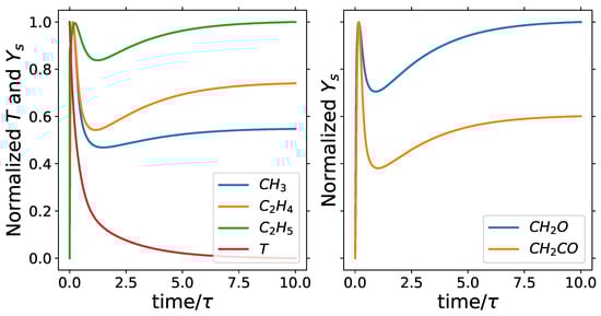
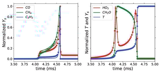
3. Results and Discussion
- Two-step PCA: 7 PCA cumulative variances of 85, 90, 95, 99, 99.9, 99.99, and 99.999% are used to retain the first PCs. In total, 47 different cut-off percentages varying from 80 to 99.999% are set as the cut-off criterion to select the number b of thermo-chemical scalars with the most contributions to the PCs.
- DRG: 65 thresholds varying from 0.1 to 0.74 by an increment of 0.01 are used as the cut-off threshold for the removal of directed edges.
- GPS: 51 of values of 0.001 and 0.01 to 0.5 by increment of 0.01 are prescribed as the threshold to select hub species.
- Target species set 1: nC7H16, H2O, CO2, CO, CH2O, H2O2, HO2,
- Target species set 2: nC7H16, H2O, CO2,
- Target species set 3: nC7H16, H2O, CO2, CO,
- Target species set 4: nC7H16.
3.1. Two-Step PCA
3.2. Manifold-Informed Selection
3.3. DRG
3.4. GPS
3.5. Common Species between Two-Step PCA, DRG and GPS
3.6. Representative Species Coupling with Foundational Chemistry
4. Conclusions
Author Contributions
Funding
Data Availability Statement
Conflicts of Interest
References
- Pope, S. Small scales, many species and the manifold challenges of turbulent combustion. Proc. Combust. Inst. 2013, 34, 1–31. [Google Scholar] [CrossRef]
- Wang, H.; Xu, R.; Wang, K.; Bowman, C.T.; Hanson, R.K.; Davidson, D.F.; Brezinsky, K.; Egolfopoulos, F.N. A physics-based approach to modeling real-fuel combustion chemistry-I. Evidence from experiments, and thermodynamic, chemical kinetic and statistical considerations. Combust. Flame 2018, 193, 502–519. [Google Scholar] [CrossRef]
- Xu, R.; Wang, K.; Banerjee, S.; Shao, J.; Parise, T.; Zhu, Y.; Wang, S.; Movaghar, A.; Lee, D.J.; Zhao, R.; et al. A physics-based approach to modeling real-fuel combustion chemistry-II. Reaction kinetic models of jet and rocket fuels. Combust. Flame 2018, 193, 520–537. [Google Scholar] [CrossRef]
- Tao, Y.; Xu, R.; Wang, K.; Shao, J.; Johnson, S.E.; Movaghar, A.; Han, X.; Park, J.W.; Lu, T.; Brezinsky, K.; et al. A Physics-based approach to modeling real-fuel combustion chemistry-III. Reaction kinetic model of JP10. Combust. Flame 2018, 198, 466–476. [Google Scholar] [CrossRef]
- Wang, K.; Xu, R.; Parise, T.; Shao, J.; Movaghar, A.; Lee, D.J.; Park, J.W.; Gao, Y.; Lu, T.; Egolfopoulos, F.N.; et al. A physics based approach to modeling real-fuel combustion chemistry-IV. HyChem modeling of combustion kinetics of a bio-derived jet fuel and its blends with a conventional Jet A. Combust. Flame 2018, 198, 477–489. [Google Scholar] [CrossRef]
- Saggese, C.; Wan, K.; Xu, R.; Tao, Y.; Bowman, C.T.; Park, J.W.; Lu, T.; Wang, H. A physics-based approach to modeling real-fuel combustion chemistry-V. NOx formation from a typical Jet A. Combust. Flame 2020, 212, 270–278. [Google Scholar] [CrossRef]
- Xu, R.; Saggese, C.; Lawson, R.; Movaghar, A.; Parise, T.; Shao, J.; Choudhary, R.; Park, J.W.; Lu, T.; Hanson, R.K.; et al. A physics-based approach to modeling real-fuel combustion chemistry-VI. Predictive kinetic models of gasoline fuels. Combust. Flame 2020, 220, 475–487. [Google Scholar] [CrossRef]
- Xu, R.; Wang, H. A physics-based approach to modeling real-fuel combustion chemistry-VII. Relationship between speciation measurement and reaction model accuracy. Combust. Flame 2021, 224, 126–135. [Google Scholar] [CrossRef]
- Ranade, R.; Alqahtani, S.; Farooq, A.; Echekki, T. An ANN based hybrid chemistry framework for complex fuels. Fuel 2019, 241, 625–636. [Google Scholar] [CrossRef]
- Ranade, R.; Alqahtani, S.; Farooq, A.; Echekki, T. An extended hybrid chemistry framework for complex hydrocarbon fuels. Fuel 2019, 251, 276–284. [Google Scholar] [CrossRef]
- Alqahtani, S.; Echekki, T. A data-based hybrid model for complex fuel chemistry acceleration at high temperatures. Combust. Flame 2021, 223, 142–152. [Google Scholar] [CrossRef]
- Alqahtani, S.; Gitushi, K.M.; Echekki, T. A Data-Based Hybrid Chemistry Acceleration Framework for the Low-Temperature Oxidation of Complex Fuels. Energies 2024, 17, 734. [Google Scholar] [CrossRef]
- Kumar, A.; Echekki, T. Combustion chemistry acceleration with DeepONets. Fuel 2024, 365, 131212. [Google Scholar] [CrossRef]
- Lu, L.; Jin, P.; Pang, G.; Zhang, Z.; Karniadakis, G.E. Learning nonlinear operators via DeepONet based on the universal approximation theorem of operators. Nat. Mach. Int. 2021, 3, 218–229. [Google Scholar] [CrossRef]
- Ranade, R.; Echekki, T. A framework for data-based turbulent combustion closure: A priori validation. Combust. Flame 2019, 206, 490–505. [Google Scholar] [CrossRef]
- Jolliffe, I. Principal Component Analysis, 2nd ed.; Springer: New York, NY, USA, 2002. [Google Scholar]
- Lu, T.; Law, C.K. A directed relation graph method for mechanism reduction. Proc. Combust. Inst. 2005, 30, 1333–1341. [Google Scholar] [CrossRef]
- Lu, T.; Law, C.K. Linear time reduction of large kinetic mechanisms with directed relation graph: N-Heptane and iso-octane. Combust. Flame 2006, 144, 24–36. [Google Scholar] [CrossRef]
- Lu, T.; Law, C.K. On the applicability of directed relation graphs to the reduction of reaction mechanisms. Combust. Flame 2006, 146, 472–483. [Google Scholar] [CrossRef]
- Gao, X.; Yang, S.; Sun, W. A global pathway selection algorithm for the reduction of detailed chemical kinetic mechanisms. Combust. Flame 2016, 167, 238–247. [Google Scholar] [CrossRef]
- Zdybał, K.; Sutherland, J.C.; Parente, A. Manifold-informed state vector subset for reduced-order modeling. Proc. Combust. Inst. 2023, 39, 5145–5154. [Google Scholar] [CrossRef]
- Zdybał, K.; Armstrong, E.; Parente, A.; Sutherland, J.C. PCAfold: Python software to generate, analyze and improve PCA-derived low-dimensional manifolds. SoftwareX 2020, 12, 100630. [Google Scholar] [CrossRef]
- Armstrong, E.; Sutherland, J.C. A technique for characterising feature size and quality of manifolds. Combust. Theo. Model. 2021, 25, 646–668. [Google Scholar] [CrossRef]
- Niemeyer, K.E. Theory: Directed Relation Graph (DRG) Method. Available online: https://niemeyer-research-group.github.io/pyMARS/theory.html (accessed on 14 May 2024).
- Yen, J.Y. Finding the k shortest loopless paths in a network. Manag. Sci. 1971, 17, 712–716. [Google Scholar] [CrossRef]
- Mishra, R.; Nelson, A.; Jarrahbashi, D. Adaptive global pathway selection using artificial neural networks: A-priori study. Combust. Flame 2022, 244, 112279. [Google Scholar] [CrossRef]
- Xie, C.; Lailliau, M.; Issayev, G.; Xu, Q.; Chen, W.; Dagaut, P.; Farooq, A.; Sarathy, S.M.; Wei, L.; Wang, Z. Revisiting low temperature oxidation chemistry of n-heptane. Combust. Flame 2022, 242, 112177. [Google Scholar] [CrossRef]
- Goodwin, D.G.; Moffat, H.K.; Schoegl, I.; Speth, R.L.; Weber, B.W. Cantera: An Object-oriented Software Toolkit for Chemical Kinetics, Thermodynamics, and Transport Processes. Version 2.6.0. 2022. Available online: https://www.cantera.org (accessed on 2 February 2023).
- Wang, H.; You, X.; Joshi, A.V.; Davis, S.G.; Laskin, A.; Egolfopoulos, F.; Law, C.K. USC Mech Version II. High-Temperature Combustion Reaction Model of H2/CO/C1-C4 Compounds. Available online: https://ignis.usc.edu:80/Mechanisms/USC-Mech%20II/USC_Mech%20II.htm (accessed on 15 May 2021).
- Ji, W.; Deng, S. Autonomous Discovery of Unknown Reaction Pathways from Data by Chemical Reaction Neural Network. J. Phys. Chem. 2021, 125, 1082–1092. [Google Scholar] [CrossRef]
- Ji, W.; Richter, F.; Gollner, M.J.; Deng, S. Autonomous kinetic modeling of biomass pyrolysis using chemical reaction neural networks. Combust. Flame 2022, 240, 111992. [Google Scholar] [CrossRef]









| Selection Method | Two-Step PCA | DRG | GPS |
|---|---|---|---|
| Maximum number of representative species | 63 | 51 | 53 |
| Other Species | C2H6, HCCOH, C4H10, C4H4O, C4H6O25, C5H4O, C5H4OH, C5H5OH, C6H2, C6H3, C6H5, C6H6, C6H5O, C6H5OH | N2, C4H4O | N2, C2H6, HCCOH, C4H10 |
| Common Species | |||
| H, O, OH, HO2, H2, | |||
| H2O, H2O2, O2, C, CH, | |||
| CH2, CH3, CH4, HCO, CH2O, CH3O, | |||
| CH2OH, CH3OH, CO, CO2, C2H, C2H2, | |||
| H2CC, C2H3, C2H4, C2H5, HCCO, CH2CO, | |||
| CH3CO, CH2CHO, CH3CHO, C3H3, C3H6, | |||
| C3H8, C2H3CHO, CH3COCH3, C4H2, | |||
| C4H4, C4H5-2, C4H6, C4H612, C4H6-2, | |||
| H2C4O, CH2CHCHCHO, C2H3CHOCH2, | |||
| C4H6O23, C5H5, C5H6, n-C7H16 | |||
Disclaimer/Publisher’s Note: The statements, opinions and data contained in all publications are solely those of the individual author(s) and contributor(s) and not of MDPI and/or the editor(s). MDPI and/or the editor(s) disclaim responsibility for any injury to people or property resulting from any ideas, methods, instructions or products referred to in the content. |
© 2024 by the authors. Licensee MDPI, Basel, Switzerland. This article is an open access article distributed under the terms and conditions of the Creative Commons Attribution (CC BY) license (https://creativecommons.org/licenses/by/4.0/).
Share and Cite
Gitushi, K.M.; Echekki, T. Comparisons of Different Representative Species Selection Schemes for Reduced-Order Modeling and Chemistry Acceleration of Complex Hydrocarbon Fuels. Energies 2024, 17, 2604. https://doi.org/10.3390/en17112604
Gitushi KM, Echekki T. Comparisons of Different Representative Species Selection Schemes for Reduced-Order Modeling and Chemistry Acceleration of Complex Hydrocarbon Fuels. Energies. 2024; 17(11):2604. https://doi.org/10.3390/en17112604
Chicago/Turabian StyleGitushi, Kevin M., and Tarek Echekki. 2024. "Comparisons of Different Representative Species Selection Schemes for Reduced-Order Modeling and Chemistry Acceleration of Complex Hydrocarbon Fuels" Energies 17, no. 11: 2604. https://doi.org/10.3390/en17112604
APA StyleGitushi, K. M., & Echekki, T. (2024). Comparisons of Different Representative Species Selection Schemes for Reduced-Order Modeling and Chemistry Acceleration of Complex Hydrocarbon Fuels. Energies, 17(11), 2604. https://doi.org/10.3390/en17112604

