Next Article in Journal
Research on NaCl-KCl High-Temperature Thermal Storage Composite Phase Change Material Based on Modified Blast Furnace Slag
Previous Article in Journal
AC Direct Charging for Electric Vehicles via a Reconfigurable Cascaded Multilevel Converter
 
 
Font Type:
Arial Georgia Verdana
Font Size:
Aa Aa Aa
Line Spacing:
Column Width:
Background:
Article

Numerical Investigation of Innovative Photovoltaic–Thermal (PVT) Collector Designs for Electrical and Thermal Enhancement

1
School of Water Conservancy and Architectural Engineering, Northwest A & F University, Yangling 712100, China
2
School of Mechano-Electronic Engineering, Xidian University, Xi’an 71007l, China
3
School Science, Engineering and Technology, Pennsylvania State University, Harrisburg, PA 17057, USA
*
Author to whom correspondence should be addressed.
Energies 2024, 17(10), 2429; https://doi.org/10.3390/en17102429
Submission received: 8 April 2024 / Revised: 11 May 2024 / Accepted: 16 May 2024 / Published: 19 May 2024
(This article belongs to the Section A2: Solar Energy and Photovoltaic Systems)

Abstract

Photovoltaic–thermal (PVT) technology is gaining popularity due to the diminishing availability of traditional fossil fuels and escalating environmental concerns. Enhancing the heat dissipation of PVT to improve its electrical and thermal performance remains a significant task. This study simulates the thermodynamic and heat transfer characteristics in multiple novel PVT structures by examining the impact of various factors such as collector materials, radiation intensity, mass flow rate, and inlet temperature. This work also identifies the optimal mass flow rate for locations with different solar radiation. The numerical results indicate that the electrical efficiency of a designed cylindrical structure has increased by 1.73% while the thermal efficiency has increased by 8.29%. Aluminum is identified as the most cost-effective material for the collector. The optimal mass flow rates in selected locations of Xining, Taiyuan, and Turpan are 0.36 kg/s, 0.35 kg/s, and 0.30 kg/s, respectively. The numerical results provide valuable insight into optimizing the design and operating conditions of PVT systems.

1. Introduction

Energy is essential for the functioning of modern society, serving as the primary driving force for human life [1,2], industrial production, and transportation among other needs. Traditional fossil fuels are subject to imminent depletion while they are the main cause of significant environmental issues. Thus, searching for sustainable and eco-friendly alternative energy sources must be a primary focus. Renewable energy sources like solar, wind, and hydropower are sustainable options that do not emit damaging greenhouse gases [3,4,5,6]. Among many renewable energy resources, solar energy has gained significant attention due to its abundance, environmental friendliness, and being limitless [7,8,9,10]. Photovoltaic (PV) technology, which converts sunlight directly into electricity using specialized devices, is the most common approach to utilize solar energy [11,12]. However, the conversion efficiency of PV technology drops as the temperature of the cells rises. To address this limitation of photovoltaic systems, researchers have introduced a new technology known as photovoltaic–thermal (PVT) integration to enhance the efficiency of solar energy usage [13]. PVT harnesses solar energy for both electricity generation and thermal energy to accomplish full solar energy utilization.
A PVT system combines solar and thermal energy collection technologies to produce electricity and heat at the same time. It typically consists of photovoltaic modules, thermal collectors, and a cooling system [14]. These PV modules are made of photovoltaic cells that convert light energy into electricity via the photovoltaic effect. The heat collector is positioned on either the rear or the side of the photovoltaic module to gather solar radiation and transform it into thermal energy. These collectors typically consist of pipes or plates that absorb and transfer heat through the circulation of a working fluid. The cooling system regulates the temperature to avoid overheating and maintain power generation efficiency [15]. These systems can utilize either air-cooling or liquid-cooling methods to maintain the system’s operation within an appropriate temperature range. To enhance the thermoelectric efficiency of PVT systems, current research focuses on material selection for various PVT components and the design of the backplane structure.
The choice of materials for various components of PVT is crucial for enhancing thermoelectric efficiency. The researchers have examined different materials to enhance the performance of PVT. Al-Shamani et al. [16] determined that for PVT systems, the rectangular tube absorber made of stainless steel (15 mm high, 25 mm wide, 1 mm thick) performed the best at a flow rate of 0.170 kg/s and nanofluids including SiO2, TiO2, and SiC at 1000 W/m2. Shahsavar et al. [17] reported the enhanced electric conversion and thermal efficiency of nanofluidics by incorporating nanoparticles into pure water as a cooling fluid, thus achieving improvements at a flow rate of 20 kg/h. Alshibil et al. [18] conducted experiments to investigate the impact of air cooling, water cooling, and no cooling on three configurations of PVT solar collectors: AC-PVT with an air-cooled copper plate absorber, LFS-PVT with a new louver wing fin-shaped water snake tube welded to the plate collector, and ALF-PVT resembling a plate collector but without water flow. The experimental data indicated that the flat-plate collector (LFS-PVT) exhibited the maximum thermoelectric efficiency. Nahar et al. [19] investigated the impact of an absorption plate on the thermoelectric properties of PVT using numerical simulation and experimental observations. They discovered that PVT without an absorption plate performed nearly as well as those with absorption plates. Joo et al. [20] conducted a study on the effects of a glazed PVT module with transparent film covering PV cells by designing and producing three types of flat PVT modules: a glazed PVT module with transparent film covering PV cells, a glazed PVT module with glass covering PV cells, and an unglazed PVT module with glass covering PV cells. The experimental findings indicated that the glazed PVT module with a transparent layer over the PV battery had the highest overall efficiency. Yu et al. [21] conducted a performance study comparing vacuum PVT collectors and air-gap PVT collectors. They discovered that the vacuum PVT collector can decrease the heat loss coefficient by 16.08%. Additionally, when comparing the vacuum PVT collector with low-emissivity coating, they observed a significant enhancement in the thermoelectric performance of the vacuum PVT collector compared to the air-gap PVT collector. Nevertheless, the above studies did not consider the initial cost, reliability, and stability; the use of more sophisticated and high-performing materials typically results in a higher initial expenditure, thus augmenting the manufacturing expenses associated with PVT systems and consequently elevating the overall investment cost of the system. Furthermore, it should be noted that certain high-performance materials may exhibit inferior performance compared to conventional materials in terms of reliability and durability. Consequently, this can lead to a reduction in the lifespan of PVT systems, as well as an increase in the frequency and expenses associated with the maintenance and replacement of components.
Considering the drawbacks associated with different component material choices for PVT, the optimization of the PVT backplane structure can yield numerous benefits. These benefits encompass enhanced heat conduction efficiency, diminished thermal resistance, improved thermal balance, increased system sustainability, and enhanced overall efficiency. The aforementioned benefits render the optimization of the backplane structure a crucial task for enhancing the performance of the PVT system, hence facilitating the attainment of a more efficient, stable, and dependable functioning of the PVT system. As shown in Figure 1 [22], currently, the design of the PVT backplane structure is primarily categorized into two types: a tube-plate structure and a parallel-plate configuration [22,23,24]. The tube-plate structure can be categorized into several types, such as oscillatory, spiral, serpentine, reticulate, and parallel tubular architectures. Arslan et al. [25] conducted a study on the flow rate variations of a PVT fan with a tube-plate structure. They designed and tested a new type of copper fin air-cooled PVT, varying the voltage (6, 8, 10, 12 V) to control the fan’s flow rate. The researchers concluded that the thermoelectric performance of the PVT improves as the voltage increases. Li et al. [26] conducted a study on how the section shape of the tube-plate structure affects the thermoelectric performance of the PVT system by creating two small heat pipes with identical cross-sectional areas, one trapezoidal and the other rectangular. The experimental data indicated that the rectangular microheat tube PVT outperforms the trapezoidal microheat tube PVT when tilted at 45 degrees. Bae et al. [27] examined a PVT module integrated with a solar collector (PVT-ASC) that is connectable. This module efficiently decreases costs and carbon emissions compared to standard commercial PVT, making it easier to implement PVT modules in buildings. Maseer et al. [28] created three copper half-tubes of varying diameters to enhance the interaction surface between solar panels and the tubes. They also identified the best operational parameters for the photovoltaic system at various flow rates. Each of the seven tubes demonstrated the maximum electrical efficiency when the flow rate was 0.04 kg/s and the diameter was 15 mm. Xie et al. [29] constructed a double-snake flow channel to enhance heat transmission and decrease air pressure loss in the serpentine structure of the tube plate. Zareie et al. [30] created 15 unique structures inspired by a branching pattern on a hexagonal grid. They then utilized ANSYS 2023R1 Fluent software to simulate and determine the optimal electrical, thermal, and overall efficiency of the structures.
Nevertheless, tube-plate construction in PVT systems has many drawbacks, including challenging cleaning issues, increased maintenance costs, heightened thermal resistance, intricate system design, susceptibility to breakage, and restricted heat conduction. The parallel-plate construction typically offers a more cost-effective manufacturing process and is more convenient for mass production and installation, resulting in a reduced overall investment cost for the system. As shown in Figure 2 [22], the parallel-plate structure of PVT can be categorized into four types: flat-box groove, rolled groove, hexagonal honeycomb, and V-groove [22,24,31]. Azad, Parvin, and their colleagues [32] analyzed the impact of different flow regimes, including creep flow, laminar flow, and transition flow, on the PVT energy performance in parallel-plate structures. They found that as the solar intensity was increased from 200 W/m2 to 1000 W/m2, the electrical efficiency decreased for creep flow from 11.34% to 8.09%, for laminar flow from 12.16% to 11.77%, and for transition flow from 12.24% to 12.07%. Nahar et al. [19] examined how radiation level and flow channel depth impact the thermoelectric performance of PVT collectors. They also examined the impact of Reynolds and Prandtl numbers on the PVT performance. Increasing the channel depth decreases cell temperature, whereas larger Reynolds and Prandtl numbers increase thermoelectric efficiency. Nahar et al. [31] discovered that the thermoelectric properties of PVT remained consistent regardless of the presence of absorption plates, through a comparison of numerical simulations and actual measurements. The parallel-plate configuration offers a simpler design, reduces expenses, and increases stress resistance in comparison to the tubular-plate structure.
Based on previous studies of PVT system structure, the design of parallel-plate configurations for the backplane system is lacking. In previous studies, the impact of convex hull geometry and volumetric variation in a parallel-plate PVT structure, as well as studies on pressure drop across PVT structures, is limited. No studies have investigated material selection criteria for parallel-plate PVT collectors, nor examined the power consumption of water pumps in PVT systems. Based on the above points, this paper studies the convex hull geometry and volume changes, the material selection of the collector, the power consumption of the water pump, and the pressure drop of the PVT structure in the PVT system.
This study aims to enhance the efficiency of a novel PVT backplane structure by optimizing the convex hull (protruding on the surface of the backplane) design and material selection for the collector channel wall. The ultimate objective is to implement new discoveries in practical engineering scenarios. The primary objective of this study is to assess the influence of several parameters including electrical power, electrical efficiency, thermal power, thermal efficiency, PVT device surface temperature, cell temperature, outlet fluid temperature, and pressure drop. The numerical results are compared and analyzed to determine the optimal parallel-plate configuration. Section 2 focuses on the comprehensive experimental planning, including the methods involved and the validation of the grid’s independence. Section 3 provides an account of the experimental analysis findings, which encompass the choice of various convex hull structures; the selection of collector materials; the impact of convex hull volume alteration, mass flow rate, inlet fluid temperature, and radiation intensity on PVT performance; and the investigation of the most effective mass flow rate in the chosen regions. Finally, Section 4 offers a complete overview and outlines potential avenues for future research.

2. PVT System

2.1. Methods of Research

This study aims to enhance the efficiency of the designed PVT by optimizing the convex hull and selecting appropriate materials for the collector channel wall. Figure 3 presents the evaluation method used in this paper, focusing on assessing electric power, electrical efficiency, thermal power, thermal efficiency, PVT device surface temperature, battery temperature, outlet temperature, and pressure drop of the coolant fluid. The simulation results are compared and analyzed to determine the optimal parallel-plate configuration. Section 3.1 examines how the geometry of the convex hull impacts the performance of the PVT device system while maintaining the volume constant. Section 3.2 examines how various collection materials impact the device’s performance. Section 3.3 examines how the volume size of the convex hull impacts the system. Section 3.4 analyzes how various mass flow rates, inflow temperature, and radiation levels affect the system’s performance. Finally, Section 3.5 studies different regions, selecting the best mass flow rate according to the highest irradiation intensity throughout the year, to achieve the largest total amount.
The current work employs a three-dimensional numerical simulation to analyze PVT systems including various collector designs. The lower surface of the collector channel in a PVT system with a parallel-plate arrangement was enhanced by adding convex hulls. Fourteen convex hulls were uniformly distributed along the length, with a distance of 100 mm between each hull. Eleven convex hulls were evenly distributed in the breadth direction, with a spacing of 80 mm between each hull. The first form of the convex hull was a hemisphere, chosen for its ability to modify the trajectory of the fluid, resulting in a more efficient flow. This can minimize the energy dissipation of the fluid and enhance the efficiency of fluid flow. The presence of a hemispherical wall protrusion can enhance the contact area between the fluid and the wall, leading to an improvement in heat exchange efficiency. The second convex hull was of a cylindrical shape. The cylindrical shape is comparatively less complicated, facilitating the process of designing and manufacturing in actual engineering applications. Additionally, the protrusion of the cylinder wall can intensify the turbulence, leading to an enhancement in heat exchange efficiency. Turbulence enhances the fluid’s kinetic energy, leading to a more efficient heat exchange process. Three distinct cylindrical forms were created, each with the same volume, but varying in terms of the radius and height of the cylinder base. The third shape of the convex hull was a cone. The wall protrusion of the conical shape may diminish fluid resistance as compared to the wall protrusion of the cylindrical shape. The conical shape of the wall protrusion enhances fluid flow guidance, resulting in decreased resistance. The conical shape of the wall protrusion can also disturb the laminar structure of the fluid, enhance fluid mixing, and thus enhance the efficiency of heat exchange. Three distinct conical shapes were created for the wall protrusion, all having the same volume. The fourth protrusion shape exhibited a cuboid morphology. The wall protrusion of the cuboid shape is characterized by its structural simplicity, making it very straightforward to manufacture and maintain. Its straight line and flat shape simultaneously make it more suitable for specific applications and can also improve heat exchange. Three distinct cuboid designs were devised using varying length–width–height ratios. In the PVT system being examined, there are two separate domains: the solid domain and the fluid domain. The solid domain consists of six discrete layers: a glass top layer, followed by layers of ethylene vinyl acetate (EVA), polycrystalline silicon cells, another EVA layer, poly vinyl fluoride or Tedlar (A polyvinylidene fluoride thin film material), and finally a layer of thermal paste or glue. The fluid domain comprises two aluminum channel walls and a fluid domain containing water. Consequently, the PVT system comprises a total of nine layers. A nine-layered flat-plate PVT collector is illustrated in Figure 4.
To ensure a precise comparison of the impacts of various PVT system collector designs, the approach of controlling variables was employed. This ensured that the quantity of collector convex hulls and the magnitude of each convex hull were the same. The coolant employed in the collector was water entering at a temperature of 29 °C. The impacts of different hull forms on the PVT system collector were examined by just altering the size of the convex hull shape for comparisons. Table 1, Table 2 and Table 3 present the measurements and thermophysical characteristics of different components. Figure 5 shows the different structural designs of the PVT backplane. A thorough mathematical model was developed for the analysis of the PVT system, followed by the execution of numerical simulations on the model. Due to the presence of the convex hull, the flow regime was considered to be turbulent.

2.2. Numerical Procedure

2.2.1. Main Assumptions and Hypothesis

  • The flow of the liquid through the thermal collector is considered turbulent and is incompressible.
  • The temperature dependence of the collector material was ignored due to small variations in collector temperature.
  • The rate of heat dissipation through the upper and back surfaces is identical.
  • The sky is regarded as a black body when it comes to longwave radiation with an equivalent sky temperature.
  • Ethyl vinyl acetate (EVA) is characterized by its complete transparency and ability to transmit light.
  • PVT top glass surface is considered dust-free, allowing the full transmission of energy from the Sun.
  • The sidewalls and the bottom of the PVT module are considered to be perfect insulators.
It is assumed that the ambient temperature and wind speed around the PVT collector are unchanged for the duration of the study, and the temperature around the PVT collectors is assumed to be uniform and does not change significantly with the location.

2.2.2. Numerical Calculation

Energy balance equation for PVT to the surroundings is [33]
E c = Q c + E t h + E e l
in which E c , Q c , E t h , and E e l represent the total incident PV cell power (W), heat loss (W), thermal power (W), and electric power, respectively (W).
The incident solar energy on the PVT module is [33]
E c = p c τ g α c G A c
The transmissivity of glass in the formula is τ g , the packing factor is p c , and the absorptivity of solar cells is α c . The terms G and A c are the solar irradiance (W/m2), and area of the PV cell (m2).
The magnitude of the lost solar energy from the PVT module is determined by [33]
Q c = h c T g T a m b A c
T g and T a m b represent the glass temperature (°C) and ambient temperature (°C).
Equation (4) presents the convection heat transfer coefficient, denoted as h c , that is valid for wind speeds, V (m/s), ranging from 0 to 10 m/s [32].
h c = 5.67 + 3.86 V
The incident energy is converted into electrical power, by considering the electrical efficiency of the module in Equation (5).
E e l = η e l E c
The electrical efficiency, denoted as η e l , is determined using the following calculation [34]:
η e l = η r e f [ 1 β r e f ( T c T r e f ) ]
The symbol η r e f represents the efficiency of the PV cell under normal (standard testing) conditions, with a solar irradiance of 1000 W/m2 and a reference temperature of 25 °C. The symbol β r e f denotes the thermal coefficient of the PV cell, which is a material-dependent value. For silicon PV cells, β r e f is equal to 0.0045/K [34]. TC is the cell temperature.
The thermal power received by the working fluid is determined by [18,35]
E t h = m ˙ C p w ( T o u t T i )
C p w , T o u t , and T i are defined as the specific heat of water (J/(Kg·K)), the outlet, and the inlet temperatures of the fluid (°C). The water mass flow rate is denoted by m ˙ .
Equations (8) and (9) are employed to evaluate the thermal efficiency [36] and overall efficiency [37], respectively.
η t h = E t h E c
η t o l = E t h + E e l E c
where η t h and η t o l are thermal efficiency and overall efficiency.
The power consumption equation of the circulating pump [38,39] is
Q p = m ˙ g H η p
Subtracting the power consumed by the pump, the total power received by the PVT system is given by Equation (11) below [19]:
Q m a x = E e l + E t h Q p
where Q m a x , g ,   H , η p , and Q p are the maximum power, gravitational acceleration, pump head (m), pump efficiency, and power consumed by the pump.
The Reynolds number represents the ratio of inertial forces to viscous forces in a flow field, which in turn determines the regime of the flow as either laminar or turbulent. The value of this dimensionless number is determined by [19]
R e = U 0 D h v
where R e , U 0 ,   D h , and v are the Reynolds number, inlet flow velocity (m/s), hydraulic diameter (m), and fluid kinematic viscosity (m2/s2).
The hydraulic mean diameter refers to the diameter of a noncircular conduit that has been transformed into an equivalent circular shape in order to simplify the calculations while maintaining accuracy. The hydraulic mean diameter is defined as [40]
D h = 4 A f P w e t
where A f and P w e t are the flow cross-section and the wetted perimeter of the channel.

2.2.3. Governing Equations

In photovoltaic–thermal (PVT) systems, the three-dimensional heat conduction equation is written as
k d ρ C p 2 T d x 2 + 2 T d y 2 + 2 T d z 2 = 0
where k d , C p   ,     ρ   , and T d are the thermal conductivity (W/(m/K)), specific heat (J/(Kg·K)), the density (kg/m3) of the duct wall material, and the duct wall temperature (°C).
The following governing equations in cartesian coordinates are the mass conservation, momentum conservation (Navier–Stokes equations), and the energy equation, respectively:
u x + ν y + w z = 0
ρ u u x + ν u x + w u x = p x + μ 2 u x 2 + 2 u y 2 + 2 u z 2
ρ u v y + ν v y + w v y = p y + μ 2 ν x 2 + 2 ν y 2 + 2 ν z 2
ρ u w z + v w z + w w z = p z + μ 2 w x 2 + 2 w y 2 + 2 w z 2
ρ C p w u T w x + ν T w y + w T w z = k w 2 T w x 2 + 2 T w y 2 + 2 T w z 2
where u , ν , w , and p are the x, y, and z components of fluid velocity (m/s) and pressure (Pa). Tw is the fluid (water temperature).

2.2.4. Boundary Conditions

Figure 4 illustrates a schematic depiction of the heat exchange process. Depending on the actual external environment, the following boundary conditions are set [32]:
The convective heat exchange between the ambient air and the PVT top glass surface is
k g T g z = h c ( T a m b T g )
The longwave radiation from the top glass to the sky is considered insignificant. At the boundaries of the fluid domain, both at the top and bottom walls,
u = v = w = 0
The sidewalls and the bottom of the PVT module are considered to be perfectly insulated; hence, a zero-temperature gradient exists:
T s n = 0
At the interface between the solid and fluid domains,
T d n w = k d k w T d n d
At the entrance of the duct,
u = u i , v = 0 , w = 0 ,   a n d   T = T i
At the exit of the duct, the gauge pressure is assumed to be zero:
p = 0

2.3. Independence from the Grid, as Well as Model Confirmation

2.3.1. Iterative Convergence Test

The iterative relative error and convergence criteria in numerical study can be adjusted based on the unique problem and desired level of accuracy, in order to obtain reliable numerical solutions. In numerical studies, results are typically generated via iterative processes. The stability and convergence of the numerical solution are assessed by measuring the relative difference between the solution after each iterative calculation and the solution from the previous iteration. Generally, if the iterative relative error falls below a predetermined threshold, we can conclude that the solution has reached convergence. The convergence criterion is used to establish the threshold for the iterative relative error. A user-defined parameter is utilized to assess the accuracy of the numerical solution and the rate at which convergence occurs. In general, a smaller convergence criterion results in more numerical precision but it may also lead to longer calculation time. The numerical study was performed with a total of 1000 iterations, and the convergence threshold was set to a relative tolerance of 0.001, equivalent to 0.1%. This value falls within an acceptable range. The simulation demonstrated a progressive convergence of the relative error, reaching consistency with the tolerance level of 0.001 by the 22nd iteration.

2.3.2. Grid Convergence Test

A series of tests were conducted to verify the effects of variations in environmental conditions to determine the ideal grid fine-tuning and grid finishing under specific parameters: radiation intensity of 1000 W/m2, mass flow rate of 0.1 kg/s, and ambient temperature of 29 °C. The decentralization of the partitioned region is a crucial phase for partitioning a finite grid. The cell temperature, surface temperature, and outlet temperature are the designated variables of reference. To optimize the grid size, it is necessary to continuously refine it based on the specific conditions of the different reference variables in order to select the most optimal size. The arrangement of the grid divisions and the outcome of the reference variables are depicted in Table 4. Table 4 demonstrates that as the grid becomes finer, the time required for modifying the model increases. Additionally, when the number of grid divisions reaches a particular threshold, the cell temperature, surface temperature, and outlet temperature variables tend to stabilize. As shown in Figure 6, in this simulation experiment, the grid is partitioned into extra coarse cells.

2.3.3. Model Validation

The accuracy of the numerical results is confirmed when compared to the reported results by Parvin et al. [32]. The simulation in their experiments utilized a nine-layer model of the PVT structure, with the backplane structure without a convex hull. Table 2 and Table 3 present the materials, dimensions, thermophysical properties, and photovoltaic module parameters of the PVT model. The radiation intensity spans in a range of 200 to 1000 W/m2, with an input speed of 1.814 mm/s. The ambient temperature is maintained at 29 °C, while the air velocity is 2.45 m/s. Table 5 presents the maximum surface temperature, which exhibits a high level of concurrence with the conclusions drawn by Parvin et al. This observation suggests that the numerical outcomes of the simulations demonstrate a robust level of precision (see Figure 7).

3. Results and Discussion

First, this study examines the influence of various convex hull designs, hull volumes, and collector materials on the heat transfer properties and efficiency of the collector. Secondly, the study focuses on investigating the impact of varying inlet temperatures, mass flow rates, and radiation intensities on the performance of a specific PVT collector structure. Ultimately, the optimal mass flow rate into the PVT collector was determined for various locations and considering the pump’s influence. The governing equations are solved using numerical methods. The computation is based on an ambient and inlet temperature of 29 °C, a mass flow rate of 0.1 kg/s, a radiation intensity of 1000 W/m², and a constant air velocity of 2.45 m/s. The flow regime was considered turbulent due to the presence of the convex hulls. Also, the study was performed for a steady-state condition.

3.1. Comparison of Different Convex Hull Shapes

Different convex hull shapes have significant impacts on the thermal–electric performance of the PVT system. To investigate their effects on the thermal–electric performance of the PVT system, under the simulation conditions of a convex hull volume of ‘volume 2’, the impact of changing the shape of the convex hull on the performance of the PVT system was investigated. The simulation results are shown in Figure 8 and Figure 9.
From the analysis of Figure 8a,b, it can be inferred that the cylindrical convex hull 3 has superior thermal–electric performance at constant mass flow. The thermal–electric performance of the conical convex hull 3 and the hemispherical convex hull is comparable, whereas the conical convex hulls 1, 2, and 3 demonstrate the lowest thermal–electric performance. When comparing the cylindrical convex hull 3 with the conical convex hull 1, the cylindrical convex hull 3 exhibits enhancements of 1.73% and 8.29% in electrical power and thermal power, respectively. In addition, the electrical power increases by 2.2 W and the thermal power increases by 59.2 W. From the analysis of Figure 8a,b, it can be inferred that, when the number and volume of convex hulls in the PVT collector are kept constant, selecting the cylindrical convex hull 3 (thin and tall cylinder) is the optimal choice for achieving the maximum electrical power at a given mass flow rate. The cylindrical convex hull 3 is more effective than other convex hull forms in inducing flow disturbance, hence disrupting the laminar boundary layer and enhancing the turbulent mixing of the fluid. It is known that turbulent flow is superior in terms of fluid mixing and heat dissipation compared to laminar flow. The enhanced heat exchange and improved heat dissipation result in a reduction in the cell temperature, hence causing a rise in the power produced by the PVT system as the electrical efficiency of a PV cell is adversely affected by its temperature. When comparing convex hulls of identical shapes, it is seen that the thermoelectric performance improves as the ratio of the height of the convex hull to its base area increases. This is due to the fact that higher convex hulls are more efficient at disrupting the smooth boundary layer and inducing a transition to turbulent flow. The heightened intricacy of the fluid flow path caused by elevated convex hulls results in a more convoluted flow in the channel, which prolongs the interaction time between the fluid and the channel walls and improves the chances for heat exchange.
The circulating pump is responsible for supplying the necessary external energy input to facilitate the flow of the coolant. Its major function is to carry away the heat generated by the PVT system, which may then be utilized for various applications. The power consumption of the pump is directly correlated with the pressure drop, meaning that as the pressure drop grows, so does the power consumption. Based on the data presented in Figure 9a, it can be observed that the cylindrical convex hull 3 exhibits the greatest pressure drop, whilst the conical convex hull 1 has the least pressure drop. In the same category of shapes, the pressure drop rises as the height grows. The reason behind an increased pressure loss in the case of the taller shapes is the increased contact surface area. Examining the dimensions listed in Table 1 indicates that the cylinder surface area of the tallest cylinder is 1.59 times greater than the shortest cylinder. A shape with increased height enhances the contact area between the fluid and the surface of the shape, therefore augmenting the frictional force between the fluid and the solid, which in turn leads to a higher loss in pressure. Figure 9b demonstrates that the magnitude of the outlet temperature fluctuation is minimal and remains rather stable. Because of the large inlet mass flow rate and the lesser thermal performance differences between different convex hull shapes, the outlet temperature differences between different convex hull shapes are less. The thermoelectric performance of the PVT system is significantly influenced by the cell temperature and outlet temperature. As the cell temperature rises, the resistance of the cell also increases, resulting in a decline in the electrical performance of the PV cells. The decline in electrical efficiency of the PV cells, coupled with a rise in surface temperature, can lead to overheating and a reduction in the cell’s lifespan. Figure 9b shows that the conical convex hull 1 has the highest average surface temperature of 41.9 °C, while the cylindrical convex hull 3 has the lowest average surface temperature of 38.07 °C. The cell temperature change has a similar trend to that of the average surface temperature.
The temperature distribution of the backplane in PVT is a crucial indicator for assessing its performance and significantly impacts its overall operation. Varying distributions of convex hull shapes can greatly impact the backplane temperature. Uneven temperature distribution on the backplane causes uneven heat propagation in the system, leading to inconsistent heat loss and impacting the system’s thermal efficiency. Uneven temperature distribution on the backplane can cause thermal stress concentration, which raises the likelihood of system failure and decreases the system’s reliability and lifespan. The elevated temperature of the backplane will cause a reduction in the efficiency of photovoltaic cells, as their efficiency typically declines as temperature rises. Figure 10 compares various PVT backplane structural designs based on convex hull volume and quantity to evaluate performance indicators. The convex hull form of cylinder 3 has the most significant impact on lowering the backplane temperature of PVT. It creates a local convection heat exchange area with the surrounding region, enhancing heat transfer and improving heat dissipation. Conversely, the backplane of cone 1, which has a convex exterior form, exhibits the greatest temperature and the least effective heat dissipation among the nine PVT backplane structural configurations.

3.2. Investigating the Impact of Collector Materials

The choice of collector materials also has a substantial impact on the thermal–electric efficiency of the PVT system. In general, materials that offer better heat transfer coefficients and have proper specific heat capacities can improve the thermal–electric performance of the PVT system. To assess the effect of various collector materials on the efficiency of the PVT system, two specific convex hull structures, a hemisphere and a cylindrical convex hull 1, were selected, and the volume of both convex hull structures was selected as “volume 2”. The selected collector materials for comparison included copper, stainless steel, brass, and aluminum (the plate thicknesses were assumed to be the same). The selection of these four materials was based on their widespread availability in the market and their comparatively low cost in relation to other materials.
Figure 11 demonstrates that the selection of stainless steel as the collector material results in the lowest thermal–electric performance and overall output for both the hemisphere and cylindrical convex hull 1 constructions. In contrast, copper and aluminum exhibit the highest performance as collector materials. Copper demonstrates a 1.8% enhancement in electrical efficiency and a 9.2% boost in thermal efficiency when compared to stainless steel. The reason for this is that copper possesses a greater thermal conductivity, whereas stainless steel exhibits a lower thermal conductivity. A higher thermal conductivity signifies an enhanced potential for heat transfer, facilitating the faster transfer of heat to other components within a reduced time period. However, in actual applications, the higher cost and high density of copper contribute to increased transportation, installation, and material expenditures. In comparison, aluminum, used as a material for collecting heat, shows nearly equal thermal–electric performance as copper but at a considerably lower weight, which reduces the expenses for transportation and installation. Aluminum is far more affordable than copper in the market, resulting in reduced material expenses. Given these considerations, aluminum is the most suitable option as a collector material.
Figure 12 shows that using stainless steel as the collector material results in the highest surface temperature and cell temperature. These temperatures increase by 3.49 °C and 3.16 °C, respectively, compared to copper and aluminum. The reason for this is that stainless steel has a significantly poorer thermal conductivity in comparison to the other materials, leading to a reduced amount of heat being transferred to the cooling fluid when subjected to the same temperature differential. Consequently, the PVT system and the photovoltaic cell experience increased surface and cell temperatures due to the inability to dissipate the additional heat.

3.3. Investigating the Impact of Different Volumes of the Convex Hull Shapes

Because the volume of the convex hull shapes has a significant impact on the thermoelectric performance of the PVT system, Figure 13 and Figure 14 depict how the thermal–electric performance of the PVT system is affected by changes in the volume of the convex hull. The analysis considers two distinct convex hull structures: cylindrical structure 1 and cuboid structure 1. The fluctuation in the volume of the convex hull is of utmost importance in determining the thermal–electric efficiency of the PVT system. In order to determine the most suitable volume, an assessment was conducted on the impact of volume fluctuations on the PVT system. This evaluation considered several factors such as the production of electrical and thermal energy, variations in temperature, and changes in pressure. The selection of these two convex hull structures was based on the restricted vertical dimensions of the PVT system’s channels. These two designs, despite having the same volume, possess a reduced height, thereby enabling a broader range of volume fluctuations.
The data presented in Figure 13a,b illustrate that an increase in the volume of the convex hull can result in higher electrical and thermal power generation in PVT systems. This leads to an overall rise in the total power output and a decrease in the surface temperature and cell temperature of the PVT system. In Figure 13a, as the convex hull volume increases from volume 1 to volume 5, the electrical power experiences a 1.04% increase, and thermal power experiences a 7.3% increase. This occurs because an augmentation in the volume of the convex hull also leads to an augmentation in the surface area, so creating more external surface for heat transfer with the adjacent fluid and consequently enhancing convective efficiency. Modifying the convex hull volume can also impact the course of fluid flow and velocity distribution. Increased fluid velocities can augment the heat transfer coefficient, thereby enhancing convective heat transfer efficiency.
Figure 14a,b demonstrate that as the volume of the convex hull transitions from volume 1 to volume 5, there is a simultaneous fall in both the cell temperature and surface temperature. The reduction in temperature is of comparable magnitude in both cases. However, the temperature at the outlet gradually rises. In Figure 14a, when the volume increases from 1 to 5, the cell temperature decreases by 3.1 °C while the surface temperature decreases by 2.93 °C. Figure 14b shows a decrease of 5.12 °C in the cell temperature and a decrease of 4.82 °C in the surface temperature. This is due to the fact that an augmentation in the volume of the convex hull leads to a greater contact area between the surface of the convex hull and the fluid. Consequently, more heat is transferred away by the fluid, resulting in a reduction in both the temperature of the cell and the surface temperature. Figure 14c demonstrates a positive correlation between the increase in convex hull volume and the rise in pressure drop. The reason for this is that when the convex hull volume increases, so does its surface area which is in contact with the flowing fluid. This leads to higher frictional resistance, resulting in greater resistance encountered by the fluid during flow. This increase in resistance, in turn, contributes to a higher pressure loss.

3.4. Investigating the Impact of Different Mass Flow Rates, Inlet Temperature, and Irradiation

Because the influence of irradiation intensity, mass flow rate, and inlet temperature on the performance of the PVT system is not negligible, Figure 15 shows the influence of these factors on the thermoelectric performance. The radiation intensity directly affects the electric energy generated by the photovoltaic module and the heat absorbed by the heat collector. Secondly, the mass flow rate affects the heat exchange efficiency between the photovoltaic module and the heat collector. A higher mass flow rate can increase the heat transfer rate within the system. The final inlet temperature affects the heat transfer rate and thermal efficiency inside the system. Therefore, proper control of the inlet temperature is essential to ensure the stable operation and performance optimization of the PVT system.
Figure 15a demonstrates the correlation between irradiation intensity and the thermal and electrical performance of PVT systems. Electrical power and thermal power exhibit a linear relationship with radiation intensity. With an increase in irradiation intensity from 200 W/m2 to 1000 W/m2, the electrical power and thermal power see a respective rise of 98.7 W and 557.8 W. This was generally expected since an increased input energy should correspond to an increase in the output energy by a PVT system. A slight decrease in electrical efficiency is observed, which is due to elevated cell temperatures when there is more incident radiation on the panel. An increase in irradiation intensity results in more absorption of solar energy by the photovoltaic panel, leading to an increase in its thermal power. Some of this absorbed energy is dissipated as heat. Consequently, as the irradiation intensity rises, the amount of thermal power generated by the photovoltaic panel increases accordingly. In Figure 15a, the thermal efficiency of the PVT increases at first with the irradiation intensity and remains almost unchanged thereafter. A quantitative explanation for this is as follows: As the radiation intensity increases, the heat generated by the photovoltaic modules also increases. At a lower irradiation intensity, the thermal loss is relatively small and therefore the thermal efficiency is high. However, as the irradiation intensity increases, the heat loss also increases, resulting in a slower growth trend in thermal efficiency. A qualitative explanation of this is as follows: As the irradiation intensity increases, the heat generated by the photovoltaic modules also increases. When the thermal loss of photovoltaic modules and the thermal dissipation are reached, the thermal efficiency tends to stabilize. At higher radiation intensity, the heat dissipation gradually increases to match the heat generated by the photovoltaic module and stabilize the thermal efficiency.
Figure 15b demonstrates the correlation between mass flow rate and the thermal and electrical performance of PVT systems. It reveals that when the mass flow rate increases, both the thermal and electrical performance of the systems improve. With an increase in mass flow rate from 0.05 kg/s to 0.25 kg/s, the electrical efficiency and thermal efficiency see improvements of 1.9% and 13.7%, respectively. Additionally, there is a substantial enhancement in both electrical power and thermal power. This is due to the fact that an increase in mass flow rate results in a greater amount of cooling medium flowing through the system, thereby dissipating the heat from the PVT system and reducing its temperature. Consequently, there is an increase in both thermal efficiency and thermal power. Similarly, a drop in cell temperature leads to a rise in electrical efficiency and electrical power.
Figure 15c demonstrates the correlation between the fluid inlet temperature and the thermal and electrical performance of PVT systems. The figure demonstrates a progressive decline in performance as the inlet temperature increases. With an increase in the inlet temperature from 15 °C to 35 °C, there is a loss in electrical power of 9.47 W and also in thermal power of 294.15 W. And there is a considerable gain in electrical efficiency of 7.5% and thermal efficiency of 49.4%. The decline in the efficiency of solar cells is generally attributed to the rise in their operating temperature. This occurs due to the direct relationship between temperature and the activation of charge carriers. As the temperature increases, the thermal activation of charge carriers also increases. Consequently, this leads to a rise in carrier recombination and a subsequent decline in the electrical efficiency of the solar panel. Consequently, when the cooling medium enters the PVT system at a high temperature, it will result in an elevation of the solar panel’s temperature, subsequently diminishing its electrical efficiency and power output. When the temperature difference between the cooling medium entering the PVT system and the solid domain is small, less heat will be transported away via the cooling medium.
Figure 16 shows the temperature distribution of the backplane to present an analysis of how various mass flow rates impact the temperature distribution in the PVT system. Increasing the mass flow rate in the PVT system has a notable impact on the temperature distribution, as depicted in the figure. As mass flow increases, the average temperature of the PVT backplane falls to 4.08 °C. Enhancing the coolant flow rate removes more heat, resulting in a decrease in the backplane temperature. Therefore, boosting the coolant flow has a favorable effect on reducing the backplane temperature. Increasing the mass flow rate elevates the fluid flow velocity in the PVT system, thereby impacting heat transfer.

3.5. Exploring the Optimal Mass Flow Rate under Different Geographical Regions

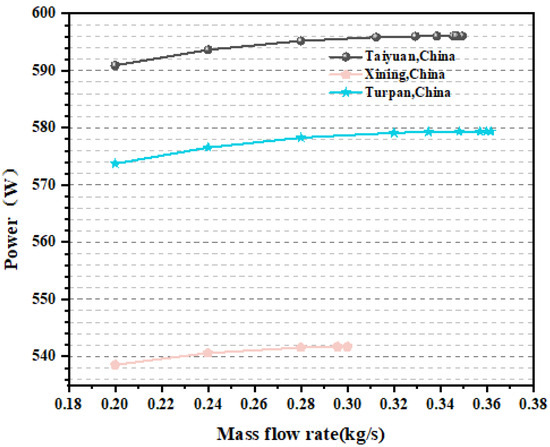
To explore the optimal mass flow under different geographic regions. Figure 17 is presented to show the results of the analyses of the maximum total power obtained in the PVT system after considering the electrical power consumed by the pump. The analysis focuses on three representative cities: Xining, Taiyuan, and Turpan in China. The average daily solar radiation intensity in July at these locations is used as the irradiance in the numerical study, and the local average temperature in July is used as the ambient temperature and the coolant inlet temperature. Based on actual usage scenarios, the optimal mass flow rate is identified. This approach aims to reduce the costs of the actual use of the PVT system and achieve the maximum economic benefit. Table 6 shows the weather data for the selected regions.
In Figure 17, the optimal mass flow rates in July for the cities of Xining, Taiyuan, and Turpan in China are 0.36 kg/s, 0.35 kg/s, and 0.30 kg/s, respectively. And, the overall efficiencies are 89.10%, 89.37%, and 89.27%, respectively. This is due to the lower ambient temperature and solar radiation intensity in Turpan in July. When the mass flow rate is too high, it does not significantly improve the thermal–electric performance. Increasing the mass flow rate leads to additional power consumption by the pump, while the additional mass flow rate does not boost the generation of power in the PVT system to compensate for the power consumed by the pump.

4. Conclusions

The current study examines different novel PVT configurations, assessing thermal and electrical performance, temperature, pressure drop, and cost as the criteria for evaluation. The studied convex shapes of PVT flow channel walls, including hemispheres, cylinders, cones, and cuboids, as well as different convex volumes and choices of collector materials. Moreover, the investigation of varying radiation intensities, inlet temperatures, and mass flow rates on the efficiency of PVT systems is also carried out. The optimal mass flow rates for the practical implementation of PVT systems in three geographical regions in China were identified and reported. As a result, this research yields the subsequent discoveries:
-
Among the configurations with equal volume, cylinder 3 exhibited superior thermal and electrical performance, characterized by the lowest surface and cell temperatures. Compared to cone 1, cylinder 3 demonstrated improvements in electrical and thermal efficiency of 1.73% and 8.29%, respectively. Additionally, the electrical and thermal power output increased by 2.1675 W and 59.19 W with cylinder 3.
-
After a detailed evaluation of thermal–electrical efficiency and cost, aluminum was determined to be the most cost-effective material for PVT collectors.
-
Increasing the convex volume showed a positive impact on improving thermal and electrical efficiency, as well as reducing surface and cell temperatures. When the convex volume of cylinder 1 was varied from 392 mm3 to 49,062 mm3, the electrical power increased by 1.04% and the thermal power increased by 7.3%.
-
Enhancements in the combined thermal–electrical efficiency of PVT systems were frequently accompanied by an elevation in pressure drop across the system.
-
Based on a single PVT configuration, the study identified optimal mass flow rates of 0.36 kg/s, 0.35 kg/s, and 0.30 kg/s for the cities of Xining, Taiyuan, and Turpan in China, respectively.
The findings of this research can serve as valuable resources for implementing PVT systems in many areas, facilitating the identification of the most suitable PVT setups according to individual circumstances. Varying designs possess distinct benefits and drawbacks. Ongoing numerical research aims to identify the most appropriate PVT configuration for specific projects by considering important factors such as the economy, the environment, and performance. The goal is to achieve cost-effectiveness, environmental friendliness, and superior performance. A PVT system with high thermal efficiency is used to optimize solar energy consumption. Furthermore, it is advisable to combine PVT systems with other renewable energy sources like wind and geothermal energy (wherever possible) to achieve multi-energy synergy and enhance the eco-friendliness of the system.

Author Contributions

Methodology, Z.W.; Software, Z.W. and G.H.; Validation, Y.S.; Investigation, G.H.; Writing—original draft, Z.W.; Writing—review & editing, G.H., H.T. and Y.S.; Supervision, Y.S. All authors have read and agreed to the published version of the manuscript.

Funding

This work is supported by the National Natural Science Foundation of China (62303364), the Fundamental Research Funds for the Central Universities (XJSJ23126), and the Qin Chuang Yuan High-Level Innovative Entrepreneurial Talent Project (QCYRCXM-2023-052).

Data Availability Statement

The original contributions presented in the study are included in the article, further inquiries can be directed to the corresponding authors.

Conflicts of Interest

The authors declare no conflict of interest.

Nomenclature

A c Area of PV cell (m2)
A f Flow channel cross-sectional area (m2)
C p Specific heat (J/(Kg·K))
C p w Specific heat of water (J/(Kg·K))
D h Hydraulic diameter (m)
E Rate of energy transfer (W)
G Solar irradiance (W/m2)
h c Heat transfer coefficient (W/(m2 K))
H The height of the convex hull (m)
k Thermal conductivity (W/(mK))
L The length of the convex hull (m)
m ˙ Mass flow rate (kg/s)
n Normal to the surface
p c Packing factor
p Pressure (Pa)
Q c Heat loss (W/m2)
Q Rate of heat generation (W)
Q m a x Maximum power (W)
R e Reynolds number
q Heat flux (W/m2)
T Temperature (°C)
u , ν , w Fluid velocity (m/s)
U 0 Inlet flow velocity (m/s)
V Wind velocity (m/s)
W The width of the convex hull (m)
Greek Symbols
β r e f Thermal coefficient of collector
μ Fluid dynamic viscosity (N/ms)
v Fluid kinematic viscosity (m2/s2)
ρ Fluid density (kg/m3)
η Efficiency
τ g Glass transmissivity
α c Absorptivity
Subscripts
a m b Ambient
c Cell
e l Electrical
d Duct
g Glass
i Inlet
o u t Outlet
r e f Reference
s Surface
t h Thermal
t o l Total
w Water

References

  1. Zou, C.; Ma, F.; Pan, S.; Zhao, Q.; Fu, G.; Zhang, G.; Yang, Y.; Yu, H.; Liang, Y.; Lin, M.; et al. Global energy transition revolution and the connotation and pathway of the green and intelligent energy system. Pet. Explor. Dev. 2023, 50, 722–740. [Google Scholar] [CrossRef]
  2. Khan, K.; Su, C.W.; Khurshid, A.; Qin, M. Does energy security improve renewable energy? A geopolitical perspective. Energy 2023, 282, 128824. [Google Scholar] [CrossRef]
  3. Kang, J.; Huang, D. Examining the Effect of Privatization on Renewable Energy Consumption in the Digital Economy under Economic Patriotism: A Nonlinear Perspective. Sustainability 2023, 15, 5864. [Google Scholar] [CrossRef]
  4. Jones, E.C.; Reyes, A. Identifying Themes in Energy Poverty Research: Energy Justice Implications for Policy, Programs, and the Clean Energy Transition. Energies 2023, 16, 6698. [Google Scholar] [CrossRef]
  5. Hou, G.; Xu, L.; Taherian, H.; Jiang, W.; Song, Y. Performance analysis of a hybrid solar-hydrogen-retired EV batteries (REVB) energy system with thermal-electrical loops. Int. J. Hydrogen. Energy 2023, 48, 27827–27840. [Google Scholar] [CrossRef]
  6. Hou, G.; Xu, L.; Liu, Z.; Chen, D.; Ru, H.; Taherian, H. Chapter 6—Solar-assisted geothermal heat pump systems: Current practice and future development. In Renewable Energy Production and Distribution; Jeguirim, M., Dutournié, P., Eds.; Academic Press: Cambridge, MA, USA, 2023; pp. 217–246. [Google Scholar] [CrossRef]
  7. Wazeer, A.; Das, A.; Vidya, S. Phase Change Materials for Solar Energy Applications. Trans. Indian Inst. Met. 2023, 76, 1155–1163. [Google Scholar] [CrossRef]
  8. Pourasl, H.H.; Barenji, R.V.; Khojastehnezhad, V.M. Solar energy status in the world: A comprehensive review. Energy Rep. 2023, 10, 3474–3493. [Google Scholar] [CrossRef]
  9. Hasan, M.M.; Hossain, S.; Mofijur, M.; Kabir, Z.; Badruddin, I.A.; Khan, T.M.Y.; Jassim, E. Harnessing Solar Power: A Review of Photovoltaic Innovations, Solar Thermal Systems, and the Dawn of Energy Storage Solutions. Energies 2023, 16, 6456. [Google Scholar] [CrossRef]
  10. Boekelo, M.; Kloppenburg, S. Energy platforms and the future of energy citizenship. Energy Res. Soc. Sci. 2023, 102, 103165. [Google Scholar] [CrossRef]
  11. Zhang, Y.; Zhu, N.; Zhao, X.; Luo, Z.; Hu, P.; Lei, F. Energy performance and enviroeconomic analysis of a novel PV-MCHP-TEG system. Energy 2023, 274, 127342. [Google Scholar] [CrossRef]
  12. Wang, A.S.; Wan, X.; Storch, D.-S.; Cornez, G.; Balthazart, J.; Cisneros-Franco, J.M.; De Villers-Sidani, E.; Sakata, J.T. Cross-species conservation in the regulation of parvalbumin by perineuronal nets. Front. Neural Circuits 2023, 17, 1297643. [Google Scholar] [CrossRef]
  13. Yao, C.; Zhao, M.; Ibrahim, B.; Saab, S. Anticoagulation for the Treatment of Portal Vein Thrombosis in Cirrhosis: A Systematic Review and Meta-Analysis of Comparative Studies. J. Clin. Exp. Hepatol. 2023, 13, 404–413. [Google Scholar] [CrossRef]
  14. Honn, K.A.; Van Dongen, H.P.A. Paradoxical effects from stimulus density manipulation provide new insight into the impact of sleep deprivation on PVT performance. SLEEP Adv. 2023, 4, zpac045. [Google Scholar] [CrossRef] [PubMed]
  15. Bae, S.; Chae, H.; Nam, Y. Experimental analysis of an integrated system using photovoltaic–thermal and air source heat pump for real applications. Renew. Energy 2023, 217, 119128. [Google Scholar] [CrossRef]
  16. Al-Shamani, A.N.; Sopian, K.; Mat, S.; Hasan, H.A.; Abed, A.M.; Ruslan, M.H. Experimental studies of rectangular tube absorber photovoltaic thermal collector with various types of nanofluids under the tropical climate conditions. Energy Convers. Manage. 2016, 124, 528–542. [Google Scholar] [CrossRef]
  17. Shahsavar, A.; Eisapour, M.; Talebizadehsardari, P. Experimental evaluation of novel photovoltaic/thermal systems using serpentine cooling tubes with different cross-sections of circular, triangular and rectangular. Energy 2020, 208, 118409. [Google Scholar] [CrossRef]
  18. Alshibil, A.M.A.; Farkas, I.; Víg, P. Multi-aspect approach of electrical and thermal performance evaluation for hybrid photovoltaic/thermal solar collector using TRNSYS tool. Int. J. Thermofluids 2022, 16, 100222. [Google Scholar] [CrossRef]
  19. Nahar, A.; Hasanuzzaman, M.; Rahim, N.A.; Parvin, S. Numerical investigation on the effect of different parameters in enhancing heat transfer performance of photovoltaic thermal systems. Renew. Energy 2019, 132, 284–295. [Google Scholar] [CrossRef]
  20. Joo, H.-J.; An, Y.-S.; Kim, M.-H.; Kong, M. Long-term performance evaluation of liquid-based photovoltaic thermal (PVT) modules with overheating-prevention technique. Energy Convers. Manag. 2023, 296, 117682. [Google Scholar] [CrossRef]
  21. Yu, Q.; Chan, S.; Chen, K.; Zhao, B.; Ren, X.; Pei, G. Numerical and experimental study of a novel vacuum Photovoltaic/thermal (PV/T) collector for efficient solar energy harvesting. Appl. Therm. Eng. 2024, 236, 121580. [Google Scholar] [CrossRef]
  22. Zhang, X.; Zhao, X.; Smith, S.; Xu, J.; Yu, X. Review of R&D progress and practical application of the solar photovoltaic/thermal (PV/T) technologies. Renew. Sustain. Energy Rev. 2012, 16, 599–617. [Google Scholar] [CrossRef]
  23. Jha, P.; Das, B.; Gupta, R.; Mondol, J.D.; Ehyaei, M.A. Review of recent research on photovoltaic thermal solar collectors. Sol. Energy 2023, 257, 164–195. [Google Scholar] [CrossRef]
  24. Herrando, M.; Wang, K.; Huang, G.; Otanicar, T.; Mousa, O.B.; Agathokleous, R.A.; Ding, Y.; Kalogirou, S.; Ekins-Daukes, N.; Taylor, R.A.; et al. A review of solar hybrid photovoltaic-thermal (PV-T) collectors and systems. Prog. Energy Combust. Sci. 2023, 97, 101072. [Google Scholar] [CrossRef]
  25. Arslan, E.; Can, Ö.F.; Koşan, M.; Demirtaş, M.; Aktekeli, B.; Aktaş, M. Numerical and experimental assessment of a photovoltaic thermal collector using variable air volume. Therm. Sci. Eng. Prog. 2023, 39, 101735. [Google Scholar] [CrossRef]
  26. Li, J.; Niu, M.; Liu, X.; Novakovic, V.; Dai, J.; Huang, J.; Kong, L.; Zhang, D.; Li, X. Experiment study on heat transfer enhancement of micro heat pipe PV/T by Reynolds number improvement. Energy 2023, 282, 128860. [Google Scholar] [CrossRef]
  27. Bae, S.; Chae, H.; Lyu, N.; Nam, Y. Development of photovoltaic-thermal using attachable solar collector based on on-site construction. Appl. Therm. Eng. 2024, 238, 121971. [Google Scholar] [CrossRef]
  28. Maseer, M.M.; Ismail, F.B.; Kazem, H.A.; Wai, L.C.; Al-Gburi, K.A.H. Optimal evaluation of photovoltaic-thermal solar collectors cooling using a half-tube of different diameters and lengths. Sol. Energy 2024, 267, 112193. [Google Scholar] [CrossRef]
  29. Xie, Y.; Zhou, J.; Bisengimana, E.; Jiang, F.; Ji, W.; Sun, L.; Zhao, K.; Yuan, Y. Exergy performance assessment of a novel air-cooled photovoltaic thermal collector with a double serpentine runner. Appl. Therm. Eng. 2024, 236, 121330. [Google Scholar] [CrossRef]
  30. Zareie, Z.; Ahmadi, R.; Asadi, M. A comprehensive numerical investigation of a branch-inspired channel in roll-bond type PVT system using design of experiments approach. Energy 2024, 286, 129452. [Google Scholar] [CrossRef]
  31. Nahar, A.; Hasanuzzaman, M.; Rahim, N.A. Numerical and experimental investigation on the performance of a photovoltaic thermal collector with parallel plate flow channel under different operating conditions in Malaysia. Sol. Energy 2017, 144, 517–528. [Google Scholar] [CrossRef]
  32. Azad, A.K.; Parvin, S. Photovoltaic thermal (PV/T) performance analysis for different flow regimes: A comparative numerical study. Int. J. Thermofluids 2023, 18, 100319. [Google Scholar] [CrossRef]
  33. Fayaz, H.; Rahim, N.A.; Hasanuzzaman, M.; Rivai, A.; Nasrin, R. Numerical and outdoor real time experimental investigation of performance of PCM based PVT system. Sol. Energy 2019, 179, 135–150. [Google Scholar] [CrossRef]
  34. Joshi, A.S.; Tiwari, A.; Tiwari, G.N.; Dincer, I.; Reddy, B.V. Performance evaluation of a hybrid photovoltaic thermal (PV/T) (glass-to-glass) system. Int. J. Therm. Sci. 2009, 48, 154–164. [Google Scholar] [CrossRef]
  35. Alktranee, M.; Shehab, M.A.; Németh, Z.; Bencs, P.; Hernadi, K.; Koós, T. Energy and exergy assessment of photovoltaic-thermal system using tungsten trioxide nanofluid: An experimental study. Int. J. Thermofluids 2022, 16, 100228. [Google Scholar] [CrossRef]
  36. Zaite, A.; Belouaggadia, N.; Abid, C.; Kaiss, A.; Kanso, H. Integrate of night radiative cooling technology using a photovoltaic thermal collector under three different climates. Int. J. Thermofluids 2022, 16, 100252. [Google Scholar] [CrossRef]
  37. Fayaz, H.; Rahim, N.A.; Hasanuzzaman, M.; Nasrin, R.; Rivai, A. Numerical and experimental investigation of the effect of operating conditions on performance of PVT and PVT-PCM. Renew. Energy 2019, 143, 827–841. [Google Scholar] [CrossRef]
  38. Hu, C.; Lang, J.; Xie, Y.; Wang, M.; Liu, X.; Tang, N.; Cui, Z.; Zhang, S. Pumping performance analysis of negative ion based neutral beam injector cryosorption pump prototype. Fusion Eng. Des. 2023, 189, 113469. [Google Scholar] [CrossRef]
  39. Alamer, F.; Alanazi, A.T. The Impact of Smart Pump Technology in the Healthcare System: A Scope Review. Cureus 2023. [CrossRef]
  40. Chandrabalan, L.; Baier, M.; Meloni, R.; Pieri, M.; Ammannato, L.; Del Puglia, E.; Carmignato, S. Non-Destructive Assessment of the Functional Diameter and Hydrodynamic Roughness of Additively Manufactured Channels. Appl. Sci. 2023, 13, 5911. [Google Scholar] [CrossRef]
Figure 1. The PVT backplane structure.
Figure 1. The PVT backplane structure.
Energies 17 02429 g001
Figure 2. The parallel-plate structure of PVT.
Figure 2. The parallel-plate structure of PVT.
Energies 17 02429 g002
Figure 3. The numerical methodology flowchart.
Figure 3. The numerical methodology flowchart.
Energies 17 02429 g003
Figure 4. Nine-layered flat-plate PVT collector.
Figure 4. Nine-layered flat-plate PVT collector.
Energies 17 02429 g004
Figure 5. Different PVT backplane structure design.
Figure 5. Different PVT backplane structure design.
Energies 17 02429 g005
Figure 6. Three-dimensional finite element mesh.
Figure 6. Three-dimensional finite element mesh.
Energies 17 02429 g006
Figure 7. Comparison with the experimental results of Parvin et al. [32].
Figure 7. Comparison with the experimental results of Parvin et al. [32].
Energies 17 02429 g007
Figure 8. Comparing the impact of different convex hull shapes on the thermal–electric performance of PVT systems: (a) electrical power, (b) thermal power.
Figure 8. Comparing the impact of different convex hull shapes on the thermal–electric performance of PVT systems: (a) electrical power, (b) thermal power.
Energies 17 02429 g008
Figure 9. Comparing the impact of different convex hull shapes on the pressure drop and temperature of PVT systems: (a) pressure drop and (b) temperature.
Figure 9. Comparing the impact of different convex hull shapes on the pressure drop and temperature of PVT systems: (a) pressure drop and (b) temperature.
Energies 17 02429 g009
Figure 10. Effect of different convex hull shapes on the temperature distribution of the backplane in PVT.
Figure 10. Effect of different convex hull shapes on the temperature distribution of the backplane in PVT.
Energies 17 02429 g010
Figure 11. Comparing the effects of different collector materials on the thermal–electric performance of PVT systems: (a) electric power, (b) electric efficiency, (c) thermal power, and (d) thermal power efficiency.
Figure 11. Comparing the effects of different collector materials on the thermal–electric performance of PVT systems: (a) electric power, (b) electric efficiency, (c) thermal power, and (d) thermal power efficiency.
Energies 17 02429 g011
Figure 12. Comparing the effects of different collector materials on the temperature of PVT systems: (a) surface temperature and (b) cell temperature.
Figure 12. Comparing the effects of different collector materials on the temperature of PVT systems: (a) surface temperature and (b) cell temperature.
Energies 17 02429 g012
Figure 13. Comparing the influence of different convex hull volumes on the thermoelectric performance of PVT systems.
Figure 13. Comparing the influence of different convex hull volumes on the thermoelectric performance of PVT systems.
Energies 17 02429 g013
Figure 14. Comparing the effects of different convex hull volumes on the pressure drop and temperature of PVT systems: (a) cylinder1 with aluminum, (b) cuboid1 with aluminum, and (c) pressure drop.
Figure 14. Comparing the effects of different convex hull volumes on the pressure drop and temperature of PVT systems: (a) cylinder1 with aluminum, (b) cuboid1 with aluminum, and (c) pressure drop.
Energies 17 02429 g014
Figure 15. Comparing the effects of different mass flow rates, inlet temperature, and irradiation of PVT systems: (a) The effects of different irradiation, (b) the effects of different mass flow rates, and (c) the effects of different inlet temperature.
Figure 15. Comparing the effects of different mass flow rates, inlet temperature, and irradiation of PVT systems: (a) The effects of different irradiation, (b) the effects of different mass flow rates, and (c) the effects of different inlet temperature.
Energies 17 02429 g015
Figure 16. Effect of different mass flow rates on the temperature distribution of the backplane in PVT.
Figure 16. Effect of different mass flow rates on the temperature distribution of the backplane in PVT.
Energies 17 02429 g016
Figure 17. The optimal mass flow rate under different geographical regions.
Figure 17. The optimal mass flow rate under different geographical regions.
Energies 17 02429 g017
Table 1. Geometric parameters of selected configurations (Rcyl1 = 10 mm).
Table 1. Geometric parameters of selected configurations (Rcyl1 = 10 mm).
The Convex Hull ShapeConvex Hull Size Relationships
HemispheroidRhem = 1.145 Rcyl1
Cylinder1Rcyl1 = Rcyl1, Hcyl1 = Rcyl1
Cylinder2Rcyl2 = 0.793 Rcyl1, Hcyl2 = 1.586 Rcyl1
Cylinder3Rcyl3 = 0.630 Rcyl1, Hcyl3 = 2.520 Rcyl1
Cone1Rcon1 = 1.818 Rcyl1, Hcon1 = 0.909 Rcyl1
Cone2Rcon2 = 1.440 Rcyl1, Hcon2 = 1.440 Rcyl1
Cone3Rcon3 = 1.140 Rcyl1, Hcon3 = 2.309 Rcyl1
Cuboid1Wcub1 = Lcub1 = 1.845 Rcyl1, Hcub1 = 0.923 Rcyl1
Cuboid2Wcub2 = Lcub2 = 1.465 Rcyl1, Hcub2 = 1.465 Rcyl1
Cuboid3Wcub3 = Lcub3 = 1.162 Rcyl1, Hcub3 = 2.324 Rcyl1
Table 2. Photovoltaic module parameters and values.
Table 2. Photovoltaic module parameters and values.
ParametersValues
The number in the length direction14
The number in the width direction11
The convex hull volume392.5 mm3, 3140 mm3,10,597.5 mm3, 25,120 mm3, 49,062.5 mm3
Glass transmissivity0.95
Module reference efficiency at STC0.13
Cell material absorptivity0.9
Packing factor0.95
Solar irradiation200 W/m2–1000 W/m2
Ambient temperature29 °C
Mass flow rate0.05 kg/s, 0.10 kg/s, 0.15 kg/s, 0.20 kg/s, 0.25 kg/s
Inlet temperature15 °C, 20 °C, 25 °C, 30 °C, 35 °C
Air velocity2.45 m/s
Table 3. Layer materials of the PVT, their dimensions, and their thermophysical properties.
Table 3. Layer materials of the PVT, their dimensions, and their thermophysical properties.
PVT ComponentLayerDimension (mm)Density [kg/m3]Conductivity [W/(m·K)]Heat Capacity at Constant Pressure [J/(kg·K)]
GlassTop cover1350 × 920 × 324502500
EVAEncapsulant1350 × 920 × 0.89500.3112090
SiliconSolar1350 × 920 × 0.12329148700
TedlarBottom cover1350 × 920 × 0.0512000.151250
Thermal pasteConductor1350 × 920 × 0.326001.9700
FluidWater1350 × 920 × 309980.684200
AluminumCollector wall1350 × 920 × 12700237900
CopperCollector wall1350 × 920 × 18700385400
BrassCollector wall1350 × 920 × 18390129380
Stainless steelCollector wall1350 × 920 × 1793016.3500
Table 4. Grid-independent test at solar irradiation G = 1 000 W/m2, inlet temperature 29 °C, and mass flow rate m ˙ = 0 .1 kg/s.
Table 4. Grid-independent test at solar irradiation G = 1 000 W/m2, inlet temperature 29 °C, and mass flow rate m ˙ = 0 .1 kg/s.
Mesh SizeTc (°C)Tout (°C)Ts (°C)
Extremely Coarse39.6730.5342.16
Extra Coarse36.5130.6439.19
Coarse36.3730.6539.06
Coarser36.2730.6438.96
Table 5. Comparison with the experimental results of Parvin et al. [32].
Table 5. Comparison with the experimental results of Parvin et al. [32].
Solar Irradiation G (W/m2)Tsurface Parvin et al. (°C)Present Study (°C)
20044.545.3
40041.442.1
60038.438.8
80035.435.5
100032.332.3
Table 6. Weather data for the different regions.
Table 6. Weather data for the different regions.
RegionsAverage July Temperature (°C)Radiation Intensity (W/m2)
Xining, China17.2649
Taiyuan, China23.5667
Turpan, China32.7608
Disclaimer/Publisher’s Note: The statements, opinions and data contained in all publications are solely those of the individual author(s) and contributor(s) and not of MDPI and/or the editor(s). MDPI and/or the editor(s) disclaim responsibility for any injury to people or property resulting from any ideas, methods, instructions or products referred to in the content.

Share and Cite

MDPI and ACS Style

Wang, Z.; Hou, G.; Taherian, H.; Song, Y. Numerical Investigation of Innovative Photovoltaic–Thermal (PVT) Collector Designs for Electrical and Thermal Enhancement. Energies 2024, 17, 2429. https://doi.org/10.3390/en17102429

AMA Style

Wang Z, Hou G, Taherian H, Song Y. Numerical Investigation of Innovative Photovoltaic–Thermal (PVT) Collector Designs for Electrical and Thermal Enhancement. Energies. 2024; 17(10):2429. https://doi.org/10.3390/en17102429

Chicago/Turabian Style

Wang, Ziqiang, Gaoyang Hou, Hessam Taherian, and Ying Song. 2024. "Numerical Investigation of Innovative Photovoltaic–Thermal (PVT) Collector Designs for Electrical and Thermal Enhancement" Energies 17, no. 10: 2429. https://doi.org/10.3390/en17102429

APA Style

Wang, Z., Hou, G., Taherian, H., & Song, Y. (2024). Numerical Investigation of Innovative Photovoltaic–Thermal (PVT) Collector Designs for Electrical and Thermal Enhancement. Energies, 17(10), 2429. https://doi.org/10.3390/en17102429

Note that from the first issue of 2016, this journal uses article numbers instead of page numbers. See further details here.

Article Metrics

Back to TopTop