Enhancing Probabilistic Solar PV Forecasting: Integrating the NB-DST Method with Deterministic Models
Abstract
1. Introduction
2. NB-DST Method for Day-Ahead Solar PV Forecasting
2.1. Data Collection
2.2. Deterministic Forecasting Methods and Forecast Errors
2.3. Probability Estimation with the NB Method
2.4. Review of the DST
- (1)
- , where denotes the empty set
- (2)
- where is the degree of belief assigned to event .
2.5. Incorporating Evidence from NB Classifiers Using the DST
3. Performance Metrics for Evaluating Probabilistic Forecasts
3.1. Continuous Rank Probability Score
3.2. Brier Score
3.3. Prediction Interval Coverage Probability
3.4. Prediction Interval Normalized Average Width
3.5. Coverage Width Criterion
4. Case Study
4.1. Data Collection and Selection
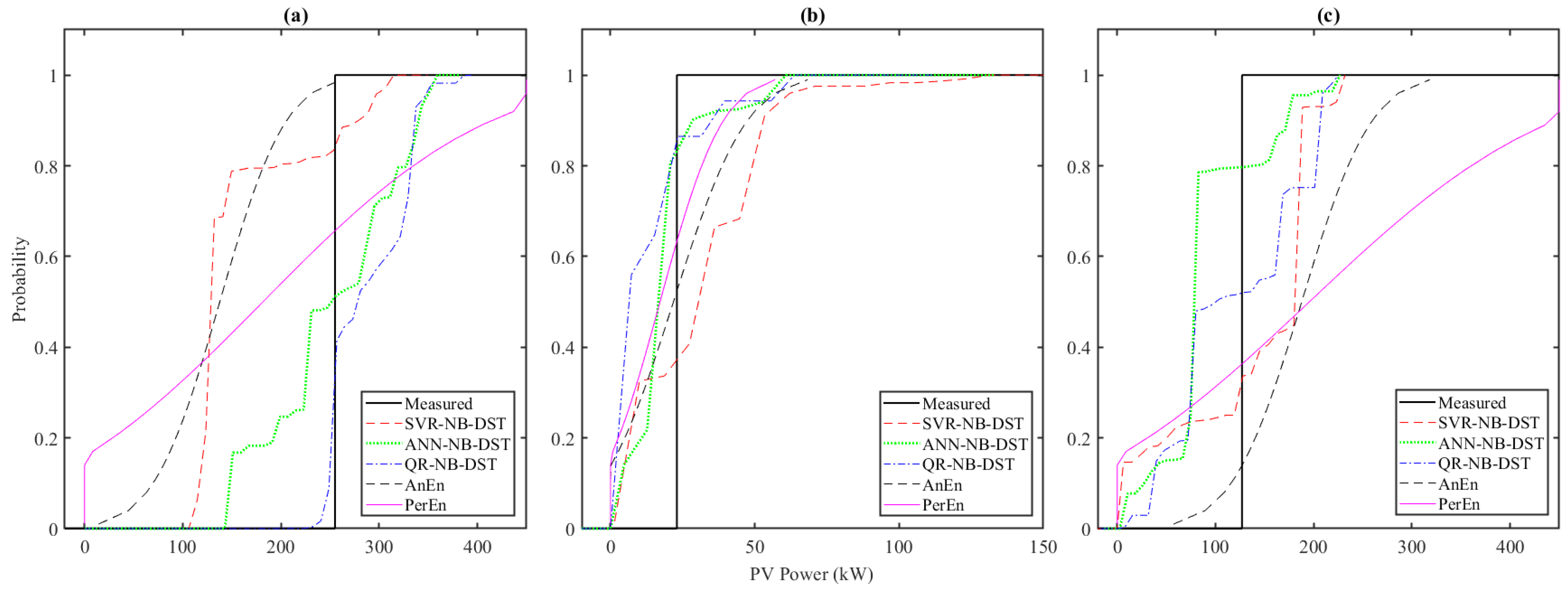
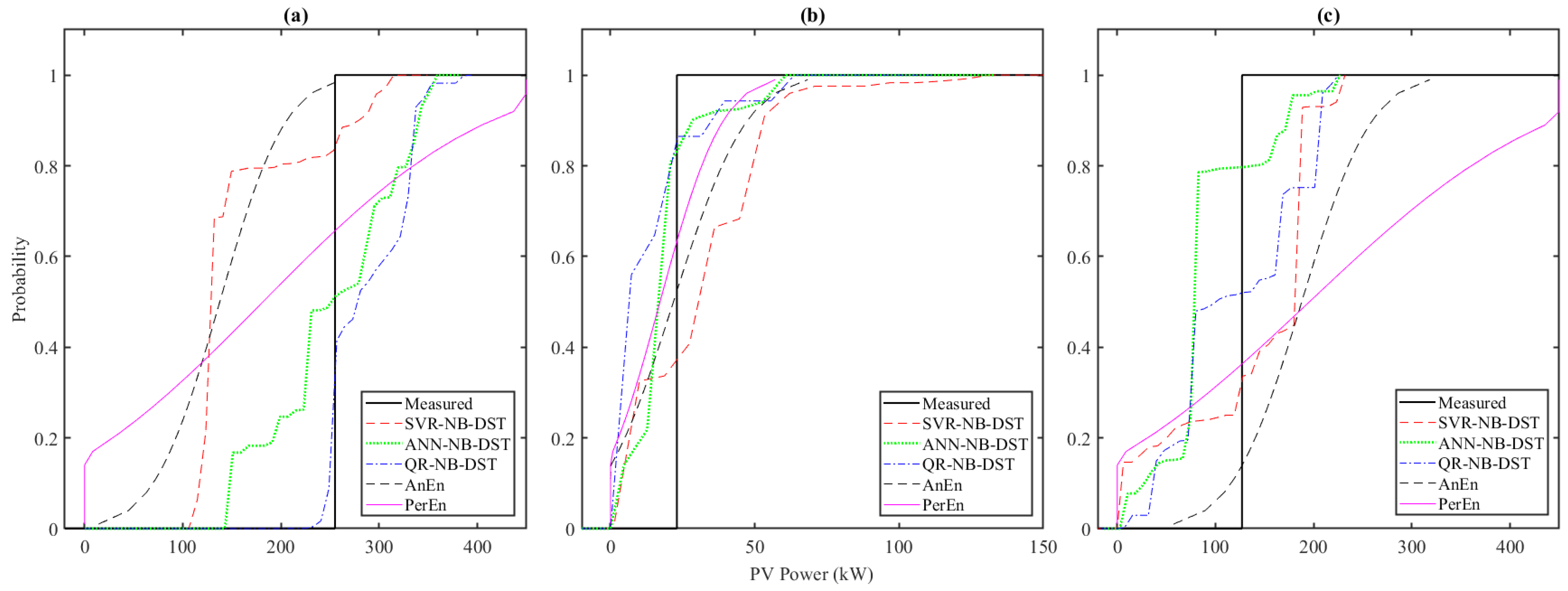
4.2. Performance Evaluation under “Clear” Weather Conditions
4.3. Performance Evaluation under “Overcast” Weather Conditions
4.4. Performance Evaluation under “Partially Cloudy” Weather Conditions
4.5. Overall Comparative Analysis
5. Conclusions and Future Work
Author Contributions
Funding
Data Availability Statement
Conflicts of Interest
References
- Li, B.; Zhang, J. A review on the integration of probabilistic solar forecasting in power systems. Sol. Energy 2020, 210, 68–86. [Google Scholar] [CrossRef]
- González, J.M.M.; Conejo, A.J.; Madsen, H.; Pinson, P.; Zugno, M. Integrating Renewables in Electricity Markets: Operational Problems; Springer: New York, NY, USA, 2014; Volume 205, p. 429. [Google Scholar]
- Kaur, A.; Nonnenmacher, L.; Pedro, H.T.; Coimbra, C.F. Benefits of solar forecasting for energy imbalance markets. Renew. Energy 2016, 86, 819–830. [Google Scholar] [CrossRef]
- Notton, G.; Nivet, M.-L.; Voyant, C.; Paoli, C.; Darras, C.; Motte, F.; Fouilloy, A. Intermittent and stochastic character of renewable energy sources: Consequences, cost of intermittence and benefit of forecasting. Renew. Sustain. Energy Rev. 2018, 87, 96–105. [Google Scholar] [CrossRef]
- Gneiting, T.; Katzfuss, M. Probabilistic forecasting. Annu. Rev. Stat. Appl. 2014, 1, 125–151. [Google Scholar] [CrossRef]
- Abdel-Nasser, M.; Mahmoud, K. Accurate photovoltaic power forecasting models using deep LSTM-RNN. Neural Comput. Appl. 2019, 31, 2727–2740. [Google Scholar] [CrossRef]
- Aprillia, H.; Yang, H.-T.; Huang, C.-M. Short-term photovoltaic power forecasting using a convolutional neural network–salp swarm algorithm. Energies 2020, 13, 1879. [Google Scholar] [CrossRef]
- Michael, E.; Neethu, M.M.; Hasan, S.; Al-Durra, A. Short-term solar power predicting model based on multi-step CNN stacked LSTM technique. Energies 2022, 15, 2150. [Google Scholar] [CrossRef]
- Huang, X.; Li, Q.; Tai, Y.; Chen, Z.; Zhang, J.; Shi, J.; Gao, B.; Liu, W. Hybrid deep neural model for hourly solar irradiance forecasting. Renew. Energy 2021, 171, 1041–1060. [Google Scholar] [CrossRef]
- Zang, H.; Liu, L.; Sun, L.; Cheng, L.; Wei, Z.; Sun, G. Short-term global horizontal irradiance forecasting based on a hybrid CNN-LSTM model with spatiotemporal correlations. Renew. Energy 2020, 160, 26–41. [Google Scholar] [CrossRef]
- Pazikadin, A.R.; Rifai, D.; Ali, K.; Malik, M.Z.; Abdalla, A.N.; Faraj, M.A. Solar irradiance measurement instrumentation and power solar generation forecasting based on Artificial Neural Networks (ANN): A review of five years research trend. Sci. Total Environ. 2020, 715, 136848. [Google Scholar] [CrossRef]
- Yadav, A.P.; Kumar, A.; Behera, L. RNN based solar radiation forecasting using adaptive learning rate. In Proceedings of the Swarm, Evolutionary, and Memetic Computing: 4th International Conference, SEMCCO 2013, Chennai, India, 19–21 December 2013. [Google Scholar]
- Liu, C.-H.; Gu, J.-C.; Yang, M.-T. A simplified LSTM neural networks for one day-ahead solar power forecasting. IEEE Access 2021, 9, 17174–17195. [Google Scholar] [CrossRef]
- Feng, C.; Liu, Y.; Zhang, J. A taxonomical review on recent artificial intelligence applications to PV integration into power grids. Int. J. Electr. Power Energy Syst. 2021, 132, 107176. [Google Scholar] [CrossRef]
- Abuella, M.; Chowdhury, B. Solar power forecasting using support vector regression. In Proceedings of the International Annual Conference of the American Society for Engineering Management, Charlotte, NC, USA, 26–29 October 2016. [Google Scholar]
- Fentis, A.; Bahatti, L.; Mestari, M.; Tabaa, M.; Jarrou, A.; Chouri, B. Short-term PV power forecasting using support vector regression and local monitoring data. In Proceedings of the 2016 International Renewable and Sustainable Energy Conference (IRSEC), Marrakech, Morocco, 14–17 November 2016. [Google Scholar]
- Abuella, M.; Chowdhury, B. Hourly probabilistic forecasting of solar power. In Proceedings of the 2017 North American Power Symposium (NAPS), Morgantown, WV, USA, 17–19 September 2017. [Google Scholar]
- Mohammed, A.A.; Aung, Z. Ensemble learning approach for probabilistic forecasting of solar power generation. Energies 2016, 9, 1017. [Google Scholar] [CrossRef]
- Zhang, Y.-M.; Wang, H. Multi-head attention-based probabilistic CNN-BiLSTM for day-ahead wind speed forecasting. Energy 2023, 278, 127865. [Google Scholar] [CrossRef]
- Lauret, P.; David, M.; Pedro, H.T.C. Probabilistic solar forecasting using quantile regression models. Energies 2017, 10, 1591. [Google Scholar] [CrossRef]
- Alessandrini, S.; Monache, L.D.; Sperati, S.; Cervone, G. An analog ensemble for short-term probabilistic solar power forecast. Appl. Energy 2015, 157, 95–110. [Google Scholar] [CrossRef]
- Doubleday, K.; Jascourt, S.; Kleiber, W.; Hodge, B.-M. Probabilistic solar power forecasting using bayesian model averaging. IEEE Trans. Sustain. Energy 2020, 12, 325–337. [Google Scholar] [CrossRef]
- Najibi, F.; Apostolopoulou, D.; Alonso, E. Enhanced performance Gaussian process regression for probabilistic short-term solar output forecast. Int. J. Electr. Power Energy Syst. 2021, 130, 106916. [Google Scholar] [CrossRef]
- Wang, H.; Zhang, Y.-M.; Mao, J.-X. Sparse Gaussian process regression for multi-step ahead forecasting of wind gusts combining numerical weather predictions and on-site measurements. J. Wind. Eng. Ind. Aerodyn. 2022, 220, 104873. [Google Scholar] [CrossRef]
- Dahl, A.; Bonilla, E. Scalable Gaussian process models for solar power forecasting. In Proceedings of the Data Analytics for Renewable Energy Integration: Informing the Generation and Distribution of Renewable Energy: 5th ECML PKDD Workshop, DARE, Skopje, Macedonia, 22 September 2017. [Google Scholar]
- Wilson, N. Algorithms for dempster-shafer theory. In Handbook of Defeasible Reasoning and Uncertainty Management Systems: Algorithms for Uncertainty and Defeasible Reasoning; Springer: Dordrecht, The Netherlands, 2000; pp. 421–475. [Google Scholar]
- Wang, H.; Zhang, Y.-M.; Mao, J.-X.; Wan, H.-P. A probabilistic approach for short-term prediction of wind gust speed using ensemble learning. J. Wind Eng. Ind. Aerodyn. 2020, 202, 104198. [Google Scholar] [CrossRef]
- Yang, M.; Lin, Y.; Han, X. Probabilistic wind generation forecast based on sparse Bayesian classification and Dempster–Shafer theory. IEEE Trans. Ind. Appl. 2016, 52, 1998–2005. [Google Scholar] [CrossRef]
- Ng, A.; Jordan, M. On discriminative vs. generative classifiers: A comparison of logistic regression and naive bayes. Adv. Neural Inf. Process. Syst. 2001, 14, 841–848. [Google Scholar]
- Blázquez-García, A.; Conde, A.; Mori, U.; Lozano, J.A. A review on outlier/anomaly detection in time series data. ACM Comput. Surv. (CSUR) 2021, 54, 1–33. [Google Scholar] [CrossRef]
- Fushiki, T. Estimation of prediction error by using K-fold cross-validation. Stat. Comput. 2011, 21, 137–146. [Google Scholar] [CrossRef]
- Hastie, T.; Tibshirani, R.; Friedman, J.H.; Friedman, J.H. The Elements of Statistical Learning: Data Mining, Inference, and Prediction; Springer: New York, NY, USA, 2009; Volume 2. [Google Scholar]
- Kaltsounidis, A.; Karali, I. Dempster-Shafer Theory: How Constraint Programming Can Help. In Proceedings of the Information Processing and Management of Uncertainty in Knowledge-Based Systems: 18th International Conference, IPMU 2020, Lisbon, Portugal, 15–19 June 2020. [Google Scholar]
- van der Meer, D.; Munkhammar, J.; Widén, J. Probabilistic forecasting of solar power, electricity consumption and net load: Investigating the effect of seasons, aggregation and penetration on prediction intervals. Sol. Energy 2018, 171, 397–413. [Google Scholar] [CrossRef]
- Juban, J.; Siebert, N.; Kariniotakis, G.N. Probabilistic short-term wind power forecasting for the optimal management of wind generation. In Proceedings of the 2007 IEEE Lausanne Power Tech, Lausanne, Switzerland, 1–5 July 2007. [Google Scholar]
- Hersbach, H. Decomposition of the continuous ranked probability score for ensemble prediction systems. Weather Forecast. 2000, 15, 559–570. [Google Scholar] [CrossRef]
- Ferro, C.A. Comparing probabilistic forecasting systems with the Brier score. Weather Forecast. 2007, 22, 1076–1088. [Google Scholar] [CrossRef]
- Lauret, P.; David, M.; Pinson, P. Verification of solar irradiance probabilistic forecasts. Sol. Energy 2019, 194, 254–271. [Google Scholar] [CrossRef]
- Li, C.; Tang, G.; Xue, X.; Chen, X.; Wang, R.; Zhang, C. The short-term interval prediction of wind power using the deep learning model with gradient descend optimization. Renew. Energy 2020, 155, 197–211. [Google Scholar] [CrossRef]
- Solar Energy Technologies Office (SETO). American-Made Solar Forecasting Prize. 2021. Available online: https://www.energy.gov/eere/solar/american-made-solar-forecasting-prize (accessed on 31 March 2024).
- NYSERDA DER Integrated Data System. [Online]. Available online: https://der.nyserda.ny.gov/reports/view/performance/?project=318 (accessed on 26 August 2023).
- Inman, R.H.; Pedro, H.T.; Coimbra, C.F. Solar forecasting methods for renewable energy integration. Prog. Energy Combust. Sci. 2013, 39, 535–576. [Google Scholar] [CrossRef]
- Weather Data Services|Visual Crossing. [Online]. Available online: https://www.visualcrossing.com/weather/weather-data-services#/editDataDefinition (accessed on 26 August 2023).
- Hsing, T.; Liu, L.-Y.; Brun, M.; Dougherty, E.R. The coefficient of intrinsic dependence (feature selection using el CID). Pattern Recognit. 2005, 38, 623–636. [Google Scholar] [CrossRef]
- Liu, Z.; Zhang, Z. Solar forecasting by K-Nearest Neighbors method with weather classification and physical model. In Proceedings of the 2016 North American Power Symposium (NAPS), Denver, CO, USA, 18–20 September 2016. [Google Scholar]









| Weather Variable | Description | Unit |
|---|---|---|
| Temperature | Actual temperature | °C |
| Dew point | Dew point | °C |
| Wind chill | Wind chill factor | °C |
| Heat index | Heat index | °C |
| Feels like | Combination of temperature, wind chill, and heat index | °C |
| Humidity | Relative humidity | % |
| Precipitation | Amount of liquid equivalent precipitation | mm |
| Snow depth | Average amount of snow on the ground | cm |
| Wind speed | Wind speed at 10 m above ground | kmph |
| Wind direction | Direction of wind in reference to the north direction | degrees |
| Pressure | Sea level pressure | mbars |
| Cloud cover | Amount of sky covered with cloud | % |
| Visibility | Distance visible in daylight | km |
| Conditions | Weather condition reported by the weather station | none |
| Method | CRPS (%) | CRPS Decomposition | BS (%) | PICP (%) | PINAW | CWC | ||
|---|---|---|---|---|---|---|---|---|
| REL | RES | UNC | ||||||
| PerEn | 11.14 | 1.20 | 48.38 | 58.32 | 6.87 | 91.62 | 19.87 | 119.32 |
| AnEn | 15.38 | 1.51 | 44.45 | 58.32 | 7.44 | 84.71 | 14.67 | 88.12 |
| QR-NB-DST | 7.86 | 1.58 | 52.04 | 58.32 | 5.73 | 87.18 | 9.33 | 56.08 |
| SVR-NB-DST | 7.97 | 1.41 | 51.76 | 58.32 | 5.41 | 86.35 | 9.81 | 58.96 |
| ANN-NB-DST | 6.28 | 1.38 | 53.42 | 58.32 | 4.62 | 88.42 | 7.25 | 43.60 |
| Method | CRPS (%) | CRPS Decomposition | BS (%) | PICP (%) | PINAW | CWC | ||
|---|---|---|---|---|---|---|---|---|
| REL | RES | UNC | ||||||
| PerEn | 5.89 | 0.51 | 7.33 | 12.71 | 4.73 | 91.68 | 1316.20 | 7897.3 |
| AnEn | 6.21 | 0.54 | 7.04 | 12.71 | 5.61 | 89.54 | 1353.90 | 8123.5 |
| QR-NB-DST | 5.74 | 0.48 | 7.45 | 12.71 | 3.68 | 86.61 | 632.80 | 3796.9 |
| SVR-NB-DST | 6.78 | 0.39 | 6.32 | 12.71 | 3.87 | 85.47 | 670.94 | 4025.7 |
| ANN-NB-DST | 5.37 | 0.41 | 7.75 | 12.71 | 3.13 | 88.25 | 581.42 | 3488.6 |
| Method | CRPS (%) | CRPS Decomposition | BS (%) | PICP (%) | PINAW | CWC | ||
|---|---|---|---|---|---|---|---|---|
| REL | RES | UNC | ||||||
| PerEn | 9.30 | 0.55 | 33.93 | 42.68 | 5.24 | 90.86 | 27.67 | 166.12 |
| AnEn | 9.98 | 0.64 | 33.34 | 42.68 | 6.77 | 86.33 | 28.60 | 171.70 |
| QR-NB-DST | 8.15 | 0.65 | 35.18 | 42.68 | 5.72 | 88.28 | 16.92 | 101.62 |
| SVR-NB-DST | 8.55 | 0.78 | 34.91 | 42.68 | 5.28 | 84.91 | 17.37 | 104.32 |
| ANN-NB-DST | 6.21 | 0.49 | 36.96 | 42.68 | 3.94 | 87.89 | 13.24 | 79.54 |
| Method | CRPS (%) | CRPS Decomposition | BS (%) | PICP (%) | PINAW | CWC | ||
|---|---|---|---|---|---|---|---|---|
| REL | RES | UNC | ||||||
| PerEn | 8.72 | 0.76 | 29.44 | 37.40 | 5.61 | 91.41 | 480.42 | 2882.61 |
| AnEn | 10.48 | 0.90 | 27.82 | 37.40 | 6.59 | 86.91 | 492.26 | 2953.67 |
| QR-NB-DST | 7.20 | 0.91 | 31.11 | 37.40 | 5.00 | 87.32 | 232.01 | 1392.15 |
| SVR-NB-DST | 7.73 | 0.86 | 30.53 | 37.40 | 4.83 | 85.60 | 245.79 | 1474.82 |
| ANN-NB-DST | 5.94 | 0.76 | 32.23 | 37.40 | 3.88 | 88.20 | 212.01 | 1272.18 |
Disclaimer/Publisher’s Note: The statements, opinions and data contained in all publications are solely those of the individual author(s) and contributor(s) and not of MDPI and/or the editor(s). MDPI and/or the editor(s) disclaim responsibility for any injury to people or property resulting from any ideas, methods, instructions or products referred to in the content. |
© 2024 by the authors. Licensee MDPI, Basel, Switzerland. This article is an open access article distributed under the terms and conditions of the Creative Commons Attribution (CC BY) license (https://creativecommons.org/licenses/by/4.0/).
Share and Cite
Ahmad, T.; Zhou, N.; Zhang, Z.; Tang, W. Enhancing Probabilistic Solar PV Forecasting: Integrating the NB-DST Method with Deterministic Models. Energies 2024, 17, 2392. https://doi.org/10.3390/en17102392
Ahmad T, Zhou N, Zhang Z, Tang W. Enhancing Probabilistic Solar PV Forecasting: Integrating the NB-DST Method with Deterministic Models. Energies. 2024; 17(10):2392. https://doi.org/10.3390/en17102392
Chicago/Turabian StyleAhmad, Tawsif, Ning Zhou, Ziang Zhang, and Wenyuan Tang. 2024. "Enhancing Probabilistic Solar PV Forecasting: Integrating the NB-DST Method with Deterministic Models" Energies 17, no. 10: 2392. https://doi.org/10.3390/en17102392
APA StyleAhmad, T., Zhou, N., Zhang, Z., & Tang, W. (2024). Enhancing Probabilistic Solar PV Forecasting: Integrating the NB-DST Method with Deterministic Models. Energies, 17(10), 2392. https://doi.org/10.3390/en17102392

